Can a Rotating Black Hole Be Overspun in Seven Dimensions?
Abstract
1. Introduction
2. Odd and Even Dimensional Rotating Myers–Perry Black Hole Spacetimes
3. Overspinning of Seven-Dimensional Rotating Black under a Linear Particle Accretion
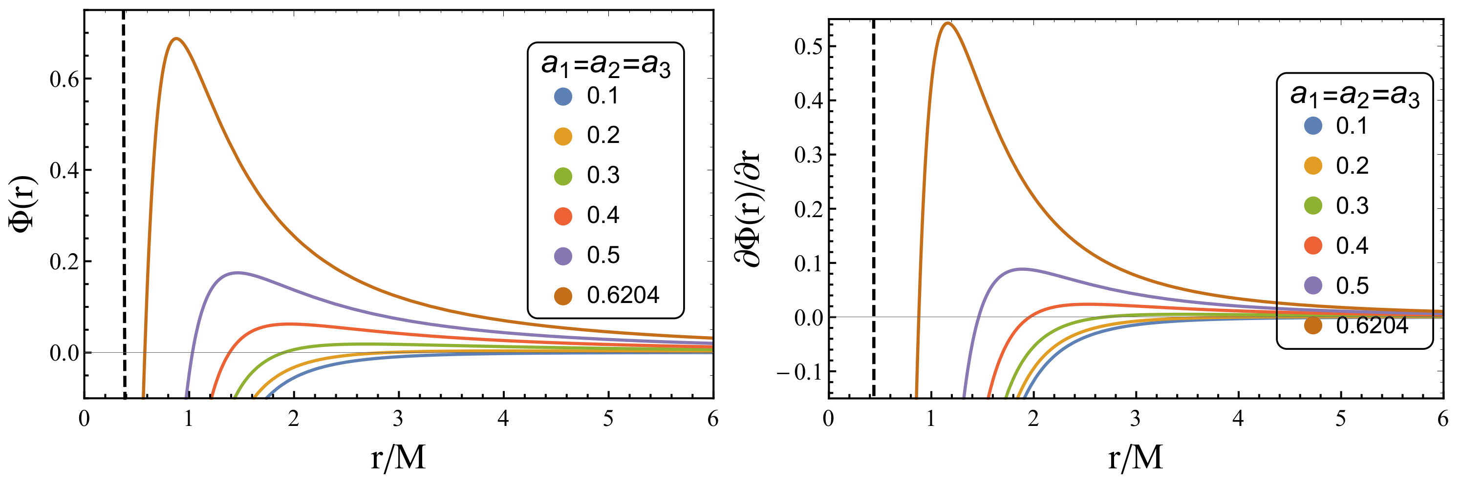
3.1. Black Hole with Maximum Three Rotations , and in Seven Dimensions
- which defines an extremal black hole:
- Near extremal black hole:
3.2. Black Hole with Two Rotations and in Seven Dimensions
3.3. Black Hole Having Only Single Rotation in Seven Dimensions
4. Conclusions
Author Contributions
Funding
Data Availability Statement
Acknowledgments
Conflicts of Interest
References
- Abbott, B.P.; Abbott, R.; Abbott, T.D.; Abernathy, M.R.; Acernese, F.; Ackley, K.; Adams, C.; Adams, T.; Addesso, P.; Adhikari, R.X.; et al. Observation of Gravitational Waves from a Binary Black Hole Merger. Phys. Rev. Lett. 2016, 116, 061102. [Google Scholar] [CrossRef]
- Abbott, B.P.; Abbott, R.; Abbott, T.D.; Abernathy, M.R.; Acernese, F.; Ackley, K.; Adams, C.; Adams, T.; Addesso, P.; Adhikari, R.X.; et al. Properties of the Binary Black Hole Merger GW150914. Phys. Rev. Lett. 2016, 116, 241102. [Google Scholar] [CrossRef]
- Event Horizon Telescope Collaboration. First M87 Event Horizon Telescope Results. I. The Shadow of the Supermassive Black Hole. Astrophys. J. 2019, 875, L1. [Google Scholar] [CrossRef]
- Event Horizon Telescope Collaboration. First M87 Event Horizon Telescope Results. VI. The Shadow and Mass of the Central Black Hole. Astrophys. J. 2019, 875, L6. [Google Scholar] [CrossRef]
- Eckart, A.; Hüttemann, A.; Kiefer, C.; Britzen, S.; Zajaček, M.; Lämmerzahl, C.; Stöckler, M.; Valencia-S, M.; Karas, V.; García-Marín, M. The Milky Way’s Supermassive Black Hole: How Good a Case Is It? Found. Phys. 2017, 47, 553–624. [Google Scholar] [CrossRef]
- Zajaček, M.; Tursunov, A.; Eckart, A.; Britzen, S. On the charge of the Galactic centre black hole. Mon. Not. R. Astron. Soc. 2018, 480, 4408–4423. [Google Scholar] [CrossRef]
- Penrose, R. Gravitational Collapse: The Role of General Relativity. Riv. Nuovo Cimento 1969, 1, 252. [Google Scholar]
- Wald, R. Gedanken experiments to destroy a black hole. Ann. Phys. 1974, 82, 548–556. [Google Scholar] [CrossRef]
- Christodoulou, D. Gravitational collapse. Ann. N. Y. Acad. Sci. 1986, 470, 147–155. [Google Scholar] [CrossRef]
- Joshi, P.S. Global Aspects in Gravitation and Cosmology; Clarendon Press: Oxford, UK, 1993. [Google Scholar]
- Joshi, P.S. Gravitational collapse: The story so far. Pramana 2000, 55, 529. [Google Scholar] [CrossRef]
- Goswami, R.; Joshi, P.S.; Singh, P. Quantum Evaporation of a Naked Singularity. Phys. Rev. Lett. 2006, 96, 031302. [Google Scholar] [CrossRef] [PubMed]
- Harada, T.; Iguchi, H.; Nakao, K. Physical Processes in Naked Singularity Formation. Prog. Theor. Phys. 2002, 107, 449–524. [Google Scholar] [CrossRef]
- Vieira, R.S.S.; Schee, J.; Kluźniak, W.; Stuchlík, Z.; Abramowicz, M. Circular geodesics of naked singularities in the Kehagias-Sfetsos metric of Hořava’s gravity. Phys. Rev. D 2014, 90, 024035. [Google Scholar] [CrossRef]
- Giacomazzo, B.; Rezzolla, L.; Stergioulas, N. Collapse of differentially rotating neutron stars and cosmic censorship. Phys. Rev. D 2011, 84, 024022. [Google Scholar] [CrossRef]
- Dadhich, N.; Narayan, K. On the third law of black hole dynamics. Phys. Lett. A 1997, 231, 335–338. [Google Scholar] [CrossRef]
- Hubeny, V.E. Overcharging a black hole and cosmic censorship. Phys. Rev. D 1999, 59, 064013. [Google Scholar] [CrossRef]
- Jacobson, T.; Sotiriou, T.P. Overspinning a Black Hole with a Test Body. Phys. Rev. Lett. 2009, 103, 141101. [Google Scholar] [CrossRef]
- Saa, A.; Santarelli, R. Destroying a near-extremal Kerr-Newman black hole. Phys. Rev. D 2011, 84, 027501. [Google Scholar] [CrossRef]
- Bouhmadi-López, M.; Cardoso, V.; Nerozzi, A.; Rocha, J.V. Black holes die hard: Can one spin up a black hole past extremality? Phys. Rev. D 2010, 81, 084051. [Google Scholar] [CrossRef]
- Rocha, J.V.; Santarelli, R. Flowing along the edge: Spinning up black holes in AdS spacetimes with test particles. Phys. Rev. D 2014, 89, 064065. [Google Scholar] [CrossRef]
- Yang, S.J.; Chen, J.; Wan, J.J.; Wei, S.W.; Liu, Y.X. Weak cosmic censorship conjecture for a Kerr-Taub-NUT black hole with a test scalar field and particle. Phys. Rev. D 2020, 101, 064048. [Google Scholar] [CrossRef]
- Gwak, B. Weak cosmic censorship in Kerr-Sen black hole under charged scalar field. J. Cosmol. Astropart. Phys. 2020, 2020, 058. [Google Scholar] [CrossRef]
- Barausse, E.; Cardoso, V.; Khanna, G. Test Bodies and Naked Singularities: Is the Self-Force the Cosmic Censor? Phys. Rev. Lett. 2010, 105, 261102. [Google Scholar] [CrossRef]
- Zimmerman, P.; Vega, I.; Poisson, E.; Haas, R. Self-force as a cosmic censor. Phys. Rev. D 2013, 87, 041501. [Google Scholar] [CrossRef]
- Rocha, J.V.; Cardoso, V. Gravitational perturbation of the BTZ black hole induced by test particles and weak cosmic censorship in AdS spacetime. Phys. Rev. D 2011, 83, 104037. [Google Scholar] [CrossRef]
- Isoyama, S.; Sago, N.; Tanaka, T. Cosmic censorship in overcharging a Reissner-Nordström black hole via charged particle absorption. Phys. Rev. D 2011, 84, 124024. [Google Scholar] [CrossRef]
- Colleoni, M.; Barack, L. Overspinning a Kerr black hole: The effect of the self-force. Phys. Rev. D 2015, 91, 104024. [Google Scholar] [CrossRef]
- Sorce, J.; Wald, R.M. Gedanken experiments to destroy a black hole. II. Kerr-Newman black holes cannot be overcharged or overspun. Phys. Rev. D 2017, 96, 104014. [Google Scholar] [CrossRef]
- Wald, R.M. Kerr-Newman black holes cannot be over-charged or over-spun. Int. J. Mod. Phys. D 2018, 27, 1843003. [Google Scholar] [CrossRef]
- An, J.; Shan, J.; Zhang, H.; Zhao, S. Five-dimensional Myers-Perry black holes cannot be overspun in gedanken experiments. Phys. Rev. D 2018, 97, 104007. [Google Scholar] [CrossRef]
- Gwak, B. Weak cosmic censorship conjecture in Kerr-(anti-)de Sitter black hole with scalar field. J. High Energy Phys. 2018, 9, 81. [Google Scholar] [CrossRef]
- Ge, B.; Mo, Y.; Zhao, S.; Zheng, J. Higher-dimensional charged black holes cannot be over-charged by gedanken experiments. Phys. Lett. B 2018, 783, 440–445. [Google Scholar] [CrossRef]
- Ning, B.; Chen, B.; Lin, F.L. Gedanken experiments to destroy a BTZ black hole. Phys. Rev. D 2019, 100, 044043. [Google Scholar] [CrossRef]
- Jiang, J. Static charged Gauss-Bonnet black holes cannot be overcharged by the new version of gedanken experiments. Phys. Lett. B 2020, 804, 135365. [Google Scholar] [CrossRef]
- Shaymatov, S.; Dadhich, N.; Ahmedov, B.; Jamil, M. Five-dimensional charged rotating minimally gauged supergravity black hole cannot be over-spun and/or over-charged in non-linear accretion. Eur. Phys. J. C 2020, 80, 481. [Google Scholar] [CrossRef]
- Shaymatov, S.; Dadhich, N.; Ahmedov, B. The higher dimensional Myers-Perry black hole with single rotation always obeys the Cosmic Censorship Conjecture. Eur. Phys. J. C 2019, 79, 585. [Google Scholar] [CrossRef]
- Shaymatov, S.; Dadhich, N.; Ahmedov, B. Six-dimensional Myers-Perry rotating black hole cannot be overspun. Phys. Rev. D 2020, 101, 044028. [Google Scholar] [CrossRef]
- He, Y.L.; Jiang, J. Weak cosmic censorship conjecture in Einstein-Born-Infeld black holes. Phys. Rev. D 2019, 100, 124060. [Google Scholar] [CrossRef]
- Jiang, J.; Zhang, M. Weak cosmic censorship conjecture in Einstein-Maxwell gravity with scalar hair. Eur. Phys. J. C 2020, 80, 196. [Google Scholar] [CrossRef]
- Shaymatov, S.; Patil, M.; Ahmedov, B.; Joshi, P.S. Destroying a near-extremal Kerr black hole with a charged particle: Can a test magnetic field serve as a cosmic censor? Phys. Rev. D 2015, 91, 064025. [Google Scholar] [CrossRef]
- Shaymatov, S.; Ahmedov, B. Overcharging process around a magnetized black hole: Can the backreaction effect of magnetic field restore cosmic censorship conjecture? Gen. Relativ. Gravit. 2023, 55, 36. [Google Scholar] [CrossRef]
- Pandey, K.L.; Sethi, S.K.; Ratra, B. Cosmological magnetic braking and the formation of high-redshift, super-massive black holes. Mon. Not. R. Astron. Soc. 2019, 486, 1629–1640. [Google Scholar] [CrossRef]
- Revelar, K.S.; Vega, I. Overcharging higher-dimensional black holes with point particles. Phys. Rev. D 2017, 96, 064010. [Google Scholar] [CrossRef]
- Chong, Z.W.; Cvetič, M.; Lü, H.; Pope, C.N. General Nonextremal Rotating Black Holes in Minimal Five-Dimensional Gauged Supergravity. Phys. Rev. Lett. 2005, 95, 161301. [Google Scholar] [CrossRef] [PubMed]
- Myers, R.C.; Perry, M.J. Black holes in higher dimensional space-times. Ann. Phys. 1986, 172, 304–347. [Google Scholar] [CrossRef]
- Shaymatov, S.; Dadhich, N. On overspinning of black holes in higher dimensions. Phys. Dark Universe 2021, 31, 100758. [Google Scholar] [CrossRef]

Disclaimer/Publisher’s Note: The statements, opinions and data contained in all publications are solely those of the individual author(s) and contributor(s) and not of MDPI and/or the editor(s). MDPI and/or the editor(s) disclaim responsibility for any injury to people or property resulting from any ideas, methods, instructions or products referred to in the content. |
© 2023 by the authors. Licensee MDPI, Basel, Switzerland. This article is an open access article distributed under the terms and conditions of the Creative Commons Attribution (CC BY) license (https://creativecommons.org/licenses/by/4.0/).
Share and Cite
Shaymatov, S.; Ahmedov, B.; Karimbaev, E. Can a Rotating Black Hole Be Overspun in Seven Dimensions? Universe 2023, 9, 190. https://doi.org/10.3390/universe9040190
Shaymatov S, Ahmedov B, Karimbaev E. Can a Rotating Black Hole Be Overspun in Seven Dimensions? Universe. 2023; 9(4):190. https://doi.org/10.3390/universe9040190
Chicago/Turabian StyleShaymatov, Sanjar, Bobomurat Ahmedov, and Eldor Karimbaev. 2023. "Can a Rotating Black Hole Be Overspun in Seven Dimensions?" Universe 9, no. 4: 190. https://doi.org/10.3390/universe9040190
APA StyleShaymatov, S., Ahmedov, B., & Karimbaev, E. (2023). Can a Rotating Black Hole Be Overspun in Seven Dimensions? Universe, 9(4), 190. https://doi.org/10.3390/universe9040190

