Neutron Beta Decay and Exact Conservation of Charged Weak Hadronic Vector Current in the Standard Model
Abstract
1. Introduction
2. Electron Energy and Angular Distribution
3. Electron Asymmetry
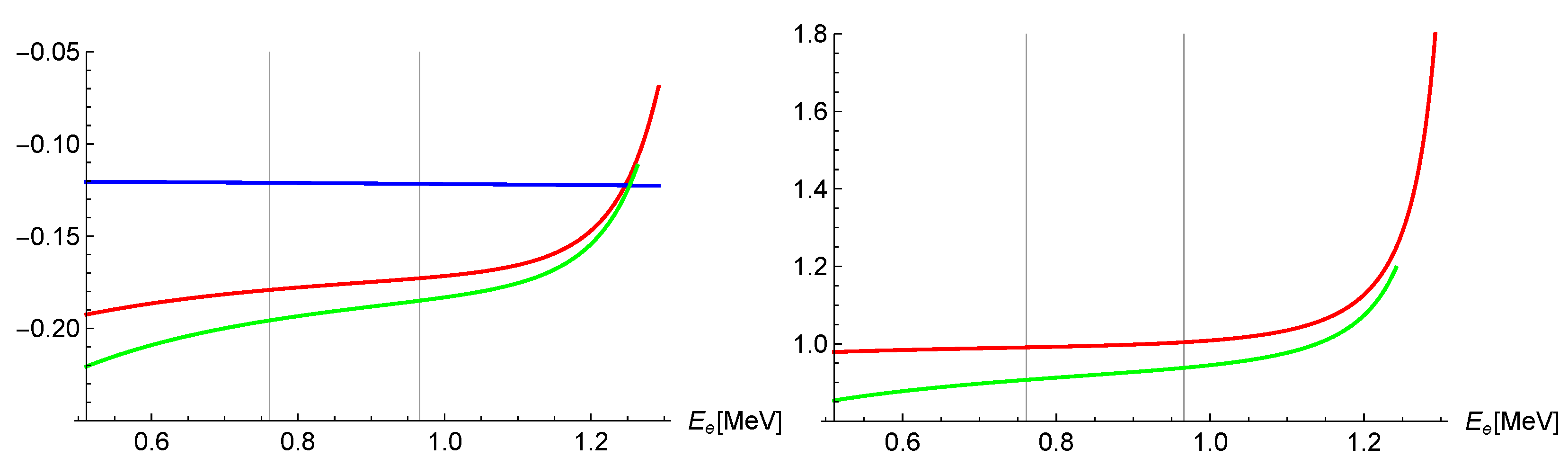
4. Discussions and Proposals
5. Conclusions
Author Contributions
Funding
Data Availability Statement
Acknowledgments
Conflicts of Interest
Appendix A. Cross Sections for the Quasi-Elastic Electron Neutrino–Neutron Scattering and the Inverse β-Decay

References
- Abele, H. The neutron. Its properties and basic interactions. Progr. Part. Nucl. Phys. 2008, 60, 1. [Google Scholar] [CrossRef]
- Nico, J.S. Neutron beta decay. J. Phys. G Nucl. Part. Phys. 2009, 36, 104001. [Google Scholar] [CrossRef]
- Abele, H.; Dubbers, D.; Abele, H.; Bäßler, S.; Märkisch, B.; Schumann, M.; Soldner, T.; Zimmer, O. A clean, bright, and versatile source of neutron decay products. Nucl. Instr. Meth. Phys. Res. A 2008, 596, 238. [Google Scholar]
- Konrad, G. NoMoS: Beyond the Standard Model Physics in Neutron Decay. PoS EPS-HEP2015, 592. In Proceedings of the 2015 European Physical Society Conference on High Energy Physics (EPS-HEP 2015), Vienna, Austria, 22–29 July 2015. [Google Scholar]
- Abele, H. Precision experiments with cold and ultracold neutrons. Neutron β-decay and gravity resonance spectroscopy. Hyperfine Interact. 2016, 155, 237. [Google Scholar]
- Gudkov, V.; Greene, G.I.; Calarco, J.R. General classification and analysis of neutron beta-decay experiments. Phys. Rev. C 2006, 73, 035501. [Google Scholar] [CrossRef]
- Ivanov, A.N.; Pitschmann, M.; Troitskaya, N.I. Neutron beta decay as a laboratory for testing the standard model. Phys. Rev. D 2013, 88, 073002. [Google Scholar] [CrossRef]
- Ivanov, A.N.; Höllwieser, R.; Troitskaya, N.I.; Wellenzohn, M.; Berdnikov, Y.A. Precision analysis of electron energy spectrum and angular distribution of neutron β-decay with polarized neutron and electron. Phys. Rev. C 2017, 95, 055502, Erratum in Phys. Rev. C 2021, 104, 069901. [Google Scholar] [CrossRef]
- Partignani, C.; Particle Data Group. Review of Particle Physics. Chin. Phys. C 2016, 40, 100001. [Google Scholar]
- Marshak, R.E.; Riazuddin; Ryan, C.P. Theory of Weak Interactions in Particle Physics; Wiley-Interscience, a Division of John Wiley & Sons, Inc.: New York, NY, USA, 1969; p. 41. [Google Scholar]
- Leitner, T.; Alvarez–Ruso, L.; Mosel, U. Charged current neutrino nucleus interactions at intermediate energies. Phys. Rev. C 2006, 73, 065502. [Google Scholar] [CrossRef]
- Ivanov, A.N. Comment on “On the implementation of CVC in weak charged-current proton-neutron transitions” by C. Giunti. arXiv: 1602.00215 [hep-ph]. arXiv 2017, arXiv:1705.09573. [Google Scholar]
- Ivanov, A.N. Lorentz Structure of Vector Part of Matrix Elements of Transitions n⟷p, Caused by Strong Low-Energy Interactions and Hypothesis of Conservation of Charged Vector Current. arXiv 2017, arXiv:1705.11102. [Google Scholar]
- Weinberg, S. Charge Symmetry of Weak Interactions. Phys. Rev. 1958, 112, 1375. [Google Scholar] [CrossRef]
- Berman, S.M.; Sirlin, A. Some Considerations on the Radiative Corrections to Muon and Neutron Decay. Ann. Phys. N. Y. 1962, 20, 20. [Google Scholar] [CrossRef]
- Altarawneh, D.; Höllwieser, R.; Wellenzohn, M. On the Hypothesis of Exact Conservation of Charged Weak Hadronic Vector Current in the Standard Model. Preprints 2024, 1, 2024102486. [Google Scholar] [CrossRef]
- Dufner, A.J.; Tasi, Y.S. Phenomenological Analysis of the Gamma NN* Form-factors. Phys. Rev. 1968, 168, 1801. [Google Scholar] [CrossRef]
- Schreiner, P.A.; von Hippel, F. νp→μ−Δ++ comparison with theory. Phys. Rev. Lett. 1973, 30, 339. [Google Scholar] [CrossRef]
- Schreiner, P.A.; von Hippel, F. Neutrino production of the Delta (1236). Nucl. Phys. B 1973, 58, 333. [Google Scholar] [CrossRef]
- Singh, S.K.; Vicenta–Vacas, M.J.; Oset, E. Nuclear effects in neutrinoproduction of Delta at intermediate energies. Phys. Lett. B 1998, 416, 23. [Google Scholar] [CrossRef]
- Lalakulich, O.; Paschos, E.A. Resonance production by neutrinos: J = 3/2 resonances. Phys. Rev. D 2005, 71, 074003. [Google Scholar] [CrossRef]
- Lalakulich, O.; Paschos, E.A.; Piranishvili, G. Resonance production by neutrinos: The Second resonance region. Phys. Rev. D 2006, 74, 014009. [Google Scholar] [CrossRef]
- Lalakulich, O.; Paschos, E.A.; Piranishvili, G. Resonance production by neutrinos. Nucl. Phys. B (Proc. Suppl.) 2006, 159, 133. [Google Scholar] [CrossRef]
- Ankowski, A.M. Improved estimate of the cross section for inverse beta decay. arXiv 2016, arXiv:1601.06169v1. [Google Scholar] [CrossRef]
- Ivanov, A.N.; Höllwieser, R.H.; Troitskaya, N.I.; Wellenzohn, M.; Zherebtsov, O.M.; Serebrov, A.P. Deficit of reactor antineutrinos at distances smaller than 100 m and inverse beta decay. Phys. Rev. C 2013, 88, 055501. [Google Scholar] [CrossRef]
- Mention, G. The reactor antineutrino anomaly. J. Phys. Conf. Ser. 2013, 408, 012025. [Google Scholar] [CrossRef]
- Abazajian, K.N.; Acero, M.A.; Agarwalla, S.K.; Aguilar-Arevalo, A.A.; Albright, C.H.; Antusch, S.; Arguelles, C.A.; Balantekin, A.B.; Barenboim, G.; Barger, V.; et al. Light Sterile Neutrinos: A White Paper. arXiv 2016, arXiv:1204.5379. [Google Scholar]
- Gariazzo, S.; Giunti, C.; Laveder, M.; Li, Y.F.; Zavanin, E.M. Light sterile neutrinos. J. Phys. G 2016, 43, 033001. [Google Scholar] [CrossRef]
- Giunti, C. Sterile Neutrino Searches: Experiment and Theory. Nucl. Part. Phys. Proc. 2017, 287–288, 133. [Google Scholar] [CrossRef]
- Arzumanov, S.; Bondarenko, L.; Chernyavsky, S.; Geltenbort, P.; Morozov, V.; Nesvizhevsky, V.V.; Panin, Y.; Strepetov, A. A measurement of the neutron lifetime using the method of storage of ultracold neutrons and detection of inelastically up-scattered neutrons. Phys. Lett. B 2015, 745, 79. [Google Scholar] [CrossRef]
- Ivanov, A.N.; Pitschmann, M.; Troitskaya, N.I.; Berdnikov, Y.A. Bound-state beta decay of the neutron re-examined. Phys. Rev. C 2014, 89, 055502. [Google Scholar] [CrossRef]
- Adler, S.L.; Dashen, R. Current Algebras; Benjamin: New York, NY, USA, 1968. [Google Scholar]
- De Alfaro, V.; Fubini, S.; Furlan, G.; Rossetti, C. Currents in Hadron Physics; North–Holland Publishing Co.: Amsterdam, The Netherlands; London, UK; New York, NY, USA, 1973. [Google Scholar]
- Jackson, J.D.; Treiman, S.B.; Wyld, H.W., Jr. Coulomb corrections in allowed beta transitions. Nucl. Phys. 1957, 4, 206. [Google Scholar] [CrossRef]
- Jackson, J.D.; Treiman, S.B.; Wyld, H.W., Jr. Note on relativistic coulomb wave functions. Z. Phys. 1958, 150, 640. [Google Scholar] [CrossRef]
- Konopinski, E.K. The Theory of Beta Radioactivity; Oxford at the Clarendon Press: Oxford, UK, 1966. [Google Scholar]
- Ivanov, A.N.; Höllwieser, R.; Wellenzohn, M.; Troitskaya, N.I.; Berdnikov, Y.A. Internal bremsstrahlung of beta decay of atomic . Phys. Rev. C 2014, 90, 064608. [Google Scholar]
- Ivanov, A.N.; Höllwieser, R.; Troitskaya, N.I.; Wellenzohn, M.; Berdnikov, Y.A. Neutron dark matter decays and correlation coefficients of neutron β−-decays. Nucl. Phys. B 2018, 938, 114–130. [Google Scholar] [CrossRef]
- Ivanov, A.N.; Höllwieser, R.; Troitskaya, N.I.; Wellenzohn, M.; Berdnikov, Y.A. Neutron Dark Matter Decays. arXiv 2018, arXiv:1806.10107. [Google Scholar]
- Ivanov, A.N.; Höllwieser, R.; Troitskaya, N.I.; Wellenzohn, M.; Berdnikov, Y.A. Tests of the standard model in neutron β decay with a polarized neutron and electron and an unpolarized proton. Phys. Rev. C 2018, 98, 035503. [Google Scholar] [CrossRef]
- Wilkinson, D.H. Analysis Of Neutron Beta Decay. Nucl. Phys. A 1982, 377, 474. [Google Scholar] [CrossRef]
- Shann, R.T. Electromagnetic effects in the decay of polarized neutrons. Nuovo Cimento A 1971, 5, 591. [Google Scholar] [CrossRef]
- Mund, D.; Maerkisch, B.; Deissenroth, M.; Krempel, J.; Schumann, M.; Abele, H.; Petoukhov, A.; Soldner, T. Determination of the weak axial vector coupling from a measurement of the beta asymmetry parameter A in neutron beta decay. Phys. Rev. Lett. 2013, 110, 172502. [Google Scholar] [CrossRef]
- Mendenhall, M.P.; Pattie, R.W., Jr.; Bagdasarova, Y.; Berguno, D.B.; Broussard, L.J.; Carr, R.; Currie, S.; Ding, X.; Filippone, B.W.; Garcia, A.; et al. (UCNA Collaboration) Precision measurement of the neutron beta decay asymmetry. Phys. Rev. C 2013, 87, 032501. [Google Scholar] [CrossRef]
- Maerkisch, B.; Abele, H. Measurement of the axial-vector coupling constant gA in neutron beta decay. In Proceedings of the 8th International Workshop on the CKM Unitarity Triangle (CKM 2014), Vienna, Austria, 8–12 September 2014. [Google Scholar]
- Ivanov, A.N.; Höllwieser, R.; Troitskaya, N.I.; Wellenzohn, M. Proton recoil energy and angular distribution of neutron radiative β-decay. Phys. Rev. 2013, D88, 065026. [Google Scholar]
- Ivanov, A.N.; Höllwieser, R.; Troitskaya, N.I.; Wellenzohn, M.; Berdnikov, Y.A. Gauge Properties of Hadronic Structure of Nucleon in Neutron Radiative Beta Decay to Order O(α/π) in Standard V—A Effective Theory with QED and Linear Sigma Model of Strong Low–Energy Interactions. Int. J. Mod. Phys. A 2018, 33, 1850199. [Google Scholar] [CrossRef]
- Ivanov, A.N.; Höllwieser, R.; Troitskaya, N.I.; Wellenzohn, M.; Berdnikov, Y.A. Gauge and infrared properties of hadronic structure of nucleon in neutron beta decay to order O(α/π) in standard V—A effective theory with QED and linear sigma model of strong low-energy interactions. Int. J. Mod. Phys. A 2019, 34, 1950010. [Google Scholar] [CrossRef]
- Ivanov, A.N.; Höllwieser, R.; Troitskaya, N.I.; Wellenzohn, M.; Berdnikov, Y.A. Electrodisintegration of Deuteron into Dark Matter and Proton Close to Threshold. Symmetry 2021, 13, 2169. [Google Scholar] [CrossRef]
- Ivanov, A.N.; Höllwieser, R.; Troitskaya, N.I.; Wellenzohn, M.; Berdnikov, Y.A. Tests of the standard model in neutron beta decay with polarized electrons and unpolarized neutrons and protons. Phys. Rev. D 2019, 99, 053004, Erratum in Phys. Rev. D 2021, 104, 059902. [Google Scholar] [CrossRef]
- Ivanov, A.N.; Höllwieser, R.; Troitskaya, N.I.; Wellenzohn, M.; Berdnikov, Y.A. Corrections of order O(), caused by weak magnetism and proton recoil, to the neutron lifetime and correlation coefficients of the neutron beta decay. Results Phys. 2021, 21, 103806. [Google Scholar] [CrossRef]
- Ivanov, A.N.; Höllwieser, R.; Troitskaya, N.I.; Wellenzohn, M.; Berdnikov, Y.A. Radiative corrections of order O(αEe/mN) to Sirlin’s radiative corrections of order O(α/π), induced by the hadronic structure of the neutron. Phys. Rev. D 2021, 103, 113007. [Google Scholar] [CrossRef]
- Ivanov, A.N.; Höllwieser, R.; Troitskaya, N.I.; Wellenzohn, M.; Berdnikov, Y.A. Theoretical description of the neutron beta decay in the standard model at the level of 10-5. Phys. Rev. D 2021, 104, 033006. [Google Scholar] [CrossRef]
- Ivanov, A.N.; Höllwieser, R.; Troitskaya, N.I.; Wellenzohn, M.; Berdnikov, Y.A. Structure of the correlation coefficients S(Ee) and U(Ee) of the neutron β decay. Phys. Rev. C 2021, 104, 025503. [Google Scholar] [CrossRef]
- Ivanov, A.N.; Höllwieser, R.; Troitskaya, N.I.; Wellenzohn, M.; Berdnikov, Y.A. On the correlation coefficient T(Ee) of the neutron beta decay, caused by the correlation structure invariant under discrete P, C and T symmetries. Phys. Lett. B 2021, 816, 136263. [Google Scholar] [CrossRef]
- Ivanov, A.N.; Höllwieser, R.; Troitskaya, N.I.; Wellenzohn, M.; Berdnikov, Y.A. Precision analysis of pseudoscalar interactions in neutron beta decays. Nucl. Phys. B 2020, 951, 114891. [Google Scholar] [CrossRef]


Disclaimer/Publisher’s Note: The statements, opinions and data contained in all publications are solely those of the individual author(s) and contributor(s) and not of MDPI and/or the editor(s). MDPI and/or the editor(s) disclaim responsibility for any injury to people or property resulting from any ideas, methods, instructions or products referred to in the content. |
© 2024 by the authors. Licensee MDPI, Basel, Switzerland. This article is an open access article distributed under the terms and conditions of the Creative Commons Attribution (CC BY) license (https://creativecommons.org/licenses/by/4.0/).
Share and Cite
Altarawneh, D.; Höllwieser, R.; Wellenzohn, M. Neutron Beta Decay and Exact Conservation of Charged Weak Hadronic Vector Current in the Standard Model. Universe 2024, 10, 415. https://doi.org/10.3390/universe10110415
Altarawneh D, Höllwieser R, Wellenzohn M. Neutron Beta Decay and Exact Conservation of Charged Weak Hadronic Vector Current in the Standard Model. Universe. 2024; 10(11):415. https://doi.org/10.3390/universe10110415
Chicago/Turabian StyleAltarawneh, Derar, Roman Höllwieser, and Markus Wellenzohn. 2024. "Neutron Beta Decay and Exact Conservation of Charged Weak Hadronic Vector Current in the Standard Model" Universe 10, no. 11: 415. https://doi.org/10.3390/universe10110415
APA StyleAltarawneh, D., Höllwieser, R., & Wellenzohn, M. (2024). Neutron Beta Decay and Exact Conservation of Charged Weak Hadronic Vector Current in the Standard Model. Universe, 10(11), 415. https://doi.org/10.3390/universe10110415

