The Composite Spectral Energy Distribution of Quasars Is Surprisingly Universal Since Cosmic Noon
Abstract
1. Introduction
2. Quasar Sample and the Universal Mean/Median Composite Quasar SED
2.1. SDSS Quasars
2.2. GALEX Detections
2.3. Bias-Free Mean/Median Quasar SEDs in Different Redshift Bins
2.4. Monte Carlo Simulation for the IGM Absorption and Correction
2.5. An Intrinsic Mean/Median Composite SED for Quasars Since Cosmic Noon
3. Discussion and Implications
3.1. Universality of the Mean/Median Composite Quasar SED
3.2. How Can the Model-Predicted SEDs Be Properly Compared with the Observed Composite SEDs?
3.3. The Central Engine at Work for Quasars Remains an Enigma
3.4. Properties of Dust and Gas in the Quasar Host Galaxies
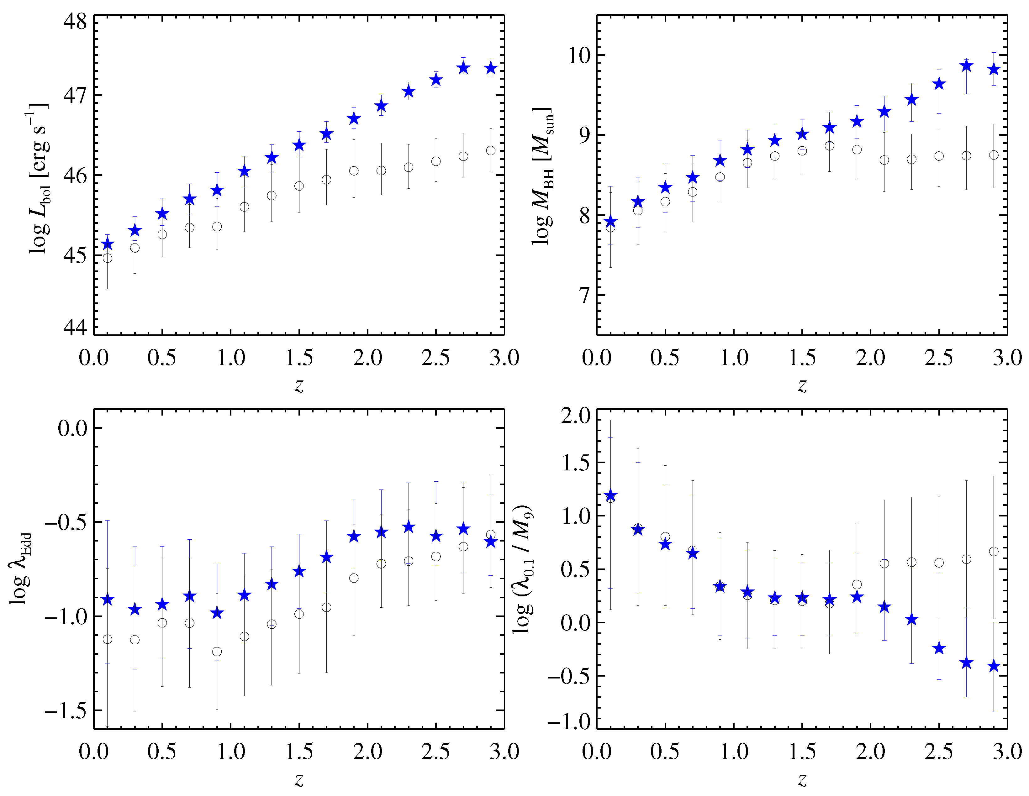
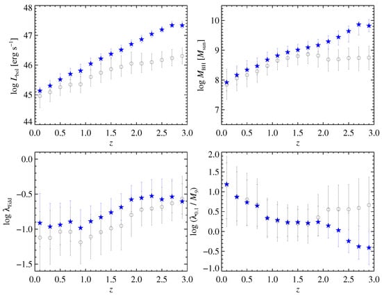
3.5. Evolutionary of Quasars Since Cosmic Noon
3.6. Implications of a Deficit of the EUV Ionizing Radiation
3.6.1. Production of Broad Emission Lines
3.6.2. Cosmic Reionization
4. Conclusions
Funding
Data Availability Statement
Acknowledgments
Conflicts of Interest
Abbreviations
| AGN | Active Galactic Nucleus/Nuclei |
| BAL | Broad Absorption Line |
| BH | Black Hole |
| BLR | Broad Line Region |
| DR14Q | Data Release 14 Quasar |
| eROSITA | extended ROentgen Survey with an Imaging Telescope Array |
| EUV | Extreme Ultraviolet |
| FOV | Field of View |
| FUV | Far Ultraviolet |
| GALEX | Galaxy Evolution Explorer |
| IGM | Intergalactic Medium |
| LOS | Line of Sight |
| NUV | Near-ultraviolet |
| SDSS | Sloan Digital Sky Survey |
| SED | Spectral Energy Distribution |
| SMC | Small Magellanic Cloud |
| SRG | Spectrum-Roentgen-Gamma |
| UV | Ultraviolet |
| 1 | |
| 2 | |
| 3 | |
| 4 |
References
- Schmidt, M. 3C 273: A Star-Like Object with Large Red-Shift. Nature 1963, 197, 1040. [Google Scholar] [CrossRef]
- Matthews, T.A.; Sandage, A.R. Optical Identification of 3C 48, 3C 196, and 3C 286 with Stellar Objects. Astrophys. J. 1963, 138, 30. [Google Scholar] [CrossRef]
- Salpeter, E.E. Accretion of Interstellar Matter by Massive Objects. Astrophys. J. 1964, 140, 796–800. [Google Scholar] [CrossRef]
- Lynden-Bell, D. Galactic Nuclei as Collapsed Old Quasars. Nature 1969, 223, 690–694. [Google Scholar] [CrossRef]
- Rees, M.J. Black Hole Models for Active Galactic Nuclei. Annu. Rev. Astron. Astrophys. 1984, 22, 471–506. [Google Scholar] [CrossRef]
- Shakura, N.I.; Sunyaev, R.A. Black holes in binary systems. Observational appearance. Astron. Astrophys. 1973, 24, 337–355. [Google Scholar]
- Novikov, I.D.; Thorne, K.S. Astrophysics of black holes. In Proceedings of the Black Holes (Les Astres Occlus); Dewitt, C., Dewitt, B.S., Eds.; Université de Grenoble: Grenoble, France, 1973; pp. 343–450. [Google Scholar]
- Shields, G.A. Thermal continuum from accretion disks in quasars. Nature 1978, 272, 706–708. [Google Scholar] [CrossRef]
- Malkan, M.A.; Sargent, W.L.W. The ultraviolet excess of Seyfert 1 galaxies and quasars. Astrophys. J. 1982, 254, 22–37. [Google Scholar] [CrossRef]
- Elvis, M.; Wilkes, B.J.; McDowell, J.C.; Green, R.F.; Bechtold, J.; Willner, S.P.; Oey, M.S.; Polomski, E.; Cutri, R. Atlas of Quasar Energy Distributions. Astrophys. J. Suppl. Ser. 1994, 95, 1. [Google Scholar] [CrossRef]
- Galeev, A.A.; Rosner, R.; Vaiana, G.S. Structured coronae of accretion disks. Astrophys. J. 1979, 229, 318–326. [Google Scholar] [CrossRef]
- Haardt, F.; Maraschi, L. A Two-Phase Model for the X-Ray Emission from Seyfert Galaxies. Astrophys. J. Lett. 1991, 380, L51. [Google Scholar] [CrossRef]
- Haardt, F.; Maraschi, L. X-Ray Spectra from Two-Phase Accretion Disks. Astrophys. J. 1993, 413, 507. [Google Scholar] [CrossRef]
- Walter, R.; Fink, H.H. The ultraviolet to soft X-ray bump of Seyfert 1 type active galactic nuclei. Astron. Astrophys. 1993, 274, 105. [Google Scholar]
- Lusso, E.; Risaliti, G. The Tight Relation between X-Ray and Ultraviolet Luminosity of Quasars. Astrophys. J. 2016, 819, 154. [Google Scholar] [CrossRef]
- Kang, J.L.; Wang, J.X. The X-Ray Coronae in NuSTAR Bright Active Galactic Nuclei. Astrophys. J. 2022, 929, 141. [Google Scholar] [CrossRef]
- Magdziarz, P.; Blaes, O.M.; Zdziarski, A.A.; Johnson, W.N.; Smith, D.A. A spectral decomposition of the variable optical, ultraviolet and X-ray continuum of NGC 5548. Mon. Not. R. Astron. Soc. 1998, 301, 179–192. [Google Scholar] [CrossRef]
- Done, C.; Davis, S.W.; Jin, C.; Blaes, O.; Ward, M. Intrinsic disc emission and the soft X-ray excess in active galactic nuclei. Mon. Not. R. Astron. Soc. 2012, 420, 1848–1860. [Google Scholar] [CrossRef]
- Jin, C.; Ward, M.; Done, C.; Gelbord, J. A combined optical and X-ray study of unobscured type 1 active galactic nuclei–I. Optical spectra and spectral energy distribution modelling. Mon. Not. R. Astron. Soc. 2012, 420, 1825–1847. [Google Scholar] [CrossRef]
- Petrucci, P.O.; Paltani, S.; Malzac, J.; Kaastra, J.S.; Cappi, M.; Ponti, G.; De Marco, B.; Kriss, G.A.; Steenbrugge, K.C.; Bianchi, S.; et al. Multiwavelength campaign on Mrk 509. XII. Broad band spectral analysis. Astron. Astrophys. 2013, 549, A73. [Google Scholar] [CrossRef]
- Kubota, A.; Done, C. A physical model of the broad-band continuum of AGN and its implications for the UV/X relation and optical variability. Mon. Not. R. Astron. Soc. 2018, 480, 1247–1262. [Google Scholar] [CrossRef]
- Gierliński, M.; Done, C. Is the soft excess in active galactic nuclei real? Mon. Not. R. Astron. Soc. 2004, 349, L7–L11. [Google Scholar] [CrossRef]
- Crummy, J.; Fabian, A.C.; Gallo, L.; Ross, R.R. An explanation for the soft X-ray excess in active galactic nuclei. Mon. Not. R. Astron. Soc. 2006, 365, 1067–1081. [Google Scholar] [CrossRef]
- Liu, B.F.; Qiao, E. Accretion around black holes: The geometry and spectra. iScience 2022, 25, 103544. [Google Scholar] [CrossRef] [PubMed]
- Cristiani, S.; Vio, R. The composite spectrum of quasars. Astron. Astrophys. 1990, 227, 385–393. [Google Scholar]
- Boyle, B.J. A composite QSO spectrum. Mon. Not. R. Astron. Soc. 1990, 243, 231–235. [Google Scholar]
- Francis, P.J.; Hewett, P.C.; Foltz, C.B.; Chaffee, F.H.; Weymann, R.J.; Morris, S.L. A High Signal-to-Noise Ratio Composite Quasar Spectrum. Astrophys. J. 1991, 373, 465. [Google Scholar] [CrossRef]
- Zheng, W.; Kriss, G.A.; Telfer, R.C.; Grimes, J.P.; Davidsen, A.F. A Composite HST Spectrum of Quasars. Astrophys. J. 1997, 475, 469–478. [Google Scholar] [CrossRef]
- Vanden Berk, D.E.; Richards, G.T.; Bauer, A.; Strauss, M.A.; Schneider, D.P.; Heckman, T.M.; York, D.G.; Hall, P.B.; Fan, X.; Knapp, G.R.; et al. Composite Quasar Spectra from the Sloan Digital Sky Survey. Astron. J. 2001, 122, 549–564. [Google Scholar] [CrossRef]
- Brotherton, M.S.; Tran, H.D.; Becker, R.H.; Gregg, M.D.; Laurent-Muehleisen, S.A.; White, R.L. Composite Spectra from the FIRST Bright Quasar Survey. Astrophys. J. 2001, 546, 775–781. [Google Scholar] [CrossRef]
- Telfer, R.C.; Zheng, W.; Kriss, G.A.; Davidsen, A.F. The Rest-Frame Extreme-Ultraviolet Spectral Properties of Quasi-stellar Objects. Astrophys. J. 2002, 565, 773–785. [Google Scholar] [CrossRef]
- Scott, J.E.; Kriss, G.A.; Brotherton, M.; Green, R.F.; Hutchings, J.; Shull, J.M.; Zheng, W. A Composite Extreme-Ultraviolet QSO Spectrum from FUSE. Astrophys. J. 2004, 615, 135–149. [Google Scholar] [CrossRef]
- Glikman, E.; Helfand, D.J.; White, R.L. A Near-Infrared Spectral Template for Quasars. Astrophys. J. 2006, 640, 579–591. [Google Scholar] [CrossRef]
- Shull, J.M.; Stevans, M.; Danforth, C.W. HST-COS Observations of AGNs. I. Ultraviolet Composite Spectra of the Ionizing Continuum and Emission Lines. Astrophys. J. 2012, 752, 162. [Google Scholar] [CrossRef]
- Stevans, M.L.; Shull, J.M.; Danforth, C.W.; Tilton, E.M. HST-COS Observations of AGNs. II. Extended Survey of Ultraviolet Composite Spectra from 159 Active Galactic Nuclei. Astrophys. J. 2014, 794, 75. [Google Scholar] [CrossRef]
- Lusso, E.; Worseck, G.; Hennawi, J.F.; Prochaska, J.X.; Vignali, C.; Stern, J.; O’Meara, J.M. The first ultraviolet quasar-stacked spectrum at z ≃ 2.4 from WFC3. Mon. Not. R. Astron. Soc. 2015, 449, 4204–4220. [Google Scholar] [CrossRef]
- Selsing, J.; Fynbo, J.P.U.; Christensen, L.; Krogager, J.K. An X-Shooter composite of bright 1 < z < 2 quasars from UV to infrared. Astron. Astrophys. 2016, 585, A87. [Google Scholar] [CrossRef]
- Richards, G.T.; Lacy, M.; Storrie-Lombardi, L.J.; Hall, P.B.; Gallagher, S.C.; Hines, D.C.; Fan, X.; Papovich, C.; Vanden Berk, D.E.; Trammell, G.B.; et al. Spectral Energy Distributions and Multiwavelength Selection of Type 1 Quasars. Astrophys. J. Suppl. Ser. 2006, 166, 470–497. [Google Scholar] [CrossRef]
- Trammell, G.B.; Vanden Berk, D.E.; Schneider, D.P.; Richards, G.T.; Hall, P.B.; Anderson, S.F.; Brinkmann, J. The UV Properties of SDSS-Selected Quasars. Astron. J. 2007, 133, 1780–1794. [Google Scholar] [CrossRef]
- Krawczyk, C.M.; Richards, G.T.; Mehta, S.S.; Vogeley, M.S.; Gallagher, S.C.; Leighly, K.M.; Ross, N.P.; Schneider, D.P. Mean Spectral Energy Distributions and Bolometric Corrections for Luminous Quasars. Astrophys. J. Suppl. Ser. 2013, 206, 4. [Google Scholar] [CrossRef]
- Vanden Berk, D.E.; Wesolowski, S.C.; Yeckley, M.J.; Marcinik, J.M.; Quashnock, J.M.; Machia, L.M.; Wu, J. Extreme ultraviolet quasar colours from GALEX observations of the SDSS DR14Q catalogue. Mon. Not. R. Astron. Soc. 2020, 493, 2745–2764. [Google Scholar] [CrossRef]
- Cai, Z.Y.; Wang, J.X. A universal average spectral energy distribution for quasars from the optical to the extreme ultraviolet. Nat. Astron. 2023, 7, 1506–1516. [Google Scholar] [CrossRef]
- Laor, A.; Davis, S.W. Line-driven winds and the UV turnover in AGN accretion discs. Mon. Not. R. Astron. Soc. 2014, 438, 3024–3038. [Google Scholar] [CrossRef]
- Pâris, I.; Petitjean, P.; Aubourg, É.; Myers, A.D.; Streblyanska, A.; Lyke, B.W.; Anderson, S.F.; Armengaud, É.; Bautista, J.; Blanton, M.R.; et al. The Sloan Digital Sky Survey Quasar Catalog: Fourteenth data release. Astron. Astrophys. 2018, 613, A51. [Google Scholar] [CrossRef]
- Martin, D.C.; Fanson, J.; Schiminovich, D.; Morrissey, P.; Friedman, P.G.; Barlow, T.A.; Conrow, T.; Grange, R.; Jelinsky, P.N.; Milliard, B.; et al. The Galaxy Evolution Explorer: A Space Ultraviolet Survey Mission. Astrophys. J. Lett. 2005, 619, L1–L6. [Google Scholar] [CrossRef]
- Faucher-Giguère, C.A. A cosmic UV/X-ray background model update. Mon. Not. R. Astron. Soc. 2020, 493, 1614–1632. [Google Scholar] [CrossRef]
- Rakshit, S.; Stalin, C.S.; Kotilainen, J. Spectral Properties of Quasars from Sloan Digital Sky Survey Data Release 14: The Catalog. Astrophys. J. Suppl. Ser. 2020, 249, 17. [Google Scholar] [CrossRef]
- Sun, M. The mass distribution of quasars in optical time-domain surveys. Mon. Not. R. Astron. Soc. 2023, 521, 2954–2961. [Google Scholar] [CrossRef]
- Taam, R.E.; Liu, B.F.; Yuan, W.; Qiao, E. Disk Corona Interaction: Mechanism for the Disk Truncation and Spectrum Change in Low-luminosity Active Galactic Nuclei. Astrophys. J. 2012, 759, 65. [Google Scholar] [CrossRef]
- Hagen, S.; Done, C.; Silverman, J.D.; Li, J.; Liu, T.; Ren, W.; Buchner, J.; Merloni, A.; Nagao, T.; Salvato, M. Systematic collapse of the accretion disc across the supermassive black hole population. Mon. Not. R. Astron. Soc. 2024, 534, 2803–2818. [Google Scholar] [CrossRef]
- Kang, J.L.; Done, C.; Hagen, S.; Temple, M.J.; Silverman, J.D.; Li, J.; Liu, T. Systematic collapse of the accretion disc in AGN confirmed by UV photometry and broad line spectra. arXiv 2024, arXiv:2410.06730. [Google Scholar] [CrossRef]
- Wang, J.M.; Szuszkiewicz, E.; Lu, F.J.; Zhou, Y.Y. Emergent Spectra from Slim Accretion Disks in Active Galactic Nuclei. Astrophys. J. 1999, 522, 839–845. [Google Scholar] [CrossRef]
- Liu, B.F.; Taam, R.E. Application of the Disk Evaporation Model to Active Galactic Nuclei. Astrophys. J. 2009, 707, 233–242. [Google Scholar] [CrossRef]
- Qiao, E.; Liu, B.F.; Panessa, F.; Liu, J.Y. The Disk Evaporation Model for the Spectral Features of Low-luminosity Active Galactic Nuclei. Astrophys. J. 2013, 777, 102. [Google Scholar] [CrossRef]
- Liu, B.F.; Taam, R.E.; Qiao, E.; Yuan, W. A Hybrid Two Component Accretion Flow Surrounding Supermassive Black Holes in AGNs. Astrophys. J. 2015, 806, 223. [Google Scholar] [CrossRef]
- Qiao, E.; Liu, B.F. The condensation of the corona for the correlation between the hard X-ray photon index Γ and the reflection scaling factor in active galactic nuclei. Mon. Not. R. Astron. Soc. 2017, 467, 898–905. [Google Scholar] [CrossRef]
- Qiao, E.; Liu, B.F. A systematic study of the condensation of the corona and the application for Γ2-10keV-Lbol/LEdd correlation in luminous active galactic nuclei. Mon. Not. R. Astron. Soc. 2018, 477, 210–218. [Google Scholar] [CrossRef]
- Predehl, P.; Andritschke, R.; Arefiev, V.; Babyshkin, V.; Batanov, O.; Becker, W.; Böhringer, H.; Bogomolov, A.; Boller, T.; Borm, K.; et al. The eROSITA X-ray telescope on SRG. Astron. Astrophys. 2021, 647, A1. [Google Scholar] [CrossRef]
- Merloni, A.; Lamer, G.; Liu, T.; Ramos-Ceja, M.E.; Brunner, H.; Bulbul, E.; Dennerl, K.; Doroshenko, V.; Freyberg, M.J.; Friedrich, S.; et al. The SRG/eROSITA all-sky survey. First X-ray catalogues and data release of the western Galactic hemisphere. Astron. Astrophys. 2024, 682, A34. [Google Scholar] [CrossRef]
- Gaskell, C.M.; Gill, J.J.M.; Singh, J. Attenuation from the optical to the extreme ultraviolet by dust associated with broad absorption line quasars: The driving force for outflows. Mon. Not. R. Astron. Soc. 2024, 533, 3676–3684. [Google Scholar] [CrossRef]
- Weingartner, J.C.; Draine, B.T. Dust Grain-Size Distributions and Extinction in the Milky Way, Large Magellanic Cloud, and Small Magellanic Cloud. Astrophys. J. 2001, 548, 296–309. [Google Scholar] [CrossRef]
- Gaskell, C.M.; Benker, A.J. AGN Reddening and Ultraviolet Extinction Curves from Hubble Space Telescope Spectra. arXiv 2007, arXiv:0711.1013. [Google Scholar] [CrossRef]
- Gaskell, C.M.; Goosmann, R.W.; Antonucci, R.R.J.; Whysong, D.H. The Nuclear Reddening Curve for Active Galactic Nuclei and the Shape of the Infrared to X-Ray Spectral Energy Distribution. Astrophys. J. 2004, 616, 147–156. [Google Scholar] [CrossRef]
- Kato, S.; Fukue, J.; Mineshige, S. Black-Hole Accretion Disks—Towards a New Paradigm; Kyoto University Press: Kyoto, Japan, 2008. [Google Scholar]
- Wu, L.; Wang, J.X.; Wang, H.C.; Kang, W.Y.; Hu, W.D.; Wang, T.G.; Wang, H.Y. Ensemble mapping the inner structure of luminous quasars. Mon. Not. R. Astron. Soc. 2023, 522, 1108–1117. [Google Scholar] [CrossRef]
- Rees, M.J.; Netzer, H.; Ferland, G.J. Small Dense Broad-Line Regions in Active Nuclei. Astrophys. J. 1989, 347, 640. [Google Scholar] [CrossRef]
- Baldwin, J.; Ferland, G.; Korista, K.; Verner, D. Locally Optimally Emitting Clouds and the Origin of Quasar Emission Lines. Astrophys. J. Lett. 1995, 455, L119. [Google Scholar] [CrossRef]
- Dopita, M.A.; Groves, B.A.; Sutherland, R.S.; Binette, L.; Cecil, G. Are the Narrow-Line Regions in Active Galaxies Dusty and Radiation Pressure Dominated? Astrophys. J. 2002, 572, 753–761. [Google Scholar] [CrossRef]
- Netzer, H. Testing broad-line region models with reverberation mapping. Mon. Not. R. Astron. Soc. 2020, 494, 1611–1621. [Google Scholar] [CrossRef]
- Ferland, G.J.; Done, C.; Jin, C.; Landt, H.; Ward, M.J. State-of-the-art AGN SEDs for photoionization models: BLR predictions confront the observations. Mon. Not. R. Astron. Soc. 2020, 494, 5917–5922. [Google Scholar] [CrossRef]
- Haardt, F.; Madau, P. Radiative Transfer in a Clumpy Universe. IV. New Synthesis Models of the Cosmic UV/X-Ray Background. Astrophys. J. 2012, 746, 125. [Google Scholar] [CrossRef]
- Robertson, B.E.; Ellis, R.S.; Dunlop, J.S.; McLure, R.J.; Stark, D.P. Early star-forming galaxies and the reionization of the Universe. Nature 2010, 468, 49–55. [Google Scholar] [CrossRef]
- Cai, Z.Y.; Lapi, A.; Bressan, A.; De Zotti, G.; Negrello, M.; Danese, L. A Physical Model for the Evolving Ultraviolet Luminosity Function of High Redshift Galaxies and their Contribution to the Cosmic Reionization. Astrophys. J. 2014, 785, 65. [Google Scholar] [CrossRef]
- Jiang, L.; McGreer, I.D.; Fan, X.; Strauss, M.A.; Bañados, E.; Becker, R.H.; Bian, F.; Farnsworth, K.; Shen, Y.; Wang, F.; et al. The Final SDSS High-redshift Quasar Sample of 52 Quasars at z > 5.7. Astrophys. J. 2016, 833, 222. [Google Scholar] [CrossRef]
- Onoue, M.; Kashikawa, N.; Willott, C.J.; Hibon, P.; Im, M.; Furusawa, H.; Harikane, Y.; Imanishi, M.; Ishikawa, S.; Kikuta, S.; et al. Minor Contribution of Quasars to Ionizing Photon Budget at z∼6: Update on Quasar Luminosity Function at the Faint End with Subaru/Suprime-Cam. Astrophys. J. Lett. 2017, 847, L15. [Google Scholar] [CrossRef]
- Matsuoka, Y.; Strauss, M.A.; Kashikawa, N.; Onoue, M.; Iwasawa, K.; Tang, J.J.; Lee, C.H.; Imanishi, M.; Nagao, T.; Akiyama, M.; et al. Subaru High-z Exploration of Low-luminosity Quasars (SHELLQs). V. Quasar Luminosity Function and Contribution to Cosmic Reionization at z = 6. Astrophys. J. 2018, 869, 150. [Google Scholar] [CrossRef]
- Parsa, S.; Dunlop, J.S.; McLure, R.J. No evidence for a significant AGN contribution to cosmic hydrogen reionization. Mon. Not. R. Astron. Soc. 2018, 474, 2904–2923. [Google Scholar] [CrossRef]
- Kulkarni, G.; Worseck, G.; Hennawi, J.F. Evolution of the AGN UV luminosity function from redshift 7.5. Mon. Not. R. Astron. Soc. 2019, 488, 1035–1065. [Google Scholar] [CrossRef]
- Jiang, L.; Ning, Y.; Fan, X.; Ho, L.C.; Luo, B.; Wang, F.; Wu, J.; Wu, X.B.; Yang, J.; Zheng, Z.Y. Definitive upper bound on the negligible contribution of quasars to cosmic reionization. Nat. Astron. 2022, 6, 850–856. [Google Scholar] [CrossRef]
- Atek, H.; Labbé, I.; Furtak, L.J.; Chemerynska, I.; Fujimoto, S.; Setton, D.J.; Miller, T.B.; Oesch, P.; Bezanson, R.; Price, S.H.; et al. Most of the photons that reionized the Universe came from dwarf galaxies. Nature 2024, 626, 975–978. [Google Scholar] [CrossRef]
- Volonteri, M.; Gnedin, N.Y. Relative Role of Stars and Quasars in Cosmic Reionization. Astrophys. J. 2009, 703, 2113–2117. [Google Scholar] [CrossRef]
- Giallongo, E.; Grazian, A.; Fiore, F.; Fontana, A.; Pentericci, L.; Vanzella, E.; Dickinson, M.; Kocevski, D.; Castellano, M.; Cristiani, S.; et al. Faint AGNs at z > 4 in the CANDELS GOODS-S field: Looking for contributors to the reionization of the Universe. Astron. Astrophys. 2015, 578, A83. [Google Scholar] [CrossRef]
- Madau, P.; Haardt, F. Cosmic Reionization after Planck: Could Quasars Do It All? Astrophys. J. Lett. 2015, 813, L8. [Google Scholar] [CrossRef]
- Giallongo, E.; Grazian, A.; Fiore, F.; Kodra, D.; Urrutia, T.; Castellano, M.; Cristiani, S.; Dickinson, M.; Fontana, A.; Menci, N.; et al. Space Densities and Emissivities of Active Galactic Nuclei at z > 4. Astrophys. J. 2019, 884, 19. [Google Scholar] [CrossRef]
- Grazian, A.; Giallongo, E.; Boutsia, K.; Calderone, G.; Cristiani, S.; Cupani, G.; Fontanot, F.; Guarneri, F.; Ozdalkiran, Y. The Space Density of Ultra-luminous QSOs at the End of Reionization Epoch by the QUBRICS Survey and the AGN Contribution to the Hydrogen Ionizing Background. Astrophys. J. 2022, 924, 62. [Google Scholar] [CrossRef]
- Madau, P.; Giallongo, E.; Grazian, A.; Haardt, F. Cosmic Reionization in the JWST Era: Back to AGNs? Astrophys. J. 2024, 971, 75. [Google Scholar] [CrossRef]
- Kocevski, D.D.; Onoue, M.; Inayoshi, K.; Trump, J.R.; Arrabal Haro, P.; Grazian, A.; Dickinson, M.; Finkelstein, S.L.; Kartaltepe, J.S.; Hirschmann, M.; et al. Hidden Little Monsters: Spectroscopic Identification of Low-mass, Broad-line AGNs at z > 5 with CEERS. Astrophys. J. Lett. 2023, 954, L4. [Google Scholar] [CrossRef]
- Brooks, M.; Simons, R.C.; Trump, J.R.; Taylor, A.J.; Backhaus, B.; Davis, K.; Buat, V.; Cleri, N.J.; Finkelstein, S.L.; Hirschmann, M.; et al. Here There Be (Dusty) Monsters: High Redshift AGN are Dustier Than Their Hosts. arXiv 2024, arXiv:2410.07340. [Google Scholar] [CrossRef]
- Gong, Y.; Liu, X.; Cao, Y.; Chen, X.; Fan, Z.; Li, R.; Li, X.D.; Li, Z.; Zhang, X.; Zhan, H. Cosmology from the Chinese Space Station Optical Survey (CSS-OS). Astrophys. J. 2019, 883, 203. [Google Scholar] [CrossRef]
- Kulkarni, S.R.; Harrison, F.A.; Grefenstette, B.W.; Earnshaw, H.P.; Andreoni, I.; Berg, D.A.; Bloom, J.S.; Cenko, S.B.; Chornock, R.; Christiansen, J.L.; et al. Science with the Ultraviolet Explorer (UVEX). arXiv 2021, arXiv:2111.15608. [Google Scholar] [CrossRef]













Disclaimer/Publisher’s Note: The statements, opinions and data contained in all publications are solely those of the individual author(s) and contributor(s) and not of MDPI and/or the editor(s). MDPI and/or the editor(s) disclaim responsibility for any injury to people or property resulting from any ideas, methods, instructions or products referred to in the content. |
© 2024 by the author. Licensee MDPI, Basel, Switzerland. This article is an open access article distributed under the terms and conditions of the Creative Commons Attribution (CC BY) license (https://creativecommons.org/licenses/by/4.0/).
Share and Cite
Cai, Z. The Composite Spectral Energy Distribution of Quasars Is Surprisingly Universal Since Cosmic Noon. Universe 2024, 10, 431. https://doi.org/10.3390/universe10110431
Cai Z. The Composite Spectral Energy Distribution of Quasars Is Surprisingly Universal Since Cosmic Noon. Universe. 2024; 10(11):431. https://doi.org/10.3390/universe10110431
Chicago/Turabian StyleCai, Zhenyi. 2024. "The Composite Spectral Energy Distribution of Quasars Is Surprisingly Universal Since Cosmic Noon" Universe 10, no. 11: 431. https://doi.org/10.3390/universe10110431
APA StyleCai, Z. (2024). The Composite Spectral Energy Distribution of Quasars Is Surprisingly Universal Since Cosmic Noon. Universe, 10(11), 431. https://doi.org/10.3390/universe10110431

