Abstract
We do not have a final answer to the question of why galaxies choose a particular internal mass distribution. Here we examine whether the distribution is set by thermodynamic equilibrium (TE). Traditionally, TE is discarded for a number of reasons including the inefficiency of two-body collisions to thermalize the mass distribution in a Hubble time, and the fact that the mass distribution maximizing the classical Boltzmann–Gibbs entropy is unphysical. These arguments are questionable. In particular, when the Tsallis entropy that describes self-gravitating systems is used to define TE, the mass distributions that result (i.e., the polytropes) are physically sensible. This work spells out this and other arguments for TE and presents the polytropes and their properties. It puts forward empirical evidence for the mass distribution observed in galaxies to be consistent with polytropes. It compares polytropes with Sérsic functions and it shows how the DM halos resulting from cosmological numerical simulations become polytropes when efficient collisions are allowed. It also discusses pathways to thermalization bypassing two-body collisions. It finally outlines future developments including deciphering whether or not DM particles collide efficiently.
1. Purpose and Organization of This Review
Galaxies are self-gravitating structures approaching mechanical equilibrium, where kinetic energy () and gravitational energy () tend to balance each other to meet the virial condition (). The constraint imposed by this condition is very loose though. It allows for a large number of ways to distribute the mass internally [1]. This freedom contrasts with the fact that real galaxies choose only very specific internal mass distributions, namely, those consistent with stellar mass surface density profiles looking like Sérsic functions (e.g., [2,3,4,5,6,7]). These functions range from exponential disks (observed in dwarf galaxies; e.g., [8]) to de Vaucouleurs -profiles (characteristic of massive ellipticals; e.g., [9]).
Why do galaxies choose this particular mass distribution? Although it sounds like a trivial question, we do not know the answer yet. It could be due either to satisfy some fundamental physical principle (e.g., thermodynamic equilibrium; hereinafter TE) or to the very particular initial conditions that gave rise to the system [1]. Contrarily to what one may naively think, the mass distribution in galaxies is commonly explained as the outcome of cosmological initial conditions ([10,11,12,13,14,15], and Section 4). The option of a fundamental process like TE determining the internal configuration is traditionally disregarded with two different arguments which, however, seem to become frailer as time goes by and more observational and theoretical work is available.
The first argument against TE has to do with the nature of dark matter (DM). According to the current concordance cosmological model, DM provided most of the gravity that allowed galaxies to form in time, and now it holds them together. In the simplest model, DM is collision-less and cold (CDM). Under these hypotheses, the timescale for the DM particles to reach TE is set by the two-body relaxation timescale, which is extremely long; typically much longer than the Hubble time (i.e., than the age of the Universe; [1,16,17,18]). Thus, taken literally, this result would discard mass distributions arising from TE. However, the collision-less nature assumed for the DM causes some of the so-called small-scale problems of the CDM model (e.g., [19,20,21]), in particular, the cusp–core problem. Simulated CDM halos have cusps in their central mass distribution (e.g., [22,23]; see Section 4) which disagree with the central plateau or core often observed in galaxies (e.g., [24,25,26]). This well-known difficulty of the CDM model is bypassed invoking physical processes which essentially shorten the timescale to reach TE, making it shorter than the Hubble time. The proposed pathways to thermalization are of very different nature (Section 6): feedback of the baryons on the DM particles through gravitational forces [27,28,29], scattering with massive gas clumps [30,31], forcing by a central bar [32], merger of two supermassive black holes (SMBHs; [26,33,34]), or assuming an artificially large DM to DM collision cross-sections [35,36,37]. Whether or not it is collision-less, the DM seems to find a way for thermalization faster than the inefficient two-body relaxation collisions, an observational fact that weakens the original criticism.
The second argument against TE setting the internal structure of galaxies is related to the use of the classical Boltzmann–Gibbs entropy to define equilibrium. Following the principles of statistical physics, the structure in TE corresponds to the most probable configuration of a self-gravitating system and, thus, it should result from maximizing its entropy1. The use of the classical Boltzmann–Gibbs entropy to characterize self-gravitating systems leads to a distribution with infinite mass and energy ([1,38], and Section 2), disfavoring TE as the explanation. However, this difficulty of the theory has been overcome as follows. In the standard Boltzmann–Gibbs approach, the long-range gravitational forces that govern self-gravitating systems are not taken into account. These forces are not subordinate but fundamental ingredients of the physical system. Fortunately, systems with long-range interactions admit long-lasting meta-stable states described by the Tsallis () non-additive entropy [39,40,41]. In particular, the maximization under suitable constraints of the Tsallis entropy of a self-gravitating N-body system leads to a polytropic distribution [42,43], which can have finite mass and a shape resembling the DM distribution found in numerical simulations of galaxy formation ([18,44,45,46,47], and Section 4). The polytropic shape has lately gained practical importance because of its association with real self-gravitating astrophysical objects (Section 5). The mass density profiles in the centers of dwarf galaxies are reproduced by polytropes without any tuning or fitting [48]. Polytropes also explain the stellar surface density profiles observed in galaxies [26] and in globular clusters [49].
In short, the arguments against TE setting galaxy shapes are questionable. Moreover, empirical evidence supports that the mass distribution expected from this equilibrium is indeed observed in self-gravitating astronomical objects. These two facts justify the writing of the present review. It basically expands the above arguments, gathering the works suggesting the fundamental role played by TE and spelling out the arguments leading to this conclusion.
The paper is organized as follows: Section 2 explains in detail the density profiles to be expected in self-gravitating systems of maximum entropy. Firstly, using the Boltzmann–Gibbs entropy (Section 2.1) and later on (Section 2.2) the Tsallis entropy that yields polytropic density profiles. The physically relevant properties of polytropes are summarized in Section 2.2.1. In order to compare polytropes with observations, they have to be projected in the plane-of-the-sky, an exercise carried out in Section 2.2.2. Section 3 discuses the relation between projected polytropes (propols) and Sérsic profiles. Section 4 briefly mentions the relationship between polytropes and the profiles inferred from N-body numerical simulations of structure formation in the Universe. Section 5 summarizes all the evidence for polytropic profiles reproducing real galaxies, thus providing observational support for the theory described in previous sections. Section 6 discusses the different pathways that have been put forward to explain how galaxies or parts of galaxies may have reached TE already. Finally, Section 7 summarizes the main results presented here and lists several challenges to be addressed in the future.
2. Self-Gravitating Systems of Maximum Entropy
This section follows arguments and notation taken from [1,26,42].
2.1. Solution Using the Classical Boltzmann–Gibbs Entropy: Isothermal Sphere
Assume a spherically symmetric self-gravitating system of identical particles. The classical Boltzmann–Gibbs entropy of the system is defined as
with f as the distribution function (DF), the volume element in the 6D phase space (of position and velocity), and C an integration constant. The integral extends to all the phase space. The maximum entropy solution would be the distribution f that maximizes S under the constraints that the total mass M and energy E are fixed,
with representing the total energy per unit mass. The symbols v and stand for the velocity and the gravitational potential, respectively. Using Lagrange multipliers and variational calculus, the condition for S to be extreme follows from,
with and being two Lagrange multipliers. Satisfying this condition requires f to be an exponential function of the energy, namely,
Since the system is self-gravitating, the gravitational potential, , and the density,
corresponding to f having to satisfy the Poisson equation for spherically symmetric systems,
with G being the gravitational constant and r the radial distance to the center of the potential. Equations (5)–(7) are better solved in terms of the relative potential and the relative energy , with the constant chosen so that for (see [1], Chapter 4). Then,
and so through the relation (6),
which transforms Equation (7) into
The previous equation describes an isothermal sphere, i.e., it is formally identical to the density structure arising in a self-gravitating ideal gas of constant temperature T, with
where is the mass of each gas molecule and k the Boltzmann constant. In general, Equation (10) has to be integrated numerically, however, it admits a solution called singular isothermal sphere,
which is important in the present context since it describes the asymptotic behavior of all solutions of Equation (10) when [1,50]. This implies that the total mass of the system is always infinity,
If rather than the total mass one works out the total energy, it also turns out to be infinity. Finally, the entropy of the system (Equation (1)) tends to infinity as well,
Therefore, any self-gravitating system asked to reach maximum Boltzmann–Gibbs entropy has infinite mass, infinite energy, and infinite entropy, and so, it is non-physical. Tremaine ([1], their Section 4.10.1) explain that no f with finite M and E maximizes S because a trivial re-arrangement of the mass distribution can augment S boundlessly. Given M and E, S always can be increased by increasing the degree of central concentration and then transferring the resulting gain of potential energy to an arbitrarily small amount of mas placed in a large outer envelope.
2.2. Solution Using the Tsallis Entropy: Polytropes
The Boltzmann–Gibbs entropy neglects long-range interactions leading to the inconsistencies pointed out in Section 2.1. Back in 1988, Tsallis [39] introduced another entropy, now called Tsallis entropy,
Tsallis entropy has been successfully used in many different physical contexts ranging from plasmas and particle physics to geophysics and astrophysics (e.g., [51], Section 6). It works because is able to describe systems having long range interactions among their constituents [40,51]. Tsallis entropy actually represents a full family of entropies since it depends on the numerical coefficient q. In the special case when it becomes the Boltzmann–Gibbs entropy in Equation (1)2. Following the standard approach described in Section 2.1, Plastino and Plastino [42] worked out the DF f that minimizes for a system with constant mass and energy. In this case the Lagrange equation (Equation (4)) becomes,
which provides,
or, redefining and dropping an irrelevant a global factor,
The DF in Equation (18) corresponds to a polytrope (Equations (4.41) and (4.83) in [1]) with the polytropic index m set by q as
and with the density (Equation (6)) given by
For the system to be self-gravitating, the density and the gravitational potential () have to be linked through the Poisson Equation (7). After some algebra, the Poisson equation can be re-written as the so-called Lane–Emden equation [1,50], which in practice is taken to define polytropes. Explicitly, a polytrope of index m is defined as the spherically symmetric self-gravitating structure resulting from the solution of the Lane–Emden equation for the (normalized) gravitational potential, namely,
The symbol stands for the normalized relative potential (), s represents the scaled radial distance,
and the density at radial distance r is recovered from as
where and b are two constants. In general, Equation (21) has to be solved numerically under the initial conditions
Solutions with are discarded because they have infinite central density and total mass (e.g., [1])3.
In contrast with the maximum entropy solutions for the Boltzmann–Gibbs entropy, the maximum entropy solution for the Tsallis entropy are physically meaningful provided m (and so q) is within a fairly narrow range of values,
The upper limit () comes from requesting the mass to be finite [1,50]. The cause behind the lower limit is more subtle. Polytropes with have an f which increases with increasing energy per particle, which is physically unreliable [42]. In addition, the stability of polytropes is analyzed in various works [1,52,53,54] which set the condition for the polytropes to be stable for radial pulsations.
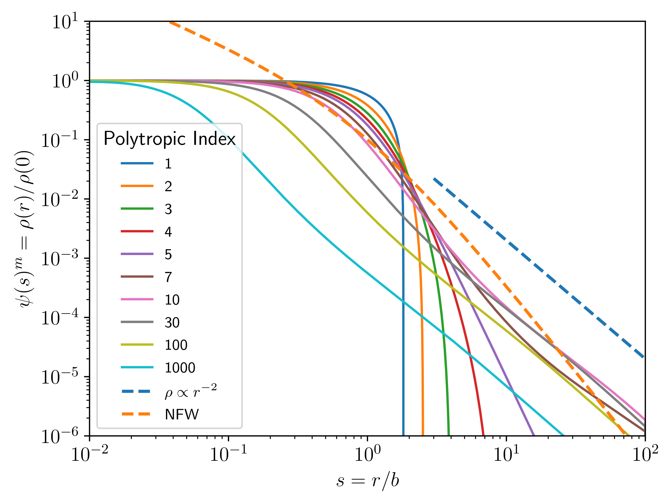
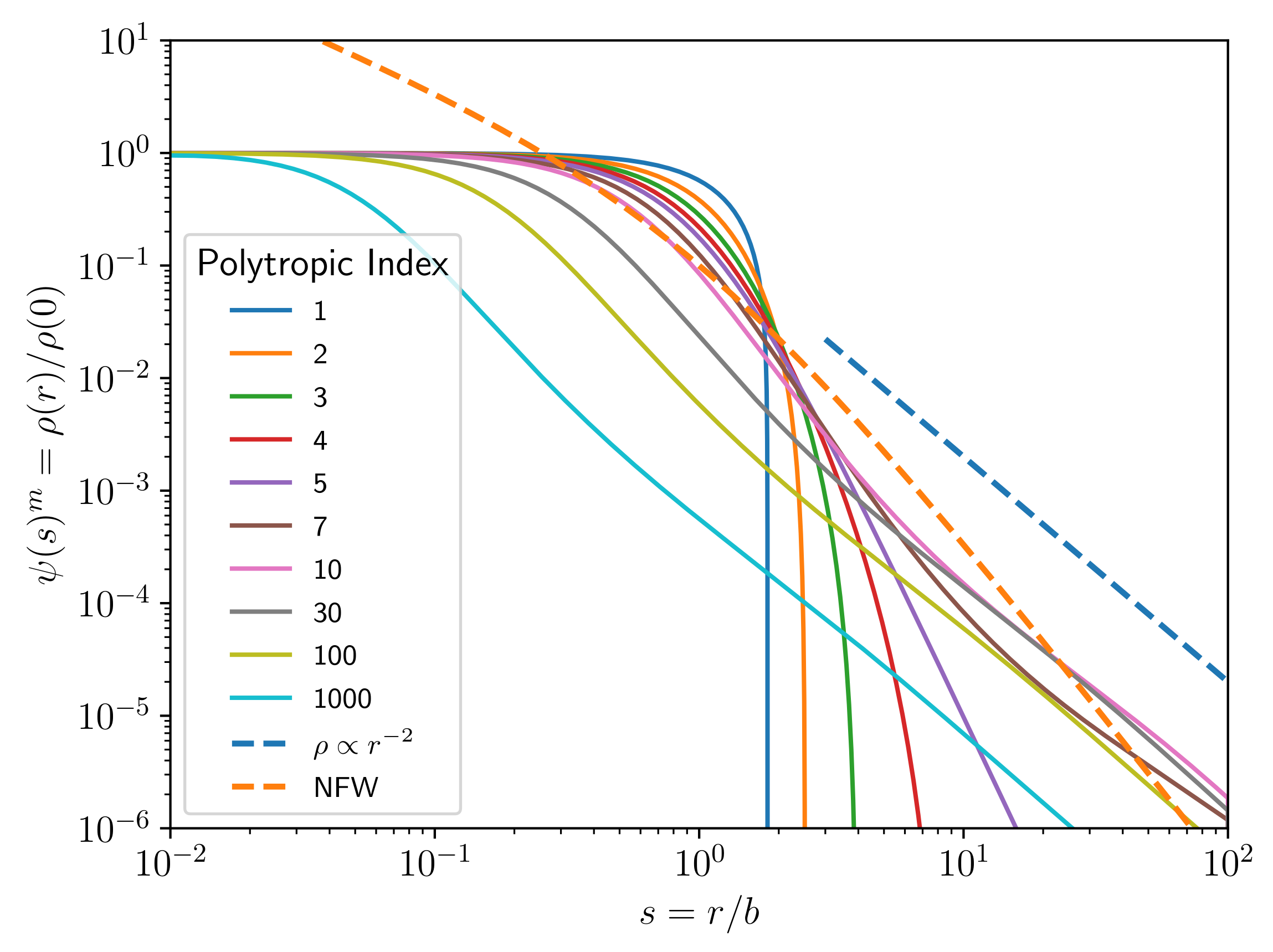
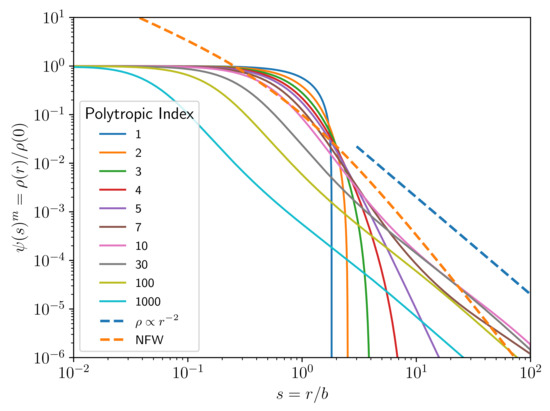
Figure 1 shows the polytropes resulting from solving the Lane–Emden equation (Equation (21)). These curves just provide the shape of the density profile, which can be shifted horizontally and vertically by arbitrary amounts (Equations (22) and (23)). The color code of the solid lines gives the polytropic index as indicated in the inset. The curve with approximately corresponds to the shape of an isothermal sphere, which is the limiting solution for .
Figure 1.
Polytropes resulting from solving the Lane–Emden Equation (21). These curves just provide the shape of the mass density profile, which can be shifted horizontally and vertically by arbitrary amounts (set by the constants b and , respectively). The color code of the solid lines gives the polytropic index m as indicated in the inset. The curve with approximately corresponds to the shape of an isothermal sphere. For reference, the figure includes (the blue dashed line), which represents the asymptotic behavior of high-m polytropes, and also shows an NFW profile (the orange dashed line) [22].
The DF f in Equation (6), integrated over all velocities at a given point, renders the density in Equation (23). The same exercise can be used to derive the velocity dispersion ,
and it leads to
with the velocity dispersion in the center of the gravitational potential, , connected with the central density through
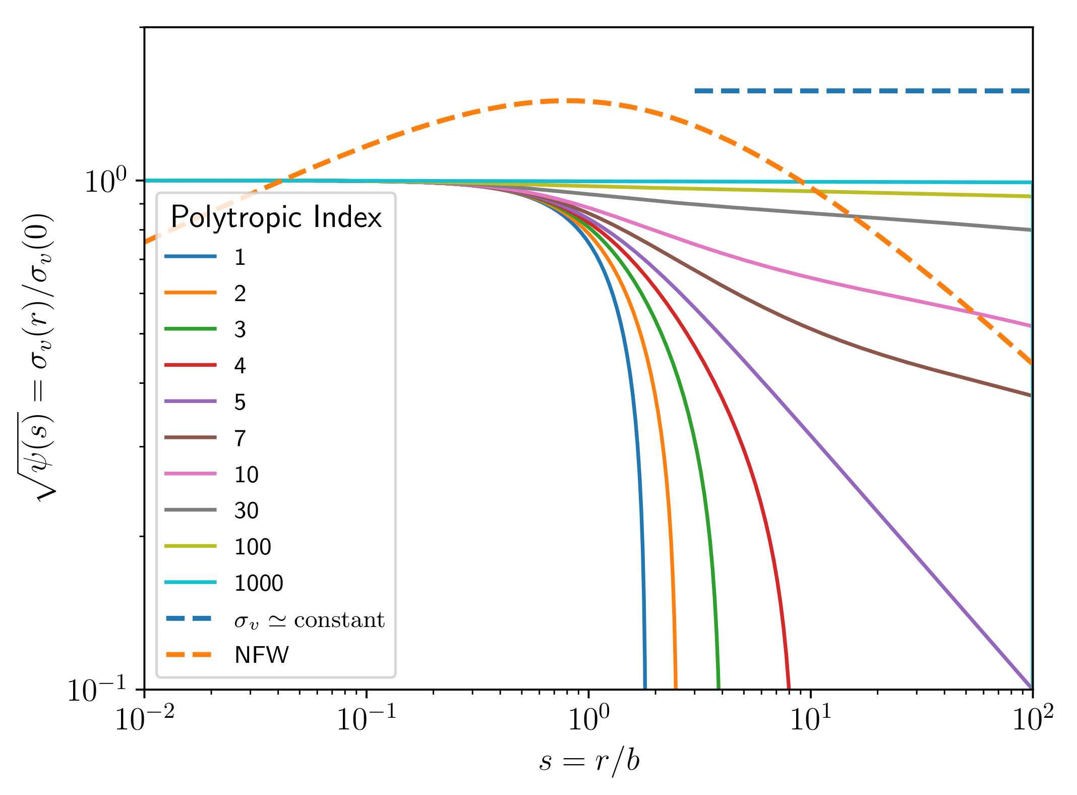
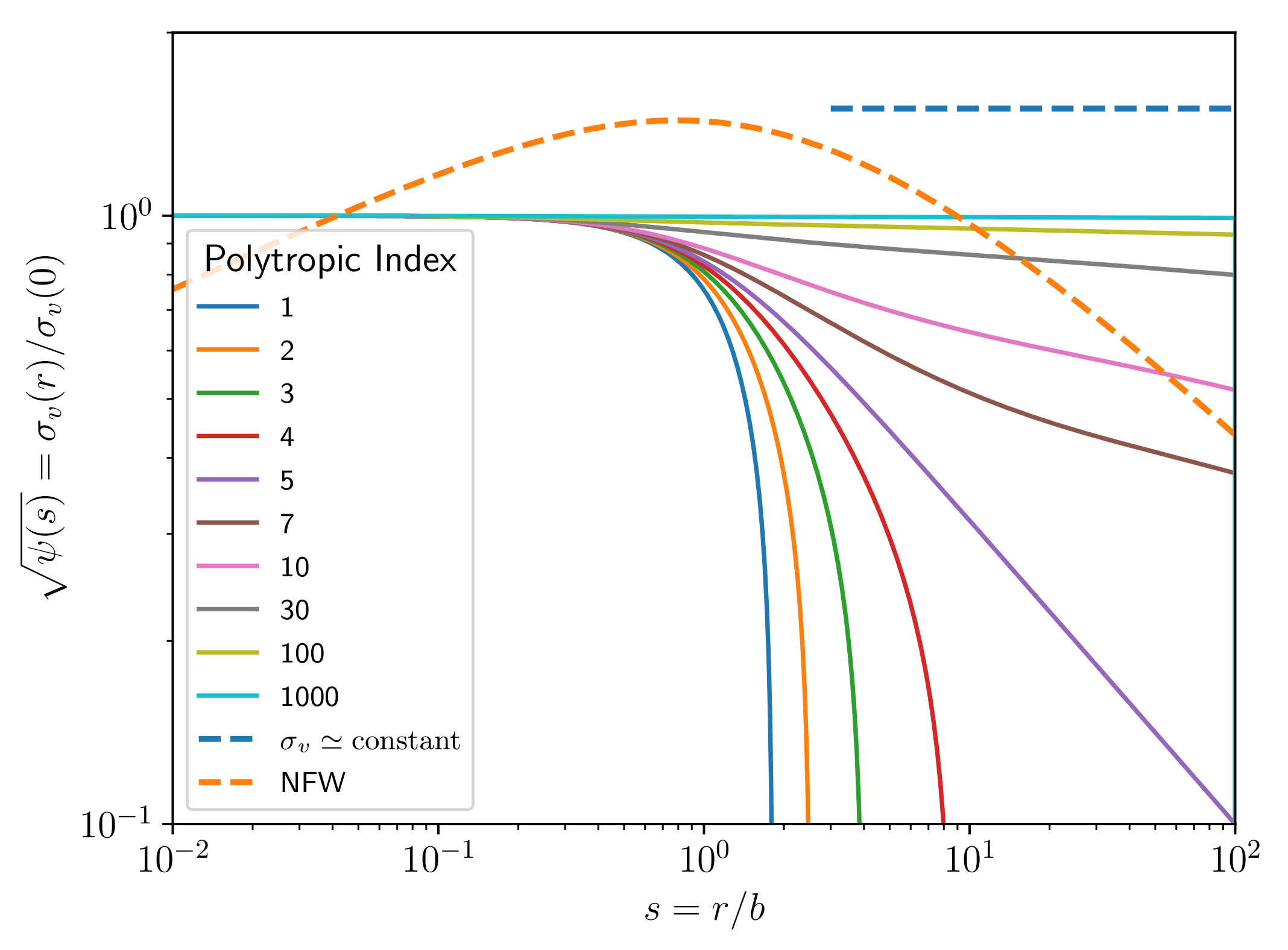
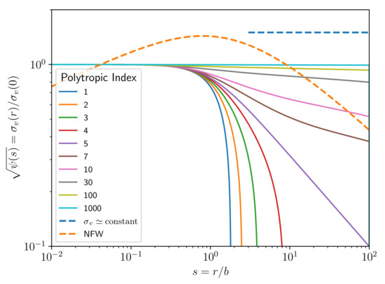
Figure 2 shows the radial variation of the velocity dispersion corresponding to the polytropic radial density variation represented in Figure 1. For reference, the figure also includes a curve representing the asymptotic behavior of high-m polytropes (i.e., constant), and the velocity dispersion corresponding to an NFW profile. Polytropes and NFW profiles also behave very differently in terms of their velocity dispersion [55].
Figure 2.
Velocity dispersion corresponding to the polytropic radial density variation represented in Figure 1. These curves just provide the shape of the profile, which can be shifted horizontally and vertically by arbitrary amounts (set by the constants b and , respectively). The color code is the same as that used in Figure 1. The curve with approximately models the shape of an isothermal sphere. For reference, the plot includes (the blue dashed line), which represents the asymptotic behavior of high-m polytropes, and also shows the velocity dispersion of the NFW profile in Figure 1 (as worked out in [56]). Note the huge difference in dynamical range between the radial density variations (∼; Figure 1) and the corresponding velocity dispersion variations shown in this figure (∼10).
2.2.1. Properties of the Polytropes
The solutions of the Lane–Emden equation ( in Equation (21)) are well studied in literature because of their connection with the stellar structure produced by polytropic gases [50,57,58]. Some of these properties are of relevance for the study of the structure of galaxies, and they are compiled next.
- Analytic solutions. The case is known as the Schuster [59] sphere or Plummer [60] model and has an analytic solution,which extends to infinity but has finite mass. Analytic solutions also exists for and [50]. They are useful for the purpose of testing numerical solutions of Equation (21), but they are not so relevant in the present context because of Equation (25).
- Connection with the isothermal sphere. Since the Boltzmann–Gibbs entropy approaches the Tsallis entropy in the limit , and this limit corresponds to (see Equation (19)), one can recover the isothermal sphere (Equations (10) and (12)) taking the limit of the Lane–Emden equation (Equation (21)) when [61].
- Analytic approximations. Most polytropic indexes do not admit an analytic solution and either Equation (21) has to be integrated numerically or one has to resort to the analytic approximations existing in the literature. The original approximations date back to pre-computer days when polytropes were fundamental to model stellar structures [50]. However, these approximations may still be useful nowadays to fit large datasets of galaxies. Fitting requires evaluating polytropes many times, and this computation usually determines the total speed of the algorithm. Chandrasekhar [50] expands as a polynomial around . The first terms arean expression which holds for . Through Equation (23), one recovers the volume density. An expansion reaching out to the term is explicitly given by Horedt ([58], Equation (2.4.24)). This approximation eventually breaks down for a large enough s and so other alternatives have been worked out. Approximations in terms of exponentials have been tried [57,62]. Through an Euler transformation of Equation (21), Hunter [61] worked out a series that converges all the way to the outer radius. A comprehensive review of the possibilities put forward in the literature is compiled by Horedt [58]. Among them, it is shown that for large s, approaches the solutionin an oscillatory manner, with the coefficient depending just on m (see [58], Equation (2.4.88)). Thus, due to Equations (23), (22), and (31),for . Figure 1 also includes for reference the curve (the blue dashed line) to represent the asymptotic behavior of high-m polytropes. Likewise, the asymptotic behavior of the velocity dispersion for inferred from Equations (27) and (31) is a constant independent of s, as it should be in this limit when polytropes become isothermal spheres.
- Central cores. All politropes have a core (a central plateau in the density distribution) with the same shape independently of the index m [18,48]. Equations (23) and (22), and the first two terms in the approximation (30) lead to,with the characteristic radius, , and characteristic density, , defined in terms of a particular value () for the logarithmic derivative of the density profile,The second approximate identity in the right-hand side of Equation (33), which holds for , indicates that after normalization by and , all polytropes collapse to a single shape independently of m. In other words, except for a trivial normalization, all the polytropes look the same in their cores. This property is followed by halos from numerical simulations of self-gravitating systems (Section 4) as well as by real galaxies (Section 5).
- Finite size. We also note that for there is always a truncation, i.e., goes to zero at a finite radius [50]. Thus, these polytropes have a finite size. The radii have to be computed numerically, and are tabulated elsewhere (e.g., [50], Table 4).
- Relationship with polytropic gases. As we explain above, the properties of polytropes are well known because of the formal equivalence with polytropic gases, traditionally used to model stars analytically [50]. They are formally identical provided that the exponent that defines the relation between pressure (P) and ,is related to the polytropic index in the Lane–Emden equation (Equation (21)) as (e.g., [1]),In this equivalence, plays the role of gas temperature (T) so that the perfect gas law, , turns into,
2.2.2. Plane-of-the-Sky Projected Polytropes
The polytropes describe a 3D mass distribution whereas the comparison with astronomical observations is often made in terms of the surface density projected in the plane of the sky (see Section 3 and Section 5). Thus, the 2D projection of the polytropes (called propols in [26]) deserves analysis. The surface density corresponding to the volume density is given by its Abel transform, with R the projected distance from the center (e.g., [1]). Then, can be expressed in terms of the normalized Abel transform ,
with
, and . The variable a has units of surface density. In general, for an arbitrary index m, the function has to be evaluated numerically. However, f has a close analytic expression for [26], namely,
which has its half-mass radius at . As it happens with the polytropes, all propols show a central plateau (see [26], Figure 1, as well as Figure 3 in here).
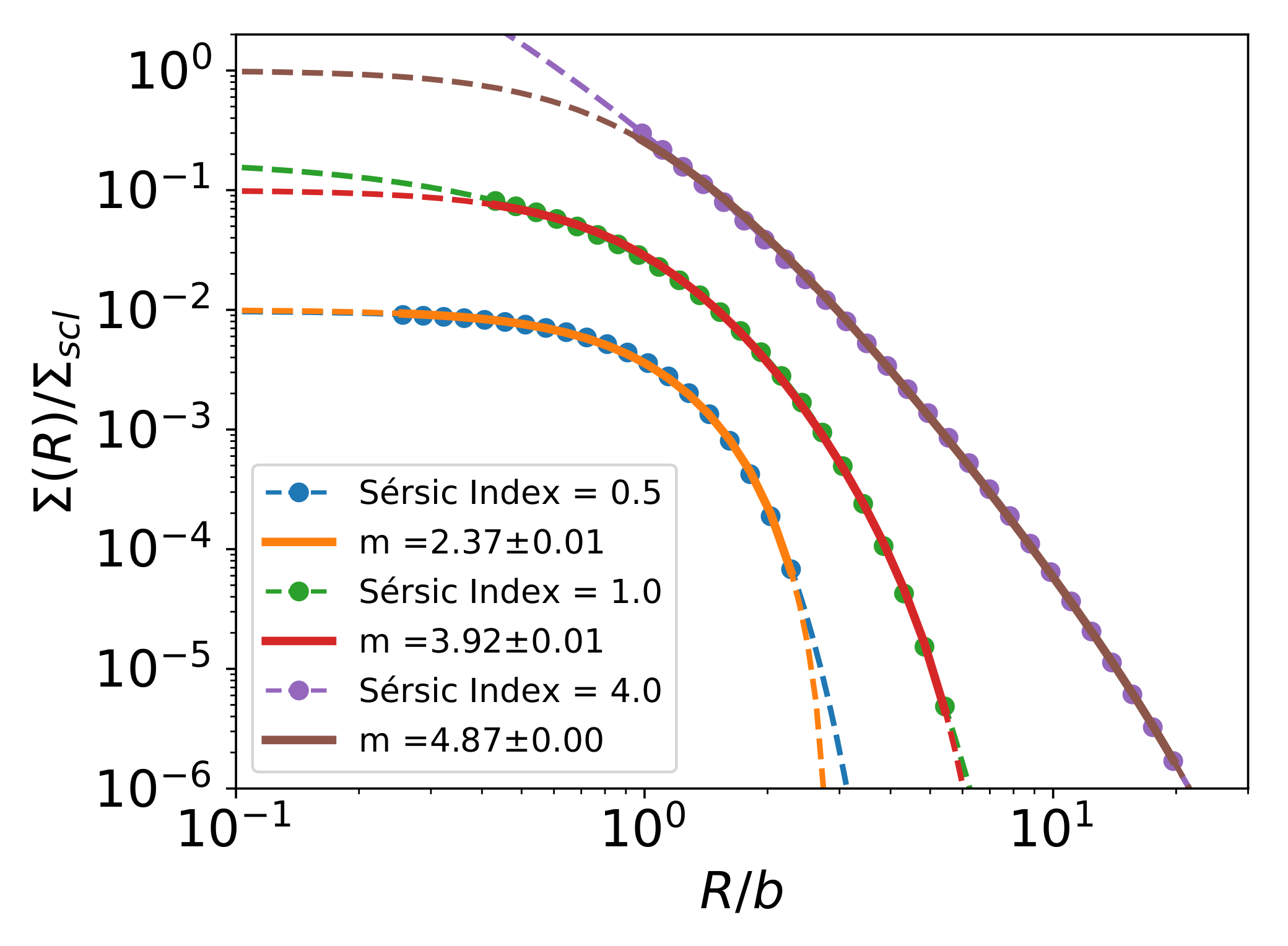
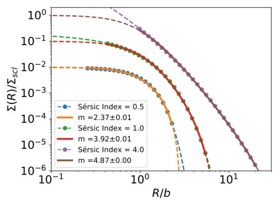
Figure 3.
Representative Sérsic profiles (symbols and dashed lines of the same color) fitted with propols (solid and dashed lines of the same color). The symbols mark the range of radii included in the fit. Except for Sérsic index 0.5, cores have been excluded since the cores of Sérsic profiles and propols are different. Outside the core, the agreement is well within any realistic observational error, an agreement holding for up to a factor ∼20 in radius and ∼ in surface density. The original Sérsic index and the corresponding polytropic index are given in the inset. For display purposes, all profiles have different normalization () and are scaled radially to the scale-length of the corresponding polytrope (b; Equation (22)).
3. Relationship between Polytropes and Sérsic Profiles
The observed stellar mass surface density within galaxies drops with radial distance following a law approximately given by a Sérsic function [2,6],
with being the radius enclosing half of the mass and a constant which depends only on the so-called Sérsic index n. The Sérsic index controls the shape of the profile, and has been observed to vary from 0.5 to 6 [5,7], approximately going from disk-like galaxies (; [8]) to elliptical galaxies (; [9]). The question arises as to whether the theoretical polytropes account for the empirical Sérsic profiles. Since Sérsic functions describe surface densities they have to be compared with propols (Section 2.2.2). Both propols and Sérsic profiles present cores, however, they are not similar. Except for , the cores of the Sérsic profiles are too small compared with the cores of the propols [26]. This is shown in Figure 3, which shows three different Sersic profiles covering the whole range of observed indexes together with fits to them using propols. There is a large mismatch in the cores, but their outskirts are indistinguishable within any realistic observational error. The equivalence between Sérsic index n and polytropic index m depends somewhat on the range of radii used for comparison, but it approximately goes from for to for [26]. Thus, the range of physically sensible polytropes (Equation (25)) seem to naturally yield the range of observed Sérsic indexes [5,7]. Because of the mismatch in the cores, it is at present unclear whether the range of observed Sérsic indexes truly arises from the range of sensible polytropic indexes.
Sérsic profiles describe stellar mass whereas propols model total mass, i.e., gas, stars, and DM all together. For the similarity between Sérsic profiles and propols to be of relevance for real galaxies, a scaling between stellar mass and total mass must exist. Fortunately, the similarity still holds even when the scaling is not a constant and the ratio between stellar and total mass varies radially (see [26]).
4. Relationship between Polytropes and CDM Mass Density Profiles
According to the current cosmological model, DM provides most of the gravitational force that drives galaxy formation and evolution. The DM particles in this model are cold, and only interact with each other and with the baryons through gravity (for an up-to-date critical review, see [63]). Given the expected low mass of the DM particles [64], gravitation alone cannot thermalize the particle distribution within a Hubble time [1] so the current DM mass distribution in galaxy halos should still reflect the initial conditions. Back in 1997, Navarro et al. [22] found that the DM halos in cosmological numerical simulations follow a law, now called NFW profile, where the density drops with radius r as
where is a characteristic radius. Because the NFW profile results from cold DM numerical simulations, its shape is commonly explained as the outcome of the cosmological initial conditions [10,12,13,14,15]. It is repeatedly found in the literature that DM halos are reproduced by Einasto profiles as well as, if not better than, the NFW profiles [44,46,47]. The Einasto profiles, , are formally identical to Sérsic profiles but with the variable representing the 3D radial distance, r, replacing the projected distance, R, i.e.,
where A, B, and are the three parameters that define the profile.
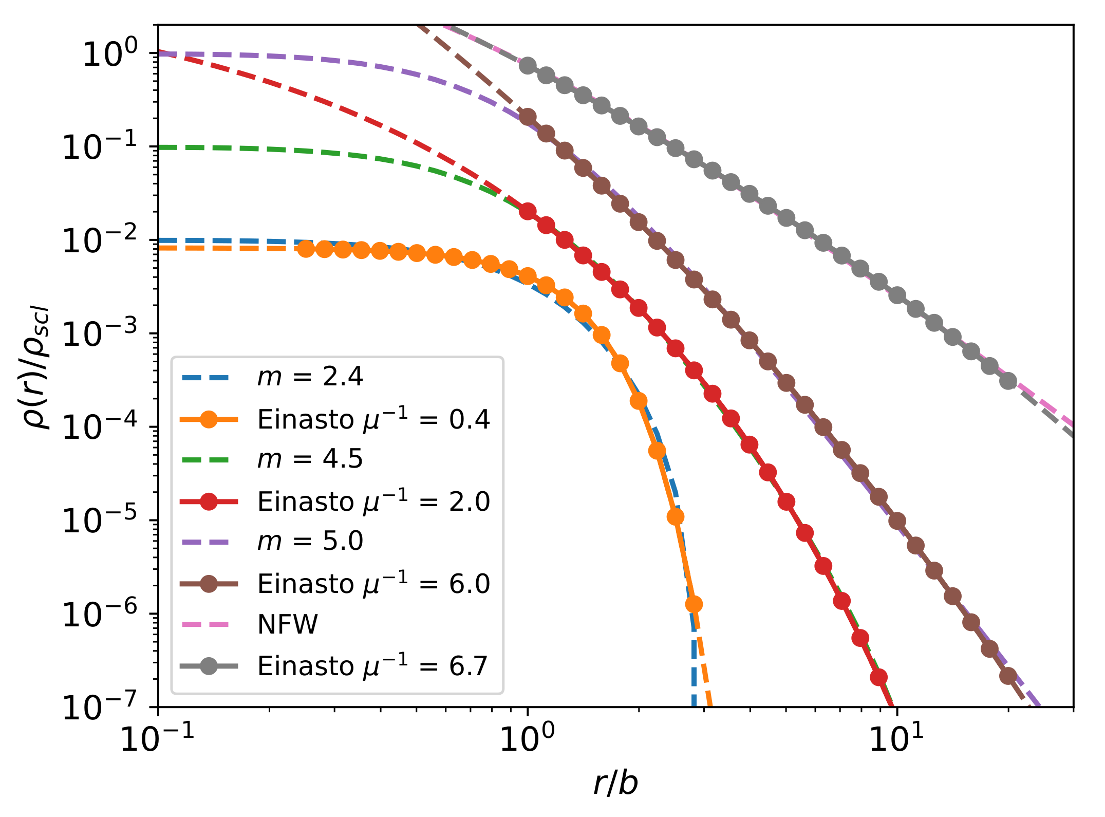
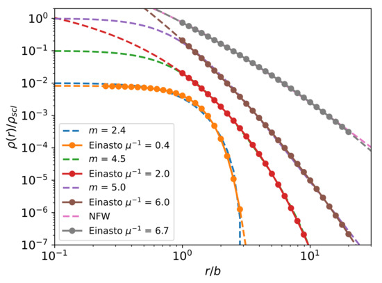
Figure 1 includes a NFW profile (the orange dashed line) with and set arbitrarily to fit in within the panel. The NFW profile diverges towards the center of the mass distribution, when , and in this sense is very different from a polytrope where the density has a central plateau (Equation (33)). The same statement holds for the Einasto profiles. Their cores are not like a polytropic core unless 4. However, as it happens with the Sérsic profiles (Section 3) when they are compared with propols, the outskirts of the Einasto profiles are very close to a polytrope (Figure 4). This is not the case of the NFW profiles, which do not seem to have a correspondence in the realm of polytropes. This seems to be in contradiction with the claim that both NFW and Einasto profiles reproduce DM halos from numerical simulations, but it is not. The Einasto profile equivalent to an NFW in simulations has a particular (e.g., [23,44], see also Figure 4)), which would correspond to a polytrope with , i.e., far from the polytropes with finite size and mass (see Figure 1).
Figure 4.
Representative polytropes (dashed lines, as indicated in the inset) fitted with Einasto functions (dashed lines and symbols of the same color). The symbols represent the range of radii included in the fit. Outside the core, the agreement is well within any realistic observational error, an agreement holding for up to a factor ∼20 in radius and in surface density. The original polytropic index and the corresponding inverse exponent of the Einasto function () are given in the inset. For display purposes, all profiles have different normalization () and are scaled radially to the scale-length of the corresponding polytrope (b; Equation (22)). The NFW profile (the pink dashed line) is well fitted by an Einasto profile (grey dots and dashed line), but the shape of this Einasto profile differs from any polytrope of finite size and mass.
Cosmological numerical simulations of collision-less DM particles produce halos without cores (Equation (43)). However, when collisions are included, then the resulting DM halos always develop a polytropic central core [18]. There are two ways in which collisions between particles have been considered in simulations. One of them is actually an artifact due to the need of using DM particles with artificially large masses. Then the two-body gravitationally induced collisions become unrealistically important, and the inner DM halo has to be discarded to recover proper NFW profiles [16]. On the other hand, collisions are imposed to model the so-called self-interacting DM [35], finding that the shape of the resulting halo has a core whose shape is independent of the assumed collisional cross-section [37]. In both cases the resulting DM halos have a polytropic core (see Figure 5). This result is consistent with the ansatz that the Tsallis entropy is indeed adequate to describe self-gravitating systems in thermal equilibrium.
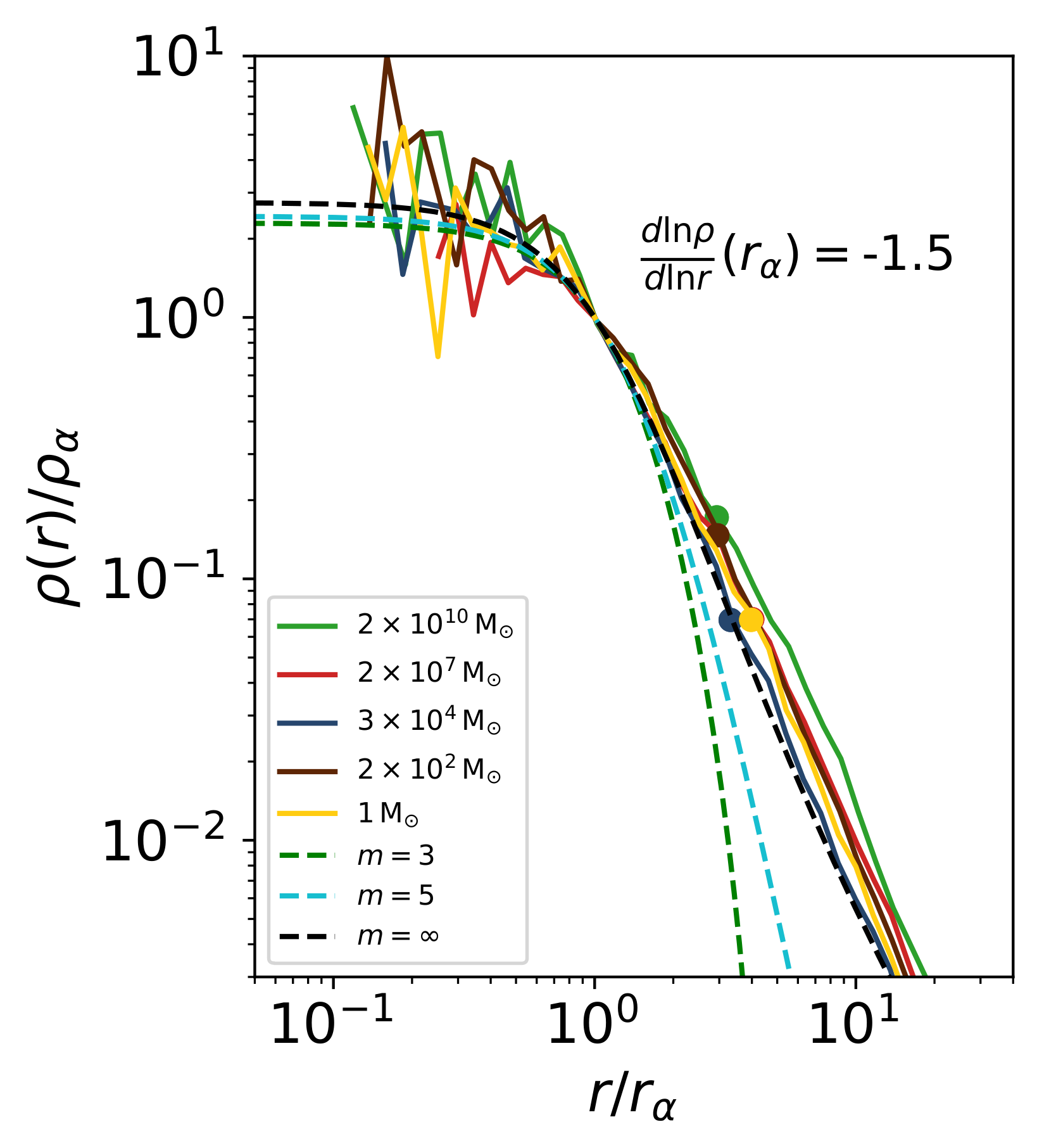
Figure 5.
Mass density profiles of DM halos from numerical simulations showing the artificial cores appearing within the convergence radius (marked by color symbols). Within this radius, the timescale for two-body collisions between the (artificially massive) DM particles used in the simulation is shorter than the age of the Universe. The profiles have been taken from [23] and they represent DM halos with masses differing by as much as 10 orders of magnitude (see the inset). The dashed lines represent polytropes, with their index included in the inset. All profiles have been normalized to the density and radius where the logarithmic derivative of the profile (Equation (34)) equals −1.5. Additional details can be found in [18].
Claims that polytropes reproduce simulated DM halos better than NFW profiles can be found in [65].
5. Observational Support for Galaxies Reaching Tsallis Maximum Entropy
The use of Tsallis entropy is not new to the literature on galaxies, and it has already shown some success. It provides a common framework linking a number of seemingly disconnected observational properties of galaxies. The mass density profiles observed in the centers of dwarf galaxies are very well reproduced by polytropes without any degree of freedom or tuning [48]. In other words, the so-called core–cusp problem of the CDM cosmology (see Section 1) is automatically solved if the mass distribution within dwarfs is in TE as defined by the Tsallis entropy. Similar conclusions have also been found elsewhere [66]. The same type of profile also explains the stellar surface density profiles observed in globular clusters [49].
Claims in the literature that polytropes do not provide good fits to observed galaxies (e.g., [41,67]) have been disproven lately (e.g., [26,66]). It has been shown that propols account for the mass distribution in low mass galaxies (), and they do it better than classical Sérsic profiles [26]. The goodness of propols to reproduce the observed mass distribution in galaxies parallels the equivalence between propols and Sérsic profiles analyzed in Section 3. Although with scatter, the observed polytropic indexes increase with increasing mass and tend to cluster around . For the most massive galaxies, propols are very good at reproducing their central parts, but they do not handle cores and outskirts well overall. It seems like if the central parts are already in TE, a condition not reached in the outskirts yet [11].
The range of physically sensible polytropes (Equation (25)) seems to naturally yield the range of observed Sérsic indexes (from 0.5 to 6; [5,7]). As we discuss in Section 4, because of the mismatch in the cores between propols and Sérsics, it is at present unclear whether this agreement is pure coincidence or if it provides the long-sought explanation for why observed galaxies follow Sérsic profiles. Even with this caveat, we argue that the equivalence between sensible polytropic indexes and observed Sérsic indexes supports that galaxies develop polytropic mass distributions.
The star counts and the kinematic data of the Milky Way (MW) stellar halo are well represented by an Einasto profile with and an effective radius kpc [68]. Because of the equivalence between Einasto profiles and polytropes (Section 4 and Figure 4), this MW halo corresponds to a polytrope with m between 4 and 5.
6. Pathways to Thermalization
As we put forward in Section 5, some observations suggest that TE, as described by the Tsallis entropy, sets the internal distribution of mass in some galaxies. Therefore, the arguments in Section 1 against galaxies being able to reach TE are questionable. In particular, there should be alternatives to the two-body relaxation collisions, a mechanism unable to thermalize the gravitational potential within the Hubble time. What are these alternative pathways to thermalization?
Violent relaxation [1,69] can do the work. If for some reason the self-gravitating system is driven far from equilibrium, then the gravitational potential varies in time, and this variation allows the particles to exchange their energy and momentum in a timescale comparable with the dynamical timescale for the variation of the potential. For instance, if the system starts off out the virial equilibrium and collapses, this timescale will be set by the free-fall time, which is much shorter than the Hubble time5. This idea permeates various physical processes invoked to turn the cusps expected from the CDM simulations into the observed cores. For example, the feedback of the baryons on the DM particles through gravitational forces [27,28,29] or supernova explosions suffice to expel a significant fraction of the gas existing in the central regions of dwarf galaxies in a very short timescale, changing the overall gravitational potential and forcing the DM distribution to readjust. Gas gets re-accreted, new stars are formed, and the process starts over rendering a cored density profile after several of these cycles.
There may be another pathway to thermalization through the mergers of SMBHs expected to occur at the center of massive ellipticals [70,71]. The motion of two merging black holes produces scouring of stars. In addition, the recoil kicks the merged SMBH out of the center, forcing a final swing of the SMBH that stirs the global gravitational potential [34,72]. Thus, scouring plus recoil may allow the self-gravitating system to reach TE in a timescale much shorter than the two-body relaxation timescale. The fast scouring of the inner region can also be achieved through scattering with massive gas clumps [30,31] or by the forcing produced by a central bar [32]. We note that central BHs may also be present in dwarf galaxies (e.g., [73,74], therefore, this thermalizing process may be at work for them as well.
Another extremely interesting pathway to thermalization has to do with the unknown nature of the DM particles. Thermalization in a short timescale is possible if two-body collisions between particles are efficient enough. This would happen if DM particles had masses in the stellar-mass realm (e.g., if they are stellar-mass primordial BHs), a possibility seemingly discarded by observations [64]. A more appealing possibility is DM not being collision-less, i.e., having an additional large DM particle–DM particle collision cross-section that shortens the two-body collision timescale below the Hubble time [35,36,37,75]. When the DM particles of numerical simulations are allowed to interact through any of these two mechanisms, it leads to a gravitational potential conforming with polytropes [18].
7. Conclusions
We still do not have a final answer to the original question of why do real galaxies choose a particular mass distribution? Here we have examined whether thermodynamic equilibrium (TE) is setting the mass distribution. The standard answer discards the role of TE for a number of reasons. Firstly, the TE described by the classical Boltzmann–Gibbs entropy produces mass distributions with unphysical properties (Section 2.1). Secondly, two-body gravitational collisions are quite inefficient and so TE cannot be set and should not be relevant (Section 1). Finally, the DM halos coming from numerical simulations (i.e., the NFW profile and its relatives) have a mass distribution set by initial conditions rather than by TE (Section 1). However, these arguments are questionable for a number of reasons. Firstly, Boltzmann–Gibbs entropy does not describe systems with long-range interactions. When Tsallis entropy is used to define TE, then the resulting mass distribution (polytropes; Section 2.2) turns out to be physically sensible. Secondly, there are faster alternatives to the two-body collisions to thermalize the potential. They go from feedback of baryons on DM through gravity to the stirring of the potential produced by the merging of SMBHs (Section 6). Thirdly, the standard DM halos produced in numerical simulations assume collision-less DM particles thus, by construction, they have to reflect initial conditions rather than TE. However, when collisions are allowed, the numerical halos are consistent with polytropes and so with TE (Section 4). This result reinforces the ansatz that the Tsallis entropy is indeed adequate to describe self-gravitating systems in thermal equilibrium.
In addition to the above arguments rebutting the original criticisms, a number of observations indicate that polytropic profiles reproduce real galaxies (Section 5). In particular, the outskirts of plane-of-the-sky projected polytopes are extremely similar to Sérsic profiles (Section 3), and they do reproduce the stellar mass distribution in galaxies. Even the halo of the MW seems to be a polytrope. Moreover, the cores in the observed mass distribution of dwarf galaxies are polytropes so solving the so-called core–cusp problem seems to be equivalent to explaining why the mass distribution in these objects is thermalized (Section 1 and Section 5).
Section 2.2 summarizes a number of properties of polytropes that are of interest in the context of galaxy structure. In particular, the cores of all polytropes have the same shape, independently of polytropic index m (Equation (33)), the velocity dispersion scales as a power of the density (Equation (38)), and there is a fairly narrow range of valid values of m (Equation (25)).
As a way to foretell future developments in the field, I conclude with a few interesting and open lines of research. Ordered from more general to more specific, they are: (1) From first principles, derive the entropy describing self-gravitating systems [51,76]. (2) Include angular momentum in the polytropic formalism [77,78,79]. (3) Are the halos in fully DM-dominated galaxies thermalized? If so, then the DM cannot be collision-less as assumed in the standard cosmological model [28,63,80]. (5) Observationally, the central mass surface density in galaxies seems to have an upper limit (, e.g., [81,82]). Is this a consequence of the galaxies being polytropes [52]?
Funding
This research was partly funded by the Spanish Ministry of Science and Innovation, project PID2019-107408GB-C43 (ESTALLIDOS), and by Gobierno de Canarias through EU FEDER funding, project PID2020010050.
Institutional Review Board Statement
Not applicable.
Informed Consent Statement
Not applicable.
Data Availability Statement
All date used in this work are either properly referenced all can be reproduced from the equations.
Acknowledgments
Most of what is described in these notes follows from conversations with various colleagues: Ignacio Trujillo, Angel R. Plastino, Ana Monreal Ibero, Claudio Dalla Vecchia, Diego Blas, and Jorge Martín Camalich. Aridane Rodríguez Moreno helped me to compile the references cited in Analytic approximations, Section 2.2.1.
Conflicts of Interest
The author declares no conflict of interest.
Abbreviations
The following abbreviations are used in this manuscript:
| BH | Black Hole |
| CDM | Cold Dark Matter |
| DF | Distribution Function |
| DM | Dark Matter |
| MW | Milky Way |
| NFW | Navarro, Frenk, and White [22] |
| SMBH | Supermassive Black Hole |
| TE | Thermodynamic Equilibrium |
Notes
| 1 | This is precisely the meaning given in the paper to the term thermodynamic equilibrium. It is used for distributions that maximize the function describing the entropy of the system. |
| 2 | Consider the identity , expand exp in its Taylor series, and take the limit . |
| 3 | Plugging into Equation (21) the expansion of around , , one ends up with the identity , which implies that either or when . |
| 4 | |
| 5 | For an MW-like halo of mass and radius and 100 kpc, respectively, the free-fall time is only 0.2 Gyr. |
References
- Binney, J.; Tremaine, S. Galactic Dynamics, 2nd ed.; Princeton University Press: Princeton, NJ, USA, 2008. [Google Scholar]
- Sersic, J.L. Atlas de Galaxias Australes; Observatorio Astronomico, Universidad Nacional de Cordoba: Córdoba, Argentina, 1968. [Google Scholar]
- Caon, N.; Capaccioli, M.; D’Onofrio, M. On the shape of the light profiles of early-type galaxies. Mon. Not. R. Astron. Soc. 1993, 265, 1013–1021. [Google Scholar] [CrossRef]
- Trujillo, I.; Graham, A.W.; Caon, N. On the estimation of galaxy structural parameters: The Sérsic model. Mon. Not. R. Astron. Soc. 2001, 326, 869–876. [Google Scholar] [CrossRef]
- Blanton, M.R.; Hogg, D.W.; Bahcall, N.A.; Baldry, I.K.; Brinkmann, J.; Csabai, I.; Eisenstein, D.; Fukugita, M.; Gunn, J.E.; Ivezić, Ž.; et al. The Broadband Optical Properties of Galaxies with Redshifts 0.02 < Z < 0.22. Astrophys. J. 2003, 594, 186–207. [Google Scholar] [CrossRef]
- Graham, A.W.; Driver, S.P. A Concise Reference to (Projected) Sérsic R1/n Quantities, Including Concentration, Profile Slopes, Petrosian Indices, and Kron Magnitudes. Publ. Astron. Soc. Aust. 2005, 22, 118–127. [Google Scholar] [CrossRef]
- Van der Wel, A.; Bell, E.F.; Häussler, B.; McGrath, E.J.; Chang, Y.Y.; Guo, Y.; McIntosh, D.H.; Rix, H.W.; Barden, M.; Cheung, E.; et al. Structural Parameters of Galaxies in CANDELS. Astrophys. J. Suppl. Ser. 2012, 203, 24. [Google Scholar] [CrossRef]
- De Jong, R.S.; van der Kruit, P.C. Near-infrared and optical broadband surface photometry of 86 face-on disk dominated galaxies. I. Selection, observations and data reduction. Astron. Astrophys. Suppl. Ser. 1994, 106, 451–504. [Google Scholar]
- De Vaucouleurs, G. Recherches sur les Nebuleuses Extragalactiques. Ann. D’Astrophys. 1948, 11, 247. [Google Scholar]
- Ascasibar, Y.; Yepes, G.; Gottlöber, S.; Müller, V. On the physical origin of dark matter density profiles. Mon. Not. R. Astron. Soc. 2004, 352, 1109–1120. [Google Scholar] [CrossRef]
- Henriksen, R.N. Coarse graining the distribution function of cold dark matter—II. Mon. Not. R. Astron. Soc. 2004, 355, 1217–1236. [Google Scholar] [CrossRef]
- Cen, R. Gaussian Random Field: Physical Origin of Sersic Profiles. Astrophys. J. Lett. 2014, 790, L24. [Google Scholar] [CrossRef][Green Version]
- Nipoti, C. Gaussian random field power spectrum and the SÉrsic law. Astrophys. J. Lett. 2015, 805, L16. [Google Scholar] [CrossRef]
- Ludlow, A.D.; Angulo, R.E. Einasto profiles and the dark matter power spectrum. Mon. Not. R. Astron. Soc. 2017, 465, L84–L88. [Google Scholar] [CrossRef]
- Brown, S.T.; McCarthy, I.G.; Diemer, B.; Font, A.S.; Stafford, S.G.; Pfeifer, S. Connecting the structure of dark matter haloes to the primordial power spectrum. Mon. Not. R. Astron. Soc. 2020, 495, 4994–5013. [Google Scholar] [CrossRef]
- Power, C.; Navarro, J.F.; Jenkins, A.; Frenk, C.S.; White, S.D.M.; Springel, V.; Stadel, J.; Quinn, T. The inner structure of ΛCDM haloes—I. A numerical convergence study. Mon. Not. R. Astron. Soc. 2003, 338, 14–34. [Google Scholar] [CrossRef]
- Ludlow, A.D.; Schaye, J.; Bower, R. Numerical convergence of simulations of galaxy formation: The abundance and internal structure of cold dark matter haloes. Mon. Not. R. Astron. Soc. 2019, 488, 3663–3684. [Google Scholar] [CrossRef]
- Sánchez Almeida, J.; Trujillo, I. Numerical simulations of dark matter haloes produce polytropic central cores when reaching thermodynamic equilibrium. Mon. Not. R. Astron. Soc. 2021, 504, 2832–2840. [Google Scholar] [CrossRef]
- Weinberg, D.H.; Bullock, J.S.; Governato, F.; Kuzio de Naray, R.; Peter, A.H.G. Cold dark matter: Controversies on small scales. Proc. Natl. Acad. Sci. USA 2015, 112, 12249–12255. [Google Scholar] [CrossRef]
- Bullock, J.S.; Boylan-Kolchin, M. Small-Scale Challenges to the ΛCDM Paradigm. Annu. Rev. Astron. Astrophys. 2017, 55, 343–387. [Google Scholar] [CrossRef]
- Del Popolo, A.; Le Delliou, M. Small Scale Problems of the ΛCDM Model: A Short Review. Galaxies 2017, 5, 17. [Google Scholar] [CrossRef]
- Navarro, J.F.; Frenk, C.S.; White, S.D.M. A Universal Density Profile from Hierarchical Clustering. Astrophys. J. 1997, 490, 493–508. [Google Scholar] [CrossRef]
- Wang, J.; Bose, S.; Frenk, C.S.; Gao, L.; Jenkins, A.; Springel, V.; White, S.D.M. Universal structure of dark matter haloes over a mass range of 20 orders of magnitude. Nature 2020, 585, 39–42. [Google Scholar] [CrossRef] [PubMed]
- Oh, S.H.; Hunter, D.A.; Brinks, E.; Elmegreen, B.G.; Schruba, A.; Walter, F.; Rupen, M.P.; Young, L.M.; Simpson, C.E.; Johnson, M.C.; et al. High-resolution Mass Models of Dwarf Galaxies from LITTLE THINGS. Astron. J. 2015, 149, 180. [Google Scholar] [CrossRef]
- Carlsten, S.G.; Greene, J.E.; Greco, J.P.; Beaton, R.L.; Kado-Fong, E. ELVES I: Structures of Dwarf Satellites of MW-like Galaxies; Morphology, Scaling Relations, and Intrinsic Shapes. arXiv 2021, arXiv:2105.03435. [Google Scholar]
- Sánchez Almeida, J.; Trujillo, I.; Plastino, A.R. Physically Motivated Fit to Mass Surface Density Profiles Observed in Galaxies. Astrophys. J. 2021, 921, 125. [Google Scholar] [CrossRef]
- Governato, F.; Brook, C.; Mayer, L.; Brooks, A.; Rhee, G.; Wadsley, J.; Jonsson, P.; Willman, B.; Stinson, G.; Quinn, T.; et al. Bulgeless dwarf galaxies and dark matter cores from supernova-driven outflows. Nature 2010, 463, 203–206. [Google Scholar] [CrossRef]
- Di Cintio, A.; Brook, C.B.; Macciò, A.V.; Stinson, G.S.; Knebe, A.; Dutton, A.A.; Wadsley, J. The dependence of dark matter profiles on the stellar-to-halo mass ratio: A prediction for cusps versus cores. Mon. Not. R. Astron. Soc. 2014, 437, 415–423. [Google Scholar] [CrossRef]
- Freundlich, J.; Jiang, F.; Dekel, A.; Cornuault, N.; Ginzburg, O.; Koskas, R.; Lapiner, S.; Dutton, A.; Macciò, A.V. The Dekel-Zhao profile: A mass-dependent dark-matter density profile with flexible inner slope and analytic potential, velocity dispersion, and lensing properties. Mon. Not. R. Astron. Soc. 2020, 499, 2912–2933. [Google Scholar] [CrossRef]
- Elmegreen, B.G.; Struck, C. Exponential Galaxy Disks from Stellar Scattering. Astrophys. J. Lett. 2013, 775, L35. [Google Scholar] [CrossRef][Green Version]
- Struck, C.; Elmegreen, B.G. Power-law Sérsic profiles in hydrostatic stellar galaxy discs. Mon. Not. R. Astron. Soc. 2019, 489, 5919–5927. [Google Scholar] [CrossRef]
- Hohl, F. Numerical Experiments with a Disk of Stars. Astrophys. J. 1971, 168, 343. [Google Scholar] [CrossRef]
- Merritt, D.; Graham, A.W.; Moore, B.; Diemand, J.; Terzić, B. Empirical Models for Dark Matter Halos. I. Nonparametric Construction of Density Profiles and Comparison with Parametric Models. Astron. J. 2006, 132, 2685–2700. [Google Scholar] [CrossRef]
- Nasim, I.T.; Gualandris, A.; Read, J.I.; Antonini, F.; Dehnen, W.; Delorme, M. Formation of the largest galactic cores through binary scouring and gravitational wave recoil. Mon. Not. R. Astron. Soc. 2021, 502, 4794–4814. [Google Scholar] [CrossRef]
- Spergel, D.N.; Steinhardt, P.J. Observational Evidence for Self-Interacting Cold Dark Matter. Phys. Rev. Lett. 2000, 84, 3760–3763. [Google Scholar] [CrossRef]
- Davé, R.; Spergel, D.N.; Steinhardt, P.J.; Wandelt, B.D. Halo Properties in Cosmological Simulations of Self-interacting Cold Dark Matter. Astrophys. J. 2001, 547, 574–589. [Google Scholar] [CrossRef]
- Elbert, O.D.; Bullock, J.S.; Garrison-Kimmel, S.; Rocha, M.; Oñorbe, J.; Peter, A.H.G. Core formation in dwarf haloes with self-interacting dark matter: No fine-tuning necessary. Mon. Not. R. Astron. Soc. 2015, 453, 29–37. [Google Scholar] [CrossRef]
- Padmanabhan, T. Statistical mechanics of gravitating systems: An Overview. arXiv 2008, arXiv:0812.2610. [Google Scholar]
- Tsallis, C. Possible generalization of Boltzmann-Gibbs statistics. J. Stat. Phys. 1988, 52, 479–487. [Google Scholar] [CrossRef]
- Tsallis, C. Introduction to Nonextensive Statistical Mechanics; Springer: New York, NY, USA, 2009. [Google Scholar] [CrossRef]
- Chavanis, P.H.; Sire, C. On the interpretations of Tsallis functional in connection with Vlasov Poisson and related systems: Dynamics vs thermodynamics. Phys. A Stat. Mech. Its Appl. 2005, 356, 419–446. [Google Scholar] [CrossRef]
- Plastino, A.R.; Plastino, A. Stellar polytropes and Tsallis’ entropy. Phys. Lett. A 1993, 174, 384–386. [Google Scholar] [CrossRef]
- Lima, J.A.S.; de Souza, R.E. Power-law stellar distributions. Phys. A Stat. Mech. Its Appl. 2005, 350, 303–314. [Google Scholar] [CrossRef][Green Version]
- Navarro, J.F.; Hayashi, E.; Power, C.; Jenkins, A.R.; Frenk, C.S.; White, S.D.M.; Springel, V.; Stadel, J.; Quinn, T.R. The inner structure of ΛCDM haloes—III. Universality and asymptotic slopes. Mon. Not. R. Astron. Soc. 2004, 349, 1039–1051. [Google Scholar] [CrossRef]
- Calvo, J.; Florido, E.; Sánchez, O.; Battaner, E.; Soler, J.; Ruiz-Granados, B. On a unified theory of cold dark matter halos based on collisionless Boltzmann-Poisson polytropes. Phys. A Stat. Mech. Its Appl. 2009, 388, 2321–2330. [Google Scholar] [CrossRef]
- An, J.; Zhao, H. Fitting functions for dark matter density profiles. Mon. Not. R. Astron. Soc. 2013, 428, 2805–2811. [Google Scholar] [CrossRef]
- Merritt, D.; Navarro, J.F.; Ludlow, A.; Jenkins, A. A Universal Density Profile for Dark and Luminous Matter? Astrophys. J. Lett. 2005, 624, L85–L88. [Google Scholar] [CrossRef]
- Sánchez Almeida, J.; Trujillo, I.; Plastino, A.R. The principle of maximum entropy explains the cores observed in the mass distribution of dwarf galaxies. Astron. Astrophys. 2020, 642, L14. [Google Scholar] [CrossRef]
- Trujillo, I.; Sánchez Almeida, J. Polytropic fits to globular cluster mass profiles. 2022; in preparation. [Google Scholar]
- Chandrasekhar, S. An Introduction to the Study of Stellar Structure; Dover Publications: New York, NY, USA, 1967. [Google Scholar]
- Tsallis, C. The Nonadditive Entropy Sq and Its Applications in Physics and Elsewhere: Some Remarks. Entropy 2011, 13, 1765–1804. [Google Scholar] [CrossRef]
- Chavanis, P.H. Gravitational instability of polytropic spheres and generalized thermodynamics. Astron. Astrophys. 2002, 386, 732–742. [Google Scholar] [CrossRef]
- Taruya, A.; Sakagami, M.A. Gravothermal catastrophe and Tsallis’ generalized entropy of self-gravitating systems. Phys. A Stat. Mech. Its Appl. 2002, 307, 185–206. [Google Scholar] [CrossRef]
- Chavanis, P.H. Dynamical stability of collisionless stellar systems and barotropic stars: The nonlinear Antonov first law. Astron. Astrophys. 2006, 451, 109–123. [Google Scholar] [CrossRef]
- Barnes, E.I.; Williams, L.L.R.; Babul, A.; Dalcanton, J.J. Velocity Distributions from Nonextensive Thermodynamics. Astrophys. J. 2007, 655, 847–850. [Google Scholar] [CrossRef][Green Version]
- Hoeft, M.; Mücket, J.P.; Gottlöber, S. Velocity Dispersion Profiles in Dark Matter Halos. Astrophys. J. 2004, 602, 162–169. [Google Scholar] [CrossRef]
- Fowler, W.A.; Hoyle, F. Neutrino Processes and Pair Formation in Massive Stars and Supernovae. Astrophys. J. Suppl. Ser. 1964, 9, 201. [Google Scholar] [CrossRef]
- Horedt, G.P. Polytropes—Applications in Astrophysics and Related Fields; Kluwer Academic Publishers: Dordrecht, The Netherlands, 2004; Volume 306. [Google Scholar] [CrossRef]
- Schuster, A. Report of the 53rd Meeting of the British Association for the Advancement of Science (Southport, 1883); John Murray: London, UK, 1884; p. 427. [Google Scholar]
- Plummer, H.C. On the problem of distribution in globular star clusters. Mon. Not. R. Astron. Soc. 1911, 71, 460–470. [Google Scholar] [CrossRef]
- Hunter, C. Series solutions for polytropes and the isothermal sphere. Mon. Not. R. Astron. Soc. 2001, 328, 839–847. [Google Scholar] [CrossRef]
- Beech, M. An Approximate Solution for the Polytrope N = 3. Astrophys. Space Sci. 1987, 132, 393–396. [Google Scholar] [CrossRef]
- Peebles, P.J.E. Improving Physical Cosmology: An Empiricist’s Assessment. arXiv 2021, arXiv:2106.02672. [Google Scholar]
- Carr, B.; Kühnel, F. Primordial Black Holes as Dark Matter: Recent Developments. Annu. Rev. Nucl. Part. Sci. 2020, 70, 355–394. [Google Scholar] [CrossRef]
- Nunez, D.; Sussman, R.A.; Zavala, J.; Cabral-Rosetti, L.G.; Matos, T. Empirical testing of Tsallis’ Thermodynamics as a model for dark matter halos. In Particles and Fields: X Mexican Workshop; Bashir, A., Villanueva, V., Villaseqor, L., Eds.; American Institute of Physics: College Park, MD, USA, 2006; Volume 857, pp. 316–320. [Google Scholar] [CrossRef]
- Novotný, J.; Stuchlík, Z.; Hladík, J. Polytropic spheres modelling dark matter haloes of dwarf galaxies. Astron. Astrophys. 2021, 647, A29. [Google Scholar] [CrossRef]
- Féron, C.; Hjorth, J. Simulated dark-matter halos as a test of nonextensive statistical mechanics. Phys. Rev. E 2008, 77, 022106. [Google Scholar] [CrossRef]
- Evans, N.W.; Williams, A.A. A very simple cusped halo model. Mon. Not. R. Astron. Soc. 2014, 443, 791–798. [Google Scholar] [CrossRef]
- Lynden-Bell, D. Statistical mechanics of violent relaxation in stellar systems. Mon. Not. R. Astron. Soc. 1967, 136, 101. [Google Scholar] [CrossRef]
- López-Cruz, O.; Añorve, C.; Birkinshaw, M.; Worrall, D.M.; Ibarra-Medel, H.J.; Barkhouse, W.A.; Torres-Papaqui, J.P.; Motta, V. The Brightest Cluster Galaxy in A85: The Largest Core Known So Far. Astrophys. J. Lett. 2014, 795, L31. [Google Scholar] [CrossRef]
- Mazzalay, X.; Thomas, J.; Saglia, R.P.; Wegner, G.A.; Bender, R.; Erwin, P.; Fabricius, M.H.; Rusli, S.P. The supermassive black hole and double nucleus of the core elliptical NGC 5419. Mon. Not. R. Astron. Soc. 2016, 462, 2847–2860. [Google Scholar] [CrossRef][Green Version]
- Merritt, D. Dynamics of galaxy cores and supermassive black holes. Rep. Prog. Phys. 2006, 69, 2513–2579. [Google Scholar] [CrossRef]
- Mezcua, M. Observational evidence for intermediate-mass black holes. Int. J. Mod. Phys. D 2017, 26, 1730021. [Google Scholar] [CrossRef]
- Davis, F.; Kaviraj, S.; Hardcastle, M.J.; Martin, G.; Jackson, R.A.; Kraljic, K.; Malek, K.; Peirani, S.; Smith, D.J.B.; Volonteri, M.; et al. Radio AGN in nearby dwarf galaxies: The important role of AGN in dwarf-galaxy evolution. arXiv 2022, arXiv:2201.09903. [Google Scholar] [CrossRef]
- Tulin, S.; Yu, H.B. Dark matter self-interactions and small scale structure. Phys. Rep. 2018, 730, 1–57. [Google Scholar] [CrossRef]
- Amigó, J.; Balogh, S.; Hernández, S. A Brief Review of Generalized Entropies. Entropy 2018, 20, 813. [Google Scholar] [CrossRef]
- Barnes, J.; Goodman, J.; Hut, P. Dynamical Instabilities in Spherical Stellar Systems. Astrophys. J. 1986, 300, 112. [Google Scholar] [CrossRef]
- Nguyen, P.H.; Lingam, M. Analytical families of two-component anisotropic polytropes and their relativistic extensions. Mon. Not. R. Astron. Soc. 2013, 436, 2014–2028. [Google Scholar] [CrossRef]
- Herpich, J.; Tremaine, S.; Rix, H.W. Galactic disc profiles and a universal angular momentum distribution from statistical physics. Mon. Not. R. Astron. Soc. 2017, 467, 5022–5032. [Google Scholar] [CrossRef][Green Version]
- Oñorbe, J.; Boylan-Kolchin, M.; Bullock, J.S.; Hopkins, P.F.; Kereš, D.; Faucher-Giguère, C.A.; Quataert, E.; Murray, N. Forged in FIRE: Cusps, cores and baryons in low-mass dwarf galaxies. Mon. Not. R. Astron. Soc. 2015, 454, 2092–2106. [Google Scholar] [CrossRef]
- Salucci, P.; Burkert, A. Dark Matter Scaling Relations. Astrophys. J. Lett. 2000, 537, L9–L12. [Google Scholar] [CrossRef]
- Burkert, A. Fuzzy Dark Matter and Dark Matter Halo Cores. Astrophys. J. 2020, 904, 161. [Google Scholar] [CrossRef]
Publisher’s Note: MDPI stays neutral with regard to jurisdictional claims in published maps and institutional affiliations. |
© 2022 by the author. Licensee MDPI, Basel, Switzerland. This article is an open access article distributed under the terms and conditions of the Creative Commons Attribution (CC BY) license (https://creativecommons.org/licenses/by/4.0/).




