Abstract
Today, Industry 4.0 technologies, such as Big Data analytics and mobile technologies, are forcing firms to seek new ways to create and deliver customer value. We argue that the Android project, one of the most successful open-source digital platforms, reflects a new business model in the age of digital transformation. In the Android community, application developers create and sell applications for the Android operating system provided by the open-source firm (Google), and share the profit with Google. Such an open-source strategy forces the open-source firm to give up the profits from selling the operating system to customers. A firm generally chooses an open-source strategy to increase its user network size. Using the concept of creative intensity, or the speed of idea generation, we offer a new explanation regarding the benefits of an open-source strategy in the age of digital transformation. We investigate how to enhance creative intensity and profit on the open-source digital platform. Our model suggests that an open-source strategy effectively manages the diminishing value of ideas and, thus, facilitates the dynamic capability of an open-source firm.
1. Introduction
“You want to be innovating so fast that you invalidate your prior patents, in terms of what really matters. It’s the velocity of innovation that matters.” Elon Musk, CEO of Tesla Inc., Palo Alto, CA, USA.
In 2014, Tesla CEO Elon Musk announced that Tesla would allow other companies to use its patents associated with electric vehicles [1]. This strategy of disclosing an idea to other organizations and making it nonproprietary is called an open-source strategy [2]. An open-source strategy has been gaining traction as a viable strategy even among for-profit organizations in both practice and academia [3,4,5,6,7]. Today, according to Boston Consulting Group, “developing and deploying open-source software is no longer just a novel idea. It’s a strategic necessity in a fast-changing digital world” [3]. For Tesla, an open-source strategy may help the electric vehicle market grow significantly, induce suppliers’ investments due to their enhanced confidence, and enable Tesla to lower the costs of its core components such as batteries [6,8]. Furthermore, making the charging technology freely available to other companies may enable Tesla to build the infrastructure for electric vehicles (e.g., charging stations) together with other companies and to achieve a standard for its charging technology [1].
In contrast to an open-source strategy, many firms utilize a closed-source strategy, and vigorously protect their intellectual property. For instance, Monsanto patents the technology associated with its genetically modified seeds. In order to protect these patents, Monsanto has sued numerous small farmers who have attempted to reproduce plants using Monsanto’s seeds [9]. The company explains the importance of protecting its ideas through patents as follows: “Patents are necessary to ensure that we are paid for our products and for all the investments we put into developing these products. This is one of the basic reasons for patents [10]”.
Researchers have investigated what prompts firms to choose an open-source strategy over a closed-source strategy to enhance their performance (e.g., [5,6,11,12]). Firms often utilize an open-source strategy instead of a closed-source strategy to expand various types of networks associated with their products. Thus, the open-source strategy enables a firm to enhance the attractiveness of its product as users benefit from larger user, complements, and producer networks [13]. Such benefits of a larger network, called network externality, are often the foundation of an open-source strategy [14]. In addition to the network externality, we study whether an open-source strategy is particularly effective when the value of an idea diminishes so rapidly that protecting the idea does not enable firms to achieve a sustainable competitive advantage. As Elon Musk stated, in such instances, it could be “the velocity of innovation that matters” [1].
Speed of innovation reflects the dynamic capability of a firm, or a firm’s ability to “recombine and reconfigure assets and organizational structures as the enterprise grows and as markets and technologies change” [15] (p. 84). In the Android community, the open-source firm (Google) seeks to accelerate the speed of innovation and enhance its dynamic capability through orchestrating a platform in which application developers generate ideas (applications), instead of generating those ideas with its own resources. We argue that the Android open-source community reflects a new business model, and as part of a digital transformation, offers a new way to create, capture, and deliver value to customers [16,17,18]. In particular, this new business model reflects shifting sources of competitive advantage from “developing yet another piece of knowledge” to “creating systems and architectures that combine these disparate pieces of knowledge together in useful ways that solve real problems” [15] (p. 84). The Android open-source community is an open-source digital platform to orchestrate the knowledge creation around mobile applications for its users to download and solve their problems. With its 86% market share worldwide in the smartphone market, Google’s Android project is one of the most successful open-source digital platforms governed by for-profit organizations [19,20]. In recent years, due to its unique governance structure, the open-source digital platform has been gaining more attention among scholars [21,22]. An open-source digital platform provides a place of collaboration (i.e., community), which is different from traditional governance structures (i.e., market or hierarchy).
On an open-source digital platform, a firm shares platform resources with the platform participants [21]. Typically, the firm originally owns the intellectual property rights of the resources that could provide customer value. Thus, the firm could earn profits by selling the intellectual property to customers. However, the firm releases the intellectual property rights, and make those resources nonproprietary and available to platform participants [2,21]. In the Android project, the open-source firm (Google) discloses the Android operating system to application developers for free, and allows them to develop and sell applications for the open-source platform. To distinguish the two types of ideas in an open-source community, we call the Android operating system the primary idea, and the applications the secondary ideas (see Figure 1 for the illustration). On the open-source digital platform, the firm utilizes the primary idea to attract resources from other organizations and then relies on those resources to develop and sell secondary ideas. With an open-source strategy, the firm would typically lose the opportunity to earn profits from selling the primary idea (e.g., the operating system) to end users.
Figure 1.
Illustration of the Android open-source digital platform. Note: With an open-source strategy, an open-source firm gives up profits the firm could have earned from selling the primary idea to customers.
In summary, we have the following three objectives in this study. First, we introduce an illustrative model of the Android open-source project to better understand the theoretical and practical implications of the open-source digital platform. Second, we investigate the impact of an open-source strategy on the creative intensity and the profits of an open-source firm. Third, we examine the implications of an open-source strategy on the dynamic capability of an open-source firm. Through these objectives, we seek to contribute to the literature on the speed of innovation [23,24,25] and the literature on open-source innovation, in which innovation takes place outside of a firm (i.e., Android open-source community) [26]. In particular, we make the following contributions. First, we bridge between literature on open-source innovation and literature on dynamic capability. In doing so, we study how an open-source firm orchestrates the system of idea generation without relying on its own resources, and discuss theoretical implications of an open-source digital platform. Second, our research is the first to apply the concept of creative intensity to offer a new explanation regarding the benefits of open-source strategy in the age of digital transformation. Third, our findings illustrate how the open-source firm responds to environmental changes in relation to the dynamic capability.
2. Literature Review
2.1. Open-Source Strategy
An open-source strategy, one type of open innovation, is gaining traction as a viable strategy for organizations [3,4,5,6,7,15]. A firm utilizes an open-source strategy not only to earn profits by selling applications, accessories, and support services for the users of open-source products but also to enhance suppliers’ confidence to invest in the market (e.g., [6,27,28]). This open-source movement is part of a trend of creating value through collective firms and individuals rather than through a single firm [13]. An open-source strategy is effective for information goods with network externalities (e.g., operating systems) [14]. The diffusion of products with network externality depends on the sizes of the user network, the complements network, and the producer network [13,29]. A firm makes these complementary goods available and facilitates the activities of users and producers on a digital platform [30]. A digital platform typically provides “an essential function to a technological system” and “acts as a foundation upon which other firms can develop complementary products, technologies or services” [31].
In particular, on an open-source digital platform, a firm discloses an idea with customer value to other organizations to make it nonproprietary [2]. Drawing on other research [21,32,33], we distinguish the open-source digital platform from the transaction-oriented digital platform that streamlines supply and demand as a marketplace for a retail business (e.g., Amazon, Alibaba) and as a marketplace for shared economy (e.g., Uber, Airbnb). On an open-source digital platform, an attractive idea (e.g., Google’s Android operating system) may motivate other organizations (e.g., application developers) to join the open-source community and generate ideas (e.g., applications for the Android operating system) [13]. Application developers contribute to the open-source community by developing applications and expanding the complements network [13].
For the successful open-source digital platform, the open-source firm may need to appropriately coordinate all the participants in the community, including application developers. In particular, the open-source firm has less control over various activities within the open-source community. Thus, the open-source firm must manage its project judiciously to reduce any opportunistic behavior from community members [34,35]. Despite the potential opportunistic behavior, through developing inter-organizational relationships, the open-source firm may be better able to access the resources of other organizations and create value jointly with them [13,36]. Thus, an open-source strategy may enable the open-source firm to focus on core activities that it can perform better than its competitors while allowing other organizations to take care of necessary, but noncore activities [37].
Utilizing the resources of other organizations, an open-source strategy enables a firm to accelerate its generation of ideas, such as applications [12,27]. In contrast, a closed-source strategy may enable a firm to maximize its value capture through maintaining the proprietary rights for the product [27]. Closed-source firms could generate profits through selling the platform to end users (one-sided platform strategy) [12]. Typically, an open-source digital platform enjoys a greater variety of applications than a closed-source platform [12]. In our paper, we are primarily interested in how a firm utilizes the primary idea on an open-source digital platform to attract the resources of application developers that develop and sell the secondary ideas instead of selling the primary idea to end users (Please see Figure 1).
2.2. Idea Generation and Dynamic Capability
Research suggests that not all firms could benefit from open innovation (e.g., [38,39]). In particular, Milan et al. (2020) point out the benefits of integrating the theories of the firm (e.g., the resource-based view) in discussing impacts of the speed of innovation on open innovation [24]. Consistent with this perspective, open innovation requires particular resources and capabilities for firms to benefit and gain a competitive advantage (e.g., [15,38,39]). One such capability is dynamic capability, explained as a firm’s capability to respond to the environmental changes in a market by sensing those changes, reconfiguring the resources, and creating value to customers [40,41,42]. The dynamic capability facilitates a firm’s competitiveness in a market, including speed of innovation [40,43,44,45]. Today, digital transformation is further accelerating the speed of innovation through Industry 4.0 technologies such as Big Data analytics and artificial intelligence (e.g., [46]). Among various stages of innovation, idea generation—a starting point of the innovation process—is a crucial gateway for a successful innovation [47]. In particular, Industry 4.0 technologies, such as Big Data, are believed to accelerate the speed of idea generation, or creative intensity [23,48,49]. Drawing on the resource-based view, creative intensity is determined by both human capital resources (e.g., creativity of employees who generate innovative product ideas) and organizational capital resources (e.g., organizational culture, such as the willingness to employ risky but innovative product ideas) [49]. In this paper, we examine the speed of idea generation, or creative intensity in the Android open-source community (i.e., the number of applications developed per a certain time period). Accelerating the speed of innovation, including idea generation, is essential for firms to maintain competitiveness, particularly in a market with high uncertainty and rapid technological changes [47,50].
To accelerate the speed of innovation in high-velocity markets, a firm cannot rely solely on its own resources. To access resources of other organizations, firms are seeking the sources of idea generation outside their organizations and creating mutually dependent relationships with other organizations [51]. With an open-source strategy, a firm discloses an idea to other organizations to make it nonproprietary [2]. Then, an attractive idea (e.g., Google’s Android operating system) may motivate other firms and individuals (e.g., application developers) to join the open-source project, generate ideas (e.g., applications for the Android operating system), and co-create value [13]. Such open innovation effectively enhances a firm’s capability and maintains its competitive advantage in today’s fast-changing markets [40]. As the value of an idea becomes obsolete fairly quickly, a firm’s continued profit from a single idea is limited and unsustainable. Thus, a firm may not benefit much from protecting its idea and enhancing the value capture with a closed-source strategy [12,27]. In such a market environment, the open-source strategy may better enable a firm to facilitate its capability of idea generation and grow its business as the value of the new idea diminishes quickly.
Idea generation has been studied in various contexts, including the process of co-creating advertising ideas with consumers, organizational cultures that enhance idea generation, optimal idea-exchange processes among group members, methods to stimulate product ideation, and idea quantities in new product development processes [52,53,54,55,56,57,58,59]. Generating a large number of ideas is considered critical in the new product development process [52,53]. Researchers have investigated how to enhance the number of ideas generated through various methods, such as brainstorming [60]. Furthermore, divergent thinking is considered a critical component of creativity within an organization and is believed to enhance the variety of ideas generated from given information [61]. More recently, Tauqeer & Bang (2020) discuss the benefits of incorporating technology trends (e.g., Big Data, artificial intelligence, and 3D printing) during the product ideation process (e.g., how these technology trends affect existing or new product ideas) [58].
3. Model Framework
3.1. Dynamic Capability in Relation to the Value of the Primary Idea
In this section, we develop a model to analyze how a firm can enhance creative intensity and earn profits with an open-source strategy while the value of ideas diminishes. This capability of a firm to cope with the obsolescence of ideas reflects the dynamic capability (e.g., [40]). Thus, in this paper, we conceptualize dynamic capability as a firm’s flexibility to adapt to the obsolescence of ideas in high-velocity markets and to enhance its profits in a market. (We will not consider such factors as the costs associated with developing the primary idea and profit discounts in our model as these factors do not affect our discussion on the creative intensity and profit of an open-source firm.) With an open-source strategy, a firm allows application developers to access the primary idea at no cost, and to develop and sell applications for the open-source digital platform. In return, the application developers share a certain percentage of their profit with the open-source firm [62].
Let denote the value of the primary idea in the open-source strategy at time Consistent with Frels et al. (2003) [13], the initial value of ideas is associated with the utility of the stand-alone product derived from its technological features, independent of the added value associated with the sizes of the user, complements, and producer networks. We assume that the value of the primary idea depreciates over time [63,64]. It can be described by the following differential equation [11,29]
The constant represents the initial value of the primary idea, and it is assumed to be positive. We assume that the value of the primary idea depreciates at a rate of The depreciation rate may vary with many factors; if the primary idea involves sophisticated technology, its value depreciates relatively quickly [29].
3.2. Profit-Sharing in the Open-Source Community
With an open-source strategy, the open-source firm employs a profit-sharing mechanism and receives a portion of the profits that application developers earn from selling the applications to the platform users. Let denote the profit-share percentage of the open-source firm ( is the profit-share percentage of application developers). If , the open-source firm takes all the profits from the application developers, while if the open-source firm takes no profits from the application developers. To motivate more application developers to join the platform, the open-source firm may lower its profit-share percentage () and let developers keep a higher portion of the profits [65].
Let denote the number of application developers in the open-source community at time We assume that, initially, there are no application developers in the community. Application developers continue to join the community over time. Their decision whether to join the open-source community may depend on the profit-share percentage and the value of the primary idea [65,66,67]. Then, the number of application developers is described by
The constant denotes the number of new application developers that join the community if and . The constant denotes the average percentage of application developers that leave from the community during each time period. Here, we assume that The constant reflects the relative importance of the profit-share percentage and the value of the primary idea to an application developer in deciding whether to join the open-source community. When (), the profit-share percentage is more (less) important than the value of the primary idea in the application developer’s decision.
Initially, the number of new application developers joining the community is represented by . However, as the value of the primary idea depreciates over time (equivalently, decreases), fewer and fewer new developers join the platform. At a certain time, the value of the primary idea becomes so low for the developers that the number of developers leaving the community exceeds the number of those joining it. If the value of the primary idea continues to depreciate, the number of developers may eventually become zero In practice, the open-source firm would likely update the primary idea well before all application developers leave the community.
3.3. Secondary Ideas and Creative Intensity
Let denote the creative intensity at time , and denote the number of applications on the platform at time . Creative intensity is operationalized as the number of secondary ideas an open-source community can generate per a certain period. In our model, we will not consider the differences in each application developer’s resources. Then we have
The constant represents the average number of applications by each developer in each time period. Initially, since no developer is in the community, no applications are available for the platform. The creative intensity is proportional to the number of application developers in the community, while the total number of applications grows as long as developers are available in the community.
Similar to the depreciating value of the platform, we assume that the value of applications depreciates over time. Let denote the total value of the applications at time . Following a similar argument to the value of the primary idea [11,29], we obtain
Initially, no applications are available and, thus, the overall value of applications is zero. The constant represents the average initial value of each application, and denotes the depreciation rate of the total value of all applications. Without loss of generality, we assume that . New applications developed over time increase the total value of the applications. In contrast, the diminishing value of existing applications decreases the total value of the applications. Overall, when the additional value derived from new applications is more (less) than the depreciated value at a certain time, the total value of applications increases (decreases).
3.4. Profits of an Open-Source Firm
Let denote the average price of an application. denotes the demand for applications at time , depending on both the price and the value of applications. The demand of applications at time can be given by
Here, describes the dependence of the demand of applications on their average price, and it satisfies . Consequently, the profit of the open-source firm at time is given by
The diminishing value of the open-source platform affects the profit of the open-source firm through the demand function Thus, this profit function reflects the dynamic capability of an open-source firm, illustrating how an open-source firm earns the profit as the value of the primary idea diminishes.
4. Propositions
4.1. The Effect of an Open-Source Strategy on Creative Intensity
With an open-source strategy, the firm discloses a newly developed idea to other organizations instead of protecting the idea. Disclosing the primary idea enables the open-source firm to attract other organizations (e.g., application developers) to join the community [68,69]. Utilizing those resources, the open-source firm can facilitate the generation of secondary ideas (e.g., applications) over time (please see Figure 2). Although the open-source firm potentially enjoys the availability of a substantial amount of resources, an open-source strategy experiences the negative effects of the primary idea’s diminishing value. As the value of the primary idea diminishes, the number of application developers in the community may decline over time. Thus, as the value of the primary idea diminishes more quickly, the number of applications available on the platform eventually stabilizes.
Figure 2.
Total number of applications (secondary ideas) over time. Note: r represents the value-diminishing rate of the primary idea in the open-source community.
Next, we analyze how the diminishing value of the primary idea affects the creative intensity of an open-source community. The change rate of creative intensity with respect to the value of the primary idea is
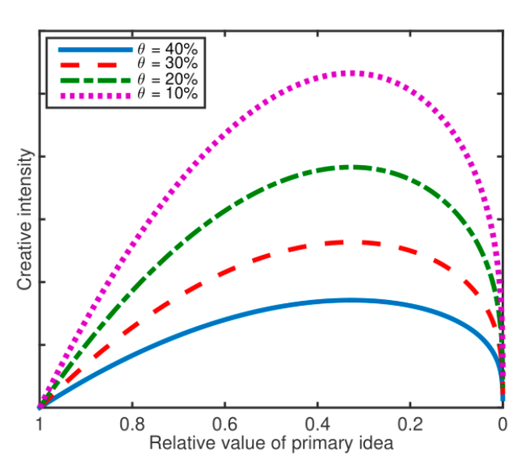
Let denote a critical time satisfying . For time , there is as . Notice that the value of the primary idea monotonically decreases over time . This suggests that the creative intensity keeps increasing for , although the value of the primary idea decreases. As further illustrated in Figure 3, even as the value of the primary idea diminishes, an open-source community experiences an upward trend of creative intensity. Since the open-source firm uses the primary idea to enhance the resources available within the community by enticing application developers, the diminishing value of the primary idea does not necessarily hurt the capability to generate secondary ideas. On the contrary, despite the diminishing value of the primary idea, creative intensity continues to increase. Even as the number of application developers starts to decrease, the remaining application developers continue to develop new applications for the platform and contribute to enhanced creative intensity.
Figure 3.
The creative intensity in relation to the relative value of the primary idea. Note: The relative value of the primary idea is given by .
The creative intensity at any time is given by
Then the change rate of creative intensity with respect to the profit-share percentage is
That is, decreasing the profit-share percentage would always lead to an increase in the creative intensity. Thus, to enhance creative intensity further, the open-source firm can lower its profit-share percentage to motivate more application developers to join the platform. This strategy enables the open-source firm to enhance creative intensity despite the diminishing value of the primary idea. As illustrated in Figure 3, the open-source firm can better facilitate the creative intensity by lowering its profit-share percentage. Thus,
Proposition1a:
An open-source firm is able to increase the creative intensity even as the value of the primary idea continues to diminish.
Proposition1b:
The lower the profit-share percentage, the better an open-source firm is able to facilitate its creative intensity despite the diminishing value of the primary idea.
4.2. Open-Source Strategy and Profits
As discussed in Proposition 1b, an open-source firm may lower its profit-share percentage to attract more application developers and enhance the creative intensity. However, this strategy does not necessarily enhance the profit of an open-source firm. The profit of an open-source firm depends on the profit-share percentage both directly and indirectly, and only the indirect dependence is through the creative intensity. From the profit of an open-source firm, it is easy to calculate
where the total value of the secondary ideas is given by
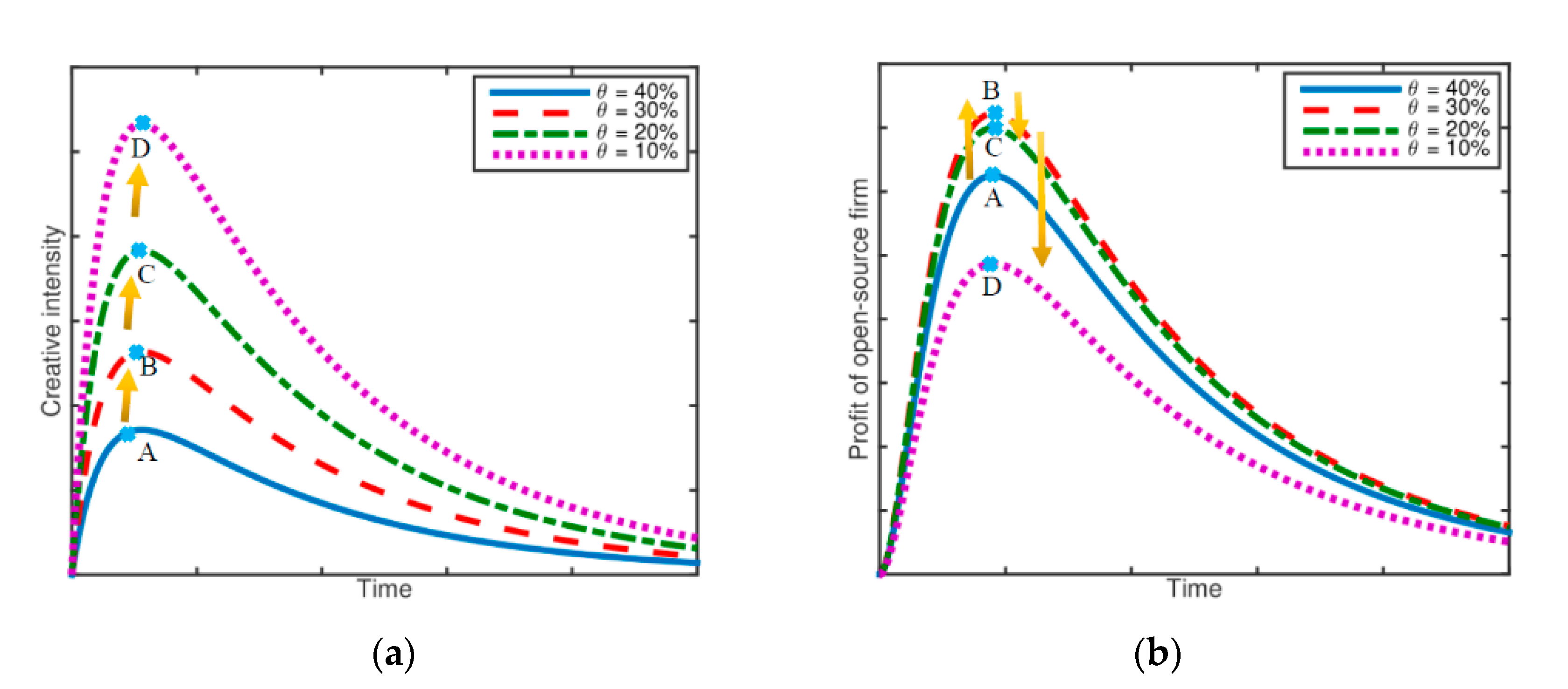
It is clear that only if This implies that lowering the profit-share percentage would increase the profit only when As illustrated in Figure 4a, by lowering the profit-share percentage, an open-source firm is able to enhance its creative intensity; the lower the profit-share percentage, the higher the peak of creative intensity (from point A to B, C, and D). In contrast, as illustrated in Figure 4b, the open-source firm can grow its profit to only a certain point through lowering the profit-share percentage (e.g., from 40% to 30%, point A to point B). In this particular case, the open-source firm starts experiencing profit decline after lowering the profit-share percentage from 30% to 20% (point B to point C). This profit decline continues when lowering the profit-share percentage from 20% to 10% (point C to point D). Thus, in lowering its profit-share percentage, an open-source firm needs to compare the benefit of enhancing the creative intensity with the disadvantage of keeping a lower percentage of profits from the sales of applications. Thus,
Figure 4.
(a) The creative intensity over time in relation to the profit-share percentage, (b) the profit of an open-source firm over time in relation to the profit-share percentage. Note: The profit shown in the y-axis in Figure 4b is per a certain period, not the accumulated profit.
Proposition2:
Enhancing creative intensity by lowering the profit-share percentage will increase the profit of the open-source firm only when
An open-source strategy requires the open-source firm to enhance the size of the complements network (applications for the platform) to maximize its profit. Thus, the open-source firm must first expend time and effort to attract application developers in order to increase the number of applications available. Once a sufficient number of applications are available, the open-source community can generate enough demand for applications to enhance its profits. From the profit of an open-source firm, we obtain
Denote time as the time satisfying that is, the time when . It is clear that and for any time . This implies that the profit of an open-source firm would continuously increase until time . However, as the value of the primary idea diminishes more quickly, profits stop growing at an earlier stage. The larger the diminishing rate , the shorter the time .
As discussed above, the time satisfies
There is . We can obtain that , since and for time From , we obtain
Since , there is and . Thus, we obtain , implying that the larger the depreciation rate , the earlier the profit of an open-source firm stops growing. As illustrated in Figure 5, the profit stops growing earlier when r = 2% than when r = 1.5% for instance. This means that lowering the primary idea’s value-diminishing rate may enable the firm to grow its profit for a longer period and to extend the life cycle of the open-source digital platform.
Figure 5.
Profit of an open-source firm over time. Notes: (1) r represents the value-diminishing rate of the primary idea in an open-source community. (2) The profit shown in the y-axis is per a certain period, not the accumulated profit.
Proposition3:
An open-source strategy enables a firm to grow its profit initially until timethat satisfies. Additionally, the lower the diminishing rate of the primary idea, the longer an open-source firm is able to grow its profit.
4.3. Dynamic Capability
Figure 6 illustrates the profits of the open-source firm in relation to the relative value of the primary idea. The relative value of the primary idea reflects the value of the primary idea in relation to its initial value. The change rate of the profit with respect to the relative value of primary ideal is calculated as
Figure 6.
Profit of an open-source firm in relation to the relative value of the primary idea. Notes: (1) The relative value of the primary idea is given by . (2) r represents the value-diminishing rate of the primary idea.
The previous discussion shows that if time , the rate and, thus, . That is, the profit of the open-source firm increases when , even though the value of the primary idea diminishes. Certainly, the lower the value-diminishing rate, the faster the profit of the open-source firm grows in relation to the relative value of the primary idea (see Figure 6). Once the diminished value of existing applications surpasses the added value created by the new applications, the total value of the applications starts to decline, leading to a decline in profit. Overall, with the open-source strategy, even as the relative value of the primary idea diminishes, the firm can continue to generate secondary ideas and grow its profit through utilizing resources from application developers. We argue that this illustrates the dynamic capability of an open-source firm, or the firm’s capability to reconfigure its resources in adapting to the changes in the external environment (e. g., the obsolescence of the primary idea due to rapid technological advancements). Thus,
Proposition4:
An open-source strategy enables a firm to grow its profit untileven as the value of the primary idea diminishes. This trend illustrates the dynamic capability of an open-source firm.
5. General Discussion
First, our study illustrates the capability of an open-source firm to orchestrate the platform of idea generation as a governing organization of the Android open-source community in the age of digital transformation. In particular, our study sheds lights on the growth strategy of open-source digital platforms [18]. Today, as a result of digital transformation (e.g., [70]), the sources of competitive advantage shift from innovative ideas to the capability to orchestrate these innovative ideas in a meaningful way for customers to solve their problems [15]. We argue that the Android open-source community, a new business model, provides a new way for companies to create, capture, and deliver value to customers. Our study shows that during this digital transformation, dynamic capability in particular [71], or resources in general [38], must be studied not as a single organization but as a community or a digital platform that involves multiple organizations and individuals.
Second, this is the first paper to apply the concept of creative intensity to explain the benefits of an open-source strategy on dynamic capability in the context of digital transformation. Using this concept, we offer a new explanation regarding the benefits of an open-source strategy. Our analysis could guide researchers and practitioners on the dynamics of an open-source strategy in a hypercompetitive business environment. In the age of digital transformation, the value of creative ideas and products can diminish relatively quickly after market introduction as competitors react quickly and introduce similar or better products [1,15,46]. In order to adapt to these changes in the external environment, a firm needs to update and reconfigure its resources and enhance its dynamic capability [15,45,72]. Our analysis illustrates the dynamic capability of an open-source firm in adapting to market changes [70]. As illustrated in Figure 3 and Figure 6, an open-source strategy enables an open-source firm to enhance its creative intensity and its profit even as the value of the primary idea diminishes. Thus, an open-source strategy is relatively susceptible to environmental changes (e.g., the diminishing value of ideas due to technological advancement).
Third, an open-source strategy requires the firm to grow its complements network in order to start earning profits from the open-source community [14,39,73]. Thus, the firm must first expend time and effort to attract application developers to grow the complements network. Thus, for a firm to generate profits quickly at an earlier stage, an open-source strategy may not be an attractive strategy. For this reason, an open-source strategy may not be suitable for a firm with fast-moving products and with relatively short product life cycles. For instance, by vertically integrating its value chain from manufacturing to retailing using a closed-source strategy, Inditex, the parent company of the fast-fashion chain Zara, introduces a greater variety of new products than its competitors [74]. The firm usually produces each new product with a limited volume. In an industry with fast-moving products, it is critical to maximize profits as early as possible after the product introduction. Once the company generates sufficient profit quickly, they may have another new product ready to promote. Thus, an open-source strategy may not allow such a firm to maximize its profits earlier after the introduction and move on to another new product.
Finally, from the resource-based view, our research sheds light on a possible new way of acquiring resources to enhance creative intensity without relying on a traditional governance structure such as market or hierarchy [75]. In an open-source community, the open-source firm relies on the resources of other organizations to generate secondary ideas. To attract such resources, the open-source firm discloses the primary idea to other organizations. Such efforts result in the establishment of an open-source digital platform. Using the platform offered by an open-source firm, application developers engage in developing secondary ideas for the platform. Overall, instead of selling the primary idea to end users, the open-source firm uses the primary idea to attract the resources of application developers to enhance creative intensity on the open-source digital platform.
6. Limitations and Future Research
First, in our paper, we are primarily interested in a firm’s decision to use the primary idea to attract the resources of other organizations that generate and sell secondary ideas with an open-source strategy instead of selling the primary idea to end users. Thus, we considered only profits from selling secondary ideas on an open-source digital platform. Researchers are encouraged to extend our model to include other sources of profits for open-source strategy. For instance, the open-source firm can generate profits from in-application advertisements [62,76]. Researchers are encouraged to extend our model to incorporate these additional sources of profits.
Second, researchers are encouraged to investigate issues associated with quality control within the open-source community. In its introduction phase of the Android project, Google did not have a stringent approval process for its application on the platform [77]. Although an open-source strategy may enhance the creative intensity of an open-source community, the community may benefit from a selection process for new ideas (applications). Creativity is associated with both newness and usefulness [78]; thus, the process of selecting new and useful ideas may enhance the creativity of applications available within the open-source community [79]. Researchers are encouraged to investigate whether an open-source community should implement such an idea-screening process.
Third, researchers are encouraged to apply transaction cost analysis in the context of an open-source strategy. A community, the governance structure of the Android open-source project, enjoys the benefits of two types of governance structure: market and hierarchy [75]. To identify suppliers for a product using a market mechanism, a manufacturer must search for, evaluate, and select suppliers (i.e., transaction costs) [80]. When a firm conducts an activity using its own resources instead of a market mechanism, the firm can minimize its transaction costs [81]. Thus, a market mechanism typically suffers higher transaction costs than conducting activities within an organization. In an open-source community, such as Linux, although each member does not belong to the same organization, the community enjoys relatively low transaction costs due to nonmonetary incentives (e.g., mutual trust) [75]. In contrast, in this paper, we have discussed the open-source strategy of a for-profit organization that utilizes a profit-sharing mechanism (i.e., monetary incentives). Monetary incentives are believed to be effective for reducing opportunistic behavior [82]. Thus, researchers are encouraged to investigate how profit-sharing mechanisms could reduce transaction costs in an open-source community.
Author Contributions
Writing—original draft preparation, N.F. and Y.Z.; writing—review and editing, N.F., Y.Z. and S.E. All authors have read and agreed to the published version of the manuscript.
Funding
This research received no external funding.
Institutional Review Board Statement
Not applicable.
Informed Consent Statement
Not applicable.
Data Availability Statement
The study did not include any data collection.
Conflicts of Interest
The authors declare no conflict of interest.
Abbreviations
Main Notations: We list the main notations used in our model as follows.
| Value of the primary idea of an open-source firm at time | |
| Profit-share percentage of an open-source firm | |
| The number of application developers in the open-source community at time t | |
| The creative intensity of secondary ideas at time t | |
| The number of applications available on the platform at time t | |
| Total value of applications at time t | |
| Average price of applications | |
| Demand for applications at time t | |
| Profit of an open-source firm at time t |
References
- Vance, A. Why Elon Musk Just Opened Tesla’s Patents to His Biggest Rivals. 12 June 2014. Available online: https://www.bloomberg.com/news/articles/2014-06-12/why-elon-musk-just-opened-teslas-patents-to-his-biggest-rivals (accessed on 30 June 2021).
- Pitt, L.F.; Watson, R.T.; Berthon, P.; Wynn, D.; Zinkhan, G. The Penguin’s Window: Corporate Brands From an Open-Source Perspective. J. Acad. Mark. Sci. 2006, 34, 115–127. [Google Scholar] [CrossRef]
- Ahlawat, P.; Boyne, D.; Herz, D.; Schmieg, F.; Stephan, M. Why You Need an Open Source Software Strategy. 16 April 2021. Available online: https://www.bcg.com/en-us/publications/2021/open-source-software-strategy-benefits (accessed on 30 June 2021).
- August, T.; Shin, H.; Tunca, T.I. Generating Value Through Open Source: Software Service Market Regulation and Licensing Policy. Inf. Syst. Res. 2018, 29, 186–205. [Google Scholar] [CrossRef]
- Gao, X. Open Source or Closed Source? A Competitive Analysis with Software Security. Decis. Anal. 2020, 17, 56–73. [Google Scholar] [CrossRef]
- Hu, B.; Hu, M.; Yang, Y. Open or Closed? Technology Sharing, Supplier Investment, and Competition. Manuf. Serv. Oper. Manag. 2017, 19, 132–149. [Google Scholar] [CrossRef]
- Nagle, F. Open Source Software and Firm Productivity. Manag. Sci. 2019, 65, 1191–1215. [Google Scholar] [CrossRef]
- What’s Driving Tesla’s Open Source Gambit? Forbes. 1 July 2014. Available online: https://knowledge.wharton.upenn.edu/article/whats-driving-teslas-open-source-gambit/ (accessed on 30 June 2021).
- Monsanto Sued Small Famers to Protect Seed Patents, Report Says. Available online: https://www.theguardian.com/environment/2013/feb/12/monsanto-sues-farmers-seed-patents (accessed on 30 June 2021).
- Why Does Monsanto Sue Farmers Who Save Seeds? 22 October 2014. Available online: http://www.monsanto.com/newsviews/pages/why-does-monsanto-sue-farmers-who-save-seeds.aspx (accessed on 1 January 2017).
- Casadesus-Masanell, R.; Ghemawat, P. Dynamic Mixed Duopoly: A Model Motivated by Linux vs. Windows. Manag. Sci. 2006, 52, 1072–1084. [Google Scholar] [CrossRef] [Green Version]
- Economides, N.; Katsamakas, E. Two-Sided Competition of Proprietary vs. Open Source Technology Platforms and the Implications for the Software Industry. Manag. Sci. 2006, 52, 1057–1071. [Google Scholar] [CrossRef] [Green Version]
- Frels, J.K.; Shervani, T.; Srivastava, R.K. The Integrated Networks Model: Explaining Resource Allocations in Network Markets. J. Mark. 2003, 67, 29–45. [Google Scholar] [CrossRef]
- Bonaccorsi, A.; Rossi, C. Why Open Source Software Can Succeed. Res. Policy 2003, 32, 1243–1258. [Google Scholar] [CrossRef] [Green Version]
- Bogers, M.; Chesbrough, H.; Heaton, S.; Teece, D.J. Strategic Management of Open Innovation: A Dynamic Capabilities Perspective. Calif. Manag. Rev. 2019, 62, 77–94. [Google Scholar] [CrossRef]
- Pagani, M.; Pardo, C. The Impact of Digital Technology on Relationships in a Business Network. Ind. Mark. Manag. 2017, 67, 185–192. [Google Scholar] [CrossRef]
- Zott, C.; Amit, R. The Fit between Product Market Strategy and Business Model: Implications for Firm Performance. Strat. Manag. J. 2007, 29, 1–26. [Google Scholar] [CrossRef] [Green Version]
- Verhoef, P.C.; Broekhuizen, T.; Bart, Y.; Bhattacharya, A.; Dong, J.Q.; Fabian, N.; Haenlein, M. Digital Transformation: A Multidisciplinary Reflection and Research Agenda. J. Bus. Res. 2021, 122, 889–901. [Google Scholar] [CrossRef]
- IDC-Smartphone Market Share-Market Share. 14 September 2020. Available online: https://www.idc.com/promo/smartphone-market-share (accessed on 30 June 2021).
- Clark, D.; Connors, W. Google’s Android Seizes Smartphone Market. The Wall Street Journal. 8 August 2013. Available online: https://www.wsj.com/articles/SB10001424127887323838204578654520703852466 (accessed on 30 June 2021).
- Karhu, K.; Gustafsson, R.; Lyytinen, K. Exploiting and Defending Open Digital Platforms with Boundary Resources: Android’s Five Platform Forks. Inf. Syst. Res. 2018, 29, 479–497. [Google Scholar] [CrossRef] [Green Version]
- Wang, Y.; Chen, Y.; Koo, B. Open to Your Rival: Competition between Open Source and Proprietary Software under Indirect Network Effects. J. Manag. Inf. Syst. 2020, 37, 1128–1154. [Google Scholar] [CrossRef]
- Erevelles, S.; Horton, V.; Fukawa, N. Imagination in Marketing. Mark. Manag. J. 2007, 17, 109–119. [Google Scholar]
- Milan, E.; Ulrich, F.; Faria, L.G.; Li-Ying, J. Exploring the Impact of Organisational, Technological and Relational Contingencies on Innovation Speed in the Light of Open Innovation. Ind. Innov. 2020, 27, 804–836. [Google Scholar] [CrossRef]
- Ojha, D.; Struckell, E.; Acharya, C.; Patel, P.C. Managing Environmental Turbulence through Innovation Speed and Operational Flexibility in B2B Service Organizations. J. Bus. Ind. Mark. 2020. [Google Scholar] [CrossRef]
- Piller, F.; West, J. Firms, Users, and Innovation. In New Frontiers in Open Innovation; Chesbrough, H., Vanhaverbeke, W., West, J., Eds.; Oxford University Press: Oxford, UK, 2014; pp. 29–49. [Google Scholar]
- Casadesus-Masanell, R.; Llanes, G. Mixed Source. Manag. Sci. 2011, 57, 1212–1230. [Google Scholar] [CrossRef] [Green Version]
- Kumar, V.; Gordon, B.R.; Srinivasan, K. Competitive Strategy for Open Source Software. Mark. Sci. 2011, 30, 1066–1078. [Google Scholar] [CrossRef] [Green Version]
- Haruvy, E.; Sethi, S.P.; Zhou, J. Open Source Development with a Commercial Complementary Product or Service. Prod. Oper. Manag. 2008, 17, 29–43. [Google Scholar] [CrossRef]
- Koh, T.K.; Fichman, M. Multihoming Users’ Preferences for Two-Sided Exchange Networks. MIS Q. 2014, 38, 977–996. [Google Scholar] [CrossRef]
- Gawer, A. Platforms, Markets and Innovation: An Introduction. In Platforms, Markets and Innovation; Edward Elgar Publishing: Cheltenham, UK, 2010. [Google Scholar]
- Van Der Aalst, W.; Hinz, O.; Weinhardt, C. Big Digital Platforms. Bus. Inf. Syst. Eng. 2019, 61, 645–648. [Google Scholar] [CrossRef] [Green Version]
- Rangaswamy, A.; Moch, N.; Felten, C.; van Bruggen, G.; Wieringa, J.E.; Wirtz, J. The Role of Marketing in Digital Business Platforms. J. Interact. Mark. 2020, 51, 72–90. [Google Scholar] [CrossRef]
- DeMil, B.; Lecocq, X. Neither Market nor Hierarchy nor Network: The Emergence of Bazaar Governance. Organ. Stud. 2006, 27, 1447–1466. [Google Scholar] [CrossRef]
- Watson, R.T.; Boudreau, M.-C.; Greiner, M.; Wynn, D.; York, P.; Gul, R. Governance and Global Communities. J. Int. Manag. 2005, 11, 125–142. [Google Scholar] [CrossRef]
- Kohtamäki, M.; Partanen, J.; Parida, V.; Wincent, J. Non-Linear Relationship between Industrial Service Offering and Sales Growth: The Moderating Role of Network Capabilities. Ind. Mark. Manag. 2013, 42, 1374–1385. [Google Scholar] [CrossRef] [Green Version]
- Wernerfelt, B. On the Role of the RBV in Marketing. J. Acad. Mark. Sci. 2014, 42, 22–23. [Google Scholar] [CrossRef] [Green Version]
- Lam, L.; Nguyen, P.; Le, N.; Tran, K. The Relation among Organizational Culture, Knowledge Management, and Innovation Capability: Its Implication for Open Innovation. J. Open Innov. Technol. Mark. Complex. 2021, 7, 66. [Google Scholar] [CrossRef]
- West, J.; Gallagher, S. Challenges of Open Innovation: The Paradox of Firm Investment in Open-Source Software. R&D Manag. 2006, 36, 319–331. [Google Scholar] [CrossRef] [Green Version]
- Day, G.S. Closing the Marketing Capabilities Gap. J. Mark. 2011, 75, 183–195. [Google Scholar] [CrossRef]
- Teece, D.J. Dynamic Capabilities and Strategic Management: Organizing for Innovation and Growth; Oxford University Press: Oxford, UK, 2009. [Google Scholar]
- Barney, J. Firm Resources and Sustained Competitive Advantage. J. Manag. 1991, 17, 99–120. [Google Scholar] [CrossRef]
- Narasimhan, O.; Rajiv, S.; Dutta, S. Absorptive Capacity in High-Technology Markets: The Competitive Advantage of the Haves. Mark. Sci. 2006, 25, 510–524. [Google Scholar] [CrossRef] [Green Version]
- Lin, Y.; Wu, L.-Y. Exploring the role of dynamic capabilities in firm performance under the resource-based view framework. J. Bus. Res. 2014, 67, 407–413. [Google Scholar] [CrossRef]
- Wu, L.-Y. Applicability of the resource-based and dynamic-capability views under environmental volatility. J. Bus. Res. 2010, 63, 27–31. [Google Scholar] [CrossRef]
- Jackson, N.C. Managing for competency with innovation change in higher education: Examining the pitfalls and pivots of digital transformation. Bus. Horizons 2019, 62, 761–772. [Google Scholar] [CrossRef]
- Mariello, A. The Five Stages of Successful Innovation. MIT Sloan Management Review. 1 April 2007. Available online: https://sloanreview.mit.edu/article/the-five-stages-of-successful-innovation/ (accessed on 30 June 2021).
- Bai, C.; Dallasega, P.; Orzes, G.; Sarkis, J. Industry 4.0 technologies assessment: A sustainability perspective. Int. J. Prod. Econ. 2020, 229, 107776. [Google Scholar] [CrossRef]
- Erevelles, S.; Fukawa, N.; Swayne, L. Big Data consumer analytics and the transformation of marketing. J. Bus. Res. 2016, 69, 897–904. [Google Scholar] [CrossRef]
- Shaner, M.B.; Fenik, A.P.; Noble, C.H.; Lee, K.B. Exploring the need for (extreme) speed: Motivations for and outcomes of discontinuous NPD acceleration. J. Mark. Manag. 2020, 36, 727–761. [Google Scholar] [CrossRef]
- Kumar, N. The power of power in supplier–retailer relationships. Ind. Mark. Manag. 2005, 34, 863–866. [Google Scholar] [CrossRef]
- Flint, D.J. Compressing new product success-to-success cycle time: Deep customer value understanding and idea generation. Ind. Mark. Manag. 2002, 31, 305–315. [Google Scholar] [CrossRef]
- Goldenberg, J.; Mazursky, D.; Solomon, S. Toward Identifying the Inventive Templates of New Products: A Channeled Ideation Approach. J. Mark. Res. 1999, 36, 200–210. [Google Scholar] [CrossRef] [Green Version]
- Keum, D.D.; See, K.E. The Influence of Hierarchy on Idea Generation and Selection in the Innovation Process. Organ. Sci. 2017, 28, 653–669. [Google Scholar] [CrossRef] [Green Version]
- Mainemelis, C. Stealing Fire: Creative Deviance in the Evolution of New Ideas. Acad. Manag. Rev. 2010, 35, 558–578. [Google Scholar]
- Paulus, P.B.; Yang, H.-C. Idea Generation in Groups: A Basis for Creativity in Organizations. Organ. Behav. Hum. Decis. Process. 2000, 82, 76–87. [Google Scholar] [CrossRef]
- Sasser, S.L. Creating passion to engage versus enrage consumer co-creators with agency co-conspirators: Unleashing creativity. J. Consum. Mark. 2008, 25, 183–186. [Google Scholar] [CrossRef]
- Tauqeer, M.A.; Bang, K.E. A novel systematic product ideation model using technology trends. Int. J. Innov. Sci. 2020, 12, 303–321. [Google Scholar] [CrossRef]
- Toubia, O. Idea Generation, Creativity, and Incentives. Mark. Sci. 2006, 25, 411–425. [Google Scholar] [CrossRef]
- Brown, V.; Paulus, P.B. A Simple Dynamic Model of Social Factors in Group Brainstorming. Small Group Res. 1996, 27, 91–114. [Google Scholar] [CrossRef]
- Mainemelis, C.; Ronson, S. Ideas are Born in Fields of Play: Towards a Theory of Play and Creativity in Organizational Settings. Res. Organ. Behav. 2006, 27, 81–131. [Google Scholar] [CrossRef]
- Gandhewar, N.; Sheikh, R. Google Android: An Emerging Software Platform for Mobile Devices. Int. J. Comput. Sci. Eng. 2011, 1, 12–17. [Google Scholar]
- Tamai, T.; Torimitsu, Y. Software Lifetime and Its Evolution Process over Generations. In Proceedings of the Conference on Software Maintenance 1992, Orlando, FL, USA, 9–12 November 1992; IEEE Computer Society Press: Washington, DC, USA; pp. 63–69. [Google Scholar]
- Fink, M. Business and Economics of Linux and Open Source; Prentice Hall Professional Technical Reference: Upper Saddle River, NJ, USA, 2003. [Google Scholar]
- Roberts, J.A.; Hann, I.-H.; Slaughter, S.A. Understanding the Motivations, Participation, and Performance of Open Source Software Developers: A Longitudinal Study of the Apache Projects. Manag. Sci. 2006, 52, 984–999. [Google Scholar] [CrossRef] [Green Version]
- Oh, W.; Jeon, S. Membership Herding and Network Stability in the Open Source Community: The Ising Perspective. Manag. Sci. 2007, 53, 1086–1101. [Google Scholar] [CrossRef]
- von Krogh, G.; von Hippel, E. The Promise of Research on Open Source Software. Manag. Sci. 2006, 52, 975–983. [Google Scholar] [CrossRef] [Green Version]
- von Hippel, E.; von Krogh, G. Open Source Software and the “Private-Collective” Innovation Model: Issues for Organization Science. Organ. Sci. 2003, 14, 209–223. [Google Scholar] [CrossRef] [Green Version]
- Bucklin, L.P.; Sengupta, S. Organizing Successful Co-Marketing Alliances. J. Mark. 1993, 57, 32–46. [Google Scholar] [CrossRef]
- Obradović, T.; Vlačić, B.; Dabić, M. Open innovation in the manufacturing industry: A review and research agenda. Technovation 2021, 102, 102221. [Google Scholar] [CrossRef]
- Alsawafi, A.; Lemke, F.; Yang, Y. The impacts of internal quality management relations on the triple bottom line: A dynamic capability perspective. Int. J. Prod. Econ. 2021, 232, 107927. [Google Scholar] [CrossRef]
- Wang, C.L.; Ahmed, P.K. Dynamic capabilities: A review and research agenda. Int. J. Manag. Rev. 2007, 9, 31–51. [Google Scholar] [CrossRef]
- Cheng, H.K.; Liu, Y.; Tang, Q. The Impact of Network Externalities on the Competition Between Open Source and Proprietary Software. J. Manag. Inf. Syst. 2011, 27, 201–230. [Google Scholar] [CrossRef]
- Bjork, C. Inditex Builds for the Future. The Wall Street Journal. 19 March 2014. Available online: https://www.wsj.com/articles/SB10001424052702303802104579448480022020264 (accessed on 30 June 2021).
- Evans, P.; Wolf, B. Collaboration Rules. (Cover Story). Harv. Bus. Rev. 2005, 83, 96–104. [Google Scholar] [PubMed]
- Fukawa, N.; Zhang, Y. Profit-sharing between an open-source firm and application developers—Maximizing profits from applications and in-application advertisements. Ind. Mark. Manag. 2015, 48, 111–120. [Google Scholar] [CrossRef]
- Butler, M. Android: Changing the Mobile Landscape. IEEE Pervasive Comput. 2010, 10, 4–7. [Google Scholar] [CrossRef]
- Ritter, S.M.; van Baaren, R.B.; Dijksterhuis, A. Creativity: The role of unconscious processes in idea generation and idea selection. Think. Ski. Creat. 2012, 7, 21–27. [Google Scholar] [CrossRef]
- Erevelles, S.; Roundtree, R.; Zinkhan, G.M.; Fukawa, N. The Concept of “Imaginative Intensity” in Advertising. J. Advert. 2008, 37, 144–149. [Google Scholar]
- Coase, R.H. The Nature of the Firm. Economica 1937, 4, 386–405. [Google Scholar] [CrossRef]
- Rindfleisch, A.; Heide, J.B. Transaction Cost Analysis: Past, Present, and Future Applications. J. Mark. 1997, 61, 30–54. [Google Scholar] [CrossRef]
- Wathne, K.H.; Heide, J.B. Opportunism in Interfirm Relationships: Forms, Outcomes, and Solutions. J. Mark. 2000, 64, 36–51. [Google Scholar] [CrossRef]
Publisher’s Note: MDPI stays neutral with regard to jurisdictional claims in published maps and institutional affiliations. |
© 2021 by the authors. Licensee MDPI, Basel, Switzerland. This article is an open access article distributed under the terms and conditions of the Creative Commons Attribution (CC BY) license (https://creativecommons.org/licenses/by/4.0/).





