Abstract
This paper studies an alternating direction implicit orthogonal spline collocation (ADIOSC) technique for calculating the numerical solution of the hyperbolic integrodifferential problem with a weakly singular kernel in the two-dimensional domain. The integral term is approximated with the help of the second-order fractional quadrature formula introduced by Lubich. The stability and convergence analysis of the proposed strategy are proven in -norm. Numerical results highlight the high accuracy and efficiency of the proposed strategy and clarify the theoretical prediction.
Keywords:
hyperbolic integrodifferential equation; orthogonal spline collocation method; alternating direction implicit method; error analysis MSC:
35R11; 45E10; 65M70; 65M15
1. Introduction
In this paper, we study the hyperbolic integrodifferential equation with a weakly singular kernel [1] as:
The initial conditions (ICs) and boundary condition (BC) are prescribed as:
respectively, where is a bounded convex domain with continuous boundary , two functions and represent sufficiently smooth functions, the kernel denotes the weakly singular function and is a positive constant. The problem (1)–(3) is used to model wave propagation subject to heat flow in materials with memory [2] and viscoelastic mechanics [3,4] and heat conduction in shape-memory materials, among other applications [5,6,7,8,9,10] and references therein.
Due to the potential applications in various fileds, considerable attention has been assigned to the progress of the theoretical and numerical solutions for the hyperbolic equation. Hlavacek [11] analyzed and proved the stability, uniqueness and existence of solutions for a class of problems, including hyperbolic problems. Heard [12] studied the problem of global solvability for the hyperbolic Volterra integrodifferential equation in a Banach space. Xu [13] studied the observability virtues of the temporal discrete approximation formula for hyperbolic integrodifferential equations. Fairweather [14] formulated and rigorously analyzed an alternating direction implicit orthogonal spline collocation (ADIOSC) formulation applied to the inhomogeneous hyperbolic equation on the unit square subject to appropriate ICs and homogeneous Dirichlet BC. Bialecki [15] proposed and analyzed an ADIOSC approach for the linear second-order hyperbolic initial-boundary value problem. Yannik [16] developed the finite element technique for certain hyperbolic and parabolic partial integrodifferential equations. Inoan et al. [17,18] studied the semi-Hyers–Ulam–Rassias stability for a class of integro-differential equations.
To the best of our knowledge, so far, there are no research papers on the hyperbolic integrodifferential equations, including a weakly singular kernel in the two-dimensional domain. The main purpose of the this paper is to introduce an efficient numerical scheme for Equation (1). The ADIOSC approach is a valuable and robust algorithm for obtaining the approximate solutions of a broad category of the ordinary and partial differential equations (ODEs and PDEs, respectively), which have been introduced in [19,20,21,22]; besides, this method also has some competitiveness and vitality compared to some classical methods [23,24,25,26,27,28,29,30].
Our main contributions are as follows: (I) We extended applications of an ADIOSC approach to the solution of the second-order hyperbolic problem containing a weakly singular kernel. The difficulty of theoretical analysis comes from the viscoelasticity term, which is essentially an integral with the time introduced in (1). For this new hyperbolic integrodifferential Equation (1), some traditional numerical quadrature rules such as the compound quadrature rules becomes difficult to analyze. Therefore, some standard approaches to treat the observability problems, such as the non-negativity skill [31], can not be used directly. We propose a new technique to handle the discrete integral term in the theoretical analysis, which is different from the method in [32,33]. (II) The ADI algorithm we considered can solve the high-dimensional problem of space into a series of one-dimensional sub-problems, which greatly reduces the computational cost [34,35,36,37,38]; in addition, the proposed OSC technology can obtain the fourth-order spatial convergence [19], which can greatly improve the numerical precision. (III) The theoretical results proved by us are validated by several numerical examples.
The layout of this paper is as follows: Section 2 introduces some basic notations and mathematical preliminaries. Section 3 proposes an ADIOSC approach for computing the solution of the problems (1)–(3). Section 4 examines the stability and convergence analysis of the full discretization. Section 5 presents two numerical examples to show high accuracy and performance for the ADIOSC approach and support the theoretical analysis. Finally, Section 6 contains some concluding remarks.
Remark 1.
Throughout this article, C represents a generic positive constant as a generic constant free of the time-space step parameters at every occurrence.
2. Notations and Auxiliary Results
In this section, we provide the basic concepts, and definitions needed to use the main results in the subsequent paper. For any bounded region let us define the inner product:
with the norm on Sobolev:
Suppose that and . Let and be two partitions of and , so that:
represents the partition of . For the sake of convenience, we denote:
Suppose that and are the spaces of piecewise polynomials of degree , represented by:
and,
in which represents the set of polynomials of degree at most r.
Let:
to be the set of all functions that represent finite linear combinations of products in the case of , such that and .
Suppose that and are the nodal points of the two-point Gaussian quadrature rule over and , respectively, and let:
and,
be two collection of Gauss nodes in the x-direction and the y-direction, respectively.
is the set of Gauss nodes on the domain .
Here, let us introduce the discrete inner product as:
with the norm
such that u and v are defined on .
If X represents a norm space having norm , then we introduce the set of functions so that with , and
where .
Suppose that is the set of functions so that is continuous over with and For we define by:
Then, we define by:
in which,
3. Discretization
Suppose that is a partition of temporal interval so that . Then, we define the convolution quadrature [39,40] to discretize the fractional integral term by:
where the quadrature weights can be computed by their generating power series:
in which represents the Laplace transform of the convolution kernel.
Now, we employ the correction quadrature weights for discretizing the integral with the second-order accuracy as follows:
such that the quadrature formula becomes exact for constant. In the following lemma, we represent the quadrature error by:
Lemma 1
([41]). Assume that ϕ is a real, continuously differentiable function, with integrable and continuous over . Then, the following error of the fractional quadrature rule is derived by:
Then, we present several lemmas required in the derivation of the error estimates. First, we define a map W, which plays an important role in the theoretical analysis. Let u be the solution of (1). Then, the differentiable map is defined by:
To formulate the ADIOSC approach for the hyperbolic integrodifferential Equations (1)–(3), we restate (1) as a system of equations by letting . Then, the relation (1) converts to:
Regarding the convolution quadrature defined in (4) with second-order accuracy, the OSC approach for the approximation of (1) is to find over fulfilling:
in which,
Note: is an approximation of in (7). We choose the initial value , defined by (6) with u replaced by v and , obtained by differentiating (6) with respect to t and replacing by . If we solve (9) for and substitute the resulting expression in (8) with , we have:
If , then we can rewrite (9) and (10) as:
in which,
If the small term,
is added to the left-hand side of (11), then we have:
from which we obtain the approximation:
We now rewrite Equations (14) and (15) as an ADI matrix approach. For this aim, suppose that and represent bases for the subspace and , respectively, so that and . Make:
and,
in which,
Define:
and,
Then, Equation (14) may be written in the following matrix-vector form with ,
and from Equation (12), the components of the vector in Equation (18) are given by:
Then, relation (18) becomes:
Therefore, we obtain from Equation (20) in the standard way. Then, the vector is computed from Equation (19). Taking in Equation (16), we achieve the desired .
4. Error Analysis of the ADIOSC Approach
In this section, we analyze the stability and convergence analysis of the ADIOSC approach in -norm.
4.1. Stability of the ADIOSC Approach
Here, we introduce the following lemmas to examine the stability of the ADIOSC approach.
Lemma 2
([14]). For any , we have:
Lemma 3.
The norms and are equivalent over
Theorem 1.
Proof.
Let us rewrite Equation (14) in the following form:
Using the inequalities:
then applying the inner product of both sides of (24) with , for , we obtain:
Now pay attention to the first term on the right-hand side of (28), and with the definition in (4), we have:
where,
and,
From Lemma 2, we know:
Using Equations (30) and (31), dropping the positive term (32) in (29), we have:
Multiplying (28) by and summing over we obtain:
Again, noting that , dropping this positive term in (34), using Lemma 2 that and the Grönwall inequality, we have:
For the first term on the right-hand side of (35), we have:
For with (5), we know:
then we get:
By estimating the second term on the left-hand side of (35) and using Equations (4) and (38), we can write:
Letting (36) and (39) in (35), we have:
We now consider the term in (40) that:
Using the Grönwall inequality for (40), with (41), we have:
where and we obtain:
Changing index N to n, summing for n from 0 to , then we obtain:
which finishes the proof of the theorem. □
4.2. Convergence of the ADIOSC Approach
Let us introduce the intermediate projections as differentiable maps in order to achieve an optimal convergence order satisfying [42] Equation (2.19).
in which u represents the solution of (1) over . In the following, we will obtain the estimates on and its temporal derivatives.
For obtaining an optimal order error estimate for the ADIOSC approximation, let us remember the following two lemmas.
Lemma 4
([20]). For , with and W introduced in the relation (21), we have:
where the constant C is independent of h.
Lemma 5
([19]). For any , with for , we have:
in which
The discrete problem (14) generates a system of algebraic equations at the nodes . Therefore, we can indicate that the obtained system includes a unique solution at every temporal step based on the a priori bound for . In the following, we obtain an error estimate.
Theorem 2.
Proof.
For , it is easy to show that (14) is equivalent to:
where:
On substituting for and dividing by k, we take the form:
From (1), it follows that:
Based on W introduced in Equation (45), we can write:
Subtracting Equation (50) from Equation (48) and Equation (51) from Equation (49), and using Equations (45) and (52) yields:
where,
Note that the bound of has been given in Lemma 1.
In Equation (54), we choose (from (55)), and use the definition in (4), then:
Now, for , with , using (4), the fourth term on the left-hand side of (58) can be stated as:
where,
and,
From a simple calculation, it is easy to know that:
and,
Using (59)–(63) for the left-hand side of (58), Lemma 2 for the second term on the right-hand side, and Young’s inequality that it is easy to see that:
In view of (22) in Lemma 2, we conclude that the fifth term in the left-hand side form (64) is the non-negative term:
Dropping the positive term (65) in (64), multiplying (64) by k, and summing from to and using the fact that , we obtain:
In view of (4) and (61), the first term in the right-hand side form (66) can be restated as:
By virtue of Young’s inequality used above, we obtain:
For with (5), we know that:
then we have,
Meanwhile, estimating the second term on the right-hand side of (66) and using (4), (70), and (60), we obtain:
From (22) in Lemma 2, we note that:
and,
Dropping two positive terms (72) and (73) in (66), we have:
Then, (74) reduces to:
Using the discrete Grönwall inequality, we obtain:
for k sufficiently small. We use the following bounds:
and,
Then, we obtain:
Since bound of is known from Lemmas 4 and 5, with replaced by , we obtain:
then it holds that,
Then we have:
With (80) and (82) in (76), we arrive at the desired result. □
Note that Theorem 2 is first proved in this paper, which shows the competitiveness of OSC methods.
5. Numerical Results
This section considers two numerical examples to verify that the proposed strategy is accurate, applicable, and effective. In the numerical simulations, we use the space of the piecewise Hermite bicubics, for which , with the standard value and scaled slope basis functions on identical uniform partitions in both the x and y variable with . The IC is approximated by choosing the OSC elliptic projection of . To check the proposed method, we define temporal and spatial convergence orders:
respectively, where stands for the maximum norm (i.e., absolute error). Furthermore, all numerical results are calculated by MATLAB R2016b on a personal computer with 4GB RAM.
Example 1.
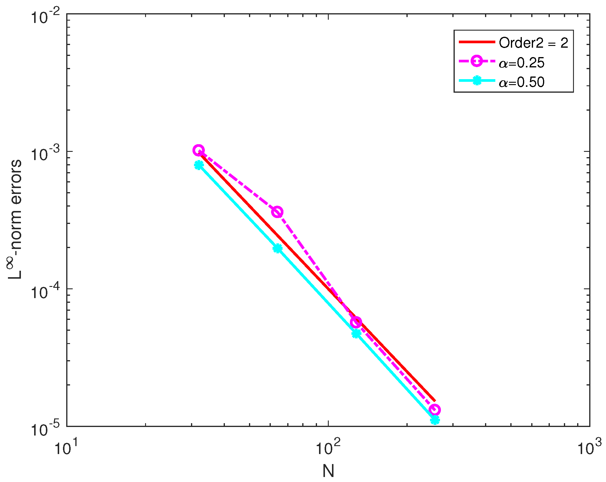
The ICs are obtained from the exact solution. Table 1 displays the maximum norm errors , spatial convergence orders and CPU run times (in seconds) for temporal steps as , which accords to the fourth-order convergence in the space variable. Table 2 reports the maximum norm errors , temporal convergence orders and CPU run times (in seconds) for which supports the second-order accuracy in the time variable. We also give the CPU time for the ADIOSC method to simulate the hyperbolic integrodifferential problem, which shows using a shorter time to calculate desired results. Figure 1 and Figure 2 visually show the second-order temporal and fourth-order spatial accuracy of the fully discrete scheme by fixing related parameters, which is consistent with the theoretical analysis.
Table 1.
The maximum norm errors and spatial convergence rates with temporal step .
Table 2.
The maximum norm errors and temporal convergence rates with .
Figure 1.
The spatial convergence orders of Example 1 when .
Figure 2.
The temporal convergence orders of Example 1 when .
Example 2.
The ICs are computed from the exact solution. Table 3 and Table 4 show the maximum norm errors , spatial and temporal convergence, and CPU times (in seconds) of the ADIOSC technique for . Table 3 lists the maximum norm errors , spatial convergence orders , and CPU run times (in seconds) for the temporal step as , which accords to the fourth-order convergence in the space variable. Table 4 discusses the maximum norm errors , temporal convergence orders , and CPU run times (in seconds) for which supports the second-order accuracy in the time variable. We also present the CPU running time of the ADIOSC scheme to simulate the hyperbolic integrodifferential problem, which indicates using a shorter time to compute a desired result.
Table 3.
The maximum norm errors and spatial convergence rates with temporal step .
Table 4.
The maximum norm errors and temporal convergence rates with .
6. Conclusions
This paper formulated an ADIOSC numerical method for the hyperbolic integrodifferential equation with a weakly singular kernel in two-dimension domain, from which we have used the second-order convolution quadrature. It was shown that the proposed method is stable and convergent with order two for time, and order four for space. Numerical results illustrated efficiency and performance of the proposed ADIOSC method. In our future work, we will consider compatible wavelet techniques, such as the Sinc methods [43,44,45,46] for solving Problems (1)–(3), which may obtain the exponential convergence accuracy in the space direction.
Author Contributions
Conceptualization, Q.H. and O.N.; data curation, Q.H. and O.N.; formal analysis, Q.H. and O.N.; investigation, Z.A. and O.N.; methodology, Q.H., O.N. and Z.A.; software, Q.H.; supervision, Q.H. and Z.A.; validation, Q.H., O.N. and Z.A.; visualization, Q.H. and O.N.; writing—original draft, Q.H. and O.N.; writing—review and editing, Z.A. All authors have read and agreed to the published version of the manuscript.
Funding
This research received no external funding.
Institutional Review Board Statement
Not applicable.
Informed Consent Statement
Not applicable.
Data Availability Statement
Not applicable.
Conflicts of Interest
The authors declare that they have no conflict of interest.
References
- Xu, D. Decay properties for the numerical solutions of a partial differential equation with memory. J. Sci. Comput. 2015, 62, 146–178. [Google Scholar] [CrossRef]
- Gurtin, M.E.; Pipkin, A.C. A general theory of heat conduction with finite wave speeds. Arch. Ration. Mech. Anal. 1968, 31, 113–126. [Google Scholar] [CrossRef]
- Christensen, R. Theory of Viscoelasticity: An Introduction; Elsevier: Amsterdam, The Netherlands, 2012. [Google Scholar]
- Renardy, M. Mathematical analysis of viscoelastic flows. Ann. Rev. Fluid Mech. 1989, 21, 21–34. [Google Scholar] [CrossRef]
- Cavalcanti, M.; Cavalcanti, V.D.; Ma, T. Exponential decay of the viscoelastic Euler-Bernoulli equation with a nonlocal dissipation in general domains. Differ. Inte. Equ. 2004, 17, 495–510. [Google Scholar]
- Dafermos, C.M. Asymptotic stability in viscoelasticity. Arch. Ration. Mech. Anal. 1970, 37, 297–308. [Google Scholar] [CrossRef]
- Lebon, G.; Perez-Garcia, C.; Casas-Vazquez, J. On the thermodynamic foundations of viscoelasticity. J. Chem. Phys. 1988, 88, 5068–5075. [Google Scholar] [CrossRef]
- Leugering, G. Boundary controllability of a viscoelastic string. Volter. Inte. Differ. Equa. Banach Appl. Longman Sci. Tech. Harlow Essex. 1989, 258–270. [Google Scholar]
- AL-Nahhas, M.A.; Ahmed, H.; El-Owaidy, H.M. Null boundary controllability of nonlinear integrodifferential systems with Rosenblatt process. J. Math. Comput. Sci. 2022, 26, 113–127. [Google Scholar] [CrossRef]
- Cimen, E.; Yatar, S. Numerical solution of Volterra integro-differential equation with delay. J. Math. Comput. Sci. 2020, 20, 255–263. [Google Scholar] [CrossRef]
- Hlaváček, I. On the existence and uniqueness of solution of the Cauchy problem for linear integro-differential equations with operator coefficients. Appl. Mat. 1971, 16, 64–80. [Google Scholar] [CrossRef]
- Heard, M.L. A class of hyperbolic Volterra integrodifferential equations. Nonlinear Anal. 1984, 8, 79–93. [Google Scholar] [CrossRef]
- Xu, D. On the Observability of Time Discrete Integro-differential Systems. Appl. Math. Optim. 2021, 83, 565–637. [Google Scholar] [CrossRef]
- Fernandes, R.I.; Fairweather, G. Analysis of alternating direction collocation methods for parabolic and hyperbolic problems in two space variables. Numer. Methods Partial Differ. Equ. 1993, 9, 191–211. [Google Scholar] [CrossRef]
- Bialecki, B.; Fernandes, R.I. An orthogonal spline collocation alternating direction implicit method for second-order hyperbolic problems. IMA J. Numer. Anal. 2003, 23, 693–718. [Google Scholar] [CrossRef]
- Yanik, E.G.; Fairweather, G. Finite element methods for parabolic and hyperbolic partial integro-differential equations. Nonlinear Anal. 1988, 12, 785–809. [Google Scholar] [CrossRef]
- Inoan, D.; Marian, D. Semi-Hyers–Ulam–Rassias Stability via Laplace Transform, for an Integro-Differential Equation of the Second Order. Mathematics 2022, 10, 1893. [Google Scholar] [CrossRef]
- Inoan, D.; Marian, D. Semi-Hyers–Ulam–Rassias Stability of a Volterra Integro-Differential Equation of Order I with a Convolution Type Kernel via Laplace Transform. Symmetry 2021, 13, 2181. [Google Scholar] [CrossRef]
- Pani, A.K.; Fairweather, G.; Fernandes, R.I. Alternating direction implicit orthogonal spline collocation methods for an evolution equation with a positive-type memory term. SIAM J. Numer. Anal. 2008, 46, 344–364. [Google Scholar] [CrossRef]
- Bialecki, B.; Fairweather, G. Orthogonal spline collocation methods for partial differential equations. J. Comput. Appl. Math. 2001, 128, 55–82. [Google Scholar] [CrossRef]
- Bialecki, B.; Fernandes, R.I. Alternating direction implicit orthogonal spline collocation on some non-rectangular regions with inconsistent partitions. Numer. Algor. 2017, 74, 1083–1100. [Google Scholar] [CrossRef]
- Bialecki, B.; Fernandes, R.I. An Orthogonal Spline Collocation Alternating Direction Implicit Crank–Nicolson Method for Linear Parabolic Problems on Rectangles. SIAM J. Numer. Anal. 1999, 36, 1414–1434. [Google Scholar] [CrossRef]
- Gao, W.; Veeresha, P.; Cattani, C.; Baishya, C.; Baskonus, H.M. Modified Predictor–Corrector Method for the Numerical Solution of a Fractional-Order SIR Model with 2019-nCoV. Fractal Fract. 2022, 6, 92. [Google Scholar] [CrossRef]
- Nisar, K.S.; Logeswari, K.; Vijayaraj, V.; Baskonus, H.M.; Ravichandran, C. Fractional order modeling the gemini virus in capsicum annuum with optimal control. Fractal Fract. 2022, 6, 61. [Google Scholar] [CrossRef]
- Qiu, W.; Xu, D.; Guo, J.; Zhou, J. A time two-grid algorithm based on finite difference method for the two-dimensional nonlinear time-fractional mobile/immobile transport model. Numer. Algorithms 2020, 85, 39–58. [Google Scholar] [CrossRef]
- Xu, D.; Qiu, W.; Guo, J. A compact finite difference scheme for the fourth-order time-fractional integro-differential equation with a weakly singular kernel. Numer. Methods Partial. Differ. Equ. 2020, 36, 439–458. [Google Scholar] [CrossRef]
- Mesgarani, H.; Esmaeelzade Aghdam, Y.; Tavakoli, H. Numerical simulation to solve two-dimensional temporal-space fractional Bloch–Torrey equation taken of the spin magnetic moment diffusion. Int. J. Appl. Comput. Math. 2021, 7, 1–14. [Google Scholar] [CrossRef]
- Nikan, O.; Avazzadeh, Z. Numerical simulation of fractional evolution model arising in viscoelastic mechanics. Appl. Numer. Math. 2021, 169, 303–320. [Google Scholar] [CrossRef]
- Nikan, O.; Avazzadeh, Z.; Machado, J.T. Numerical approach for modeling fractional heat conduction in porous medium with the generalized Cattaneo model. Appl. Math. Model. 2021, 100, 107–124. [Google Scholar] [CrossRef]
- Aghdam, Y.E.; Mesgrani, H.; Javidi, M.; Nikan, O. A computational approach for the space-time fractional advection–diffusion equation arising in contaminant transport through porous media. Eng. Comput. 2021, 37, 3615–3627. [Google Scholar] [CrossRef]
- Larsson, S.; Thomée, V.; Wahlbin, L. Numerical solution of parabolic integro-differential equations by the discontinuous Galerkin method. Math. Comp. 1998, 67, 45–71. [Google Scholar] [CrossRef]
- Chen, H.; Xu, D.; Peng, Y. A second order BDF alternating direction implicit difference scheme for the two-dimensional fractional evolution equation. Appl. Math. Model. 2017, 41, 54–67. [Google Scholar] [CrossRef]
- Qiao, L.; Xu, D. A fast ADI orthogonal spline collocation method with graded meshes for the two-dimensional fractional integro-differential equation. Adv. Comput. Math. 2021, 47, 1–22. [Google Scholar] [CrossRef]
- Huang, Q.; Qi, R.j.; Qiu, W. The efficient alternating direction implicit Galerkin method for the nonlocal diffusion-wave equation in three dimensions. J. Appl. Math. Comput. 2021, 1–21. [Google Scholar] [CrossRef]
- Qiao, L.; Qiu, W.; Xu, D. A second-order ADI difference scheme based on non-uniform meshes for the three-dimensional nonlocal evolution problem. Comput. Math. Appl. 2021, 102, 137–145. [Google Scholar] [CrossRef]
- Qiao, L.; Xu, D.; Qiu, W. The formally second-order BDF ADI difference/compact difference scheme for the nonlocal evolution problem in three-dimensional space. Appl. Numer. Math. 2022, 172, 359–381. [Google Scholar] [CrossRef]
- Qiao, L.; Guo, J.; Qiu, W. Fast BDF2 ADI methods for the multi-dimensional tempered fractional integrodifferential equation of parabolic type. Comput. Math. Appl. 2022, 123, 89–104. [Google Scholar] [CrossRef]
- Qiu, W.; Xu, D.; Chen, H.; Guo, J. An alternating direction implicit Galerkin finite element method for the distributed-order time-fractional mobile–immobile equation in two dimensions. Comput. Math. Appl. 2020, 80, 3156–3172. [Google Scholar] [CrossRef]
- Lubich, C. Convolution quadrature and discretized operational calculus. I. Numer. Math. 1988, 52, 129–145. [Google Scholar] [CrossRef]
- Cuesta, E.; Palencia, C. A fractional trapezoidal rule for integro-differential equations of fractional order in Banach spaces. Appl. Numer. Math. 2003, 45, 139–159. [Google Scholar] [CrossRef]
- Lubich, C.; Sloan, I.; Thomée, V. Nonsmooth data error estimates for approximations of an evolution equation with a positive-type memory term. Math. Comput. 1996, 65, 1–17. [Google Scholar] [CrossRef]
- Danumjaya, P.; Pani, A.K. Orthogonal cubic spline collocation method for the extended Fisher–Kolmogorov equation. J. Comput. Appl. Math. 2005, 174, 101–117. [Google Scholar] [CrossRef]
- Qiu, W.; Xu, D.; Guo, J. Numerical solution of the fourth-order partial integro-differential equation with multi-term kernels by the Sinc-collocation method based on the double exponential transformation. Appl. Math. Comput. 2021, 392, 125693. [Google Scholar] [CrossRef]
- Qiu, W.; Xu, D.; Guo, J. The Crank-Nicolson-type Sinc-Galerkin method for the fourth-order partial integro-differential equation with a weakly singular kernel. Appl. Numer. Math. 2021, 159, 239–258. [Google Scholar] [CrossRef]
- Qiu, W.; Xu, D.; Guo, J. A formally second-order backward differentiation formula Sinc-collocation method for the Volterra integro-differential equation with a weakly singular kernel based on the double exponential transformation. Numer. Methods Partial. Differ. Equ. 2022, 38, 830–847. [Google Scholar] [CrossRef]
- Qiu, W.; Xu, D.; Zhou, J.; Guo, J. An efficient Sinc-collocation method via the DE transformation for eighth-order boundary value problems. J. Comput. Appl. Math. 2022, 408, 114136. [Google Scholar] [CrossRef]
Publisher’s Note: MDPI stays neutral with regard to jurisdictional claims in published maps and institutional affiliations. |
© 2022 by the authors. Licensee MDPI, Basel, Switzerland. This article is an open access article distributed under the terms and conditions of the Creative Commons Attribution (CC BY) license (https://creativecommons.org/licenses/by/4.0/).

