Genotyping of Le and Af Haplotypes in Dry Pea (Pisum sativam L.) with Field Trials: Short and Semi-Leafless Plants Are Not Always Better in Kazakhstan
Abstract
1. Introduction
2. Materials and Methods
2.1. Plant Material and Trait Evaluations
2.2. Phenotyping
2.3. Molecular Genetic Analysis DNA Extraction
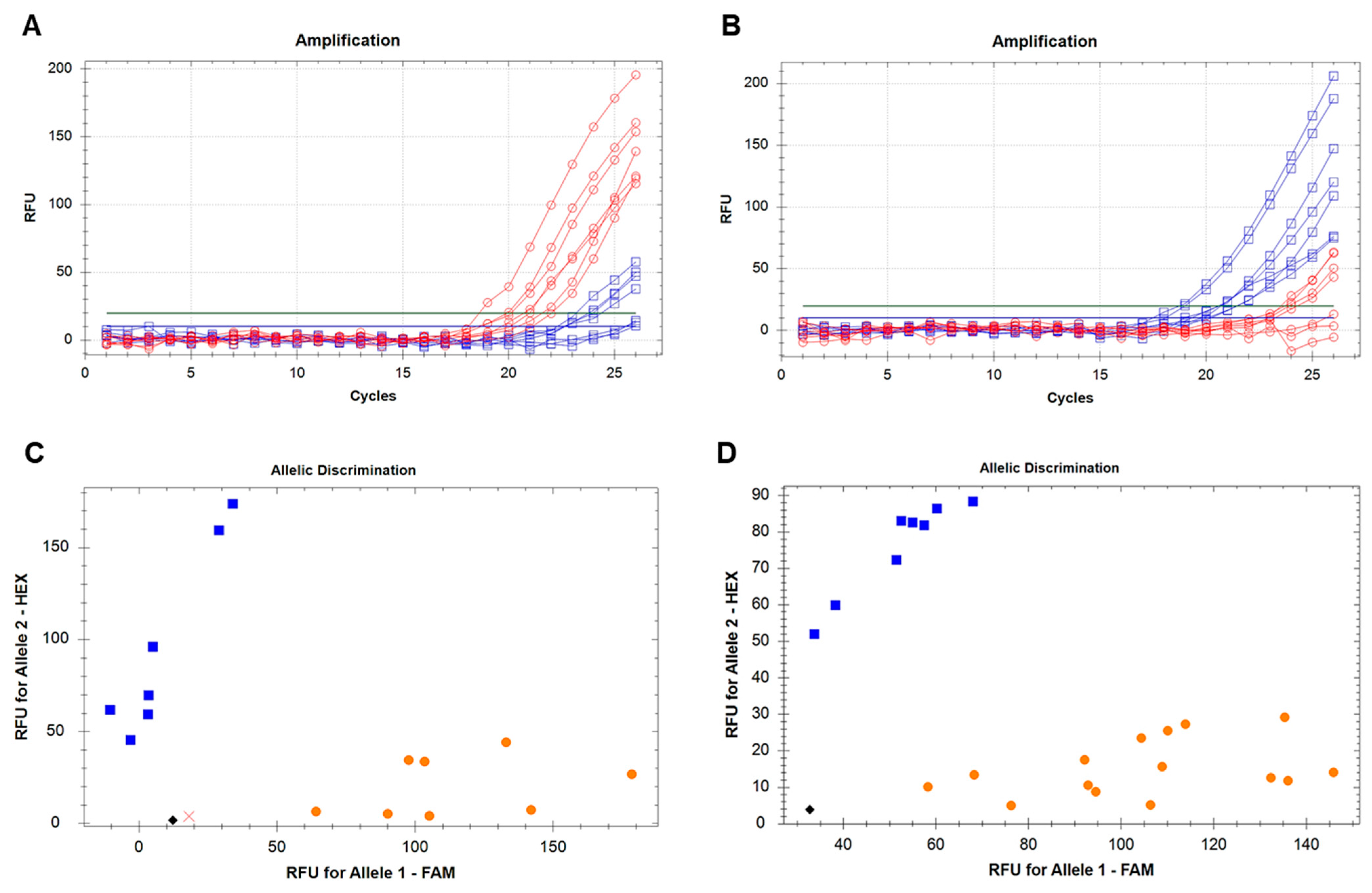
2.4. Le Gene: Sequencing, SNP Identification, ASQ Marker Development, and SNP Genotyping
2.5. Af Gene: PCR and Haplotype Identification
2.6. Statistical Treatment
3. Results
3.1. SNP Identification, ASQ Marker Development, and Genotyping of Pea Accessions for Alleles of Le Gene
3.2. Af Gene Haplotype Identification in Pea Accessions
3.3. Genotype and Phenotype Association Analysis
3.4. Field Trial Assessment
4. Discussion
Supplementary Materials
Author Contributions
Funding
Data Availability Statement
Acknowledgments
Conflicts of Interest
References
- Nasmyth, K. The magic and meaning of Mendel’s miracle. Nat. Rev. Genet. 2022, 23, 447–452. [Google Scholar] [CrossRef]
- Fairbanks, D.J. Demystifying the mythical Mendel: A biographical review. Heredity 2022, 129, 4–11. [Google Scholar] [CrossRef] [PubMed]
- Smýkal, P.; Aubert, G.; Burstin, J.; Coyne, C.J.; Ellis, N.T.H.; Flavell, A.J.; Ford, R.; Hýbl, M.; Macas, J.; Neumann, P.; et al. Pea (Pisum sativum L.) in the genomic era. Agronomy 2012, 2, 74–115. [Google Scholar] [CrossRef]
- Parihar, A.K.; Dixit, G.P.; Bohra, A.; Gupta, D.S.; Singh, A.K.; Kumar, N.; Singh, D.; Singh, N.P. Genetic advancement in dry pea (Pisum sativum L.): Retrospect and prospect. In Accelerated Plant Breeding, Food Legumes; Gosal, S.S., Wani, S.H., Eds.; Springer-Nature: Cham, Switzerland, 2020; Volume 3, pp. 283–341. [Google Scholar] [CrossRef]
- Rehman, M.; Luo, D.; Mubeen, S.; Pan, J.; Cao, S.; Saeed, W.; Chen, P. Progress in agronomic crops lodging resistance and prevention: A review. J. Agron. Crop Sci. 2024, 210, e12785. [Google Scholar] [CrossRef]
- Huyghe, C. Genetics and genetic modifications of plant architecture in grain legumes: A review. Agronomie 1998, 18, 383–411. [Google Scholar] [CrossRef]
- Bénézit, M.; Biarnès, V.; Jeuffroy, M.H. Impact of climate and diseases on pea yields: What perspectives with climate change? OCL Oils Fat Crop Lipids 2017, 24, D103. [Google Scholar] [CrossRef]
- Stelling, D. Problems of breeding for improved standing ability in dried peas, Pisum sativum L. J. Agron. Crop Sci. 1989, 163, 21–32. [Google Scholar] [CrossRef]
- Beeck, C.P.; Wroth, J.; Cowling, W.A. Additive genetic variance for stem strength in field pea (Pisum sativum). Aust. J. Agric. Res. 2008, 59, 80–85. [Google Scholar] [CrossRef]
- Yang, L.; Liu, J.; Li, N.; Pei, Y.; Peng, J.; Wang, Z. An integrated strategy coordinating endogenous and exogenous approaches to alleviate crop lodging. Plant Stress 2023, 9, 100197. [Google Scholar] [CrossRef]
- Ferrari, B.; Romani, M.; Aubert, G.; Boucherot, K.; Burstin, J.; Pecetti, L.; Huart-Naudet, M.; Klein, A.; Annicchiarico, P. Association of SNP markers with agronomic and quality traits of field pea in Italy. Czech J. Genet. Plant Breed. 2016, 52, 83–93. [Google Scholar] [CrossRef]
- Smitchger, J.; Weeden, N. Quantitative trait loci controlling lodging resistance and other important agronomic traits in dry field peas. Crop Sci. 2019, 59, 1442–1456. [Google Scholar] [CrossRef]
- Gali, K.K.; Liu, Y.; Sindhu, A.; Diapari, M.; Shunmugam, A.S.K.; Arganosa, G.; Daba, K.; Caron, C.; Lachagari, R.V.B.; Tar’an, B.; et al. Construction of high-density linkage maps for mapping quantitative trait loci for multiple traits in field pea (Pisum sativum L.). BMC Plant Biol. 2018, 18, 172. [Google Scholar] [CrossRef] [PubMed]
- Niu, Y.; Chen, T.; Zhao, C.; Zhou, M. Lodging prevention in cereals: Morphological, biochemical, anatomical traits and their molecular mechanisms, management and breeding strategies. Field Crops Res. 2022, 289, 108733. [Google Scholar] [CrossRef]
- Bhujbal, S.K.; Rai, A.N.; Joshi-Saha, A. Dwarfs standing tall: Breeding towards the ‘Yellow revolution’ through insights into plant height regulation. Plant Mol. Biol. 2025, 115, 34. [Google Scholar] [CrossRef] [PubMed]
- Berry, P.M.; Berry, S.T. Understanding the genetic control of lodging-associated plant characters in winter wheat (Triticum aestivum L.). Euphytica 2015, 205, 671–689. [Google Scholar] [CrossRef]
- Gawłowska, M.; Knopkiewicz, M.; Święcicki, W.; Boros, L.; Wawer, A. Quantitative trait loci for stem strength properties and lodging in two pea biparental mapping populations. Crop Sci. 2021, 61, 1682–1697. [Google Scholar] [CrossRef]
- Hirano, K.; Ordonio, R.L.; Matsuoka, M. Engineering the lodging resistance mechanism of post-green revolution rice to meet future demands. Proc. Jpn. Acad. B Phys. Biol. Sci. 2017, 93, 220–233. [Google Scholar] [CrossRef]
- Smitchger, J.A.; Weeden, N.; Akin, I.; Warkentin, T. Stress equation for a cantilever beam: A model of lodging resistance in field pea. Int. Agrophysics 2020, 34, 213–222. [Google Scholar] [CrossRef]
- Cheng, J.; Hill, C.B.; Shabala, S.; Li, C.; Zhou, M. Manipulating GA-related genes for cereal crop improvement. Int. J. Mol. Sci. 2022, 23, 14046. [Google Scholar] [CrossRef]
- Lester, D.R.; Ross, J.J.; Davies, P.J.; Reid, J.B. Mendel’s stem length gene (Le) encodes a gibberellin 3β-hydroxylase. Plant Cell 1997, 9, 1435–1443. [Google Scholar] [CrossRef]
- Martin, D.N.; Proebsting, W.M.; Hedden, P. Mendel’s dwarfing gene: cDNAs from the Le alleles and function of the expressed proteins. Proc. Natl. Acad. Sci. USA 1997, 94, 8907–8911. [Google Scholar] [CrossRef] [PubMed]
- Dalmadi, Á.; Kaló, P.; Jakab, J.; Saskői, A.; Petrovics, T.; Deák, G.; Kiss, G.B. Dwarf plants of diploid Medicago sativa carry a mutation in the gibberellin 3-β-hydroxylase gene. Plant Cell Rep. 2008, 27, 1271–1279. [Google Scholar] [CrossRef] [PubMed]
- Reinecke, D.M.; Wickramarathna, A.D.; Ozga, J.A.; Kurepin, L.V.; Jin, A.L.; Good, A.G.; Pharis, R.P. Gibberellin 3-oxidase gene expression patterns influence gibberellin biosynthesis, growth, and development in pea. Plant Physiol. 2013, 163, 929–945. [Google Scholar] [CrossRef]
- Stavang, J.A.; Lindgård, B.; Erntsen, A.; Lid, S.E.; Moe, R.; Olsen, J.E. Thermoperiodic stem elongation involves transcriptional regulation of gibberellin deactivation in pea. Plant Physiol. 2005, 138, 2344–2353. [Google Scholar] [CrossRef]
- O’Neill, D.P.; Davidson, S.E.; Clarke, V.C.; Yamauchi, Y.; Yamaguchi, S.; Kamiya, Y.; Reid, J.; Ross, J.J. Regulation of the gibberellin pathway by auxin and DELLA proteins. Planta 2010, 232, 1141–1149. [Google Scholar] [CrossRef]
- Sharma, V.; Kumar, A.; Kumar, S. An analysis of vascular system in the compound tendrilled afila leaf in Pisum sativum. Indian J. Exp. Biol. 2014, 52, 664–668. [Google Scholar]
- Klimek-Kopyra, A.; Głąb, T.; Lorenc-Kozik, A. Estimation of tendrils parameters depending on the sowing methods, in contrasting Pisum sativum L. varieties. Rom. Agric. Res. 2015, 32, 239–244. [Google Scholar]
- Stelling, D. Performance of morphologically divergent plant types in dried peas (Pisum sativum). J. Agric. Sci. 1994, 123, 357–361. [Google Scholar] [CrossRef]
- DeMason, D.A.; Chawla, R. Roles of auxin and Uni in leaf morphogenesis of the afila genotype of pea (Pisum sativum). Int. J. Plant Sci. 2004, 165, 707–722. [Google Scholar] [CrossRef]
- DeMason, D.A.; Chetty, V.; Barkawi, L.S.; Liu, X.; Cohen, J.D. Unifoliata-Afila interactions in pea leaf morphogenesis. Am. J. Bot. 2013, 100, 478–495. [Google Scholar] [CrossRef] [PubMed]
- Kumar, S.; Mishra, R.K.; Kumar, A.; Chaudhary, S.; Sharma, V.; Kumari, R. Genetic interaction and mapping studies on the leaflet development (lld) mutant in Pisum sativum. J. Genet. 2012, 91, 325–342. [Google Scholar] [CrossRef]
- Tayeh, N.; Hofer, J.M.I.; Aubert, G.; Jacquin, F.; Turner, L.; Kreplak, J.; Paajanen, P.; Le Signor, C.; Dalmais, M.; Pflieger, S.; et al. afila, the origin and nature of a major innovation in the history of pea breeding. New Phytol. 2024, 243, 1247–1261. [Google Scholar] [CrossRef]
- Yuan, Z.; Xie, X.; Liu, M.; He, Y.; He, L. Mutations of PsPALM1a and PsPALM1b associated with the afila phenotype in pea. Physiol. Plant. 2024, 176, e14310. [Google Scholar] [CrossRef]
- Sharma, A.; Dhole, V.J.; Lata, H.; Kumar, N.; Thakur, A. Isolation of mutants using gamma rays and studying genetics of afila and 3-flowers/pedicel attributes in garden pea (Pisum sativum L.). Braz. Arch. Biol. Technol. 2024, 67, e24230622. [Google Scholar] [CrossRef]
- Checa, O.; Rodriguez, M.; Wu, X.; Blair, M. Introgression of the Afila gene into climbing garden pea (Pisum sativum L.). Agronomy 2020, 10, 1537. [Google Scholar] [CrossRef]
- Tafesse, E.G.; Warkentin, T.D.; Bueckert, R.A. Canopy architecture and leaf type as traits of heat resistance in pea. Field Crops Res. 2019, 241, 107561. [Google Scholar] [CrossRef]
- Kof, E.M.; Oorzhak, A.S.; Vinogradova, I.A.; Kalibernaya, Z.V.; Krendeleva, T.E.; Kukarskikh, G.P.; Kondykov, I.V.; Chuvasheva, E.S. Leaf morphology, pigment complex, and productivity in wildtype and afila pea genotypes. Russ. J. Plant Physiol. 2004, 51, 449–454. [Google Scholar] [CrossRef]
- Pesic, V.; Djordjevic, R.; Kadhum, E.; Jankovic, P.; Misic, D. Influence of the afila gene on grain yield in pea (Pisum sativum L.). Bulg. J. Agric. Sci. 2013, 19, 186–193. [Google Scholar]
- Shen, Y.; Johnson, E.N.; Syrovy, L.D.; Warkentin, T.D.; Devini, D.S.; Shirtliffe, S.J. Evaluation of yield and agronomic performance of leafed and semi-leafless pea blends. Agron. J. 2022, 114, 2762–2773. [Google Scholar] [CrossRef]
- Tran, C.T.; Becker, H.C.; Horneburg, B. Agronomic performance of normal-leafed and semi-leafless pea (Pisum sativum L.) genotypes. Crop Sci. 2022, 62, 1430–1442. [Google Scholar] [CrossRef]
- Kuzbakova, M.; Khassanova, G.; Oshergina, I.; Ten, E.; Jatayev, S.; Yerzhebayeva, R.; Bulatova, K.; Khalbayeva, S.; Schramm, C.; Anderson, P.; et al. Height to first pod: A review of genetic and breeding approaches to improve combine harvesting in legume crops. Front. Plant Sci. 2022, 13, 948099. [Google Scholar] [CrossRef]
- Mikel, M.A. Ancestry and characterization of U.S. contemporary proprietary garden pea (Pisum sativum L. convar. medullare Alef.) germplasm. Genet. Resour. Crop Evol. 2013, 60, 2207–2217. [Google Scholar] [CrossRef]
- Erskine, W.; Goodrich, W.J. Lodging in lentil and its relationship with other characters. Can. J. Plant Sci. 1988, 68, 929–934. [Google Scholar] [CrossRef]
- Hasanuzzaman, M.; Nahar, K.; Alam, M.M.; Roychowdhury, R.; Fujita, M. Physiological, biochemical, and molecular mechanisms of heat stress tolerance in plants. Int. J. Mol. Sci. 2013, 14, 9643–9684. [Google Scholar] [CrossRef]
- Shavrukov, Y.; Kurishbayev, A.; Jatayev, S.; Shvidchenko, V.; Zotova, L.; Koekemoer, F.; de Groot, S.; Soole, K.; Langridge, P. Early flowering as a drought escape mechanism in plants: How can it aid wheat production? Front. Plant Sci. 2017, 8, 1950. [Google Scholar] [CrossRef] [PubMed]
- Jatayev, S.; Sukhikh, I.; Vavilova, V.; Smolenskaya, S.E.; Goncharov, N.P.; Kurishbayev, A.; Zotova, L.; Absattarova, A.; Serikbay, D.; Hu, Y.G.; et al. Green revolution ‘stumbles’ in a dry environment: Dwarf wheat with Rht genes fails to produce higher grain yield than taller plants under drought. Plant Cell Environ. 2020, 43, 2355–2364. [Google Scholar] [CrossRef] [PubMed]
- AGG. 2025. Available online: https://agriculture.vic.gov.au/crops-and-horticulture/australian-grains-genebank/genebank-collections (accessed on 1 June 2025).
- Aksaisky. 2025. Available online: http://xn--80ag4abjdei4b.xn--p1ai/produkciya/gorokhi/product/view/37/322 (accessed on 1 June 2025).
- NPZ. 2025. Available online: https://www.npz.de/en/varieties/field-peas (accessed on 1 June 2025).
- KASIB. 2025. Available online: https://baibolsyn.kz/ru/semena/gorokh-sort-kasib (accessed on 1 June 2025).
- Omel’yanyk, L.V.; Asanov, A.M.; Karmazina, A.Y. Novelties in field pea breeding at the FSBSI ‘Omsk ASC’. Proceed. Omsk Agr. Univer. 2019, 34, 56–65. (In Russian) [Google Scholar]
- Oris. 2025. Available online: https://baibolsyn.kz/ru/semena/gorokh-sort-ris (accessed on 1 June 2025).
- Status. 2025. Available online: https://baibolsyn.kz/ru/semena/gorokh-sort-status (accessed on 1 June 2025).
- Bilgili, U.; Uzun, A.; Sincik, M.; Yavuz, M.; Aydinoglu, B.; Çakmakci, S.; Geren, H.; Avcioglu, R.; Nzam, L.; Tekeli, A.S.; et al. Forage yield and lodging traits in peas (Pisum sativum L.) with different leaf types. Turk. J. Field Crops 2010, 15, 50–53. [Google Scholar]
- Hirsch, H.G. Crop yield index numbers. J. Agric. Econ. 1943, 25, 583–598. [Google Scholar] [CrossRef]
- Dobermann, A.; Ping, J.L.; Adamchuk, V.I.; Simbahan, G.C.; Ferguson, R.B. Classification of crop yield variability in irrigated production fields. Agron. J. 2003, 95, 1105–1120. [Google Scholar] [CrossRef]
- Doyle, J. DNA protocols for plants. In Molecular Techniques in Taxonomy; Hewitt, G.M., Johnston, A.W.B., Young, J.P.W., Eds.; NATO ASI Series; Springer: Berlin/Heidelberg, Germany, 1991; Volume 57, pp. 283–293. [Google Scholar] [CrossRef]
- Weining, S.; Langridge, P. Identification and mapping of polymorphisms in cereals based on the polymerase chain reaction. Theor. Appl. Genet. 1991, 82, 209–216. [Google Scholar] [CrossRef] [PubMed]
- Khassanova, G.; Kurishbayev, A.; Jatayev, S.; Zhubatkanov, A.; Zhumalin, A.; Turbekova, A.; Amantaev, B.; Lopato, S.; Schramm, C.; Jenkins, C.; et al. Intracellular vesicle trafficking genes, RabC-GTP, are highly expressed under salinity and rapid dehydration but down-regulated by drought in leaves of chickpea (Cicer arietinum L.). Front. Genet. 2019, 10, 40. [Google Scholar] [CrossRef]
- PDB. Pulse Database, [Pisum sativum]. 2025. Available online: https://www.pulsedb.org/organism/639 (accessed on 1 June 2025).
- Kalendar, R.; Baidyussen, A.; Serikbay, D.; Zotova, L.; Khassanova, G.; Kuzbakova, M.; Jatayev, S.; Hu, Y.G.; Schramm, C.; Anderson, P.A.; et al. Modified ‘Allele-specific qPCR’ method for SNP genotyping based on FRET. Front. Plant Sci. 2022, 12, 747886. [Google Scholar] [CrossRef]
- Kuzbakova, M.; Khassanova, G.; Jatayev, S.; Daniyeva, N.; Sweetman, C.; Jenkins, C.L.D.; Soole, K.L.; Shavrukov, Y. Longer internode with same cell length: LcSOC1-b2 gene involved in height to first pod but not flowering in lentil (Lens culinaris Medik.). Plants 2025, 14, 1157. [Google Scholar] [CrossRef]
- Statpage. 2025. Available online: https://statpages.info/anova1sm.html (accessed on 1 June 2025).
- t-Test. 2025. Available online: https://www.omnicalculator.com/statistics/t-test (accessed on 1 June 2025).
- Fisher’s Exact Test. 2016. Available online: https://astatsa.com/FisherTest (accessed on 1 June 2025).
- ICARDA. BioComputing Online (Phase II): GGE Biplot Analysis. Available online: https://shiny-analytics.ebsproject.org/gge/?utm_source=chatgpt.com (accessed on 1 June 2025).
- Jing, R.; Johnson, R.; Seres, A.; Kiss, G.; Ambrose, M.J.; Knox, M.R.; Ellis, T.H.N.; Flavell, A.J. Gene-based sequence diversity analysis of field pea (Pisum). Genetics 2007, 177, 2263–2275. [Google Scholar] [CrossRef] [PubMed]
- Pavan, S.; Delvento, C.; Nazzicari, N.; Ferrari, B.; D’Agostino, N.; Taranto, F.; Lotti, C.; Ricciardi, L.; Annicchiarico, P. Merging genotyping-by-sequencing data from two ex situ collections provides insights on the pea evolutionary history. Hortic. Res. 2022, 9, uhab062. [Google Scholar] [CrossRef]
- Liu, N.; Lyu, X.; Zhang, X.; Zhang, G.; Zhang, Z.; Guan, X.; Chen, X.; Yang, X.; Feng, Z.; Gao, Q.; et al. Reference genome sequence and population genomic analysis of peas provide insights into the genetic basis of Mendelian and other agronomic traits. Nat. Genet. 2024, 56, 1964–1974. [Google Scholar] [CrossRef]
- Djordjevic, R.; Zecevic, B.; Sretenovic-Rajicic, T.; Cvikic, D. Afila gene effects on total yield of dry pea seed. Acta Hortic. 2002, 579, 151–155. [Google Scholar] [CrossRef]
- Yimam, K.; Tesfaye, D.; Yilma, G.; Abo, T. Genetic variability and characters association for lodging, yield and related traits of field pea (Pisum sativum L.) genotypes in contrasting plant types. Ecol. Genet. Genom. 2024, 33, 100289. [Google Scholar] [CrossRef]
- Tamkoc, A.; Ustun, A.; Altinok, S.; Acikgoz, E. Biomass and seed yield stability of pea genotypes. J. Food Agric. Environ. 2009, 7, 140–146. [Google Scholar]
- Annicchiarico, P.; Iannucci, A. Adaptation strategy, germplasm type and adaptive traits for field pea improvement in Italy based on variety responses across climatically contrasting environments. Field Crops Res. 2008, 108, 133–142. [Google Scholar] [CrossRef]
- Acikgoz, E.; Ustun, A.; Gul, I.; Anlarsal, E.; Tekeli, A.S.; Nizam, I.; Avcioglu, R.; Geren, H.; Cakmakci, S.; Aydinoglu, B.; et al. Genotype × environment interaction and stability analysis for dry matter and seed yield in field pea (Pisum sativum L.). Span. J. Agric. Res. 2009, 7, 96–106. [Google Scholar] [CrossRef]
- Kamran, A.; Shakeel, K.; Jahan, S.; Komal, L. Comparative effect of gibberellic acid and brassinolide for mitigating drought stress in pea (Pisum sativum L.). Physiol. Mol. Biol. Plants 2025, 31, 979–991. [Google Scholar] [CrossRef] [PubMed]








| (A) | ||||||
| Genotype Le | Fluorophore | Total Plants | Phenotype, PH | PH, Aver., cm | SE | t-Test Between Groups |
| aa | FAM | 25 | Short, semi-dwarf | 56.3 | 3.4 | p = 0.000000135; (p < 0.001) |
| bb | HEX | 9 | Medium PH | 83.6 | 2.7 | |
| 32 | Tall | |||||
| (B) | ||||||
| Genotype Af | Haplotype | Total Plants | Phenotype, Leaf Type | Total Plants | Differences | Fisher’s Exact Test |
| Afila, WT | 1–4 | 48 | Regular | 49 | 1 | p = 1.000 |
| afila, mut. | 5–9 | 18 | Semi-leafless | 17 | 1 | |
| Cultivars | PH Class | Leaf Type | LI | PH, cm | Yield, kg/m2 | RYC | LI | PH, cm | Yield, kg/m2 | RYC |
|---|---|---|---|---|---|---|---|---|---|---|
| (A) | Akmola reg., 2024, early drought and sufficient moisture after | Karaganda reg., 2024, moderate early drought and sufficient moisture after | ||||||||
| Oris | Medium | Regular | 4 | 80.2 b | 0.188 a | H a | 5 | 56.5 c | 0.180 a | H a |
| Status | Short | Semi-leafless | 5 | 65.9 c | 0.182 a | H a | 5 | 36.9 d | 0.086 c | L c |
| Astronaute | Short | Semi-leafless | 5 | 60.4 c | 0.177 b | M b | 5 | 31.5 d | 0.076 c | L c |
| Omskiy neosip. | Tall | Regular | 3 | 98.1 a | 0.174 b | M b | 4 | 89.8 a | 0.176 a | H a |
| KASIB | Tall | Semi-leafless | 3 | 95.0 a | 0.168 c | L c | 5 | 69.9 b | 0.123 b | M b |
| Aksaiskiy usaty | Medium | Semi-leafless | 4 | 78.1 b | 0.165 c | L c | 5 | 58.2 c | 0.111 b | M b |
| Average | 4 | 79.6 | 0.176 | 4.8 | 57.1 | 0.125 | ||||
| (B) | Akmola reg., 2025, early drought and excessive rains after | Karaganda reg., 2025, moderate early drought and increased after | ||||||||
| Oris | Medium | Regular | 3 | 76.8 b | 0.055 a | H a | 4 | 59.2 b | 0.022 b | M b |
| Status | Short | Semi-leafless | 4 | 69.4 c | 0.041 b | M b | 5 | 42.7 c | 0.014 c | L c |
| Astronaute | Short | Semi-leafless | 4 | 65.1 c | 0.042 b | M b | 5 | 39.4 c | 0.012 c | L c |
| Omskiy neosip. | Tall | Regular | 1 | 85.5 a | 0.025 d | L c | 4 | 65.5 a | 0.032 a | H a |
| KASIB | Tall | Semi-leafless | 2 | 85.8 a | 0.033 c | L c | 4 | 62.3 ab | 0.032 a | H a |
| Aksaiskiy usaty | Medium | Semi-leafless | 3 | 76.0 b | 0.054 a | H a | 4 | 60.5 b | 0.023 b | M b |
| Average | 2.8 | 76.4 | 0.042 | 4.3 | 54.9 | 0.023 | ||||
| Plant Phenotype | RYC Akmola Reg., 2025 | Total Plants | RYC Karaganda Reg., 2025 | Total Plants | Fisher’s Exact Test | ||||
|---|---|---|---|---|---|---|---|---|---|
| H | M | L | H | M | L | ||||
| Tall PH with regular leaves | 6 | 11 | 14 | 31 | 15 | 9 | 7 | 31 | p = 0.0421 * |
| Medium PH with regular leaves | 4 | 2 | 1 | 7 | 2 | 4 | 1 | 7 | p = 0.7669 |
| Low and medium PH and semi-leafless | 7 | 11 | 4 | 22 | 4 | 6 | 12 | 22 | p = 0.0481 * |
Disclaimer/Publisher’s Note: The statements, opinions and data contained in all publications are solely those of the individual author(s) and contributor(s) and not of MDPI and/or the editor(s). MDPI and/or the editor(s) disclaim responsibility for any injury to people or property resulting from any ideas, methods, instructions or products referred to in the content. |
© 2025 by the authors. Licensee MDPI, Basel, Switzerland. This article is an open access article distributed under the terms and conditions of the Creative Commons Attribution (CC BY) license (https://creativecommons.org/licenses/by/4.0/).
Share and Cite
Arinov, B.; Khassanova, G.; Zailasheva, A.; Kuzbakova, M.; Mussynov, K.; Sereda, T.; Kipshakbayeva, A.; Jatayev, S.; Tolenova, K.; Sweetman, C.; et al. Genotyping of Le and Af Haplotypes in Dry Pea (Pisum sativam L.) with Field Trials: Short and Semi-Leafless Plants Are Not Always Better in Kazakhstan. Plants 2025, 14, 3479. https://doi.org/10.3390/plants14223479
Arinov B, Khassanova G, Zailasheva A, Kuzbakova M, Mussynov K, Sereda T, Kipshakbayeva A, Jatayev S, Tolenova K, Sweetman C, et al. Genotyping of Le and Af Haplotypes in Dry Pea (Pisum sativam L.) with Field Trials: Short and Semi-Leafless Plants Are Not Always Better in Kazakhstan. Plants. 2025; 14(22):3479. https://doi.org/10.3390/plants14223479
Chicago/Turabian StyleArinov, Bauyrzhan, Gulmira Khassanova, Aray Zailasheva, Marzhan Kuzbakova, Kazhymurat Mussynov, Tatyana Sereda, Assemgul Kipshakbayeva, Satyvaldy Jatayev, Karakoz Tolenova, Crystal Sweetman, and et al. 2025. "Genotyping of Le and Af Haplotypes in Dry Pea (Pisum sativam L.) with Field Trials: Short and Semi-Leafless Plants Are Not Always Better in Kazakhstan" Plants 14, no. 22: 3479. https://doi.org/10.3390/plants14223479
APA StyleArinov, B., Khassanova, G., Zailasheva, A., Kuzbakova, M., Mussynov, K., Sereda, T., Kipshakbayeva, A., Jatayev, S., Tolenova, K., Sweetman, C., Jenkins, C. L. D., Soole, K. L., & Shavrukov, Y. (2025). Genotyping of Le and Af Haplotypes in Dry Pea (Pisum sativam L.) with Field Trials: Short and Semi-Leafless Plants Are Not Always Better in Kazakhstan. Plants, 14(22), 3479. https://doi.org/10.3390/plants14223479

