Patterns of Species Richness and Distribution of the Genus Laelia s.l. vs. Laelia s.s. (Laeliinae: Epidendroideae: Orchidaceae) in Mexico: Taxonomic Contribution and Conservation Implications
Abstract
1. Introduction
2. Results
2.1. Database
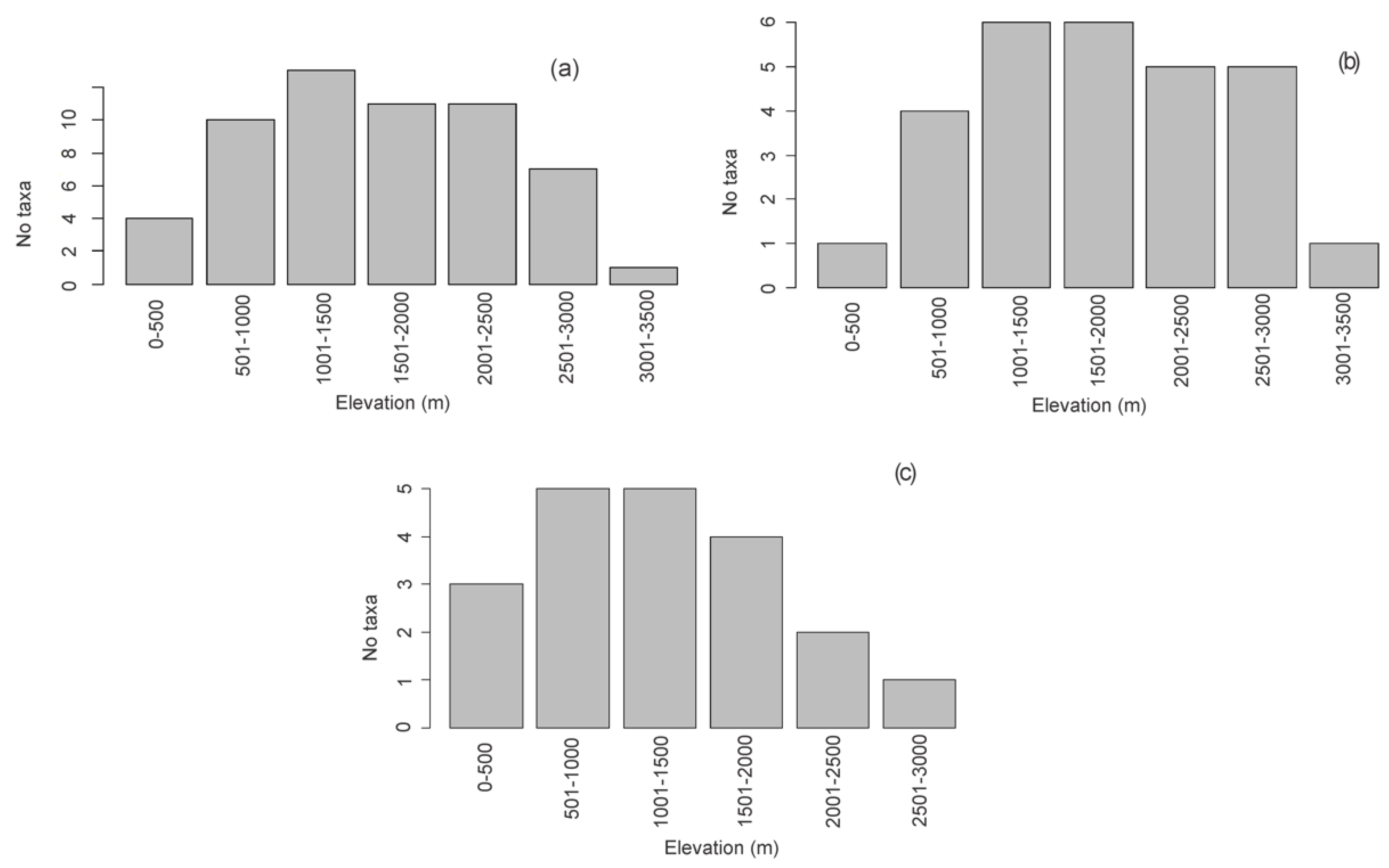
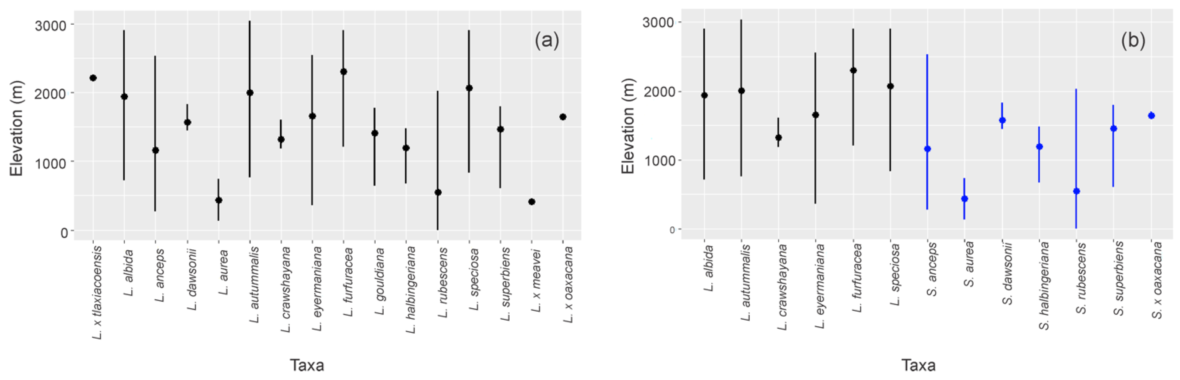
2.2. Patterns in Species Richness, Distribution, and Endemism: Laelia s.l. vs. Laelia s.s.
2.3. Potential Distribution Models
3. Discussion
3.1. Patterns in Species Richness, Distribution, and Endemism: Laelia s.l. vs. Laelia s.s.
3.2. Potential Distribution Models
4. Conclusions
5. Materials and Methods
5.1. Database
5.2. Patterns in Species Richness, Distribution, and Endemism: Laelia s.l. vs. Laelia s.s.
5.3. Potential Distribution Models
Supplementary Materials
Author Contributions
Funding
Institutional Review Board Statement
Informed Consent Statement
Data Availability Statement
Acknowledgments
Conflicts of Interest
References
- Halbinger, F.; Soto-Arenas, M. Laelias of Mexico. Orquídea (México) 1997, 15, 1–160. [Google Scholar]
- Soto, M.A.; Veitch, N.; Grayer, R. Laelia. In Genera Orchidacearum; Pridgeon, A.M., Cribb, P.J., Chase, M.W., Rasmussen, F.N., Eds.; Oxford University Press: Oxford, UK, 2006; Volume 4, Part 1; pp. 265–271. [Google Scholar]
- García-Cruz, J.; Sánchez, L.M.; Jiménez, R.; Solano, R. Orchidaceae (Tribu Epidendreae). In Flora del Bajío y de Regiones Adyacentes; Instituto de Ecología, A.C.: Pátzcuaro, Mexico, 2003; Volume 119, pp. 76–90. [Google Scholar]
- Morales, V. Pre-aclimatación de plántulas de Laelia anceps subsp. anceps y caracterización de su establecimiento en campo en Chavarrillo, Mpio. de Emiliano Zapata, Veracruz. Master’s Thesis, Universidad Veracruzana, Xalapa, Mexico, 2019. [Google Scholar]
- Cox-Tamay, L.D.; Cervantes-Uribe, J.S. Laelias: Flores mágicas y ceremoniales. Herbario CICY 2016, 8, 122–127. [Google Scholar]
- Emeterio-Lara, A.; Palma-Linares, V.; Vázquez-García, L.M.; Mejía-Carranza, J. Usos y comercialización de orquídeas silvestres en la región sur del Estado de México. Polibótanica 2016, 42, 197–214. [Google Scholar] [CrossRef]
- Villaseñor, J.L. Checklist of the native vascular plants of Mexico. Rev. Mex. Biodivers. 2016, 87, 559–902. [Google Scholar] [CrossRef]
- Solano, R.; Huerta-Espinoza, H.; Cruz-García, G.; Ortiz-Riveros, F. A new natural hybrid in the genus Laelia (Orchidaceae) from Oaxaca, Mexico. Phytotaxa 2019, 402, 232–240. [Google Scholar] [CrossRef]
- Solano, R.; Salazar, G.A.; Jiménez, R.; Hágsater, G.E.; Cruz, G. Actualización del catálogo de autoridades taxonómicas de Orchidaceae de México; Base de datos SNIB-CONABIO, Proyecto No. KT005; Instituto Politécnico Nacional, Centro Interdisciplinario de Investigación para el Desarrollo Integral Regional Unidad Oaxaca: Mexico City, Mexico, 2020; pp. 52–54. [Google Scholar]
- Williams, L.O. The validity of the genus Schomburgkia. Darwiniana 1941, 5, 74–77. [Google Scholar]
- Van den Berg, C.; Chase, M.W. A reappraisal of Laeliinae: Taxonomic history, phylogeny and new generic alliances. Orchid Digest 2004, 68, 221–225. [Google Scholar]
- Peraza-Flores, L.N.; Carnevali, G.; van den Berg, C. A molecular phylogeny of the Laelia alliance (Orchidaceae) and a reassessment of Laelia and Schomburgkia. Taxon 2016, 65, 1249–1262. [Google Scholar] [CrossRef]
- Cetzal-Ix, W.; Carnevali, G.; Jiménez-Machorro, R.; Pérez-García, E.A. Laelia × meavei: A new natural hybrid between L. dawsonii fo. dawsonii and L. rubescens fo. peduncularis (Orchidaceae: Laeliinae) from Oaxaca, Mexico. Phytotaxa 2020, 446, 81–94. [Google Scholar] [CrossRef]
- Montaño-Arias, S.A.; Camargo-Ricalde, S.L.; Grether, R. Distribución conocida y potencial de dos taxa del género Mimosa (Leguminosae) endémicos de México. Rev. Biol. Trop. 2018, 66, 321–335. [Google Scholar] [CrossRef]
- Lannuzel, G.; Balmot, J.; Dubos, N.; Thibault, M.; Fogliani, B. High-resolution topographic variables accurately predict the distribution of rare plant species for conservation area selection in a narrow-endemism hotspot in New Caledonia. Biodivers. Conserv. 2021, 30, 963–990. [Google Scholar] [CrossRef]
- Guisan, A.; Thuiller, W. Predicting species distribution: Offering more than simple habitat models. Ecol. Lett. 2005, 8, 993–1009. [Google Scholar] [CrossRef]
- Wiens, J.J.; Graham, C.H. Niche conservatism: Integrating evolution, ecology, and conservation biology. Annu. Rev. Ecol. Evol. Syst. 2005, 36, 519–539. [Google Scholar] [CrossRef]
- Callmander, M.W.; Schatz, G.E.; Lowry, P.P.; Laivao, M.O.; Raharimampionona, J.; Andriambololonera, S.; Raminosoa, T.; Consiglio, T.K. Identification of priority areas for plant conservation in Madagascar using Red List criteria: Rare and threatened Pandanaceae indicate sites in need of protection. Oryx 2007, 41, 168–176. [Google Scholar] [CrossRef]
- Miller, J.S.; Morgan, H.A.P. Assessing the effectiveness of Madagascar’s changing protected areas system: A case study of threatened Boraginales. Oryx 2011, 45, 201–209. [Google Scholar] [CrossRef]
- Schleter, D. Ecology and the origin of species. Trends Ecol. Evol. 2001, 16, 372–380. [Google Scholar] [CrossRef]
- Levin, D.A. Niche shifts: The primary driver of novelty within angiosperm genera. Syst. Bot. 2005, 30, 9–15. [Google Scholar] [CrossRef]
- Raxworthy, C.J.; Ingram, C.M.; Rabibisoa, N.; Pearson, R.G. Applications of ecological niche modeling for species delimitation: A review and empirical evaluation using day geckos (Phelsuma) from Madagascar. Syst. Biol. 2007, 56, 907–923. [Google Scholar] [CrossRef]
- Martínez-Méndez, N.; Aguirre-Planter, E.; Eguiarte, L.E.; Jaramillo-Correa, J.P. Modelado de nicho ecológico de las especies del género Abies (Pinaceae) en México: Algunas implicaciones taxonómicas y para la conservación. Bot. Sci. 2016, 94, 5–24. [Google Scholar] [CrossRef]
- Zheng, H.; Fan, L.; Milne, R.I.; Zhang, L.; Wang, Y.; Mao, K. Species delimitation and lineage separation history of a species complex of Aspens in China. Front. Plant Sci. 2017, 8, 375. [Google Scholar] [CrossRef] [PubMed]
- Cicero, C.; Mason, N.A.; Jiménez, R.A.; Wait, D.R.; Wang-Claypool, C.Y.; Bowie, R.C.K. Integrative taxonomy and geographic sampling underlie successful species delimitation. Ornithology 2021, 138, ukab009. [Google Scholar] [CrossRef]
- Beltrán-Rodríguez, L.A.; Martínez-Rivera, B.; Paulo, A. Etnoecología de la Flor de Catarina-Laelia autumnalis (La Llave & Lex.) Lindl.)-(Orchidaceae) en una comunidad campesina al sur del Estado de Morelos, México: Conservando un Recurso y Preservando Saberes Populares. Etnobiología 2012, 10, 1–17. [Google Scholar]
- Ávila-Díaz, I.; Oyama, K. Conservation genetics of an endemic and endangered epiphytic Laelia speciosa (Orchidaceae). Am. J. Bot. 2007, 94, 184–193. [Google Scholar] [CrossRef]
- Hernández-Muñoz, S. Caracterización fenotípica de Laelia autumnalis (Lex.) Lindl. (Orchidaceae) en Michoacán, México. Master’s Thesis, Universidad Michoacana de San Nicolás de Hidalgo, Uruapan, Mexico, 2012. [Google Scholar]
- Hernández-Muñoz, S.; Pedraza-Santos, M.E.; López, P.A.; De La Cruz-Torres, E.; Fernández-Pavía, S.P.; Martínez-Palacios, A.; Martínez-Trujillo, M. Determinación de la DL50 Y GR50 con rayos gamma (60Co) en protocormos de Laelia autumnalis in vitro. Agrociencia 2017, 51, 507–524. [Google Scholar]
- Emeterio-Lara, A.; García-Franco, J.G.; Hernández-Apolinar, M.; Mora-Herrera, M.E.; Toledo-Hernández, V.H.; Valencia-Díaz, S.; Flores-Palacios, A. Endogamy costs and reproductive biology of Laelia autumnalis, an endemic orchid of Mexico. Plant Ecol. 2018, 219, 1423–1434. [Google Scholar] [CrossRef]
- Gómez, J.M. Inducción in vitro de poliploidía en Laelia autumnalis y Oncidium tigrinum, dos especies nativas de México. Mater’s Thesis, Universidad Michoacana de San Nicolás de Hidalgo, Uruapan, Mexico, 2019. [Google Scholar]
- Santos-Hernández, L.; Martínez-Garciía, M.; Campos, J.E.; Aguirre-León, E. In vitro propagation of Laelia albida (Orchidaceae) for conservation and ornamental purposes in Mexico. HortScience 2005, 40, 439–442. [Google Scholar] [CrossRef]
- Ávila-Díaz, I.; Oyama, K.; Gómez-Alonso, C.; Gómez-Alonso, R. In vitro propagation of the endangered orchid Laelia speciosa. Plant Cell Tissue Organ Cult. 2009, 99, 335–343. [Google Scholar] [CrossRef]
- Raya-Montaño, Y.A.; Carrillo-Castañeda, G.; Pedraza-Santos, M.E.; Corona-Torres, T.; Carrillo-Salazar, J.A.; Alcantar-González, G. Propagación in vitro de Laelia halbingeriana. Rev. Mex. Cienc. Agrícolas 2011, 2, 539–553. [Google Scholar]
- Salazar-Rojas, V.M.; Herrera-Cabrera, B.E.; Soto-Arenas, M.A.; Castillo-González, F. Morphological variation in Laelia anceps subsp. dawsonii f. chilapensis Soto-Arenas Orchidaceae in traditional home gardens of Chilapa, Guerrero, Mexico. Genet. Resour. Crop Evol. 2010, 57, 543–552. [Google Scholar] [CrossRef]
- Francisco, J.J.; Jiménez-Aparicio, A.R.; De Jesús-Sánchez, A.; Arenas-Ocampo, M.L.; Ventura-Zapata, E.; Evangelista-Lozano, S. Estudio de la morfología y aclimatación de plantas de Laelia eyermaniana Rchb. f. generadas in vitro. Polibotánica 2011, 32, 107–117. [Google Scholar]
- IUCN. The IUCN Red List of Threatened Species; Version 2022-1; IUCN Red List Unit: Cambridge, UK; Available online: https://www.iucnredlist.org (accessed on 22 July 2022).
- SEMARNAT. Norma Oficial Mexicana NOM-059-SEMARNAT-2010, Protección ambiental-Especies nativas de México de flora y fauna silvestres-Categorías de riesgo y especificaciones para su inclusión, exclusión o cambio-Lista de especies en riesgo. Secretaría del Medio Ambiente y Recursos Naturales. Diario Oficial de la Federación. Mexico City, Mexico. Available online: http://dof.gob.mx/nota_detalle.php?codigo=5173091&fecha=30/12/2010 (accessed on 2 January 2022).
- Villaseñor, J.L.; Ortiz, E. Biodiversidad de las plantas con flores (División Magnoliophyta) en México. Rev. Mex. Biodivers. 2014, 85, S134–S142. [Google Scholar] [CrossRef]
- Peterson, A.T.; Soberón, J.; Pearson, R.G.; Anderson, R.P.; Martínez-Meyer, E.; Nakamura, M.; Araújo, M.B. Ecological Niches and Geographic Distributions; Princeton University Press: Princeton, NJ, USA, 2011; p. 314. [Google Scholar]
- Peterson, A.T.; Papes, M.; Soberón, J. Rethinking receiver operating characteristic analysis applications in ecological niche modeling. Ecol. Model. 2008, 213, 63–72. [Google Scholar] [CrossRef]
- Fernández-Carevali, C.G.; Tapia-Muñoz, J.L.; Duno-de Stefano, R.; Ramírez-Morillo, M.I.; Can-Itza, L.; Hernández-Aguilar, S.; Castillo, A. La flora de la Península de Yucatán Mexicana: 250 años de conocimiento florístico. Biodiversitas 2012, 101, 6–10. [Google Scholar]
- Duno-de Stefano, R.; Ramírez-Morillo, I.M.; Tapia-Muñoz, J.L.; Hernández-Aguilar, S.; Can, L.L.; Cetzal-Ix, W.; Méndez-Jiménez, N.; Zamora-Crescencio, P.; Gutiérrez-Báez, C.; Carnevali-Fernández-Concha, G. Aspectos generales de la flora vascular de la Península de Yucatán, México. Bot. Sci. 2018, 96, 515–532. [Google Scholar] [CrossRef]
- Hágsater, E.; Soto-Arenas, M.A.; Salazar, G.A.; Jiménez, R.; López, M.A.; Dressler, R.L. Las orquídeas de México; Instituto Chinoin, A.C.: Mexico City, Mexico, 2005; p. 304. [Google Scholar]
- Dressler, R.L. Phylogeny and Classification of the Orchid Family; Dioscorides Press: Portland, OR, USA, 1993; p. 314. [Google Scholar]
- Salazar, G.A. Orchidaceae Juss. In Diversidad florística de Oaxaca: De musgos a angiospermas (colecciones y lista de especies); García-Mendoza, A.J., Meave, J.A., Eds.; Instituto de Biología, Universidad Nacional Autónoma de México-Comisión Nacional para el Conocimiento y Uso de la Biodiversidad: Mexico City, Mexico, 2012; pp. 324–339. [Google Scholar]
- Castillo-Pérez, L.J.; Martínez-Soto, D.; Maldonado-Miranda, J.J.; Alonso-Castro, A.J.; Carranza-Álvarez, C. The endemic orchids of Mexico: A review. Biologia 2018, 74, 1–13. [Google Scholar] [CrossRef]
- Archila, F.; Chiron, G.; Szlachetko, D.; Bertolini, V.; Pérez-García, E.A. Laelia mottae (Orchidaceae): Una especie nueva del complejo de Laelia anceps Lindl. Bot. Sci. 2014, 92, 343–350. [Google Scholar] [CrossRef]
- Salazar, G.A.; Jiménez-Machorro, R.; Huerta, H.M.; Hágsater, E. A new species and a new natural hybrid of Laelia (Orchidaceae) from Oaxaca, Mexico. Phytotaxa 2014, 178, 161–170. [Google Scholar] [CrossRef]
- Thornhill, H.A.; Mishler, D.B.; Knerr, J.N.; González-Orozco, E.C.; Costion, M.C.; Crayn, M.D.; Shawn, W.L.; Miller, T.J. Continental scale spatial phylogenetics of Australian angiosperms provides insights into ecology, evolution and conservation. J. Biogeogr. 2016, 43, 2085–2098. [Google Scholar] [CrossRef]
- Morrone, J.J. Neotropical Biogeography: Regionalization and Evolution; CRC Press: Boca Raton, FL, USA, 2017; p. 312. [Google Scholar]
- Morrone, J.J. Regionalización biogeográfica y evolución biótica de México: Encrucijada de la biodiversidad del Nuevo Mundo. Rev. Mex. Biodivers. 2019, 90, 1–68. [Google Scholar] [CrossRef]
- Suárez-Mota, M.E.; Villaseñor, J.L.; López-Mata, L. Dominios climáticos de la Sierra Madre Oriental y su relación con la diversidad florística. Rev. Mex. Biodivers. 2017, 88, 224–233. [Google Scholar] [CrossRef]
- Salinas-Rodríguez, M.M. Conocimiento, manejo y conservación de la diversidad florística de la Sierra Madre Oriental. Ph.D. Thesis, Universidad Autónoma de Nuevo León, San Nicolás de los Garza, Mexico, 2015. [Google Scholar]
- Aragón-Parada, J.; Rodríguez, A.; Munguía-Lino, G.; De-Nova, J.A.; Salinas-Rodríguez, M.M.; Carrillo-Reyes, P. Endemic vascular plants of the Sierra Madre del Sur, Mexico. Bot. Sci. 2021, 99, 643–660. [Google Scholar] [CrossRef]
- Dinerstein, E.; Olson, M.D.; Graham, J.D.; Webster, L.A.; Primm, A.S.; Bookbinder, P.M.; Ledec, G. Una Evaluación del Estado de Conservación de Las Ecorregiones Terrestres de América Latina y el Caribe; World Bank: Washington, DC, USA, 1995; p. 135. [Google Scholar]
- Menchaca, G.A.R.; Moreno, M.D. Conservación de Orquídeas, una Tarea de Todos; Universidad Autónoma Chapingo: Chapingo, Mexico, 2011; p. 43. [Google Scholar]
- Bertolini, V.; Damon, A.; Luna, F.R.; Rojas, Á.N. Las orquídeas del Valle de Mezquital, Hidalgo, resultados preliminares. Rev. Chapingo Ser. Zonas Áridas 2012, 11, 85–94. [Google Scholar]
- Meave, J.A.; Romero-Romero, M.A.; Salas-Morales, S.H.; Pérez-García, E.A.; Gallardo-Cruz, J.A. Diversidad, amenazas y oportunidades para la conservación del bosque tropical caducifolio en el estado de Oaxaca. Ecosistemas 2012, 21, 85–100. [Google Scholar]
- Rzedowski, J.; Calderón, G. Datos para la apreciación de la flora fanerogámica del bosque tropical caducifolio de México. Acta Bot. Mex. 2013, 102, 1–23. [Google Scholar] [CrossRef]
- Medina-García, C.; Velázquez, A.; Giménez de Azcárate, J.; Macías-Rodríguez, M.Á.; Larrazábal, A.; Gopar-Merino, L.F.; López-Barrera, F.; Pérez-Vega, A. Phytosociology of a Seasonally Dry Tropical Forest in the State of Michoacán, Mexico. Bot. Sci. 2020, 98, 441–467. [Google Scholar] [CrossRef]
- Gutiérrez-Hernández, R.; Sahagún-Sánchez, F.J.; Delgado-Sánchez, P.; Castillo-Lara, P.; Fortanelli-Martínez, J.; Reyes-Hernández, H.; De-Nova, J.A. Reevaluation of the seasonally dry tropical forest of the Biosphere Reserve Sierra del Abra and suitable areas for conservation. Bot. Sci. 2021, 99, 735–751. [Google Scholar] [CrossRef]
- Téllez-Velasco, M.A.A. Diagnóstico de la Familia Orchidaceae en México; Universidad Autónoma de Chapingo: Texcoco, Mexico, 2011; p. 123. [Google Scholar]
- Damon, A.; Bertolini, V. Modelación de la Distribución Geográfica de las Orchidaceae del Soconusco; Informe final SNIB-CONABIO, proyecto No. JM061; El Colegio de la Frontera Sur, Unidad Tapachula: Mexico City, Mexico, 2015; p. 39. [Google Scholar]
- Miguez-Gutiérrez, A.; Castillo, J.; Márquez, J.; Goyenechea, I. Biogeografía de la Zona de Transición Mexicana con base en un análisis de árboles reconciliados. Rev. Mex. Biodivers. 2013, 84, 215–224. [Google Scholar] [CrossRef]
- Morrone, J.J. Biogeographical regionalisation of the Neotropical region. Zootaxa 2014, 3782, 1–110. [Google Scholar] [CrossRef] [PubMed]
- Halffter, G.; Morrone, J.J. An analytical review of Halffter’s Mexican transition zone, and its relevance for evolutionary biogeography, ecology and biogeographical regionalization. Zootaxa 2017, 4226, 1–46. [Google Scholar] [CrossRef] [PubMed]
- Espinosa, D.; Ocegueda-Cruz, S.; Luna-Vega, I. Introducción al estudio de la biodiversidad de la Sierra Madre del Sur: Una visión general. In Biodiversidad de la Sierra Madre del Sur: Una Síntesis Preliminar; Luna-Vega, I., Espinosa, D., Contreras-Medina, R., Eds.; Universidad Nacional Autónoma de México: Mexico City, Mexico, 2016; pp. 23–36. [Google Scholar]
- Santiago-Alvarado, M.; Montaño-Arias, G.; Espinosa, D. Áreas de endemismo de la Sierra Madre del Sur. In Biodiversidad de la Sierra Madre del Sur: Una Síntesis Preliminar; Luna-Vega, I., Espinosa, D., Contreras-Medina, R., Eds.; Universidad Nacional Autónoma de México: Mexico City, Mexico, 2016; pp. 431–448. [Google Scholar]
- Salinas-Rodríguez, M.M.; Sajama, M.J.; Gutierrez-Ortega, J.S.; Ortega-Baes, P.; Estrada-Castillón, A.E. Identification of endemic vascular plant species hotspots and the effectiveness of the protected areas for their conservation in Sierra Madre Oriental, Mexico. J. Nat. Conserv. 2018, 46, 6–27. [Google Scholar] [CrossRef]
- Pérez-García, E.A.; Meave, J.; Gallardo, C. Vegetación y flora de la región de Nizanda, Istmo de Tehuantepec, Oaxaca, México. Acta Bot. Mex. 2001, 56, 19–78. [Google Scholar] [CrossRef]
- Gutiérrez-Rodríguez, C.; Ornelas, J.F.; Rodríguez-Gómez, F. Chloroplast DNA phylogeography of a distylous shrub (Palicourea padifolia, Rubiaceae) reveals past fragmentation and demographic expansion in Mexican cloud forests. Mol. Phylogenetics Evol. 2011, 61, 603–615. [Google Scholar] [CrossRef]
- Soto-Arenas, M.A.; Solano-Gómez, A.R. Ficha técnica de Laelia gouldiana. In Información actualizada sobre las especies de orquídeas del PROY-NOM-059-ECOL-2000; Bases de datos SNIB-CONABIO. Proyecto No. W029; Soto-Arenas, M.A. Comp. Instituto Chinoin A.C., Herbario de la Asociación Mexicana de Orquideología A.C.: Mexico City, Mexico, 2007; p. 4. [Google Scholar]
- Morrison III, W.R.; Lohr, J.L.; Duchen, P.; Wilches, R.; Trujillo, D.; Mair, M.; Renner, S.S. The impact of taxonomic change on conservation: Does it kill, can it save, or is it just irrelevant? Biol. Conserv. 2009, 142, 3201–3206. [Google Scholar] [CrossRef]
- Mace, G.M. The role of taxonomy in species conservation. Philos. Trans. R. Soc. Lond. Ser. B Biol. Sci. 2004, 359, 711–719. [Google Scholar] [CrossRef] [PubMed]
- Raposo, M.A.; Stopiglia, R.; Brito, G.R.R.; Bockmann, F.A.; Kirwan, G.M.; Gayon, J.; Dubois, A. What really hampers taxonomy and conservation? A riposte to Garnett and Christidis (2017). Zootaxa 2017, 4317, 179–184. [Google Scholar] [CrossRef]
- Thomson, S.A.; Pyle, R.L.; Ahyong, S.T.; Alonso-Zarazaga, M.; Ammirati, J.; Araya, J.F.; Ascher, J.S.; Audisio, T.L.; Azevedo-Santos, V.M.; Bailly, N.; et al. Taxonomy based on science is necessary for global conservation. PLoS Biol. 2018, 16, e2005075. [Google Scholar] [CrossRef]
- Mu, X.Y.; Wu, J.; Wu, J. Taxonomic uncertainty and its conservation implications in management, a case from Pyrus hopeiensis (Rosaceae). Diversity 2022, 14, 417. [Google Scholar] [CrossRef]
- Kolb, M.; Galicia, L. Challenging the linear forestation narrative in the Neo-tropic: Regional patterns and processes of deforestation and regeneration in southern Mexico. Geogr. J. 2012, 178, 147–161. [Google Scholar] [CrossRef]
- Díaz-Álvarez, E.A.; Felix, J.D.; de la Barrera, E. Elemental and isotopic assessment for Colombian orchids from a montane cloud forest: A baseline for global environmental change. Acta Physiol. Plant 2019, 41, 99. [Google Scholar] [CrossRef]
- Forest, F.; Grenyer, R.; Rouget, M.; Davies, T.J.; Cowling, R.M.; Faith, D.P.; Balmford, A.; Manning, J.C.; Proches, S.; Van der Bank, M.; et al. Preserving the evolutionary potential of floras in biodiversity hotspots. Nature 2007, 445, 757. [Google Scholar] [CrossRef]
- Crain, B.J.; White, J.W.; Steinberg, S.J. Geographic discrepancies between global and local rarity richness patterns and the implications for conservation. Biodivers. Conserv. 2011, 20, 3489–3500. [Google Scholar] [CrossRef]
- Thiers, B. Index Herbariorum: A Global Directory of Public Herbaria and Associated Satff. New York Botanical Garden’s Virtual Herbarium. Available online: http://sweetgum.nybg.org/science/ih/ (accessed on 5 April 2022).
- Minn, M. MMQGIS. A Collection of QGIS Vector Layer Operation Plugins. Available online: http://michaelminn.com/linux/mmqgis/ (accessed on 13 March 2022).
- QGIS Development Team. QGIS Geographic Information System, Version Las Palmas 3.10.9. Open Source Geospatial Foundation Project. Available online: http://qgis.osgeo.org (accessed on 13 March 2022).
- Fick, S.E.; Hijmans, R.J. WorldClim 2: New 1-km spatial resolution climate surfaces for global land areas. Int. J. Climatol. 2017, 37, 4302–4315. [Google Scholar] [CrossRef]
- Title, P.O.; Bemmels, J.B. ENVIREM: An expanded set of bioclimatic and topographic variables increases flexibility and improves performance of ecological niche modeling. Ecography 2018, 41, 291–307. [Google Scholar] [CrossRef]
- Amatulli, G.; Domisch, S.; Tuanmu, M.N.; Parmentier, B.; Ranipeta, A.; Malczyk, J.; Jetz, W. A suite of global, cross-scale topographic variables for environmental and biodiversity modeling. Sci. Data 2018, 5, 180040. [Google Scholar] [CrossRef] [PubMed]
- R Core Team. R: A Language and Environment for Statistical Computing. Vienna, Austria: R Foundation for Statistical Computing. Available online: https://www.R-project.org/ (accessed on 14 March 2022).
- Aiello-Lammens, M.E.; Boria, R.A.; Radosavlijevic, A.; Vilela, B.; Anderson, R.P. spThin: An R package for spatial thinning of species occurrence records for use in ecological niche models. Ecography 2015, 38, 541–545. [Google Scholar] [CrossRef]
- RStudio Team. RStudio: Integrated Development for R. MA: RStudio, PBC, Boston. Available online: http://www.rstudio.com/ (accessed on 18 March 2022).
- Laffan, S.W.; Lubarsky, E.; Rosauer, D.F. Biodiverse, a tool for the spatial analysis of biological and related diversity. Ecography 2010, 33, 643–647. [Google Scholar] [CrossRef]
- Laffan, S.W.; Ramp, D.; Roger, E. Using endemism to assess representation of protected areas–The family Myrtaceae in the Greater Blue Mountains World Heritage Area. J. Biogeogr. 2012, 40, 570–578. [Google Scholar] [CrossRef]
- INEGI. División Política Estatal 1:250000. 2019. Available online: https://www.inegi.org.mx/app/biblioteca/ficha.html?upc=889463674658 (accessed on 14 December 2021).
- Escalante, E.T. ¿Cuantas Especies Hay? Los Estimadores No Parametricos De Chao. Elementos 2003, 52, 53–56. [Google Scholar]
- Crisp, M.D.; Laffan, S.; Linder, H.P.; Monro, A. Endemism in the Australian flora. J. Biogeogr. 2001, 28, 183–198. [Google Scholar] [CrossRef]
- Linder, H.P. Plant diversity and endemism in sub-Saharan tropical Africa. J. Biogeogr. 2001, 28, 169–182. [Google Scholar] [CrossRef]
- Morrone, J.J.; Escalante, T.; Rodríguez-Tapia, G. Mexican biogeographic provinces: Map and shapefiles. Zootaxa 2017, 4277, 277–279. [Google Scholar] [CrossRef] [PubMed]
- Phillips, S.J.; Anderson, R.P.; Schapire, R.E. Maximum entropy modeling of species geographic distributions. Ecol. Model. 2006, 190, 231–259. [Google Scholar] [CrossRef]
- INEGI. Subcuencas Hidrológicas de México 2010, Escala: 1:50000. Available online: https://idegeo.centrogeo.org.mx/layers/geonode:redsubciigw/layer_info_metadata (accessed on 15 April 2022).
- Lehner, B.; Grill, G. Global river hydrography and network routing: Baseline data and new approaches to study the world’s large river systems. Hydrol. Process. 2013, 27, 2171–2186. [Google Scholar] [CrossRef]
- Elith, J.; Phillips, S.J.; Hastie, T.; Dudík, M.; Chee, Y.E.; Yates, C.J. A statistical explanation of MaxEnt for ecologists. Divers. Distrib. 2011, 17, 43–57. [Google Scholar] [CrossRef]
- Lobo, J.M.; Jiménez-Valverde, A.; Real, R. AUC: A misleading measure of the performance of predictive distribution models. Glob. Ecol. Biogeogr. 2008, 17, 145–151. [Google Scholar] [CrossRef]
- Osorio-Olvera, L.; Lira-Noriega, A.; Soberón, J.; Peterson, A.T.; Falconi, M.; Contreras-Díaz, R.G.; Martínez-Meyer, E.; Barve, V.; Barve, N. ntbox: An R package with graphical user interface for modeling and evaluating multidimensional ecological niches. Methods Ecol. Evol. 2020, 11, 1199–1206. [Google Scholar] [CrossRef]








| Species | States | Biomes | Risk Category |
|---|---|---|---|
| * Laelia albida Bateman ex Lindl. | Guerrero, Jalisco, Nayarit, Oaxaca, Puebla | HMF, TF, TSDF, XS | - |
| S Laelia anceps Lindl. | Chiapas, Guerrero, Hidalgo, San Luis Potosi, Oaxaca, Puebla, Querétaro, Tamaulipas, Veracruz | HMF, TF, TSDF, THF, XS | - |
| *S Laelia aurea A.V.Navarro | Nayarit, Sinaloa | BTES, THF | T |
| * Laelia autumnalis (Lex.) Lindl. | Aguascalientes, Guerrero, Guanajuato, Jalisco, Mexico, Michoacan, Morelos, Nayarit, Puebla, Zacatecas | TF, TSDF | SP |
| * Laelia crawshayana Rchb. f. | Jalisco | TF | E |
| *S Laelia dawsonii (J.Anderson) Crawshay | Guerrero, Oaxaca | TF | E |
| * Laelia eyermaniana Rchb. f. | Chihuahua, Durango, Guanajuato, Jalisco, Michoacan, Sinaloa, Sonora | TF, TSDF, XS | - |
| * Laelia furfuracea Lindl. | Oaxaca | TF, TSDF, XS | SP |
| * Laelia gouldiana Rchb. f. | Hidalgo | XS | PE |
| *S Laelia halbingeriana Salazar and Soto Arenas | Oaxaca | TF, TSDF | SP |
| SLaelia rubescens Lindl. | Campeche, Chiapas, Guerrero, Jalisco, Michoacan, Nayarit, Oaxaca, Puebla, Tabasco, Yucatán | TF, TSDF, THF | - |
| * Laelia speciosa (Kunth) Schltr. | Aguascalientes, Durango, Guanajuato, Hidalgo, Jalisco, México, Michoacan, Nayarit, Querétaro, San Luis Potosi, Tamaulipas, Zacatecas | TF, TSDF, XS | SP |
| SLaelia superbiens Lindl. | Chiapas, Oaxaca | HMF, TF, TSDF, THF | T |
| Laelia × meavei Cetzal and E.A.Pérez-García | Oaxaca | TF | - |
| SLaelia × oaxacana Salazar and R.Jimenéz | Oaxaca | - | - |
| Laelia × tlaxiacoensis Solano and Cruz-García | Oaxaca | TF | - |
| Specie | AUC Values | Partial ROC Values | |||
|---|---|---|---|---|---|
| First Model | Second Model | AUC Ratio | AUC at 0.05 | AUC at 0.5 | |
| Laelia albida | 0.906 | 0.846 | 1.71512 | 0.8573766 | 0.4998921 |
| Laelia anceps | 0.939 | 0.877 | 1.772603 | 0.8862974 | 0.4999978 |
| Laelia autumnalis | 0.911 | 0.882 | 1.800182 | 0.9000443 | 0.4999739 |
| Laelia crawshayana | 0.950 | 0.896 | 1.904308 | 0.9521538 | 0.5 |
| Laelia eyermaniana | 0.969 | 0.937 | 1.851861 | 0.9259304 | 0.5 |
| Laelia furfuracea | 0.949 | 0.923 | 1.796921 | 0.8984603 | 0.5 |
| Laelia gouldiana | 0.985 | 0.977 | 1.978512 | 0.989256 | 0.5 |
| Laelia halbingeriana | 0.981 | 0.957 | 1.939727 | 0.9698633 | 0.5 |
| Laelia rubescens | 0.920 | 0.871 | 1.728172 | 0.8640831 | 0.4999983 |
| Laelia speciosa | 0.911 | 0.858 | 1.680408 | 0.8401278 | 0.4999539 |
| Laelia superbiens | 0.967 | 0.926 | 1.841885 | 0.9209425 | 0.5 |
| Taxa | Biogeographical Provinces | |
|---|---|---|
| Current Distribution | Potencial Distribution | |
| Laelia albida | BB, TMVB, SMOC, SMS, PL | * CD |
| Laelia anceps | CH, BB, TMVB, SMOR, SMS, PL, VE | * CD, * TAM |
| Laelia aurea | TMVB, PL | - |
| Laelia autumnalis | BB, CD, TMVB, SMOC, SMS | * SMOR, * PL |
| Laelia crawshayana | SMS | * TMVB, * PL |
| Laelia dawsonii | BB, SMS | - |
| Laelia eyermaniana | CD, TMVB, SMOC, PL | * SMS, * SMOR |
| Laelia furfuracea | BB, SMS, PL | * TMVB |
| Laelia gouldiana | SMOR | * TMVB |
| Laelia halbingeriana | BB, SMS | * VE |
| Laelia × meavei | SMS | - |
| Laelia × oaxacana | SMS | - |
| Laelia rubescens | CH, BB, YP, SMS, PL, VE | * TMVB |
| Laelia speciosa | CD, TMVB, SMOC, SMOR, PL | * BB, * SMS, * VE |
| Laelia superbiens | CH, SMS, VE | * BB, * PL |
| Laelia × tlaxiacoensis | SMS | - |
| Groups | Differences | lwr | upr | P adj |
|---|---|---|---|---|
| PC1 | ||||
| ×Schombolaelia–Laelia s.s. | −0.8845211 | −2.937996 | 1.168954 | 0.5691817 |
| Schomburgkia–Laelia s.s. | −4.7513664 | −5.185570 | −4.317163 | 0.0000000 ** |
| Schomburgkia–×Schombolaelia | −3.8668453 | −5.932416 | −1.801274 | 0.0000395 ** |
| PC2 | ||||
| ×Schombolaelia–Laelia s.s. | −1.6353768 | −3.94528089 | 0.6745272 | 0.2200067 |
| Schomburgkia–Laelia s.s. | 0.6413184 | 0.15289318 | 1.1297437 | 0.0060518 ** |
| Schomburgkia–×Schombolaelia | 2.2766952 | −0.04681523 | 4.6002057 | 0.0562423 |
Publisher’s Note: MDPI stays neutral with regard to jurisdictional claims in published maps and institutional affiliations. |
© 2022 by the authors. Licensee MDPI, Basel, Switzerland. This article is an open access article distributed under the terms and conditions of the Creative Commons Attribution (CC BY) license (https://creativecommons.org/licenses/by/4.0/).
Share and Cite
Olivares-Juárez, M.I.; Burgos-Hernández, M.; Santiago-Alvarádo, M. Patterns of Species Richness and Distribution of the Genus Laelia s.l. vs. Laelia s.s. (Laeliinae: Epidendroideae: Orchidaceae) in Mexico: Taxonomic Contribution and Conservation Implications. Plants 2022, 11, 2742. https://doi.org/10.3390/plants11202742
Olivares-Juárez MI, Burgos-Hernández M, Santiago-Alvarádo M. Patterns of Species Richness and Distribution of the Genus Laelia s.l. vs. Laelia s.s. (Laeliinae: Epidendroideae: Orchidaceae) in Mexico: Taxonomic Contribution and Conservation Implications. Plants. 2022; 11(20):2742. https://doi.org/10.3390/plants11202742
Chicago/Turabian StyleOlivares-Juárez, Ma. Isabel, Mireya Burgos-Hernández, and Margarita Santiago-Alvarádo. 2022. "Patterns of Species Richness and Distribution of the Genus Laelia s.l. vs. Laelia s.s. (Laeliinae: Epidendroideae: Orchidaceae) in Mexico: Taxonomic Contribution and Conservation Implications" Plants 11, no. 20: 2742. https://doi.org/10.3390/plants11202742
APA StyleOlivares-Juárez, M. I., Burgos-Hernández, M., & Santiago-Alvarádo, M. (2022). Patterns of Species Richness and Distribution of the Genus Laelia s.l. vs. Laelia s.s. (Laeliinae: Epidendroideae: Orchidaceae) in Mexico: Taxonomic Contribution and Conservation Implications. Plants, 11(20), 2742. https://doi.org/10.3390/plants11202742

