Abstract
In the present contribution, a preliminary analysis of the effects of the Generalized Uncertainty Principle (GUP) with a minimum length, in the context of compact stars, is performed. On basis of a deformed Poisson canonical algebra with a parametrized minimum length scale that induces deviations from conventional Quantum Mechanics, fundamental questions involving the consistence, evidences and proofs of this approach as a possible cure for unbounded energy divergence are outlined. The incorporation of GUP effects into semiclassical 2N-dimensional systems is made by means of a time-invariant distortion transformation applied to their non-deformed counterparts. Assuming the quantum hadrodynamics approach as a toy-model, due to its simplicity and structured description of neutron stars, we perform a preliminary analysis of GUP effects with a minimum spacetime length on these compact objects. The corresponding results for the equation of state and the mass-radius relation for neutron stars are in tune with recent observations with a maximum mass around 2.5 M⊙ and radius close to 12 km. Our results also indicate the smallness of the noncommutative scale.
1. Introduction
The introduction of genuine gravitational effects in quantum field theory suggests an effective cutoff (minimal length) in the ultraviolet regime as a possible cure for unbounded energy divergences (ultraviolet completion). In principle, high-energy probes should be sensitive to small distance spacetime structures, revealing the quantum nature of gravity. The known approaches to quantum gravity such as string theory [1,2,3,4], loop quantum gravity [5,6,7] and quantum geometry [8] indicate, theoretically, the existence of such a minimal measurable length. In these approaches, the existence of a minimal observable length is a common feature with the estimated size of the order of the Planck length, cm. A compelling way to incorporate the concept of minimum measurable length into Quantum Mechanics is to modify the algebra of the Heisenberg uncertainty principle (HUP), giving rise to the Generalized Uncertainty Principle (GUP). In the HUP framework there is essentially no restriction on the measurement precision of the particles’ position. In GUP, the basic phase space noncommutative algebra: is extended to coordinates and momenta . Historically, the original idea of extending noncommutativity to the coordinates was presented by Heisenberg as an early attempt to remove the infinite quantities that appear in field theories, in a time long before the renormalization procedure was developed and gained acceptance [9]. The first analysis of a quantum theory based on noncommutative coordinates was published by H. S. Snyder [10].
In a similar approach to the quantization of a classical phase space, a noncommutative spacetime is defined by replacing coordinates by the Hermitian operators [11], which in turn obey canonical commutation relations
where is a constant, real-valued antisymmetric matrix (D-dimensional spacetime) with dimensions of length squared, that commutes with and produces a coordinate uncertainty relation,
On many occasions is written as , where is the antisymmetric tensor and the parameter defines the noncommutative scale.
A relevant question then arises: what is the size of the noncommutative scale? Although there is no discernible definitive answer to this question, a minimum observable length in quantum field theory and quantum gravity should share the statistical properties of an expectation value. Different lower bounds have been claimed for the noncommutative scale. Conceptually, should be of the order of the Planck scale cm2. However, when the calculation is related to the Landau problem with magnetic fields (∼12 T) in the region of quantum Hall effect, cm2 [12]; in estimating the muon anomalous magnetic moment cm2 [13]; for the lamb shift cm2 [14].
Alternatively, A. Kempf developed a deformed algebra, in which a modification of the canonical commutation relation was of the form [15,16,17]
where is a positive parameter that induces deviations from conventional Quantum Mechanics. Relation (3) then results in a GUP
which in turn establishes the minimal length scale
For the n-dimensional case, however, the deformed Heisenberg algebra is given by the commutation relations:
where (8) defines a noncommutative geometry. The relations given in (6)–(8) do not break rotational symmetry. Indeed, the generators of rotations may still be written in terms of position and momentum operators as
These algebra deformations imply profound modifications to the formalism of Quantum Mechanics. While a continuous momentum space is retained as seen from Equation (7), the introduction of a noncommutative geometry involves the adoption of a quasi-position formalism. In this scenario, even elementary models such as the harmonic oscillator may manifest considerable complexity and notable deviations when the energy scales approach or exceed [15,16,17].
Among other formulations, Moayedi et al. [18,19], introduced a deformed covariant Lorentz algebra to derive a -modified Dirac equation, as an alternative seesaw-like mechanism for the neutrino induced by the presence of a spacetime of minimum length [20]. Marzola et al. in turn [21] developed a Deformed Poisson Brackets Formalism applied to the MIT Bag Model, introducing minimal length spacetime modifications to thermodynamic quantities and in the respective equation of state.
In the present contribution we introduce a novel analysis of GUP effects, with minimal length spacetime, in compact stars. It should be noted that this study comprises a still very cautious and exploratory research, where the structure of the neutron star is highly schematic. The main goal is to understand that if there is a GUP, with a minimal length, then (i) the astrophysics arena represents a relevant ‘laboratory’ to reveal these effects? (ii) what is the limiting minimal length scale? (iii) we may identify GUP effects in neutron star data? if so, what kind of effects may be identified?
2. The Deformed Poisson Brackets Formalism
In what follows we present a brief summary of the formalism highlighting the classical Hamiltonian description based on Poisson brackets and the Heisenberg quantum formulation based on Dirac commutators.
2.1. Summary of the Formalism
In Classical Mechanics, the phase space of a given system is parametrized in terms of the canonical coordinates defined in terms of position and conjugate momentum n-tuples
The dynamics of the system are described by Hamilton’s equations of motion in terms of partial derivatives of the position coordinates and the corresponding conjugate momenta:
where and and represents the Hamiltonian function. The time evolution of an arbitrary function , in turn, may be expressed in terms of Hamilton’s equations of motion as
By introducing the Poisson bracket,
the eventual explicit time dependence of expression (12) simply runs its course with the time evolution of the dynamical system governed by the Poisson brackets binary operations:
simply considering the position and momentum dependence of the functions and , instead of taking into account a possible explicit time dependence of these functions. The position coordinates and the corresponding conjugate momenta obey Poisson algebra, more precisely
From a classical point of view, these relationships imply the simultaneous measurement and exact determination of the position and momentum of a particle, without uncertainties. From this perspective, the transition from classical mechanics to quantum mechanics can be accomplished by replacing Hamilton’s equations of motion by the corresponding Heisenberg equations, the classical variables and by the corresponding Hermitian operators in Hilbert space, and , and furthermore the Poisson brackets by the Dirac commutators:
As a result, the Poisson algebra is replaced by the Heisenberg algebra
which implies the Heisenberg Uncertainty Principle
The Generalized Uncertainty Principle (GUP) in turn induces a deformation of the Heisenberg algebra and can be interpreted as also inducing deformations to its classical limit, which corresponds to the Poisson algebra. In what follows, in order to introduce a noncommutative algebra, we assume general deformations to the usual canonical commutation relations, such that
where the deformation functions , and are restricted according to the conventional properties of commutators and brackets: obedience to the bilinearity condition, to the Jacobi identity and to the Leibniz rule provided the composition product is associative (see for instance [22] and references therein). In the particular case of the Kempf formalism, the commutation relations (6)–(8), induce the following deformed Poisson brackets:
2.2. Deformation of Differential Volumes
From the perspective of Classical Statistical Mechanics, the phase space of a given physical system represents the set of all possible physical states of the system when described by a given parameterization, where each possible state corresponds uniquely to a point in the phase space represented by the coordinates . Since both the position and momentum vary with time, the dynamic behavior of the system can be viewed as a continuous trajectory of points in the phase space, where the family of phase plane trajectories represents a phase portrait of the system. In Quantum Statistical Mechanics, however, the particle has no well-defined trajectory in phase space. The Heisenberg Uncertainty Principle, and therefore the Heisenberg algebra, effectively implies a discretization of the phase space in minimal volumes. A modification of the Heisenberg Uncertainty Principle (i.e., a GUP), therefore, deforms such volumes.
Particularly in [23], the phase space deformation effects are analyzed for the case of a partition function of a quantum system that is then assumed to fulfill the semiclassical limit. For a non-deformed Heisenberg algebra, we have the transition
In case of a deformed algebra, it is well known that the expression for the quantum partition function will remain unaltered, since a sum over deformed volumes will have the exact same form as the sum over non-deformed ones. However, this is not the case for a classical partition function. Now we must deal with an integration over phase space that deviates from the original continuous partition function in (23) having as the Jacobian factor (for details, see Appendix A)
This Jacobian factor distorts the phase space, relating the canonical variables of the non-deformed algebra (which we called X and P) to the ones of the deformed algebra x and p. Namely, we have
An important canonical invariant is the magnitude of a volume element in phase space. A canonical procedure transforms the -dimensional phase space with coordinates to another phase space with coordinates [24]. In this sense, the Jacobian of the transformation between non-deformed and deformed algebras can be written purely as combinations of deformed Poisson brackets, and, in the particular case of the Kempf deformed algebra of a -dimensional phase space, we have [23,24,25]
This is an important result that gives us the possibility to calculate (for general deformations) the continuous function without introducing canonically conjugated auxiliary variables.
In other words, we may effectively incorporate the effects of a GUP into semiclassical -dimensional systems by applying the following transformation to their non-deformed counterparts:
which represents a distortion in the differential volumes of phase space and can be shown to be invariant under time evolution from the Liouville theorem [25]. The effective formalism described here has been derived equivalently as a deformation of the Planck constant h in [26].
3. The QHD-I Model
Quantum hadrodynamics model (QHD-I) [27,28,29,30,31], as a relativistic quantum field theory for baryons and mesons, has been widely applied to studying various nuclear phenomena including the hadron-hadron interaction, the hadron-nucleus scattering, the bulk and single-particle properties of nuclei, among others. It is commonly recognized that although the quantum chromodynamics is a fundamental theory for strong interaction, the QHD, as an effective field theory formulated in terms of hadronic degrees of freedom, provides a simple and reliable approach to produce the nuclear observables that are insensitive to the short-range dynamics. There are various QHD models, renormalizable and nonrenormalizable, which were tested in the past to reproduce the empirical nuclear properties and the experimental data. In particular, the model proposed by Walecka [27,28] contains nucleons with the parametrized mass denoted as M and Lorentz isoscalar-scalar mesons and isoscalar-vector mesons . The nonrelativistic approximations leads to a nucleon-nucleon interaction potential which behaves as short-range repulsion and medium-range attraction. The model considers that the central effective potential for the nucleon-nucleon interaction is given by
where r defines the relative distance between two nucleons, the two constants and are adjusted to reproduce the nucleon-nucleon interaction and the meson masses are respectively MeV and MeV.
The model can be summarized in a nutshell, starting with the model lagrangian defined as
where denotes the nucleon wave-function and
obtaining the following equations (with )
The parameters M, , , , and are phenomenological constants that may be determined (in principle) from experimental observables.
Assuming static and uniform nuclear matter, in its ground state and the mean field approximation (MFA), nucleons can be seen as under the action of an average nuclear interaction and operating only with the space and time c-number values of the meson fields. The higher the baryonic density, the better the validity of this approximation, since, at high densities, the fluctuations of the meson fields are negligible when compared with the amplitudes of the nucleon fields, which allows them to be replaced by their expected mean values. The mean field approximation is then used [28], which allows the deduction of a semi-analytical solution and which consists of using the average classical values of the meson fields:
where represents the nucleon effective mass.
Substituting (32) in (31) one obtains
with , which represents the scalar density, and , which denotes the baryon density. The equation of state (EoS) is calculated from the mean field energy-momentum tensor and in summary can be written as a function of the Fermi momentum :
where after integration results in
and
The baryon density and the nucleon effective mass are also written in terms of
At this point it is possible to effectively incorporate the effects of a GUP into the semiclassical system by applying the transformation (27) to the non-deformed phase space:
where the approximation is justified1 considering . The EoS in Equation (34) modification results in the following expressions2
After integration, these expressions result in
and
The new baryon density and the nucleon effective mass may be also written as
4. Results and Discussion
In this section we shall explore the novel effects generated by the noncommutative spacetime GUT deformation applied to the Walecka’s formulation for neutron stars, assumed as a kind of toy-model in view of its formal simplicity. It is well known that this model predicts a phase transition similar to the liquid-gas transition of the van der Waals equation of state. Moreover, the coexisting pressure and binodal density properties of the two phases are deduced by means of a Maxwell construction applied to the equation of state of nuclear matter, obtained by employing the principle of least action to the QHD-I Lagrangian density. At high densities, the system approaches the causal limit , representing the “stiffest” possible equation of state, as can be seen in Figure 1. Despite its formal simplicity, a relevant aspect to be highlighted in this theoretical approach, even if one considers more complete models from the point of view of inserting in the Lagrangian density, for instance, the fundamental meson octet and baryon decuplet, the dynamics generated by scalar and vector mesons will remain significantly present. This is because the neutral scalar and vector components coupled to the nucleons are the most relevant ingredients for describing nuclear properties in bulk, which is our main concern here.
Figure 1.
Phase transition in nuclear matter similar to the liquid-gas transition for . indicates the spin-isospin degeneracy factor, equal to 4 for symmetric matter () and 2 for pure neutron matter (). The plot shows the pressure p as a function of the energy density in logarithmic scale. The curve corresponds to the commutative model, where , representing the original case. The region marked “Neutron Stars” indicates the typical range of energy density relevant for neutron star matter.
The results in turn corresponding to the insertion of the GUT deformation into the QHD-I model are presented in Figure 2, Figure 3, Figure 4, Figure 5 and Figure 6.
Figure 2.
Noncommutative phase transition for nuclear matter in a logarithmic pressure vs. energy density plot. The curves correspond to different values of the noncommutativity parameter , as indicated in the legend. The figure shows a limit of , beyond which the phase transition ceases to exist.
Figure 3.
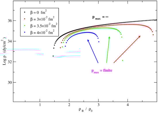
Maximum values of pressure as a function of the baryon density in a noncommutative geometry model for nuclear matter. The curves represent different values of the noncommutativity parameter . For finite , the pressure reaches a maximum value, contrasting with the original commutative case where . The colored arrows highlight the respective curves for increasing .
Figure 4.
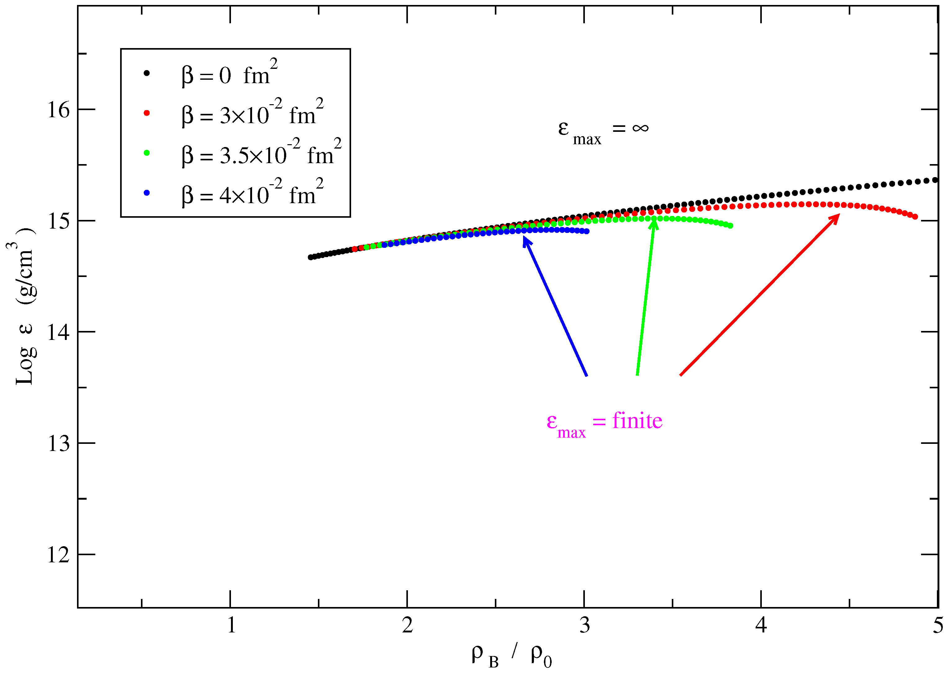
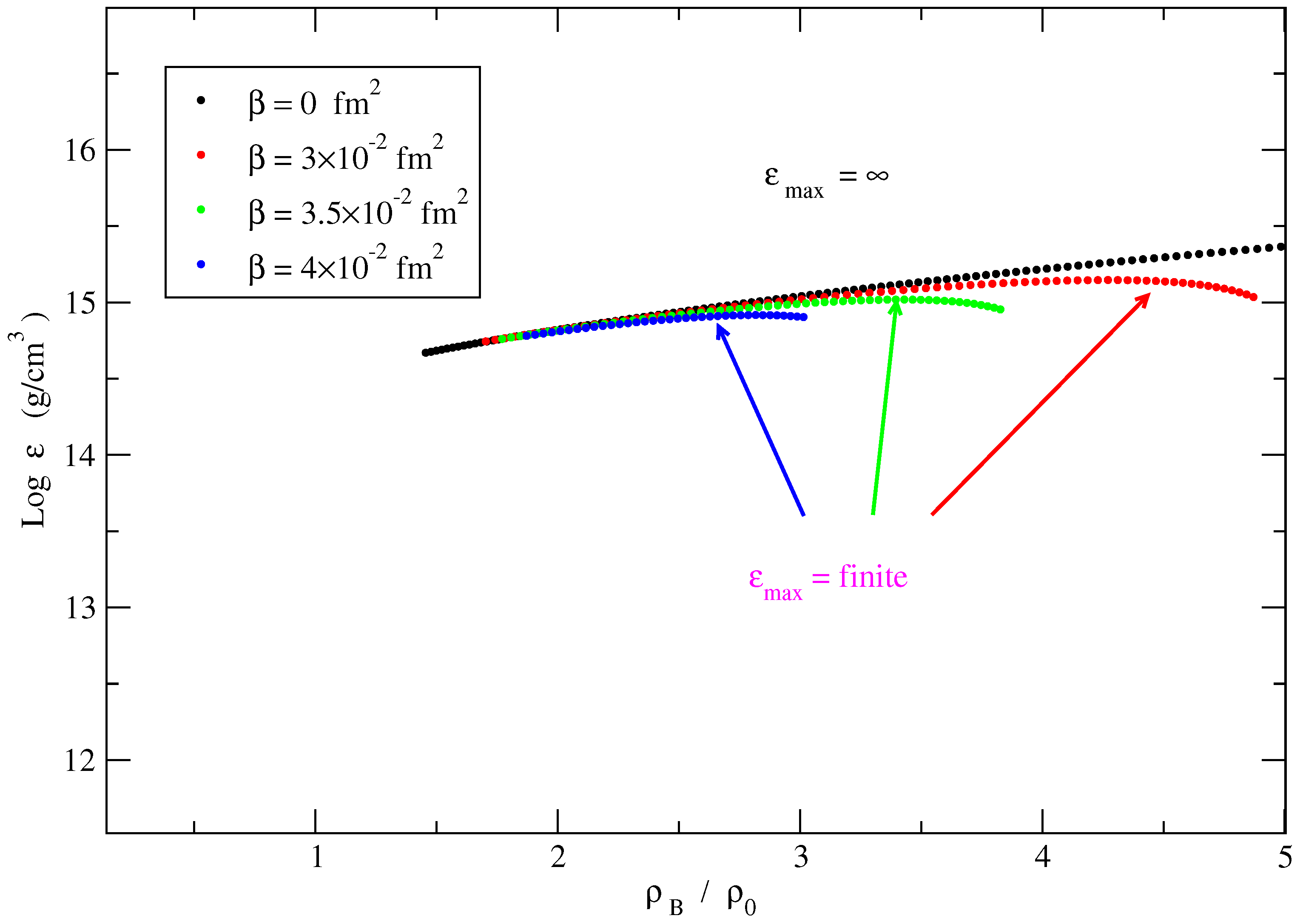
Maximum values of energy density as a function of the baryon density in a noncommutative geometry model for nuclear matter. The curves correspond to different values of the noncommutativity parameter . For finite , the energy density reaches a maximum value, contrasting with the original commutative case where . The colored arrows highlight the behavior of the curves for increasing .
Figure 5.
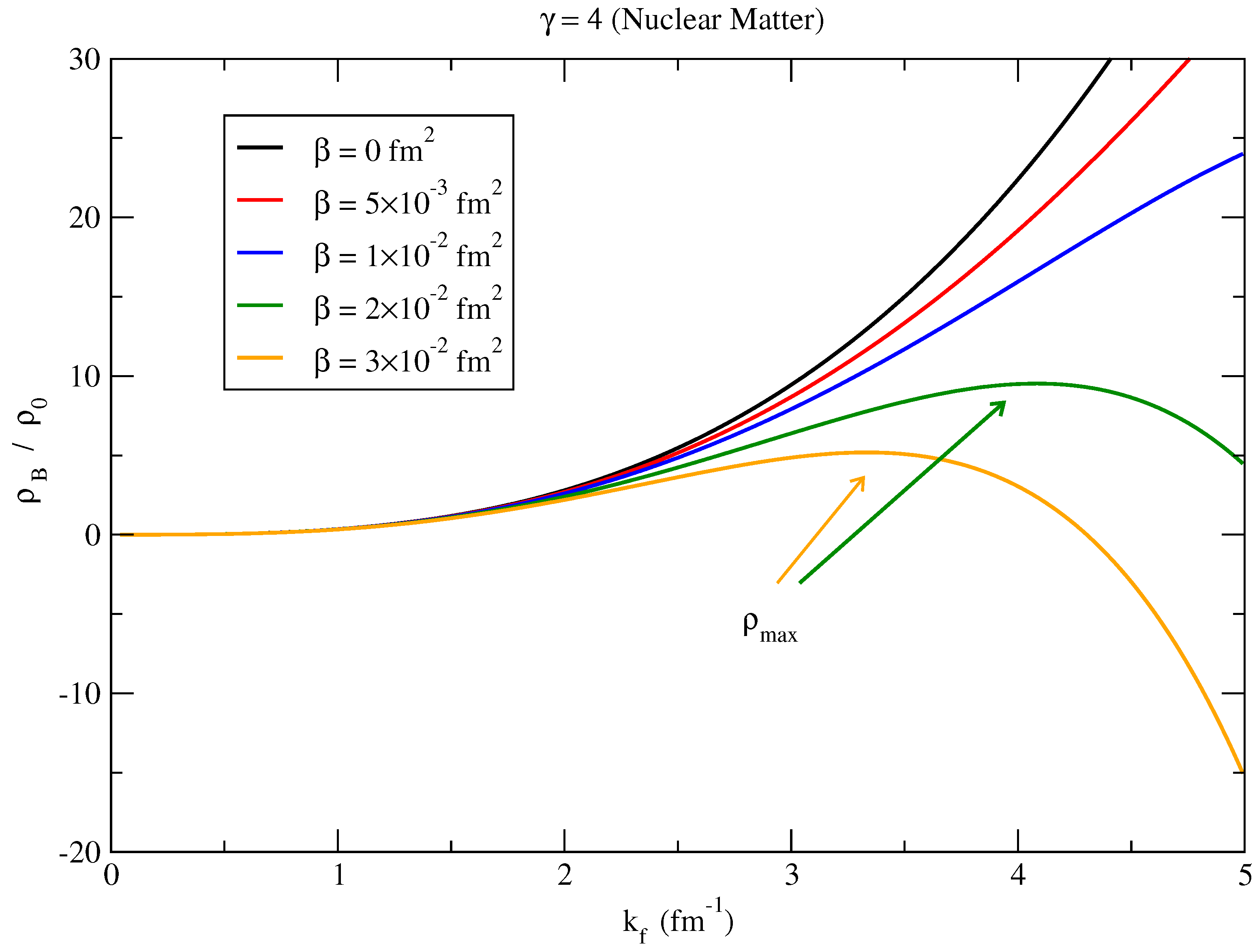
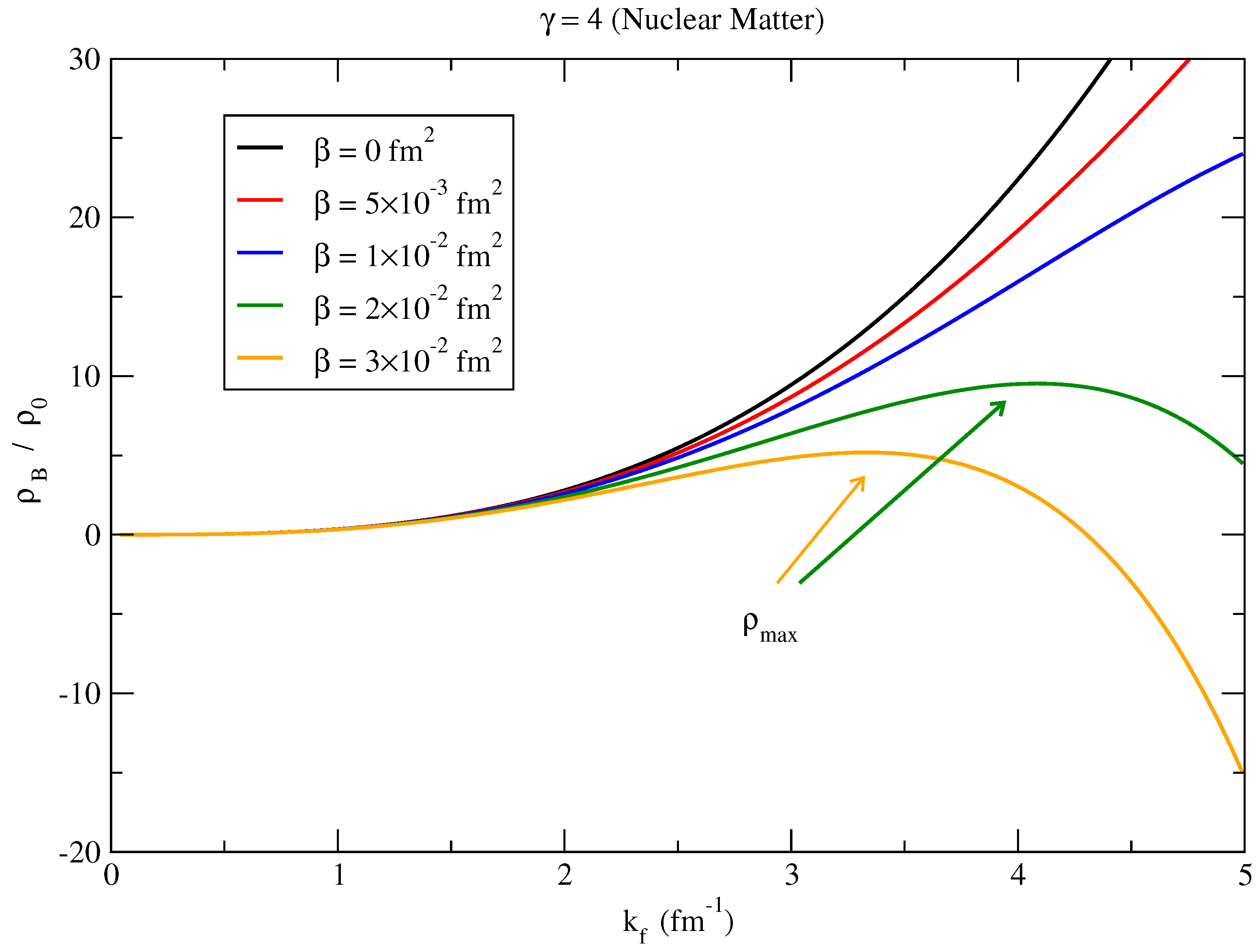
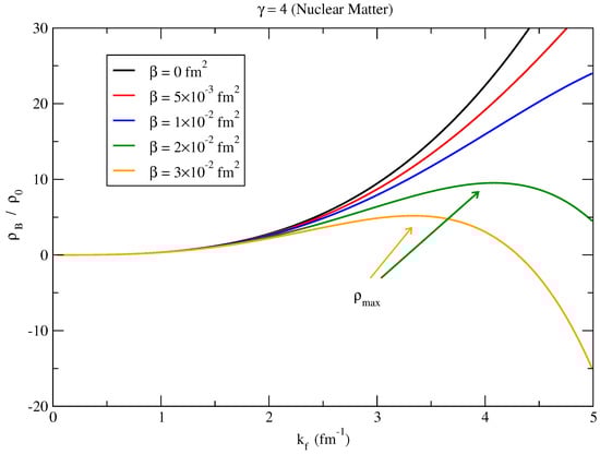
Baryon density as a function of the Fermi momentum in a noncommutative geometry model for nuclear matter. The curves represent different values of the noncommutativity parameter . For larger , the baryon density reaches a maximum value , as indicated by the green and orange curves, before decreasing.
Figure 6.
Mass–radius diagram for compact stars obtained for various values of the noncommutativity parameter . The curves correspond to different . The horizontal yellow band represents the mass constraint from the pulsar J0348 + 0432, while the blue line corresponds to the mass of PSR J1311-3430. The figure demonstrates that increasing reduces the maximum mass of the neutron stars.
The GUP establishes that the noncommutative spacetime be dependent on a minimal length parameter as previously highlighted in Equation (5), whose size ordering is unknown. Therefore, the strategy here has been to consider it as a free parameter and identify noticeable changes in related observables at different scales, chosen consistently from the Planck scale, which represents the lower limits of our current understanding of quantum mechanics, to the typical dimensions of neutron stars.
In this domain, the smallest physical scale corresponds to the Planck domain with . This scale is far below typical neutron stars observable range of values which are of the inverse of Fermi-momentum order, . In the sequence, to make contact with reference calculations [12,13,14] and consider larger effective noncommutative scales, we limit the values to the range – .
After solving Equations (40) and (41) for the noncommutative EoS, together with the equation for the nucleon effective mass (42), the corresponding results are shown in Figure 2 for various values of exhibiting the behavior of the noncommutative phase transition for nuclear matter. The figure shows that the phase transition for nuclear matter is present, as in the usual model (Figure 1), but with a new feature: the pressure has a maximum value and is “squeezed down” with increasing . There is a limit of after which the phase transition ceases to exist. The same effects appear in Figure 3 and Figure 4 for the pressure and energy density as a function of the baryon density, where the limiting maximum values are evident. In Figure 5, the baryon density is plotted as a function of , again exhibiting a squeezing down of maximum values, now for . Here an interesting interpretation can be put forward: when probing short distances, which correspond to larger , in a spacetime that has a large minimum value , the system becomes dilute and the density drops with .
The consistently observed behavior of decreasing the maximum values of pressure, energy density, and baryon density as far as the value increases can be understood through an analysis of the effects of the minimum scale into the phase space volume of the solutions of the equations addressed in a comparison and analogy with the corresponding solutions associated with the motion of a particle in quantum mechanics. In quantum mechanics, as is well known, the uncertainty principle states that it is not possible to measure the position and momentum of a particle with absolute precision. A state of motion can only be given with this indefinitiness and corresponds in phase space to an elementary cell volume of size . The number of quantum states available to a particle will therefore be finite and corresponds to the total volume of the phase space divided by the size of the elementary cell
In the present case the number of quantum states available consistent with a coherent description of the properties of a neutron star obey, due to the presence of a minimum scale, a relation of the type
The consequences of this transformation of the phase space volume due to the presence of the minimum scale parameter, are evident in that decreases as increases, with exactly the contrary occurring in the opposite case. This means that in the case where the volume of the phase space increases, corresponding to the decrease of , more solutions consistent with a coherent description of the properties of a neutron star find more space for their realization. And the opposite occurs when increases. Therefore, as a consequence, the maximum values for the quantities previously plotted become dependent on the size of the phase space of the solutions which in turn depend on the parameter , with the largest values of their amplitudes corresponding to the smallest values of the minimum scale parameter, and the contrary occurring in the opposite case.
Similarly, the same occurs in the curves corresponding to the maximum mass of neutron star families, with their values squeezing down with increasing , as we will see below. In the usual approach, the essential nuclear physics ingredients for astrophysical calculations are appropriate equations of state (EoS). After the EoSs are chosen, they enter as input to the Tolman–Oppenheimer–Volkoff equations (TOV), which in turn give as output some macroscopic stellar properties: radii, masses, and central energy densities. This may raise a philosophical question: at what level should the noncommutative effects be introduced? If one follows the idea of first principles, then Einstein’s field equations should be modified to bring this information, originated at a level of quantum gravity. This is a long step, still far beyond the current knowledge. The procedure we follow will be more conservative and consider that the classical field equations remain valid, only the EoS will be modified by the noncommutative spacetime. The TOV equations then become:
Solving the TOV equations for the EoS (40) and (41), together with the effective mass expression (42) results in the Mass-Radius diagram of Figure 6. The noncommutative effect that was seen in the EoS figures is again present, limiting the neutron star’s maximum mass. In the figure, for comparison, the experimental values of PSR J0348 + 0432, a pulsar-white dwarf binary system in the constellation Taurus, with mass of 2.01 ± 0.04 M⊙ and PSR J1311–3430, a pulsar with a spin period of 2.5 ms, with mass of 2.15 M⊙.
One aspect to be highlighted concerns the complementation of the curves that describe the behavior of stellar masses as a function of their radii. As increases, the curves corresponding to the relation become less and less complemented, arriving even to the limit of not reaching, in the case where , their maximum mass value. This can be understood to the extent that increasing the value of the parameter will imply a decrease in both the radii and the stellar masses, for the reasons identified previously, this occurring mainly in the region of the ‘tails’ of the amplitudes corresponding to the relation . In this region, the significant decrease in pressure contributes to a decrease in the complementation of the corresponding curves and, ultimately, to preventing the maximum mass from being obtained.
5. Conclusions
As stated before, this study was very cautious and exploratory applied to a schematically structured neutron star model. The model adopted for a neutron star, as emphasized previously, due to its formal simplicity and structured characteristics was chosen in order to perform a preliminary analysis of the GUP effects with a minimum length for the description of the spacetime noncommutativity effects.
The adopted model is well known as Quantum Hadrodynamics (QHD-I), a relativistic quantum field theory based on a local Lagrangian density with couplings between nucleons and mesons of the attractive scalar-isoscalar and repulsive vector-isoscalar types playing the role of the relevant mean-field effective mesonic degrees of freedom. This model, despite its formal simplicity, provides a consistent theoretical framework to describe global static properties of many-body systems under the action of the strong interaction and in extreme conditions of pressure and density such as those found in neutron stars and pulsars. The limitations of the model, among others, are reflected in the description of some of the static properties of nuclear matter, such as the effective mass of the nucleon and the compressibility of symmetric nuclear matter. In this sense, future theoretical calculations indicate the need to propose a model for neutron stars that contemplates a phenomenological Lagrangian formalism with nonlinear scalar, vector and isovector meson-baryon couplings and the insertion of the fundamental baryon decuplet.
Likewise, a proposal for future work should contemplate the presence of a crust. The density of nuclear matter at the saturation point, corresponding to the minimum value of the nuclear binding energy per nucleon, is estimated by means of nuclear mass analyses, and is of the order of g cm−3 corresponding to nucleons per fermi cubed. Estimates of the density of the cores of massive neutron stars are in the order of . The challenges of consistently describing a neutron star persist in view of the extreme physical conditions of these compact objects, conditions far from those on Earth. In turn, although it is not a crucial point of the present formulation, the outer layer of neutron stars, - the crust -, with density , presents very different but extremely rich theoretical challenges and observational opportunities insofar as depending on the scenario of its formation, the crust may be very different in its composition and structure. In developing these scenarios for the crust of a neutron star, it is necessary to employ a plethora of theoretical and observational knowledge involving, among others, atomic and plasma physics, the theory of condensed matter, the physics of matter in strong magnetic fields, the theory of nuclear structure, nuclear reactions, the nuclear many-body problem, superfluidity, physical kinetics, hydrodynamics, the physics of liquid crystals, and the theory of elasticity.
We then pose three fundamental questions involving a noncommutative spacetime: if there is a GUP, with a minimum length, then (i) does the astrophysical arena represent a relevant laboratory to reveal these effects? (ii) what is the limiting minimum length scale? (iii) how can we identify GUP effects in observable data from neutron stars?
Even though we are faced with the limitations of the formulation in view of its preliminary nature, we can partially answer these questions: (i) the model predictions are in tune with the scales of the astrophysical arena, which contemplates the range of high energy scales that are beyond terrestrial laboratories and can access unique regimes in compact stars and in cosmology; furthermore, the values of the maximum masses of neutron stars are in tune with the most recent observed values, of the order M⊙; the results also indicate that, although the effects of the presence of a minimum scale broaden the descriptive perspective of a compact star, encompassing a non-commutative algebra, they do not spoil the effective aspects covered by the QHD formulation; in this sense, the maximum values of pressure and energy density as a function of the baryon density in tune with the QHD-I model predictions stand out; (ii) in the present study the values varied in a range from to ; when translated to a minimal length it results in 0.003 fm to 0.22 fm. These values can be compared with the usual nucleon radius obtained in bag model calculations ranging from 0.2 fm to 1.0 fm [33,34], resulting in a limiting minimal length scale at the order of the nucleon’s size; (iii) the cutoff values introduced in the EoS has a direct inference in limiting the maximum neutron star mass.
A more important conclusion to this last question is reached by reasoning in the opposite direction: the fact that neutron stars exist is confirmation that the noncommutative scale must be very small. Even if it is very small, the minimum length may be relevant in modifying the structure of a primordial phase transition. For example, in the first three minutes of the creation of the universe [35,36,37] a cosmological phase transition is believed to have occurred, generating a global change of the primordial matter. Starting at the Planck time s, the young universe evolved and by the time it reached s the grand unified group had undergone gauge symmetry breaking. If the minimum length approach is correct, then at this scale the noncommutative effect may play an important role.
Additional important aspects to be considered in future formulations of the problem addressed in this contribution concern the thermodynamic consistency of the GUP deformation of spacetime, as well as the obedience to causality, to Le Chatelier’s Principle, a fundamental requirement for satisfying equilibrium configurations of a compact star and not spoiling the renormalizability of the original formulation. The QHD-I approach in particular, in its original formulation, is thermodynamically consistent, obeys Le Chatellier’s Principle, and is also renormalizable due to the presence of counterterms. The systematic reduction of the phase space due to the presence of the factor raises new questions about the formal consistency of coherent descriptive configurations of a neutron star assuming a noncommutative spacetime, in compliance with these requirements, which deserves this way further studies.
With particular regard to Le Chatelier’s Principle, the matter of the star must satisfy the condition
which is a necessary condition for the stability of a stable star both with respect to its structure as a whole and with respect to the elementary regions of non-equilibrium involving stages of spontaneous contraction or expansion. In our calculations, Le Chatelier’s Principle is not completely established, particularly in the tail regions of the pressure curves as a result of the proposed insertion of a minimum length through the GUP deformation, a topic that deserves more attention in the future. Fortunately, the impact of this non-observance of Le Chatelier’s Principle does not particularly affect the observation of the effects of a non-commutative algebra on stellar properties, since the adopted model fundamentally contemplates the innermost pressure regions of the star. This limitation serves, however, as motivation for a more in-depth analysis in the future to overcome it.
Author Contributions
Conceptualization, J.G.G.G. and D.H.; methodology, J.G.G.G. and D.H.; software, J.G.G.G. and D.H.; validation, J.G.G.G., D.H., P.O.H., M.N.-M. and C.A.Z.V.; formal analysis, J.G.G.G., D.H., P.O.H., M.N.-M. and C.A.Z.V.; investigation, J.G.G.G. and D.H.; resources, J.G.G.G. and D.H.; data curation, J.G.G.G. and D.H.; writing—original draft preparation, D.H.; writing—review and editing, J.G.G.G., D.H., P.O.H., M.N.-M. and C.A.Z.V.; visualization, J.G.G.G. and D.H.; supervision, D.H.; project administration, D.H. All authors have read and agreed to the published version of the manuscript.
Funding
This research received no external funding.
Data Availability Statement
Numerical data are available under request.
Acknowledgments
J.G.G.G. was supported by the Coordenação de Aperfeiçoamento de Pessoal de Nível Superior (CAPES) through the Programa de Excelência Acadêmica (Proex). P.O.H. acknowledges financial support from PAPIIT-DGAPA (IN116824). M.N.-M. acknowledges support of the Margarete und Herbert Puschmann-Stiftung.
Conflicts of Interest
The authors declare no conflicts of interest.
Appendix A. Expressing Jacobian as a Combination of the Poisson Brackets
In this appendix we shall summarize the proof of expressing the Jacobian as a combination of the Poisson brackets. An important canonical invariant is the magnitude of a volume element in phase space. A canonical transformation transforms the -dimensional phase space with coordinates to another phase space with coordinates . The volume element [24]
transforms to a new volume element
The sizes of the two volume elements are related by the absolute value of the Jacobian determinant J
As an example, for , the transformation from to becomes
which results in the volume elements
For we have the transformation from to
An extended and detailed demonstration can be found in the reference of T. V. Fityo [23]. Let us denote , , derivative with respect to we denote , with respect to as . Then
where the demonstration regards the proof of the following identity
where is the Levi-Civita symbol.
Notes
| 1 | Concerning the approximation , since no large values of should be taken into account in our calculations, - according to the range of values adopted for conventional formulations of equations of state of neutron stars -, our corresponding evaluation is based on the following preliminary estimate: the maximum value of is 5 fm−1 which leads to the maximum value of equal to . In case we assume then the corresponding value of goes up to 4 fm. |
| 2 | In quantum field theory, since we are using a finite normalization volume V, we should be summing over a group of allowed wave vectors , for large volume (see [32])
|
References
- Veneziano, G. A Stringy Nature Needs Just Two Constants. Europhys. Lett. 1986, 2, 199. [Google Scholar] [CrossRef]
- Amati, D.; Cialfaloni, M.; Veneziano, G. Superstring collisions at planckian energies. Phys. Lett. B 1987, 197, 81. [Google Scholar] [CrossRef]
- Amati, D.; Cialfaloni, M.; Veneziano, G. Can spacetime be probed below the string size? Phys. Lett. B 1989, 216, 41. [Google Scholar] [CrossRef]
- Gross, D.J.; Mende, P.F. The high-energy behavior of string scattering amplitudes. Phys. Lett. B 1987, 197, 129. [Google Scholar] [CrossRef]
- Rovelli, C. Loop Quantum Gravity. Living Rev. Relativ. 2008, 11, 5. [Google Scholar] [CrossRef] [PubMed]
- Ashtekar, A. New Variables for Classical and Quantum Gravity. Phys. Rev. Lett. 1986, 57, 2244. [Google Scholar] [CrossRef] [PubMed]
- Rovelli, C.; Smolin, L. Discreteness of area and volume in quantum gravity. Nucl. Phys. B 1995, 442, 593. [Google Scholar] [CrossRef]
- Capozziello, S.; Lambiase, G.; Scarpetta, G. Generalized Uncertainty Principle from Quantum Geometry. Int. J. Theor. Phys. 2000, 39, 15. [Google Scholar] [CrossRef]
- Heisenberg, W. Letter from Heisenberg to Peierls. In Scientific Correspondence; Pauli, W., Ed.; Springer: Berlin/Heidelberg, Germany, 1995; Volume II, p. 15. [Google Scholar]
- Snyder, H.S. Quantized Space-Time. Phys. Rev. 1947, 71, 38. [Google Scholar] [CrossRef]
- Szabo, R.J. Quantum field theory on noncommutative spaces. Phys. Rep. 2003, 378, 207. [Google Scholar] [CrossRef]
- Gamboa, J.; Méndez, F.; Loewe, M.; Rojas, J.C. Noncommutative Quantum Mechanics: The Two-Dimensional Central Field. Int. J. Mod. Phys. A 2002, 17, 2555. [Google Scholar] [CrossRef]
- Wang, X.J.; Yan, M.L. Noncommutative QED and muon anomalous magnetic moment. J. High Energy Phys. 2002, 3, 047. [Google Scholar] [CrossRef]
- Chaichian, M.; Sheikh-Jabbari, M.M.; Tureanu, A. Hydrogen Atom Spectrum and the Lamb Shift in Noncommutative QED. Phys. Rev. Lett. 2001, 86, 2716. [Google Scholar] [CrossRef] [PubMed]
- Kempf, A.; Mangano, G.; Mann, R.B. Hilbert space representation of the minimal length uncertainty relation. Phys. Rev. D 1995, 52, 1108. [Google Scholar] [CrossRef]
- Kempf, A. Non-pointlike particles in harmonic oscillators. J. Phys. A Math. Gen. 1997, 30, 2093. [Google Scholar] [CrossRef]
- Hinrichsen, H.; Kempf, A. Maximal localization in the presence of minimal uncertainties in positions and in momenta. J. Math. Phys. 1996, 37, 2121. [Google Scholar] [CrossRef]
- Moayedi, S.K.; Setare, M.R.; Moayeri, H. Quantum Gravitational Corrections to the Real Klein-Gordon Field in the Presence of a Minimal Length. Int. J. Theor. Phys. 2010, 49, 2080. [Google Scholar] [CrossRef]
- Moayedi, S.K.; Setare, M.R.; Moayeri, H.; Poorakbar, M. Formulation of the Spinor Field in the Presence of a Minimal Length Based on the Quesne Tkachuk Algebra. Int. J. Mod. Phys. A 2011, 26, 4981. [Google Scholar] [CrossRef]
- Ferreira, T.O.; Vasconcellos, C.A.Z.; Hadjimichef, D. A seesaw-like mechanism for the neutrino in the presence of a minimal length spacetime. Astron. Nachr. 2023, 344, e220127. [Google Scholar] [CrossRef]
- Marzola, M.N.; Vasconcellos, C.A.Z.; Hadjimichef, D. Effects of a generalized uncertainty principle on the MIT bag model equation of state. Astron. Nachr. 2024, 345, e240016. [Google Scholar] [CrossRef]
- Amin, M.; Mark, A.; Walton, M.A. Quantum-classical dynamical brackets. Phys. Rev. A 2021, 104, 032216. [Google Scholar] [CrossRef]
- Fityo, T.V. Statistical physics in deformed spaces with minimal length. Phys. Lett. A 2008, 372, 5872. [Google Scholar] [CrossRef]
- Goldstein, H.; Poole, C.; Safko, J. Classical Mechanics, 3rd ed.; Pearson Education Limited: Essex, UK, 2014. [Google Scholar]
- Chang, L.N.; Minic, D.; Okamura, N.; Takeuchi, T. Effect of the minimal length uncertainty relation on the density of states and the cosmological constant problem. Phys. Rev. D 2002, 65, 125028. [Google Scholar] [CrossRef]
- Rama, S.K. Some consequences of the generalised uncertainty principle: Statistical mechanical, cosmological, and varying speed of light. Phys. Lett. B 2001, 519, 103. [Google Scholar] [CrossRef]
- Walecka, J.D. A theory of highly condensed matter. Ann. Phys. 1974, 83, 491. [Google Scholar] [CrossRef]
- Serot, B.D.; Walecka, J.D. The Relativistic Nuclear Many Body Problem. Adv. Nucl. Phys. 1986, 16, 1. [Google Scholar]
- Matsui, T.; Serot, B.D. The pion propagator in relativistic quantum field theories of the nuclear many-body problem. Ann. Phys. 1982, 114, 107. [Google Scholar] [CrossRef]
- Serot, B.D. Quantum hadrodynamics. Rep. Prog. Phys. 1992, 55, 1855. [Google Scholar] [CrossRef]
- Serot, B.D.; Walecka, J.D. Recent Progress in Quantum Hadrodynamics. Int. J. Mod. Phys. E 1997, 6, 515. [Google Scholar] [CrossRef]
- Franz, M.; Graham, S. Quantum Field Theory; Wiley: Hoboken, NJ, USA, 2010. [Google Scholar]
- Chodos, A.; Jaffe, R.L.; Johnson, K.; Thorn, C.B.; Weisskopf, V.F. New extended model of hadrons. Phys. Rev. D 1974, 9, 3471. [Google Scholar] [CrossRef]
- Goldflam, R.; Wilets, L. Soliton bag model. Phys. Rev. D 1982, 25, 1951. [Google Scholar] [CrossRef]
- Weinberg, S. The First Three Minutes: A Modern View of the Origin of the Universe; Basic Books: New York, NY, USA, 1993. [Google Scholar]
- Weinberg, S. Gravitation and Cosmology: Principles and Applications of the General Theory of Relativity; John Wiley & Sons: Hoboken, NJ, USA, 1972. [Google Scholar]
- Weinberg, S. Cosmology; Oxford University Press: Oxford, UK, 2008. [Google Scholar]
Disclaimer/Publisher’s Note: The statements, opinions and data contained in all publications are solely those of the individual author(s) and contributor(s) and not of MDPI and/or the editor(s). MDPI and/or the editor(s) disclaim responsibility for any injury to people or property resulting from any ideas, methods, instructions or products referred to in the content. |
© 2024 by the authors. Licensee MDPI, Basel, Switzerland. This article is an open access article distributed under the terms and conditions of the Creative Commons Attribution (CC BY) license (https://creativecommons.org/licenses/by/4.0/).





