A Communication Framework for Image Transmission through LPWAN Technology
Abstract
:1. Introduction
2. Related Work
3. Proposed Framework
3.1. Stage I: Processing and Classification
3.2. Stage II: Compressive Sensing
3.3. Stage III: Transmission Bandwidth Increase
3.4. Stage IV: Postprocessing and Reconstruction
3.5. Framework Interconnection
3.5.1. LoRa PHY Modulation
3.5.2. Stage Flow Process
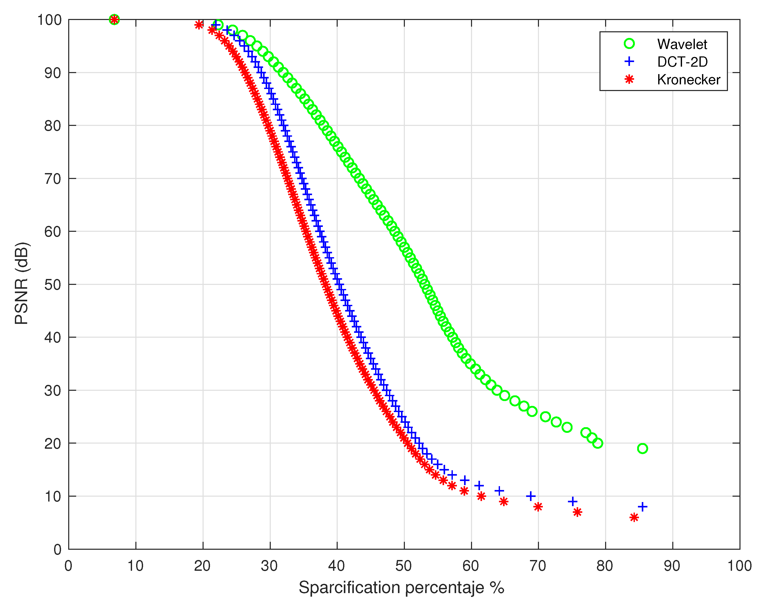
4. Analysis Results
5. Discussion
6. Conclusions
- Finding a way to capture the image directly in the crop is required because the image is placed on a neutral background in the manner given in this article. There are several conditions that must be met while taking a photograph in an uncontrolled environment, such as brightness, shades, angle of incidence of the sun, and more. These factors have an impact on the real image and can lead to representation and classification problems.
- Integrate a complete system capable of taking an image, compressing it, transmitting and receiving, reconstructing the information, and finally displaying it. As a result, the phases must be integrated into the proposed framework, which executes the processes through an autonomous system that performs all of the processes independently.
Author Contributions
Funding
Data Availability Statement
Acknowledgments
Conflicts of Interest
Abbreviations
| IoT | Internet of Things |
| LPWAN | Low-Power Wide-Area Networks |
| CS | Compressive Sensing |
| LTE-M | Long-Term Evolution Machine |
| NB-IoT | Narrow Band-IoT |
| ISM | Industrial, Scientific, and Medical |
| SF | Spreading Factor |
| BW | Bandwidth |
| ToA | Time over the Air |
| SDR | Software-Defined Radio |
| PSNR | Peak Signal-to-Noise Ratio |
| CSMA | Carrier Sense Multiple Access |
| IHT | Iterative Hard Thresholding |
| OMP | Orthogonal Matching Pursuit |
| GPSR | Gradient Projection for Sparse Reconstruction |
| Twist | Two-Step Iterative Shrinkage/Thresholding |
| MIMO | Multiple In Multiple Out |
| SIMO | Single In Multiple Out |
| MSE | Mean Squared Error |
| FFT | Fast Fourier Transform |
Appendix A
- N: Information vector.
- n: Rows/columns of matrix.
- s: Signal.
- S: Vector.
- R: Image dimension.
- k: Dispersion relation.
- f: Linear transformation.
- M: Sampled information.
- S: Resolution vector.
- MSE: Mean Squared Error.
- m,n: Lenght nd width of image.
- I: Intensity of pixels in transmitter node.
- K: Intensity of pixels in receiver node.
- Scss: Chirp spread spectrum signal.
- t: Period.
- BW: Bandwidth.
- : Symbol time.
References
- Xiong, X.; Zheng, K.; Xu, R.; Xiang, W.; Chatzimisios, P. Low power wide area machine-to-machine networks: Key techniques and prototype. IEEE Commun. Mag. 2015, 53, 64–71. [Google Scholar] [CrossRef]
- Petajajarvi, J.; Mikhaylov, K.; Hamalainen, M.; Iinatti, J. Evaluation of LoRa LPWAN technology for remote health and wellbeing monitoring. In Proceedings of the International Symposium on Medical Information and Communication Technology—ISMICT, Worcester, MA, USA, 20–23 March 2016; Volume 2016, pp. 1–5. [Google Scholar] [CrossRef]
- Zanella, A.; Bui, N.; Castellani, A.; Vangelista, L.; Member, S.; Zorzi, M. Internet of Things for Smart Cities. IEEE Internet Things J. 2014, 1, 22–32. [Google Scholar] [CrossRef]
- Kim, D.H.; Park, J.B.; Shin, J.H.; Kim, J.D. Design and implementation of object tracking system based on LoRa. In Proceedings of the 2017 International Conference on Information Networking (ICOIN), Da Nang, Vietnam, 11–13 January 2017; pp. 463–467. [Google Scholar] [CrossRef]
- Augustin, A.; Yi, J.; Clausen, T.; Townsley, W. A Study of LoRa: Long Range & Low Power Networks for the Internet of Things. Sensors 2016, 16, 1466. [Google Scholar] [CrossRef]
- Espinosa, M.; Perez, M.; Zona, T.; Lagrange, X. Radio Access Mechanism for Massive Internet of Things Services over White Spaces. IEEE Access 2021, 9, 120911–120923. [Google Scholar] [CrossRef]
- Delgado-Ferro, F.; Navarro-Ortiz, J.; Chinchilla-Romero, N.; Ramos-Munoz, J.J. A LoRaWAN Architecture for Communications in Areas without Coverage: Design and Pilot Trials. Electronics 2022, 11, 804. [Google Scholar] [CrossRef]
- Pathak, G.; Gutierrez, J.; Rehman, S.U. Security in low powered wide area networks: Opportunities for software defined network-supported solutions. Electronics 2020, 9, 1195. [Google Scholar] [CrossRef]
- Marahatta, A.; Rajbhandari, Y.; Shrestha, A.; Singh, A.; Thapa, A.; Gonzalez-Longatt, F.; Korba, P.; Shin, S. Evaluation of a lora mesh network for smart metering in rural locations. Electronics 2021, 10, 751. [Google Scholar] [CrossRef]
- Almuhaya, M.A.; Jabbar, W.A.; Sulaiman, N.; Abdulmalek, S. A Survey on LoRaWAN Technology: Recent Trends, Opportunities, Simulation Tools and Future Directions. Electronics 2022, 11, 164. [Google Scholar] [CrossRef]
- Ugwuanyi, S.; Paul, G.; Irvine, J. Survey of iot for developing countries: Performance analysis of lorawan and cellular nb-iot networks. Electronics 2021, 10, 2224. [Google Scholar] [CrossRef]
- Sanchez-Iborra, R.; Cano, M.D. State of the art in LP-WAN solutions for industrial IoT services. Sensors 2016, 16, 708. [Google Scholar] [CrossRef]
- Goursaud, C.; Gorce, J.M. Dedicated networks for IoT: PHY/MAC state of the art and challenges. EAI Endorsed Trans. Internet Things 2015, 1, 150597. [Google Scholar] [CrossRef]
- Agencia Nacional del Espectro-Colombia. Resolución ANE 0711 de 2016 Bandas ICM Colombia. Available online: http://www.ane.gov.co2016 (accessed on 25 April 2022).
- Jebril, A.H.; Sali, A.; Ismail, A.; Rasid, M.F.A. Overcoming limitations of LoRa physical layer in image transmission. Sensors 2018, 18, 3257. [Google Scholar] [CrossRef] [PubMed] [Green Version]
- Fan, C.; Ding, Q. A novel wireless visual sensor network protocol based on LoRa modulation. Int. J. Distrib. Sens. Netw. 2018, 14, 155014771876598. [Google Scholar] [CrossRef] [Green Version]
- Georgiou, O.; Raza, U. Low Power Wide Area Network Analysis: Can LoRa Scale? IEEE Wirel. Commun. Lett. 2017, 6, 162–165. [Google Scholar] [CrossRef] [Green Version]
- Pham, C. Enabling and deploying long-range IoT image sensors with LoRa technology. In Proceedings of the 2018 IEEE Middle East and North Africa Communications Conference—MENACOMM 2018, Jounieh, Lebanon, 18–20 April 2018; pp. 1–6. [Google Scholar] [CrossRef]
- Blackstock, M.; Lea, R. IoT interoperability: A hub-based approach. In Proceedings of the 2014 International Conference on the Internet of Things—IOT 2014, Cambridge, MA, USA, 6–8 October 2014; pp. 79–84. [Google Scholar] [CrossRef] [Green Version]
- Centenaro, M.; Vangelista, L.; Zanella, A.; Zorzi, M. Long-Range Communications in Unlicensed Bands: The Rising Stars in the IoT and Smart City Scenarios. IEEE Wirel. Commun. Lett. 2016, 23, 60–67. [Google Scholar] [CrossRef] [Green Version]
- Chaves-Diéguez, D.; Pellitero-Rivero, A.; García-Coego, D.; González-Castao, F.J.; Rodríguez-Hernández, P.S.; Piñeiro-Gómez, Ó.; Gil-Castiñeira, F.; Costa-Montenegro, E. Providing iot services in smart cities through dynamic augmented reality markers. Sensors 2015, 15, 16083–16104. [Google Scholar] [CrossRef] [Green Version]
- Margelis, G.; Piechocki, R.; Kaleshi, D.; Thomas, P. Low Throughput Networks for the IoT: Lessons Learned From Industrial Implementations. In Proceedings of the 2015 IEEE 2nd World Forum on Internet of Things (WF-IoT), Milan, Italy, 14–16 December 2015; Volume 1, pp. 181–186. [Google Scholar] [CrossRef]
- Shahidul Islam, M.; Islam, M.T.; Almutairi, A.F.; Beng, G.K.; Misran, N.; Amin, N. Monitoring of the Human Body Signal through the Internet of Things (IoT) Based LoRa Wireless Network System. Appl. Sci. 2019, 9, 1884. [Google Scholar] [CrossRef] [Green Version]
- Shanmuga Sundaram, J.P.; Du, W.; Zhao, Z. A Survey on LoRa Networking: Research Problems, Current Solutions, and Open Issues. IEEE Commun. Surv. Tutor. 2020, 22, 371–388. [Google Scholar] [CrossRef] [Green Version]
- Chen, Y.; Sambo, Y.A.; Onireti, O.; Imran, M.A. A Survey on LPWAN-5G Integration: Main Challenges and Potential Solutions. IEEE Access 2022, 10, 32132–32149. [Google Scholar] [CrossRef]
- Ayoub, W.; Samhat, A.E.; Nouvel, F.; Mroue, M.; Prévotet, J.C. Internet of Mobile Things: Overview of LoRaWAN, DASH7, and NB-IoT in LPWANs Standards and Supported Mobility. IEEE Commun. Surv. Tutor. 2019, 21, 1561–1581. [Google Scholar] [CrossRef] [Green Version]
- Chaudhari, B.S.; Zennaro, M.; Borkar, S. LPWAN Technologies: Emerging Application Characteristics, Requirements, and Design Considerations. Future Internet 2020, 12, 46. [Google Scholar] [CrossRef] [Green Version]
- Buurman, B.; Kamruzzaman, J.; Karmakar, G.; Islam, S. Low-Power Wide-Area Networks: Design Goals, Architecture, Suitability to Use Cases and Research Challenges. IEEE Access 2020, 8, 17179–17220. [Google Scholar] [CrossRef]
- LoRaWAN Coverage Map. Available online: https://lora-alliance.org (accessed on 18 November 2021).
- Stan, V.A.; Timnea, R.S.; Gheorghiu, R.A. Overview of high reliable radio data infrastructures for public automation applications. In Proceedings of the ECAI 2016—International Conference—8th Edition Electronics, Computers and Artificial Intelligence, Ploiesti, Romania, 30 June–2 July 2016; pp. 978–981. [Google Scholar] [CrossRef]
- Trüb, R.; Forno, R.D.; Gsell, T.; Beutel, J.; Thiele, L. A testbed for long-range LoRa communication. In Proceedings of the 2019 18th ACM/IEEE International Conference on Information Processing in Sensor Networks (IPSN), Montreal, QC, Canada, 16–18 April 2019; pp. 342–343. [Google Scholar] [CrossRef] [Green Version]
- Kim, S.; Lee, H.; Jeon, S. An adaptive spreading factor selection scheme for a single channel lora modem. Sensors 2020, 20, 1008. [Google Scholar] [CrossRef] [PubMed] [Green Version]
- Singh, R.K.; Puluckul, P.P.; Berkvens, R.; Weyn, M. Energy consumption analysis of LPWAN technologies and lifetime estimation for IoT application. Sensors 2020, 20, 4794. [Google Scholar] [CrossRef]
- Dos Anjos, J.C.; Gross, J.L.; Matteussi, K.J.; González, G.V.; Leithardt, V.R.; Geyer, C.F. An algorithm to minimize energy consumption and elapsed time for iot workloads in a hybrid architecture. Sensors 2021, 21, 2914. [Google Scholar] [CrossRef]
- Maudet, S.; Andrieux, G.; Chevillon, R.; Diouris, J.F. Refined node energy consumption modeling in a LoRaWAN network. Sensors 2021, 21, 6398. [Google Scholar] [CrossRef]
- Ould, S.; Bennett, N.S. Energy Performance Analysis and Modelling of LoRa Prototyping Boards. Sensors 2021, 21, 7992. [Google Scholar] [CrossRef]
- Sagir, S.; Kaya, I.; Sisman, C.; Baltaci, Y.; Unal, S. Evaluation of Low-Power Long Distance Radio Communication in Urban Areas: LoRa and Impact of Spreading Factor. In Proceedings of the 2019 7th International Conference on Digital Information Processing and Communications—ICDIPC 2019, Trabzon, Turkey, 2–4 May 2019; pp. 68–71. [Google Scholar] [CrossRef]
- Liao, C.H.; Zhu, G.; Kuwabara, D.; Suzuki, M.; Morikawa, H. Multi-Hop LoRa Networks Enabled by Concurrent Transmission. IEEE Access 2017, 5, 21430–21446. [Google Scholar] [CrossRef]
- Hauser, V.; Hegr, T. Proposal of Adaptative Data Rate Algorithm for LoRaWAN-based Infraestructure. In Proceedings of the IEEE 5th International Conference on Future Internet of Things and Cloud, Prague, Czech Republic, 21–23 August 2017; pp. 1–6. [Google Scholar] [CrossRef]
- Marais, J.M.; Member, S.; Malekian, R.; Member, S.; Low-power, A. Evaluating the LoRaWAN Protocol Using a Permanent Outdoor Testbed. IEEE Sens. J. 2019, 19, 4726–4733. [Google Scholar] [CrossRef]
- Kufakunesu, R.; Hancke, G.P.; Abu-Mahfouz, A.M. A survey on adaptive data rate optimization in lorawan: Recent solutions and major challenges. Sensors 2020, 20, 5044. [Google Scholar] [CrossRef]
- Hsiao, S.J. Employing a Wireless Sensing Network for AIoT Based on a 5G Approach. Electronics 2022, 11, 827. [Google Scholar] [CrossRef]
- Kansal, L.; Berra, S.; Mounir, M.; Miglani, R.; Dinis, R.; Rabie, K. Performance Analysis of Massive MIMO-OFDM System Incorporated with Various Transforms for Image Communication in 5G Systems. Electronics 2022, 11, 621. [Google Scholar] [CrossRef]
- Petrić, T.; Goessens, M.; Nuaymi, L.; Toutain, L.; Pelov, A. Measurements, Performance and Analysis of LoRa FABIAN, a real-world implementation of LPWAN. In Proceedings of the Personal, Indoor, and Mobile Radio Communications (PIMRC), Valencia, Spain, 4–7 September 2016; pp. 104–110. [Google Scholar] [CrossRef] [Green Version]
- Bharadwaj, A.S.; Rego, R.; Chowdhury, A. IoT based solid waste management system: A conceptual approach with an architectural solution as a smart city application. In Proceedings of the 2016 IEEE Annual India Conference (INDICON), Bangalore, India, 16–18 December 2016; pp. 1–6. [Google Scholar] [CrossRef]
- Bor, M.; Vidler, J.; Roedig, U. LoRa for the Internet of Things. In Proceedings of the 2016 International Conference on Embedded Wireless Systems and Networks, Graz, Austria, 15–17 February 2016; pp. 361–366. [Google Scholar]
- Haghighi, M.; Qin, Z.; Carboni, D.; Adeel, U.; Shi, F.; McCann, J.A. Game theoretic and auction-based algorithms towards opportunistic communications in LPWA LoRa networks. In Proceedings of the 2016 IEEE 3rd World Forum on Internet of Things, WF-IoT 2016, Reston, VA, USA, 12–14 December 2016; pp. 735–740. [Google Scholar] [CrossRef]
- Semtech. LoRa Modulation Basics. 2015. Available online: http://www.semtech.com/images/datasheet/an1200.22.pdf (accessed on 25 April 2022).
- Mroue, H.; Nasser, A.; Parrein, B.; Hamrioui, S.; Rouyer, G. Analytical and Simulation study for LoRa Modulation. In Proceedings of the 2018 25th International Conference on Telecommunications (ICT), St. Malo, France, 26–28 June 2018; pp. 655–659. [Google Scholar] [CrossRef]
- Elshabrawy, T.; Robert, J. Interleaved chirp spreading LoRa-based modulation. IEEE Internet Things J. 2019, 6, 3855–3863. [Google Scholar] [CrossRef]
- Abdelfadeel, K.Q.; Cionca, V.; Pesch, D. A Fair Adaptive Data Rate Algorithm for LoRaWAN. In Proceedings of the EWSN 2018, Madrid, Spain, 14–16 February 2018; pp. 1–2. [Google Scholar]
- Iglesias-rivera, A.; Van Glabbeek, R.; Guerra, E.O.; Braeken, A.; Steenhaut, K.; Cruz-enriquez, H. Time-Slotted Spreading Factor Hopping for Mitigating Blind Spots in LoRa-Based Networks. Sensors 2022, 22, 2253. [Google Scholar] [CrossRef]
- Liang, R.; Zhao, L.; Wang, P. Performance evaluations of lora wireless communication in building environments. Sensors 2020, 20, 3828. [Google Scholar] [CrossRef] [PubMed]
- Chinchilla-Romero, N.; Navarro-Ortiz, J.; Muñoz, P.; Ameigeiras, P. Collision avoidance resource allocation for LoRaWAN. Sensors 2021, 21, 1218. [Google Scholar] [CrossRef]
- Guo, Q.; Yang, F.; Wei, J. Experimental evaluation of the packet reception performance of LoRa. Sensors 2021, 21, 1071. [Google Scholar] [CrossRef]
- Pham, C.; Ehsan, M. Dense deployment of LoRa networks: Expectations and limits of channel activity detection and capture effect for radio channel access. Sensors 2021, 21, 825. [Google Scholar] [CrossRef]
- Spadaccino, P.; Crinó, F.G.; Cuomo, F. LoRaWAN Behaviour Analysis through Dataset Traffic Investigation. Sensors 2022, 22, 2470. [Google Scholar] [CrossRef]
- Mullick, A.; Abd Rahman, A.H.; Dahnil, D.P.; Noraini, N.M.R. Enhancing data transmission in duct air quality monitoring using mesh network strategy for LoRa. PeerJ Comput. Sci. 2022, 8, e939. [Google Scholar] [CrossRef]
- Onumanyi, A.J.; Abu-Mahfouz, A.M.; Hancke, G.P. Low power wide area network, cognitive radio and the internet of things: Potentials for integration. Sensors 2020, 20, 6837. [Google Scholar] [CrossRef]
- Heeger, D.; Garigan, M.; Tsiropoulou, E.E.; Plusquellic, J. Secure LoRa firmware update with adaptive data rate techniques. Sensors 2021, 21, 2384. [Google Scholar] [CrossRef] [PubMed]
- Gutiérrez-Gómez, A.; Rangel, V.; Edwards, R.M.; Davis, J.G.; Aquino, R.; López-De la Cruz, J.; Mendoza-Cano, O.; Lopez-Guerrero, M.; Geng, Y. A propagation study of LoRA P2P links for IoT applications: The case of near-surface measurements over semitropical rivers. Sensors 2021, 21, 6872. [Google Scholar] [CrossRef]
- Dos Reis, B.R.; Easton, Z.; White, R.R.; Fuka, D. A LoRa sensor network for monitoring pastured livestock location and activity. Transl. Anim. Sci. 2021, 5, txab010. [Google Scholar] [CrossRef] [PubMed]
- Van Truong, T.; Nayyar, A.; Masud, M. A novel air quality monitoring and improvement system based on wireless sensor and actuator networks using LoRa communication. PeerJ Comput. Sci. 2021, 7, e711. [Google Scholar] [CrossRef] [PubMed]
- González, E.; Casanova-Chafer, J.; Romero, A.; Vilanova, X.; Mitrovics, J.; Llobet, E. Lora sensor network development for air quality monitoring or detecting gas leakage events. Sensors 2020, 20, 6225. [Google Scholar] [CrossRef] [PubMed]
- Mateos Matilla, D.; Lozano Murciego, Á.; Jiménez-Bravo, D.M.; Sales Mendes, A.; Leithardt, V.R. Low-cost Edge Computing devices and novel user interfaces for monitoring pivot irrigation systems based on Internet of Things and LoRaWAN technologies. Biosyst. Eng. 2021, in press. [Google Scholar] [CrossRef]
- Tozer, T.C.; Withers, D.J. Satellite communications. IEE Proc. Commun. Radar Signal Process. 2022, 133, 317–318. [Google Scholar] [CrossRef]
- Dimitrievski, A.; Filiposka, S.; Melero, F.J.; Zdravevski, E.; Lameski, P.; Pires, I.M.; Garcia, N.M.; Lousado, J.P.; Trajkovik, V. Rural healthcare IoT architecture based on low-energy LoRa. Int. J. Environ. Res. Public Health 2021, 18, 7660. [Google Scholar] [CrossRef]
- Froiz-Míguez, I.; Lopez-Iturri, P.; Fraga-Lamas, P.; Celaya-Echarri, M.; Blanco-Novoa, Ó.; Azpilicueta, L.; Falcone, F.; Fernández-Caramés, T.M. Design, implementation, and empirical validation of an IoT smart irrigation system for fog computing applications based on Lora and Lorawan sensor nodes. Sensors 2020, 20, 6865. [Google Scholar] [CrossRef]
- Behjati, M.; Mohd Noh, A.B.; Alobaidy, H.A.; Zulkifley, M.A.; Nordin, R.; Abdullah, N.F. Lora communications as an enabler for internet of drones towards large-scale livestock monitoring in rural farms. Sensors 2021, 21, 5044. [Google Scholar] [CrossRef] [PubMed]
- Tseng, K.H.; Chung, M.Y.; Chen, L.H.; Chang, P.Y. Green smart campus monitoring and detection using LoRa. Sensors 2021, 21, 6582. [Google Scholar] [CrossRef] [PubMed]
- Cruz, N.; Cota, N.; Tremoceiro, J. Lorawan and urban waste management—A trial. Sensors 2021, 21, 2142. [Google Scholar] [CrossRef] [PubMed]
- Asiain, D.; Antolín, D. Lora-based traffic flow detection for smart-road. Sensors 2021, 21, 338. [Google Scholar] [CrossRef]
- Pham, C. Low-cost, low-power and long-range image sensor for visual surveillance. In Proceedings of the Annual International Conference on Mobile Computing and Networking, MOBICOM, New York, NY, USA, 3–7 October 2016; pp. 35–40. [Google Scholar] [CrossRef]
- Makkaoui, L.; Lecuire, V.; Moureaux, J.M. Fast zonal DCT-based image compression for wireless camera sensor networks. In Proceedings of the 2010 2nd International Conference on Image Processing Theory, Tools and Applications—IPTA 2010, Paris, France, 7–10 July 2010; pp. 126–129. [Google Scholar] [CrossRef] [Green Version]
- Duran-Faundez, C.; Lecuire, V. Error resilient image communication with chaotic pixel interleaving for wireless camera sensors. In Proceedings of the 2008 Workshop on Real-World Wireless Sensor Networks—REALWSN 2008, Glasgow, UK, 1 April 2008; pp. 21–25. [Google Scholar] [CrossRef] [Green Version]
- Ji, M.; Yoon, J.; Choo, J.; Jang, M.; Smith, A. LoRa-based Visual Monitoring Scheme for Agriculture IoT. In Proceedings of the SAS 2019—2019 IEEE Sensors Applications Symposium, Sophia Antipolis, France, 11–13 March 2019; pp. 1–6. [Google Scholar] [CrossRef]
- Staikopoulos, A.; Kanakaris, V.; Papakostas, G.A. Image Transmission via LoRa Networks—A Survey. In Proceedings of the 2020 IEEE 5th International Conference on Image, Vision and Computing—ICIVC 2020, Beijing, China, 10–12 July 2020; pp. 150–154. [Google Scholar] [CrossRef]
- Kirichek, R.; Pham, V.D.; Kolechkin, A.; Al-Bahri, M.; Paramonov, A. Transfer of Multimedia Data via LoRa; Lecture Notes in Computer Science (including subseries Lecture Notes in Artificial Intelligence and Lecture Notes in Bioinformatics); Springer: Cham, Switzerland, 2017; pp. 708–720. [Google Scholar] [CrossRef]
- Chen, T.; Eager, D.; Makaroff, D. Efficient image transmission using lora technology in agricultural monitoring iot systems. In Proceedings of the 2019 International Conference on Internet of Things (iThings) and IEEE Green Computing and Communications (GreenCom) and IEEE Cyber, Physical and Social Computing (CPSCom) and IEEE Smart Data (SmartData), Atlanta, GA, USA, 14–17 July 2019; pp. 937–944. [Google Scholar] [CrossRef]
- Wei, Z.; Yang, L.; Wang, Z.; Zhang, B.; Lin, Y.; Wu, Y. Wide Angle SAR Subaperture Imaging Based on Modified Compressive Sensing. IEEE Sens. J. 2018, 18, 5439–5444. [Google Scholar] [CrossRef]
- Juliando, D.E.; Putra, R.G.; Sartika, D.A.; Yudha, R.G. Study of Lora Module Ra-02 for Long Range, Low Power, Low Rate Picture Transfer Applications. J. Phys. Conf. Ser. 2021, 1845, 012054. [Google Scholar] [CrossRef]
- Marin, J.; Betancur, L.; Arguello, H. Modelo de Muestreo Comprimido Multiespectral para Radio Cognitiva Compressed Sensing Multiespectral Model for Cognitive Radio Networks. Ingeniare: Revista Chilena de Ingenieria. 2018. Available online: https://www.researchgate.net/profile/Jeison-Marin-Alfonso/publication/325838887_Modelo_de_muestreo_comprimido_multiespectral_para_radio_cognitiva/links/5e4c0fe6a6fdccd965b0a0eb/Modelo-de-muestreo-comprimido-multiespectral-para-radio-cognitiva.pdf (accessed on 24 April 2022).
- Temim, M.A.B.; Ferre, G.; Laporte-Fauret, B.; Dallet, D.; Minger, B.; Fuche, L. An Enhanced Receiver to Decode Superposed LoRa-like Signals. IEEE Internet Things J. 2020, 7, 7419–7431. [Google Scholar] [CrossRef]
- Romero, D.; Kim, S.J.; Giannakis, G.B. Online spectrum cartography via quantized measurements. In Proceedings of the 2015 49th Annual Conference on Information Sciences and Systems—CISS 2015, Baltimore, MD, USA, 18–20 March 2015; pp. 2–5. [Google Scholar] [CrossRef]
- Wu, T.; Ruland, C. An Improved Authenticated Compressive Sensing Imaging. In Proceedings of the 2018 IEEE 12th International Conference on Semantic Computing (ICSC), Laguna Hills, CA, USA, 31 January–2 February 2018; pp. 164–171. [Google Scholar] [CrossRef]
- Salomon, D. Data Compression The Complete Reference FourthEdition. J. Chem. Inf. Model. 2007, 53, 1689–1699. [Google Scholar] [CrossRef]
- Walter, D. Fractal and Wavelet Image Compression of Astronomical Images. 2003. Available online: https://www.spiedigitallibrary.org/ebooks/ (accessed on 28 May 2019).
- Donoho, D.L. Compressed sensing. IEEE Trans. Inf. Theory 2006, 52, 1289–1306. [Google Scholar] [CrossRef]
- Qian, P.; Guo, Y.; Li, N.; Sun, B. Multiple target localization and power estimation in wireless sensor networks using compressive sensing. In Proceedings of the 2015 International Conference on Wireless Communications and Signal Processing—WCSP 2015, Nanjing, China, 15–17 October 2015; pp. 1–5. [Google Scholar] [CrossRef]
- Candes, E.; Wakin, M. An Introduction To Compressive Sampling. IEEE Signal Process. Mag. 2008, 25, 21–30. [Google Scholar] [CrossRef]
- Jayawickrama, B.A.; Dutkiewicz, E.; Fang, G.; Oppermann, I.; Mueck, M. Downlink power allocation algorithm for licence-exempt LTE systems using Kriging and Compressive Sensing based spectrum cartography. In Proceedings of the GLOBECOM—IEEE Global Telecommunications Conference, Atlanta, GA, USA, 9–13 December 2013; pp. 3766–3771. [Google Scholar] [CrossRef]
- Naghsh, N.; Ghorbani, A.; Amindavar, H. Compressive sensing for microwave breast cancer imaging. IET Signal Process. 2018, 12, 242–246. [Google Scholar] [CrossRef]
- Marín, A.J.; Martinez, T.J.I.; Betancur, L.; Arguello, H. Compressive Multispectral Model for Spectrum Sensing in Cognitive Radio Networks; IEEE: Kos, Greece, 2017; pp. 2640–2644. ISBN 9780992862671. [Google Scholar]
- Ramdani, S.; Basari. Compressive sensing approach for microwave imaging application. In Proceedings of the 2018 International Conference on Signals and Systems—ICSigSys 2018, Bali, Indonesia, 1–3 May 2018; pp. 197–200. [Google Scholar] [CrossRef]
- Saupe, D.; Hamzaoui, R.; Hartenstein, H. Fractal Image Compression An Introductory Overview. 2006, p. 66. Available online: https://karczmarczuk.users.greyc.fr/matrs/Dess/RADI/Refs/SaHaHa96a.pdf (accessed on 24 April 2022).
- Kim, S.J.; Dall’Anese, E.; Giannakis, G.B. Cooperative Spectrum Sensing for Cognitive Radios Using Kriged Kalman Filtering. IEEE J. Sel. Top. Signal Process. 2011, 5, 24–36. [Google Scholar] [CrossRef]
- Kim, S.j.; Jain, N.; Giannakis, G.B.; Forero, P.A. Joint Link Learning and Cognitive Radio Sensing. In Proceedings of the 2011 Conference Record of the Forty Fifth Asilomar Conference on Signals, Systems and Computers (ASILOMAR), Pacific Grove, CA, USA, 6–9 November 2011; pp. 1415–1419. [Google Scholar]
- Marini, R.; Mikhaylov, K.; Pasolini, G.; Buratti, C. Lorawansim: A flexible simulator for lorawan networks. Sensors 2021, 21, 695. [Google Scholar] [CrossRef] [PubMed]
- Bankov, D.; Khorov, E.; Lyakhov, A. On the Limits of LoRaWAN Channel Access. In Proceedings of the 2016 International Conference on Engineering and Telecommunication, Moscow, Russia, 29–30 November 2016; pp. 10–14. [Google Scholar] [CrossRef]
- Ali, A.; Shah, G.A.; Farooq, M.O.; Ghani, U. Technologies and challenges in developing Machine-to-Machine applications: A survey. J. Netw. Comput. Appl. 2017, 83, 124–139. [Google Scholar] [CrossRef]
- Raza, U.; Kulkarni, P.; Sooriyabandara, M. Low Power Wide Area Networks: An Overview. IEEE Commun. Surv. Tutor. 2017, 19, 855–873. [Google Scholar] [CrossRef] [Green Version]
- Feng, C.; Valaee, S.; Tan, Z. Multiple target localization using compressive sensing. In Proceedings of the GLOBECOM—IEEE Global Telecommunications Conference, Honolulu, HI, USA, 30 November–4 December 2009. [Google Scholar] [CrossRef]
- Tropp, J.a.; Gilbert, A.C. Via Orthogonal Matching Pursuit. IEEE Trans. Inf. Theory 2007, 53, 4655–4666. [Google Scholar] [CrossRef] [Green Version]
- Jayawickrama, B.A.; Dutkiewicz, E.; Oppermann, I.; Fang, G.; Ding, J. Improved performance of spectrum cartography based on compressive sensing in cognitive radio networks. In Proceedings of the 2013 IEEE International Conference on Communications (ICC), Budapest, Hungary, 9–13 June 2013; pp. 5657–5661. [Google Scholar] [CrossRef]
- Jamali-Rad, H.; Ramezani, H.; Leus, G. Sparse multi-target localization using cooperative access points. In Proceedings of the IEEE Sensor Array and Multichannel Signal Processing Workshop, Hoboken, NJ, USA, 17–20 June 2012; pp. 353–356. [Google Scholar] [CrossRef]
- Krishnan, B.S.; Vaze, R.; Manjunath, D. On white-space detection, localization and coverage. In Proceedings of the 2014 20th National Conference on Communications—NCC 2014, Kanpur, Uttar Pradesh, India, 28 February–2 March 2014. [Google Scholar] [CrossRef]
- Thomos, N.; Boulgouris, N.V.; Strintzis, M.G. Optimized transmission of JPEG2000 streams over wireless channels. IEEE Trans. Image Process. 2006, 15, 54–67. [Google Scholar] [CrossRef] [Green Version]
- Li, L.; Ren, J.; Zhu, Q. On the Application of LoRa LPWAN Technology in Sailing Monitoring System. In Proceedings of the 2017 13th Annual Conference on Wireless On-demand Network Systems and Services (WONS), Jackson, WY, USA, 21–24 February 2017; pp. 77–80. [Google Scholar] [CrossRef]










| Reference | Method | Transmission Time (One Image) (Min) | Packets Number | Image Compression Method |
|---|---|---|---|---|
| Pham, 2016 [73] | Image compression Discrete Cosine Transform | - | 8–10 | JPEG |
| Kirichek et al., 2017 [78] | Fragmentation data | 6 | 700 | JPEG/JPEG2000 |
| Jebril et al., 2018 [15] | Data encrypted hexadecimal | 1.1 | 314 | JPEG |
| Pham, 2018 [18] | CSMA (avoid collisions) | - | 5 | JPEG |
| Fan and Ding, 2018 [16] | Multiple out single in | - | - | - |
| Chen et al., 2019 [79] | MPLR protocol Tx/Rx | 0.3 | - | - |
| Ji et al., 2019 [76] | Image processing (Only transmits data with change) | - | - | - |
| Wei et al., 2020 [80] | 1 | 85 | JPEG | |
| Juliando et al., 2021 [81] | - | 858 | - | - |
Publisher’s Note: MDPI stays neutral with regard to jurisdictional claims in published maps and institutional affiliations. |
© 2022 by the authors. Licensee MDPI, Basel, Switzerland. This article is an open access article distributed under the terms and conditions of the Creative Commons Attribution (CC BY) license (https://creativecommons.org/licenses/by/4.0/).
Share and Cite
Chaparro B., F.; Pérez, M.; Mendez, D. A Communication Framework for Image Transmission through LPWAN Technology. Electronics 2022, 11, 1764. https://doi.org/10.3390/electronics11111764
Chaparro B. F, Pérez M, Mendez D. A Communication Framework for Image Transmission through LPWAN Technology. Electronics. 2022; 11(11):1764. https://doi.org/10.3390/electronics11111764
Chicago/Turabian StyleChaparro B., Fabián, Manuel Pérez, and Diego Mendez. 2022. "A Communication Framework for Image Transmission through LPWAN Technology" Electronics 11, no. 11: 1764. https://doi.org/10.3390/electronics11111764
APA StyleChaparro B., F., Pérez, M., & Mendez, D. (2022). A Communication Framework for Image Transmission through LPWAN Technology. Electronics, 11(11), 1764. https://doi.org/10.3390/electronics11111764

