Neutron Star Constraints on Neutron Dark Decays
Abstract
:1. Introduction
2. Dark Neutrons and the Neutron Decay Anomaly
3. Neutron Stars
3.1. The Mass–Radius Relation
3.2. Equation of State (EOS)
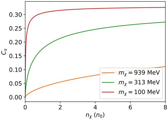
4. Neutron Star Constraints on Dark Neutrons
4.1. Non-Interacting Dark Neutrons
4.2. Mirror Neutrons
4.3. Self-Interacting Dark Neutrons
4.4. Bosonic Dark Decay Products
5. Neutron Star Constraints on Dark Quarks
5.1. Equal Masses
5.2. Unequal Masses
6. Conclusions
Funding
Data Availability Statement
Acknowledgments
Conflicts of Interest
References
- Nath, P.; Fileviez Perez, P. Proton stability in grand unified theories, in strings and in branes. Phys. Rept. 2007, 441, 191. [Google Scholar]
- Nishino, H. et al. [Super-Kamiokande] Search for Proton Decay via p —> e+ pi0 and p —> mu+ pi0 in a Large Water Cherenkov Detector. Phys. Rev. Lett. 2009, 102, 141801. [Google Scholar]
- Workman, R.L. et al. [Particle Data Group] Review of Particle Physics. PTEP 2022, 2022, 083C01. [Google Scholar]
- Wietfeldt, F.E.; Greene, G.L. Colloquium: The neutron lifetime. Rev. Mod. Phys. 2011, 83, 1173–1192. [Google Scholar]
- Mampe, W.; Bondarenko, L.N.; Morozov, V.I.; Panin, Y.N.; Fomin, A.I. Measuring neutron lifetime by storing ultracold neutrons and detecting inelastically scattered neutrons. JETP Lett. 1993, 57, 82. [Google Scholar]
- Serebrov, A.; Varlamov, V.; Kharitonov, A.; Fomin, A.; Pokotilovski, Y.; Geltenbort, P.; Butterworth, J.; Krasnoschekova, I.; Lasakov, M.; Tal’Daev, R.; et al. Measurement of the neutron lifetime using a gravitational trap and a low-temperature Fomblin coating. Phys. Lett. B 2005, 605, 72. [Google Scholar]
- Pichlmaier, A.; Varlamov, V.; Schreckenbach, K.; Geltenbort, P. Neutron lifetime measurement with the UCN trap-in-trap MAMBO II. Phys. Lett. B 2010, 693, 221. [Google Scholar]
- Steyerl, A.; Pendlebury, J.M.; Kaufman, C.; Malik, S.S.; Desai, A.M. Quasielastic scattering in the interaction of ultracold neutrons with a liquid wall and application in a reanalysis of the Mambo I neutron-lifetime experiment. Phys. Rev. C 2012, 85, 065503. [Google Scholar] [CrossRef]
- Arzumanov, S.; Bondarenko, L.; Chernyavsky, S.; Geltenbort, P.; Morozov, V.; Nesvizhevsky, V.V.; Panin, Y.; Strepetov, A. A measurement of the neutron lifetime using the method of storage of ultracold neutrons and detection of inelastically up-scattered neutrons. Phys. Lett. B 2015, 745, 79. [Google Scholar] [CrossRef]
- Gonzalez, F.M. et al. [UCNt] Improved neutron lifetime measurement with UCNt. Phys. Rev. Lett. 2021, 127, 162501. [Google Scholar]
- Byrne, J.; Dawber, P.G.; Spain, J.A.; Williams, A.P.; Dewey, M.S.; Gilliam, D.M.; Greene, G.L.; Lamaze, G.P.; Scott, R.D.; Pauwels, J.; et al. Measurement of the neutron lifetime by counting trapped protons. Phys. Rev. Lett. 1990, 65, 289. [Google Scholar] [CrossRef] [PubMed]
- Yue, A.T.; Dewey, M.S.; Gilliam, D.M.; Greene, G.L.; Laptev, A.B.; Nico, J.S.; Snow, W.M.; Wietfeldt, F.E. Improved Determination of the Neutron Lifetime. Phys. Rev. Lett. 2013, 111, 222501. [Google Scholar] [CrossRef]
- Byrne, J.; Dawber, P.G.; Byrne, J.; Dawber, P.G.; Habeck, C.G.; Smidt, S.J.; Spain, J.A.; Williams, A.P. A revised value for the neutron lifetime measured using a Penning trap. Europhys. Lett. 1996, 33, 187. [Google Scholar] [CrossRef]
- Fornal, B.; Grinstein, B. Dark Matter Interpretation of the Neutron Decay Anomaly. Phys. Rev. Lett. 2018, 120, 191801, Erratum in Phys. Rev. Lett. 2020, 124, 219901. [Google Scholar] [CrossRef]
- Czarnecki, A.; Marciano, W.J.; Sirlin, A. The Neutron Lifetime and Axial Coupling Connection. Phys. Rev. Lett. 2018, 120, 202002. [Google Scholar] [CrossRef] [PubMed]
- Brown, M.A.P. et al. [UCNA] New result for the neutron b-asymmetry parameter A0 from UCNA. Phys. Rev. C 2018, 97, 035505. [Google Scholar] [CrossRef]
- Mund, D.; Maerkisch, B.; Deissenroth, M.; Krempel, J.; Schumann, M.; Abele, H.; Petoukhov, A.; Soldner, T. Determination of the Weak Axial Vector Coupling from a Measurement of the Beta-Asymmetry Parameter A in Neutron Beta Decay. Phys. Rev. Lett. 2013, 110, 172502. [Google Scholar] [CrossRef] [PubMed]
- Schumann, M.; Soldner, T.; Deissenroth, M.; Gluck, F.; Krempel, J.; Kreuz, M.; Markisch, B.; Mund, D.; Petoukhov, A.; Abele, H. Measurement of the neutrino asymmetry parameter B in neutron decay. Phys. Rev. Lett. 2007, 99, 191803. [Google Scholar] [CrossRef]
- Aoki, Y. et al. [Flavour Lattice Averaging Group (FLAG)] FLAG Review 2021. Eur. Phys. J. C 2022, 82, 869. [Google Scholar] [CrossRef]
- Chang, C.C.; Nicholson, A.N.; Rinaldi, E.; Berkowitz, E.; Garron, N.; Brantley, D.A.; Monge-Camacho, H.; Monahan, C.J.; Bouchard, C.; Clark, M.A.; et al. A per-cent-level determination of the nucleon axial coupling from quantum chromodynamics. Nature 2018, 558, 91. [Google Scholar] [CrossRef]
- Liaud, P.; Schreckenbach, K.; Kossakowski, R.; Nastoll, H.; Bussiere, A.; Guillaud, J.P.; Beck, L. The measurement of the beta asymmetry in the decay of polarized neutrons. Nucl. Phys. A 1997, 612, 53. [Google Scholar] [CrossRef]
- Mostovoi, Y.A.; Kuznetsov, I.A.; Solovei, V.A.; Serebrov, A.P.; Stepanenko, I.V.; Baranova, T.K.; Vasiliev, A.V.; Rudnev, Y.P.; Yerozolimsky, B.G.; Dewey, M.S.; et al. Experimental value of G(A)/G(V) from a measurement of both P-odd correlations in free-neutron decay. Phys. Atom. Nucl. 2001, 64, 1955–1960. [Google Scholar] [CrossRef]
- McKeen, D.; Nelson, A.E.; Reddy, S.; Zhou, D. Neutron stars exclude light dark baryons. Phys. Rev. Lett. 2018, 121, 061802. [Google Scholar] [CrossRef]
- Baym, G.; Beck, D.H.; Geltenbort, P.; Shelton, J. Testing dark decays of baryons in neutron stars. Phys. Rev. Lett. 2018, 121, 061801. [Google Scholar] [CrossRef] [PubMed]
- Motta, T.F.; Guichon, P.A.M.; Thomas, A.W. Implications of Neutron Star Properties for the Existence of Light Dark Matter. J. Phys. G 2018, 45, 05LT01. [Google Scholar] [CrossRef]
- Cline, J.M.; Cornell, J.M. Dark decay of the neutron. J. High Energy Phys. 2018, 2018, 81. [Google Scholar] [CrossRef]
- Grinstein, B.; Kouvaris, C.; Nielsen, N.G. Neutron Star Stability in Light of the Neutron Decay Anomaly. Phys. Rev. Lett. 2019, 123, 091601. [Google Scholar] [CrossRef]
- Arnold, J.M.; Fornal, B.; Wise, M.B. Simplified models with baryon number violation but no proton decay. Phys. Rev. D 2013, 87, 075004. [Google Scholar] [CrossRef]
- McKeen, D.; Nelson, A.E. CP Violating Baryon Oscillations. Phys. Rev. D 2016, 94, 076002. [Google Scholar] [CrossRef]
- Tang, Z.; Blatnik, M.; Broussard, L.J.; Choi, J.H.; Clayton, S.M.; Cude-Woods, C.; Currie, S.; Fellers, D.E.; Fries, E.M.; Geltenbort, P.; et al. Search for the Neutron Decay n→X+γ where X is a dark matter particle. Phys. Rev. Lett. 2018, 121, 022505. [Google Scholar] [CrossRef]
- Strumia, A. Dark Matter interpretation of the neutron decay anomaly. J. High Energy Phys. 2022, 2022, 67. [Google Scholar] [CrossRef]
- Oppenheimer, J.R.; Volkoff, G.M. On Massive neutron cores. Phys. Rev. 1939, 55, 374. [Google Scholar] [CrossRef]
- Tolman, R.C. Static solutions of Einstein’s field equations for spheres of fluid. Phys. Rev. 1939, 55, 364. [Google Scholar] [CrossRef]
- Lattimer, J.M.; Prakash, M. What a Two Solar Mass Neutron Star Really Means. arXiv 2010, arXiv:1012.3208. [Google Scholar]
- Demorest, P.; Pennucci, T.; Ransom, S.; Roberts, M.; Hessels, J. Shapiro Delay Measurement of A Two Solar Mass Neutron Star. Nature 2010, 467, 1081. [Google Scholar] [CrossRef] [PubMed]
- Antoniadis, J.; Freire, P.C.C.; Wex, N.; Tauris, T.M.; Lynch, R.S.; van Kerkwijk, M.H.; Kramer, M.; Bassa, C.; Dhillon, V.S.; Driebe, T.; et al. A Massive Pulsar in a Compact Relativistic Binary. Science 2013, 340, 6131. [Google Scholar] [CrossRef]
- Fonseca, E.; Cromartie, H.T.; Pennucci, T.T.; Ray, P.S.; Kirichenko, A.Y.; Ransom, S.M.; Demorest, P.B.; Stairs, I.H.; Arzoumanian, Z.; Guillemot, L.; et al. Refined Mass and Geometric Measurements of the High-mass PSR J0740+6620. Astrophys. J. Lett. 2021, 915, L12. [Google Scholar] [CrossRef]
- Weinberg, S. Nuclear forces from chiral Lagrangians. Phys. Lett. B 1990, 251, 288. [Google Scholar] [CrossRef]
- Weinberg, S. Effective chiral Lagrangians for nucleon-pion interactions and nuclear forces. Nucl. Phys. B 1991, 363, 3. [Google Scholar] [CrossRef]
- Weinberg, S. Three body interactions among nucleons and pions. Phys. Lett. B 1992, 295, 114. [Google Scholar] [CrossRef]
- Kaplan, D.B.; Savage, M.J.; Wise, M.B. Nucleon-nucleon scattering from effective field theory. Nucl. Phys. B 1996, 478, 629. [Google Scholar] [CrossRef]
- Kaplan, D.B.; Savage, M.J.; Wise, M.B. Two nucleon systems from effective field theory. Nucl. Phys. B 1998, 534, 329. [Google Scholar] [CrossRef]
- Drischler, C.; Furnstahl, R.J.; Melendez, J.A.; Phillips, D.R. How Well Do We Know the Neutron-Matter Equation of State at the Densities Inside Neutron Stars? A Bayesian Approach with Correlated Uncertainties. Phys. Rev. Lett. 2020, 125, 202702. [Google Scholar] [CrossRef] [PubMed]
- Drischler, C.; Melendez, J.A.; Furnstahl, R.J.; Phillips, D.R. Quantifying uncertainties and correlations in the nuclear-matter equation of state. Phys. Rev. C 2020, 102, 054315. [Google Scholar] [CrossRef]
- Zhou, D. What does perturbative QCD really have to say about neutron stars. arXiv 2023, arXiv:2307.11125. [Google Scholar]
- Forbes, M.M.; Bose, S.; Reddy, S.; Zhou, D.; Mukherjee, A.; De, S. Constraining the neutron-matter equation of state with gravitational waves. Phys. Rev. D 2019, 100, 083010. [Google Scholar] [CrossRef]
- Zhou, D. in preperation. 2023.
- Akmal, A.; Pandharipande, V.R.; Ravenhall, D.G. The Equation of state of nucleon matter and neutron star structure. Phys. Rev. C 1998, 58, 1804. [Google Scholar] [CrossRef]
- Typel, S.; Ropke, G.; Klahn, T.; Blaschke, D.; Wolter, H.H. Composition and thermodynamics of nuclear matter with light clusters. Phys. Rev. C 2010, 81, 015803. [Google Scholar] [CrossRef]
- Glendenning, N. Compact Stars: Nuclear Physics, Particle Physics, and General Relativity; Astronomy and Astrophysics Library; Springer: New York, NY, USA, 2000. [Google Scholar]
- Chacko, Z.; Goh, H.-S.; Harnik, R. A Twin Higgs model from left-right symmetry. J. High Energy Phys. 2006, 2006, 108. [Google Scholar] [CrossRef]
- Craig, N.; Howe, K. Doubling down on naturalness with a supersymmetric twin Higgs. J. High Energy Phys. 2014, 2014, 140. [Google Scholar] [CrossRef]
- Craig, N.; Katz, A. The Fraternal WIMP Miracle. J. Cosmol. Astropart. Phys. 2015, 2015, 54. [Google Scholar] [CrossRef]
- Holdom, B. Two U(1)’s and Epsilon Charge Shifts. Phys. Lett. B 1986, 166, 196. [Google Scholar] [CrossRef]
- Negele, J.W.; Vogt, E. (Eds.) Advances in Nuclear Physics; Springer: Berlin/Heidelberg, Germany, 1986; Volume 16. [Google Scholar]
- Negele, J.W.; Orland, H. Quantum Many-Particle Systems; Westview Press: Reading, MA, USA, 1998. [Google Scholar]
- Tulin, S.; Yu, H.-B. Dark Matter Self-interactions and Small Scale Structure. Phys. Rept. 2018, 730, 1. [Google Scholar] [CrossRef]
- Abbott, R. et al. [LIGO Scientific, Virgo] GW190814: Gravitational Waves from the Coalescence of a 23 Solar Mass Black Hole with a 2.6 Solar Mass Compact Object. Astrophys. J. Lett. 2020, 896, L44. [Google Scholar] [CrossRef]
- Bertoni, B.; Nelson, A.E.; Reddy, S. Dark Matter Thermalization in Neutron Stars. Phys. Rev. D 2013, 88, 123505. [Google Scholar] [CrossRef]
- Reddy, S.; Zhou, D. Dark lepton superfluid in protoneutron stars. Phys. Rev. D 2022, 105, 023026. [Google Scholar] [CrossRef]
- Brown, E.F.; Cumming, A.; Fattoyev, F.J.; Horowitz, C.J.; Page, D.; Reddy, S. Rapid neutrino cooling in the neutron star MXB 1659-29. Phys. Rev. Lett. 2018, 120, 182701. [Google Scholar] [CrossRef] [PubMed]
- Negele, J.W.; Vautherin, D. Neutron star matter at sub-nuclear densities. Nucl. Phys. A 1973, 207, 298. [Google Scholar] [CrossRef]
- Chamel, N.; Haensel, P. Physics of Neutron Star Crusts. Living Rev. Rel. 2008, 11, 10. [Google Scholar] [CrossRef]
- Landau, L.D.; Lifshitz, E.M. Statistical Physics, Part 1, Course of Theoretical Physics; Butterworth-Heinemann: Oxford, UK, 1980; Volume 5. [Google Scholar]
- Nelson, A.; Reddy, S.; Zhou, D. Dark halos around neutron stars and gravitational waves. J. Cosmol. Astropart. Phys. 2019, 2019, 12. [Google Scholar] [CrossRef]
- Lattimer, J.M. The nuclear equation of state and neutron star masses. Ann. Rev. Nucl. Part. Sci. 2012, 62, 485. [Google Scholar] [CrossRef]
- Lattimer, J.M. Neutron Star Mass and Radius Measurements. Universe 2019, 5, 159. [Google Scholar] [CrossRef]
- Martinez, J.G.; Stovall, K.; Freire, P.C.C.; Deneva, J.S.; Jenet, F.A.; McLaughlin, M.A.; Bagchi, M.; Bates, S.D.; Ridolfi, A. Pulsar J0453+1559: A Double Neutron Star System with a Large Mass Asymmetry. Astrophys. J. 2015, 812, 143. [Google Scholar] [CrossRef]
- Haensel, P.; Zdunik, J.L.; Douchin, F. Equation of state of dense matter and the minimum mass of cold neutron stars. Astron. Astrophys. 2002, 385, 301. [Google Scholar] [CrossRef]
- Suwa, Y.; Yoshida, T.; Shibata, M.; Umeda, H.; Takahashi, K. On the minimum mass of neutron stars. Mon. Not. R. Astron. Soc. 2018, 481, 3305. [Google Scholar] [CrossRef]
- Flanagan, E.E.; Hinderer, T. Constraining neutron star tidal Love numbers with gravitational wave detectors. Phys. Rev. D 2008, 77, 021502. [Google Scholar] [CrossRef]
- Hinderer, T. Tidal Love numbers of neutron stars. Astrophys. J. 2008, 677, 1216. [Google Scholar] [CrossRef]
- Abbott, B.P. et al. [LIGO Scientific, Virgo] GW170817: Observation of GravitationalWaves from a Binary Neutron Star Inspiral. Phys. Rev. Lett. 2017, 119, 161101. [Google Scholar] [CrossRef]
- Radice, D.; Perego, A.; Zappa, F.; Bernuzzi, S. GW170817: Joint Constraint on the Neutron Star Equation of State from Multimessenger Observations. Astrophys. J. 2018, 852, L29. [Google Scholar] [CrossRef]
- Abbott, B.P. et al. [LIGO Scientific, Virgo] GW170817: Measurements of neutron star radii and equation of state. Phys. Rev. Lett. 2018, 121, 161101. [Google Scholar] [CrossRef]
- De, S.; Finstad, D.; Lattimer, J.M.; Brown, D.A.; Berger, E.; Biwer, C.M. Constraining the nuclear equation of state with GW170817. Phys. Rev. Lett. 2018, 121, 091102. [Google Scholar] [CrossRef] [PubMed]
- Abbott, B.P. et al. [LIGO Scientific, Virgo] Properties of the binary neutron star merger GW170817. Phys. Rev. X 2019, 9, 011001. [Google Scholar]
- Bai, Y.; Schwaller, P. Scale of dark QCD. Phys. Rev. D 2014, 89, 063522. [Google Scholar] [CrossRef]
- Tsai, Y.-D.; McGehee, R.; Murayama, H. Resonant Self-Interacting Dark Matter from Dark QCD. Phys. Rev. Lett. 2022, 128, 172001. [Google Scholar] [CrossRef] [PubMed]
- Berryman, J.M.; Gardner, S.; Zakeri, M. Neutron Stars with Baryon Number Violation, Probing Dark Sectors. Symmetry 2022, 14, 518. [Google Scholar] [CrossRef]
- Berryman, J.M.; Gardner, S.; Zakeri, M. How Macroscopic Limits on Neutron Star Baryon Loss Yield Microscopic Limits on Non-Standard-Model Baryon Decay. arXiv 2023, arXiv:2305.13377. [Google Scholar]
- Husain, W.; Thomas, A.W. Novel neutron decay mode inside neutron stars. J. Phys. G 2023, 50, 015202. [Google Scholar] [CrossRef]










| Exotic Decay | Sub-Model | Constraint | Observable | Section |
|---|---|---|---|---|
| Dark Neutron | non-interacting | excluded | Section 4.1 | |
| mirror neutron | Section 4.2 | |||
| Fermion | self-interacting | Section 4.3 | ||
| Dark Quark | equal masses | Section 5.1 | ||
| unequal masses | MeV | Section 5.2 | ||
| Fermions | MeV |
Disclaimer/Publisher’s Note: The statements, opinions and data contained in all publications are solely those of the individual author(s) and contributor(s) and not of MDPI and/or the editor(s). MDPI and/or the editor(s) disclaim responsibility for any injury to people or property resulting from any ideas, methods, instructions or products referred to in the content. |
© 2023 by the author. Licensee MDPI, Basel, Switzerland. This article is an open access article distributed under the terms and conditions of the Creative Commons Attribution (CC BY) license (https://creativecommons.org/licenses/by/4.0/).
Share and Cite
Zhou, D. Neutron Star Constraints on Neutron Dark Decays. Universe 2023, 9, 484. https://doi.org/10.3390/universe9110484
Zhou D. Neutron Star Constraints on Neutron Dark Decays. Universe. 2023; 9(11):484. https://doi.org/10.3390/universe9110484
Chicago/Turabian StyleZhou, Dake. 2023. "Neutron Star Constraints on Neutron Dark Decays" Universe 9, no. 11: 484. https://doi.org/10.3390/universe9110484
APA StyleZhou, D. (2023). Neutron Star Constraints on Neutron Dark Decays. Universe, 9(11), 484. https://doi.org/10.3390/universe9110484

