Human Robot Hand Interaction with Plastic Deformation Control
Abstract
1. Introduction
2. Plastic Deformation Control
2.1. Nominal Control Law
2.2. Plastic Deformation Control with the Inner Position Loop
3. System Configuration
3.1. High-Speed Finger with a Force Sensor
3.2. Real-Time Control System
4. Simulation
4.1. Simulation with Fiction Error
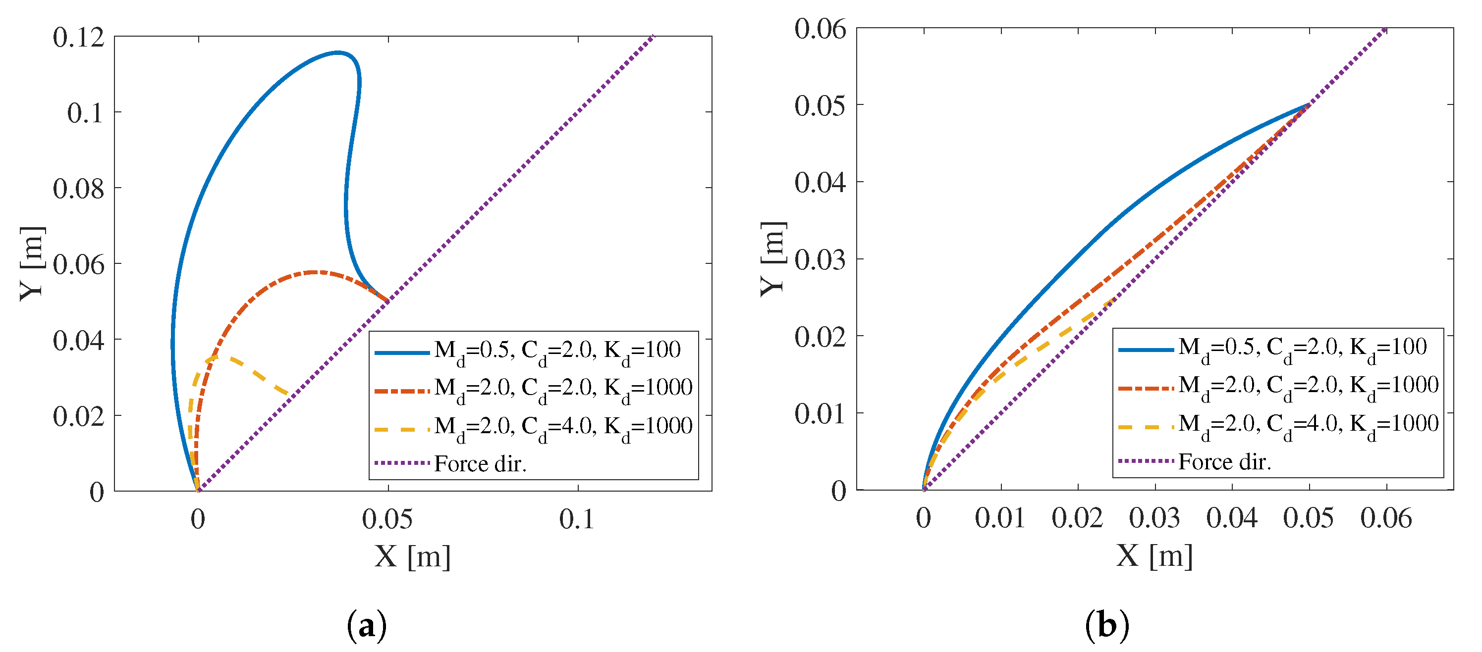
4.2. Simulation by Varying the Parameter with Error
5. Experiment
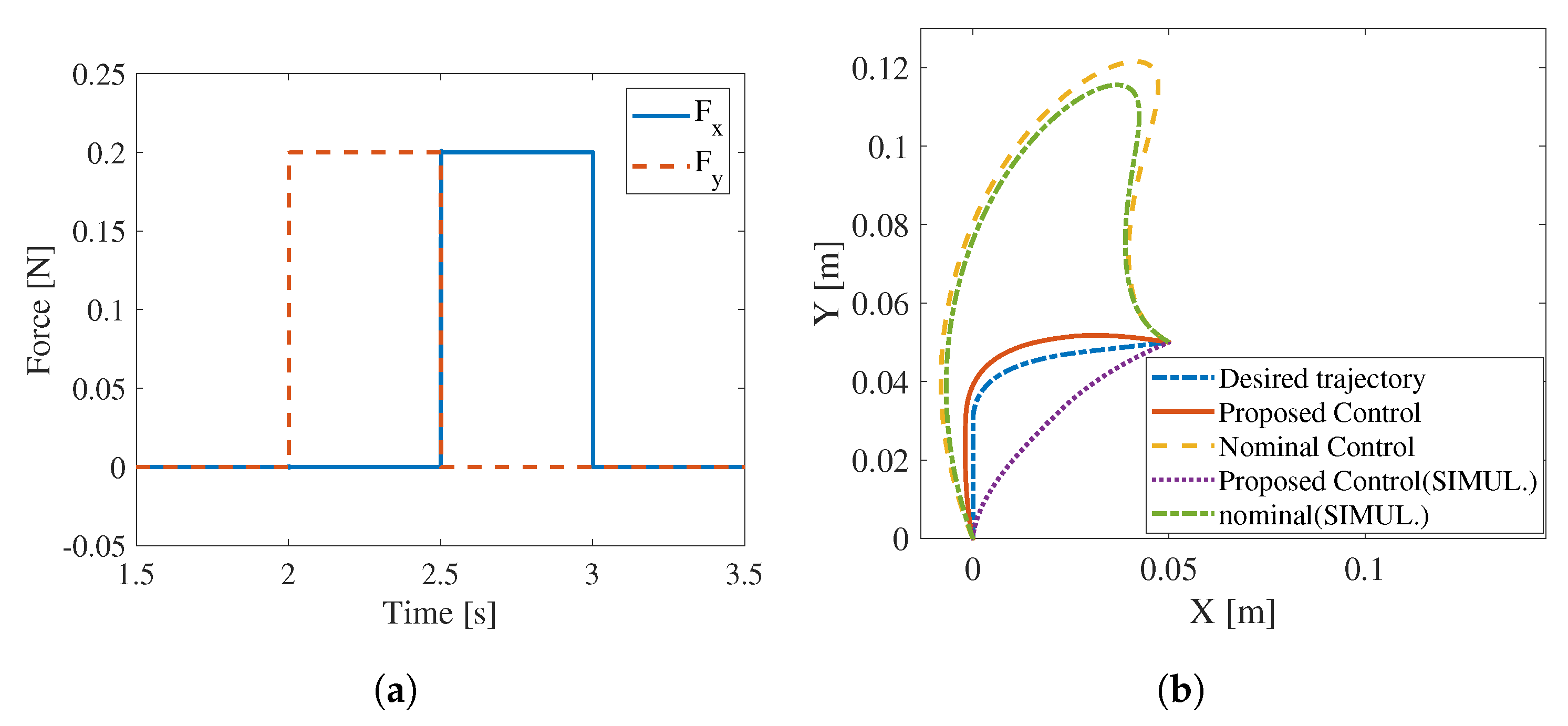
5.1. Applying Virtual Constant Force
5.2. Pushing the Fingertip with Human Finger
6. Conclusions
Author Contributions
Funding
Conflicts of Interest
References
- Zhang, G.; Furusho, J.; Sakaguchi, M. Vibration Suppression Control of Robot Arms Using a Homogeneous-Type Electrorheological Fluid. IEEE/ASME Trans. Mechatron. 2000, 5, 302–309. [Google Scholar] [CrossRef]
- Chou, C.P.; Hannaford, B. Measurement and Modeling of McKibben Pneumatic Artificial Muscles. IEEE Trans. Robot. Autom. 1996, 12, 90–102. [Google Scholar] [CrossRef]
- Salisbury, J.K. Active Stiffness Control of a Manipulator in Cartesian Coordinates. In Proceedings of the 1980 19th IEEE Conference on Decision and Control including the Symposium on Adaptive Processes, Albuquerque, NM, USA, 10–12 December 1980; pp. 95–100. [Google Scholar]
- Hogan, N. Impedance Control: An Approach to Manipulation: Part I-Theory. J. Dyn. Syst. Meas. Control 1985, 107, 1–7. [Google Scholar] [CrossRef]
- Lu, W.S.; Meng, Q.H. Impedance Control with Adaptation for Robotic Manipulations. IEEE Trans. Robot. Autom. 1991, 7, 408–415. [Google Scholar] [CrossRef]
- Senoo, T.; Koike, M.; Murakami, K.; Ishikawa, M. Impedance Control Design Based on Plastic Deformation for a Robotic Arm. IEEE Robot. Autom. Lett. 2017, 2, 209–216. [Google Scholar] [CrossRef]
- Senoo, T.; Koike, M.; Murakami, K.; Ishikawa, M. Visual Shock Absorber Based on Maxwell Model for Anti-Rebound Control. In Proceedings of the 2015 IEEE/RSJ International Conference on Intelligent Robots and Systems (IROS), Hamburg, Germany, 28 Sepember–2 October 2015; pp. 1640–1645. [Google Scholar]
- Senoo, T.; Jinnai, G.; Murakami, K.; Ishikawa, M. Deformation Control of a Multijoint Manipulator Based on Maxwell and Voigt Models. In Proceedings of the 2016 IEEE/RSJ International Conference on Intelligent Robots and Systems (IROS), Daejeon, Korea, 9–14 October 2016; pp. 2711–2716. [Google Scholar]
- Senoo, T.; Murakami, K.; Ishikawa, M. Deformation Control of a Manipulator Based on the Zener Model. J. Robot. Mechatron. 2019, 31, 263–273. [Google Scholar] [CrossRef]
- Chiaverini, S.; Siciliano, B.; Villani, L. A survey of robot interaction control schemes with experimental comparison. IEEE/ASME Trans. Mechatron. 1999, 4, 273–285. [Google Scholar] [CrossRef]
- Chien, M.C.; Huang, A.C. Adaptive impedance control of robot manipulators based on function approximation technique. Robotica 2004, 22, 395. [Google Scholar] [CrossRef]
- Lu, Z.; Goldenberg, A.A. Robust impedance control and force regulation: Theory and experiments. Int. J. Robot. Res. 1995, 14, 225–254. [Google Scholar]
- Liu, Y.J.; Gao, Y.; Tong, S.; Li, Y. Fuzzy approximation-based adaptive backstepping optimal control for a class of nonlinear discrete-time systems with dead-zone. IEEE Trans. Fuzzy Syst. 2015, 24, 16–28. [Google Scholar] [CrossRef]
- Chan, S.; Yao, B.; Gao, W.; Cheng, M. Robust impedance control of robot manipulators. Int. J. Robot. Autom. 1991, 6, 220–227. [Google Scholar]
- Jung, S.; Hsia, T. Neural network impedance force control of robot manipulator. IEEE Trans. Ind. Electron. 1998, 45, 451–461. [Google Scholar] [CrossRef]
- Seraji, H.; Colbaugh, R. Force tracking in impedance control. Int. J. Robot. Res. 1997, 16, 97–117. [Google Scholar] [CrossRef]
- Colbaugh, R.; Seraji, H.; Glass, K. Direct adaptive impedance control of robot manipulators. J. Robot. Syst. 1993, 10, 217–248. [Google Scholar] [CrossRef]
- Kelly, R.; Carelli, R.; Amestegui, M.; Ortega, R. On adaptive impedance control of robot manipulators. In Proceedings of the 1989 IEEE International Conference on Robotics and Automation, Scottsdale, AZ, USA, 14–19 May 1989; pp. 572–573. [Google Scholar]
- Murakami, K.; Ishimoto, K.; Senoo, T.; Ishikawa, M. Robot Hand Interaction Using Plastic Deformation Control with Inner Position Loop. In Proceedings of the 2020 IEEE/ASME International Conference on Advanced Intelligent Mechatronics (AIM), Boston, MA, USA, 6–9 July 2020; pp. 1748–1753. [Google Scholar]
- Phan-Thien, N.; Mai-Duy, N. Understanding Viscoelasticity: An Introduction to Rheology; Springer: New York, NY, USA, 2017; pp. 108–110. [Google Scholar]
- Namiki, A.; Imai, Y.; Ishikawa, M. Development of a high-speed multifingered hand system and its application to catching. In Proceedings of the IEEE/RSJ International Conference on Intelligent Robots and Systems, Las Vegas, NV, USA, 27–31 October 2003; pp. 2666–2671. [Google Scholar]
- Senoo, T.; Namik, A.; Ishikawa, M. High-speed Throwing Motion Based on Kinetic Chain Approach. In Proceedings of the 2008 IEEE/RSJ International Conference on Intelligent Robots and Systems, Nice, France, 22–26 September 2008; pp. 3206–3211. [Google Scholar]
















| Model | Voigt Model | Maxwell Model |
|---|---|---|
| Deformation type | Elastic deformation | Plastic deformation |
| Connection configuration | Parallel | Series |
| Corresponding control law | Impedance control | Plastic deformation control |
| Diagram | ![]() | ![]() |
| Joint 1 | Joint 2 | |
|---|---|---|
| Reduction rate | 50 | 50 |
| Maximum torque [Nm] | 0.9 | 0.21 |
| Maximum speed [rpm] | 200 | 200 |
© 2020 by the authors. Licensee MDPI, Basel, Switzerland. This article is an open access article distributed under the terms and conditions of the Creative Commons Attribution (CC BY) license (http://creativecommons.org/licenses/by/4.0/).
Share and Cite
Murakami, K.; Ishimoto, K.; Senoo, T.; Ishikawa, M. Human Robot Hand Interaction with Plastic Deformation Control. Robotics 2020, 9, 73. https://doi.org/10.3390/robotics9030073
Murakami K, Ishimoto K, Senoo T, Ishikawa M. Human Robot Hand Interaction with Plastic Deformation Control. Robotics. 2020; 9(3):73. https://doi.org/10.3390/robotics9030073
Chicago/Turabian StyleMurakami, Kenichi, Koki Ishimoto, Taku Senoo, and Masatoshi Ishikawa. 2020. "Human Robot Hand Interaction with Plastic Deformation Control" Robotics 9, no. 3: 73. https://doi.org/10.3390/robotics9030073
APA StyleMurakami, K., Ishimoto, K., Senoo, T., & Ishikawa, M. (2020). Human Robot Hand Interaction with Plastic Deformation Control. Robotics, 9(3), 73. https://doi.org/10.3390/robotics9030073



