Abstract
In the cosmetics industry, various natural complex mixtures such as botanical extracts and essential oils are used. In addition, finished consumer products may contain a number of constituents of natural origin but many products are derived from organic synthesis too. Hence, finding skin sensitizers within this myriad of chemicals is an arduous task. Nowadays, methods validated by European dedicated instances to evaluate the allergenicity of chemicals are incapable of predicting the sensitization potential of complex mixtures, although research has progressed a lot in this direction recently. In this context, precisely identifying the culprit(s) responsible for skin sensitization in these mixtures is essential for risk assessment. This review is a short summary of approaches that identify allergens in chemical mixtures such as bioassay-guided chemical fractionation, structure–activity relationship studies, and recent methods allowing identification of reactive intermediates in natural extracts exposed to air oxidation. It is shown that substantial progress has been made, although the identification of sensitizers in complex mixtures continues to be puzzling.
1. Introduction
Allergic contact dermatitis (ACD) is an everyday occupational and environmental issue. It is a delayed hypersensitivity reaction produced by an extensive range of reactive chemicals or allergens—either natural or synthetic—after recurrent contact with the skin. It is the most frequent expression of immunotoxicity in humans. Prevalence is increasing worldwide and has become a flagrant menace to public health. Social and regulatory pressures have strengthened within the European Union legislation so that today, exposure to chemicals and the risk of skin sensitization is an indispensable regulatory issue for the industry. It has thus become fundamental to predict the sensitization potential of chemicals before their use in consumer products to perform risk assessment.
In order to assess the skin sensitization potential of chemicals, non-animal assays have been developed focusing on the first three main events of the adverse outcome pathway (AOP) defined for the sensitization phase: Protein binding, keratinocytes, and dendritic cells activation [1,2,3]. Among others, the direct peptide reactivity assay (DPRA) addressing protein binding, the KeratinoSensTM focusing on keratinocytes activation, and the human cell line activation test (h-CLAT) concentrating on dendritic cell activation, have been approved by the Organization for Economic Co-operation and Development (OECD) for testing health effects of chemicals [4,5,6]. However, these assays were developed to test pure substances. The fragrance and cosmetics industry use naturally derived complex mixtures such as essential oils and botanical extracts, some of them reported as being responsible for skin allergies [7]. REACH and EU regulations require not only pure substances to be evaluated and registered but also mixtures extracted from natural sources. Moreover, since most perfumes contain mixtures of fragrance ingredients, many of which have a skin sensitizing capacity, consumers are exposed to mixtures of allergens when they use products that contain perfume.
Thus, it is now important to find methods able to evaluate the sensitizing potential of mixtures. This is a problematic task in existing methods. The in vivo local lymph node assay (LLNA), assessing sensitization to chemicals in mice has been used for assessment of some essential oils. It has generally been concluded that the potency of the essential oil does not differ from that of its main components [8]. DPRA-evaluated chemical reactivity of mixtures is a very preliminary approach, where combinations of fragrance aldehydes hydroxycitronellal-citral and citral-cinnamaldehyde were studied. The reactivity towards DPRA peptides was compared with that of the single constituents. The chemical described as the most potent sensitizer was leading the reactivity in the mixtures. Consequently, it was hypothesized that DPRA would estimate the reactivity of the mixture similar to that of the stronger sensitizer component [9]. KeratinoSensTM was attempted as an in vitro assay for plant extracts [10]. As proof of concept for testing botanical extracts, they were artificially spiked with citral, cinnamaldehyde, and isoeugenol at different doses. The extracts were negative in the assay but positive when spiked with the sensitizers. Recently, combining KeratinoSensTM with h-CLAT has been studied by comparing the detection limits in both assays of 146 skin sensitizers present in very low concentrations in botanical extracts with local lymph node assay (LLNA) values of EC3 [11]. More innovative is the study performed to identify skin sensitizers in henna products using the GARDTM skin assay. The Genomic Allergen Rapid Detection (GARD) platform is a cell-based assay that uses the innate recognition of xenobiotics by dendritic cells, measured by monitoring genomic biomarkers [12]. In the context of henna-based hair dye products, GARDTM skin has been further combined with validated tests such as the micro-direct peptide reactivity assay, the HaCaT keratinocytes-associated IL-18 assay, and the U937 cell line activation test (USENS) [13]. In general, assessed end points increased in henna products when compared to hair dye constituents tested alone. Also, we reported that existence of fragrance compounds together in a consumer product leads to increased sensitization potency (cocktail effect due to the mixture). We studied the influence of mixing fragrance allergens on the sensitization process to individual compounds, and found that allergen mixtures enhance both induction and elicitation of ACD [14]. We carried out similar studies with atranol and chloroatranol, key allergens of oak moss absolute, showing that the mixture in the natural extract was more potent at both sensitization and challenge than atranol and chloroatranol alone [15]. Finally, the ability of the SENS-IS assay, which uses an EpiSkinTM large model of 3D reconstructed human epidermis to detect such mixture effects, was evaluated very recently showing that it is efficient at detecting skin sensitizing hazards in complex mixtures and final products [16].
Efforts continue to be done, but hazard identification continues to be crucial for risk assessment purposes. An essential step to prevent ACD is to identify the nature of chemicals responsible for skin allergy in the consumer and to build initiatives regulating exposure in a way that skin sensitization does not occur. This manuscript reviews methodologies to identify skin sensitizers in mixtures, such as bioassay-guided chemical fractionation (BFG), structure–activity relationship studies (SARs), and methods based on chemical reactivity identifying allergens in natural extracts exposed to air oxidation. BFG–SARs studies presented here are based on our own experience in the laboratory. The second part of the manuscript concerning the identification of allergens in air-oxidized mixtures is essentially based on a literature review.
2. Bioassay-Guided Fractionation (BGF)—Combination with SARs
BGF is often used to identify bioactive compounds [17]. It is based on the isolation of a chemical by a step-by-step extraction of the natural extract components using physicochemical properties, and on the evaluation of the biological activity followed by rounds of separation and testing. BFG is applied when a given crude prepared from a natural material is thought to be active in a specific in vitro assay. The aim is to identify the culprits for the in vitro activity. After fractionating the crude extract using chromatographic techniques (i.e. column chromatography and high-performance liquid chromatography) fractions are evaluated in the in vitro or in vivo assay. These steps are reiterated with active fractions until pure active compounds are obtained.
BGF has also been applied to perfume mixtures giving ACD symptoms in order to find what is causing the skin sensitivity declared by the patient in that particular perfume. Ethanol of the commercial product is evaporated, and the concentrate is chemically fractionated. Fractions are evaluated on the patient by patch testing and/or by the repeated open application test (ROAT). Fractions giving a positive reaction are re-fractionated, and the new ones obtained are evaluated again on the patient. This is reiterated until a positive fraction containing one or two single compounds easily identified by spectroscopic techniques is obtained (Figure 1a).
Figure 1.
Identification of allergens in mixtures. (a) Bioassay-guided fractionation (BGF). (b) BFG and structure–activity relationship analysis (SARs).
In a clinical case where a 44-year-old woman developed ACD to her eau de toilette, we identified the offending allergen by BGF [18]. She presented at the dermatological clinic with an axillary rash after using a perfumed deodorant. Using the eau de toilette of the same brand she developed neck and trunk rash. After patch testing, she was positive to the deodorant and the eau de toilette, but negative to fragrance mix I (FMI), the diagnostic tool dermatologists employ together with fragrance mix II (FMII) to elucidate fragrance allergy cases.
The concentrate of the eau de toilette obtained after evaporation was fractionated by column chromatography on silica gel giving three fractions tested on the patient in a ROAT. One fraction was positive and was additionally chemically fractionated to give four subfractions tested on the patient. One subfraction was positive which contained coumarin and ethyl vanillin. The patient tested negative to ethyl vanillin but positive to coumarin after two days of application. Coumarin was thus confirmed as the offending allergen.
The case of essential oils is much more complicated as they have a multitude of constituents. Analytical surveys can be carried out. This is especially convenient when patients also react to individual chemicals. Analytical surveys can display the presence of such chemicals in the oils. Gas chromatography–mass spectrometry (GC-MS) is the most useful analytical tool as essential oils are mixtures of volatile odorous compounds. A very complete investigation by GC-MS has been conducted on essential oils used by aroma therapists with ACD [19]. For a patient sensitized from topical application of tea tree oil for therapeutic reasons [20], GC-MS analysis identified the presence of 1,8-cineole, and the patient tested positive to this compound.
However, things are not that easy. The need to complement BGF with SARs when testing for ACD became evident because of the difficulty in obtaining refined fractions. SARs fundamentals are that the mode of interaction of a chemical with a defined system is defined by the molecular structure. The biological activity of a compound is thus a function of its structural–physicochemical properties.
The first step in skin sensitization to a chemical is the formation of a covalent bond between the allergen after penetrating the epidermis and skin proteins to form an immunogenic complex. This occurs through nucleophile–electrophile mechanisms. Many allergens contain an electrophilic functional group reacting with nucleophilic amino acids in their chemical structure [21]. This can also happen in some cases through radical mechanisms [22]. Therefore, if a chemical is able to react with a protein, then it has the potential to be a contact allergen. Today there is considerable knowledge on the chemical functions related to skin sensitization. This knowledge has been the basis for the establishment of chemical rules, the so-called “structural alerts”. A structural alert is a total or partial chemical structure known to present a risk. The presence of a structural alert in a molecule is a sign that it could potentially modify skin proteins and thus act as a skin sensitizer. In our laboratory we have developed an approach to identify fragrance sensitizers present in mixtures based on the combination of BGF, chemical analysis, and SARs. The mixture is chemically fractionated, and the resulting fractions are tested on the patient(s) to look for an allergic reaction to the mixture. The composition of positive fractions is analyzed (GC-MS, LC-MS). From the constituents detected, a SARs analysis selects molecules with a suspected sensitizing potential due to the presence of structural alerts. These molecules are then directly tested on the patient(s) for the identification of the sensitizer(s) (Figure 1b). This approach avoids iterative fractionation/patient testing sessions that are time consuming and require considerable effort by the patients. It should be noted that the single presence of a structural alert is not a guarantee of sensitization potential and thus this method must be performed to the end in order to confirm the allergenicity of the compound.
2.1. An Eau De Toilette
BGF, chemical analysis, and SARs were applied to identify allergens in an eau de toilette fragrance that were not included in FMI/FMII [23]. The clinical case was a 50-year-old woman that developed severe eczema during the summer five months earlier. She presented with dermatitis over the neck, upper thorax, and retroauricular area. The dermatitis worsened after sun exposure and the patient complained of severe itching. Cosmetic ACD patch tests were performed with the European standard series and with the patient’s own cosmetic products. The standard series (including FMI) was negative. A strong positive reaction was elicited by her eau de toilette. Column chromatography on silica gel of the concentrate obtained from evaporating the eau de toilette gave five fractions (F1–F5) used for testing the patient at a concentration equivalent to the final formulation. The physical appearance of the concentrate also presented color components that could not be isolated and had been added to the final formulation. The producer company confirmed this and sent us FD&C Yellow no. 5, FD&C Red no. 4, and the photo screen agent Uvinul D-50®. No reactions to FD&C Yellow no. 5 and FD&C Red no. 4 were observed. The patient had a strong reaction to Uvinul D-50®. Also, F4 gave a severe reaction followed by F1. The chemical composition of F1–F5 was analyzed by GC-MS. Despite the fact that not all GC-peaks could be assigned to a specific compound (absence of reference mass-spectra in the MS-library; mixed GC peak), we identified 25 compounds for which the sensitizing potential was evaluated by the presence in the chemical structure of structural alerts [24]. Nine compounds contained a structural alert with the potential ability to react with skin proteins and thus behave as a skin sensitizer. These were patch tested on the patient (Table 1). The patient was positive to hydroxyisohexyl-3-cyclohexene carboxaldehyde (Lyral®), α-hexyl cinnamaldehyde and α-damascone. GC chromatograms of the eau de toilette, F1, and F4 are shown in Figure 2. F4 exclusively contained hydroxyisohexyl-3-cyclohexene carboxaldehyde and 2,2’,4,4’-tetrahydroxybenzophenone (benzophenone-2, Uvinul D-50®). F1 contained α-hexyl cinnamaldehyde and α-damascone. As a result, the ACD culprits in this patient were elucidated.
Table 1.
Compounds in the eau de toilette with a structural alert and patch test results.
Figure 2.
GC chromatograms of the eau de toilette and fractions F1 and F4 (x axis, retention time; y axis, intensity)
2.2. Oak Moss Natural Extract
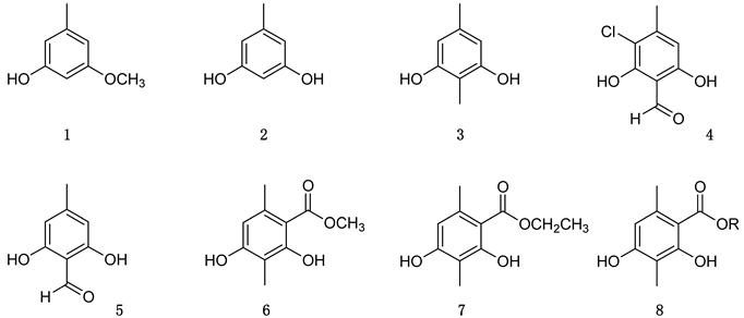
Oak moss absolute, a concentrated and highly aromatic mixture extracted from the lichen Evernia prunastri (L.) Arch, has been used broadly in perfumery because of its woody aroma and fixative properties. It is the most common allergen among the constituents of FMI [27]. It is obtained by a first solvent extraction of the harvested lichen with hydrocarbon solvents to obtain a semi-solid mass called “concrete” followed by treatment of this concrete with a mixture of alcohols. In the 1970s to 1980s, the chemical composition was analyzed and the allergenicity of the major components evaluated [28,29]. Sensitivity to oak moss was related to phenylbenzoates such as atranorin and evernic acid, but also usnic acid. For long time, benzene was used to prepare the concrete, but more polar solvents which change the composition of the final absolute replaced it. Constituents of oak moss absolute obtained from the new extraction procedures and related allergenicity were not clear. We applied BGF and SARs to these new extracts [30].
First, to select a clinically illustrative sample, five commercial oak moss absolutes from different producers were patch tested randomly in three clinical centers. Patients with known ACD to oak moss were recruited for the study. No major differences in the elicitation potential were observed. Consequently, only one oak moss absolute was chosen for further chemical analysis. A gel permeation chromatography (Sephadex® LH-20; molecular size-based separation) afforded five fractions (F1–F5) that were patch tested at 1% petrolatum equivalent to oak moss on 30 volunteers. A relatively high number of patients (20–43%) gave a strong positive reaction to one or several of the fractions. Twenty percent of the patients reacted positively to F4. Further analysis focused on F4 because it caused the strongest reaction, representing 40% (w/w) of oak moss absolute. Chemical composition of F4 was investigated by GC-MS and 35 GC-peaks could be assigned to a specific compound, but only eight were present in a substantial amount (Table 2).
Table 2.
Main constituents of F4 in oak moss.
SARs analysis indicated that compounds 1–8 belong to the resorcinol subgroup or are prone to be metabolized into a resorcinol structure with an additional aldehyde chemical function in compounds 4 and 5. As 1 could be metabolized into 2, and 7 and 8 are structural analogues of 6, compounds 2 to 6 were selected as potentially sensitizing molecules to be tested.
A silica gel column chromatography of F4 (polarity-based separation) was also carried out. It afforded subfractions F4a–F4d patch tested at 1% petrolatum equivalent to oak moss on 26 of the initial volunteers. Patients were also tested with main constituents of F4 (0.1% petrolatum) previously identified by GC-MS. Chemical composition of F4a–F4d was analyzed by GC-MS. Compound 3 and compound 6 were found in F4a and F4b. The mixture 4/5 was essentially found in F4d. Compound 2 was also present in F4d. F4d was the most eliciting fraction (65% patients having a positive reaction) followed by F4b (54%) and F4c (46%). Many patients (73%) had a positive reaction to a mixture 2:8 of chloroatranol/atranol 4/5 (previously isolated by fractionation from a sample of Yugoslavian oak moss absolute) with intense erythema, infiltration, and coalescing vesicles. On the other hand, six patients were positive to compound 6 with three of them having a strong response. This explained the few positive reactions observed to F4a. F4b being a mixture containing 4/5, 3 and 6, it was not surprising to observe a high number of positive reactions. Based on these results, the mixture 2:8 chloroatranol/atranol 4/5 strongly elicited the contact allergy to oak moss in already sensitized patients. Chloroatranol and atranol are not commercially available and to evaluate their eliciting potential separately they were synthesized in the laboratory. Then, they were patch tested at 1% petrolatum equivalent to oak moss in 15 of the 26 remaining patients. Both had a strong eliciting potential. A total of 10 (67%) and 11 (73%) patients showed a positive reaction to chloroatranol and atranol, respectively.
Following this procedure, atranol and chloroatranol were identified as the major eliciting chemicals and methyl-β-orcinol carboxylate as a minor one. Atranol and chloroatranol are degradation products of atranorin and chloroatranorin during oak moss processing (Figure 3). Methyl-β-orcinol carboxylate, also obtained during this processing, is responsible for the characteristic earthy/moss-like odor.
Figure 3.
Atranol and chloroatranol from atranorin and chloroatranorin during oak moss processing.
Later on, we proved by exposure assessment and dose-response elicitation studies that atranol and chloroatranol elicit reactions at very low levels of exposure [31,32,33]. As a consequence, the European Union has issued regulation 2017/1410, banning the use of atranol and chloroatranol in consumer products [34]. From August 2019 cosmetic products containing these substances shall not be placed on the Union market, and from August 2021 shall not be made available on the Union market.
3. Complex Mixtures and Chemical Reactivity
During the last decade, a step forward has been made in the identification of sensitizers in complex mixtures based on their chemical reactivity. Avonto et al. have developed approaches based on reactivity with cysteamine derivatives as a model of nucleophiles in the skin. The NMR-dansyl cysteamine (NMR-DCYA) and the high throughput with dansyl cysteamine (HTS-DCYA) methods evaluate the ability of chemicals to covalently bind to DCYA. To study the ability of the test molecule to initiate haptenation, the model thiol DCYA operates as a surrogate of nucleophilic residues in skin proteins. Thus, DCYA allows reactivity of electrophilic and other thiol-reacting species. In the NMR-DCYA assay, electrophilic depletion over time is quantified by proton NMR [35]. Quantification is carried out based on the depletion of the test molecule in contrast with present validated methods that are based on the depletion of the nucleophile species (i.e. DPRA). The HTS-DCYA method permits a sensitive detection of electrophilic compounds in a high throughput screening using fluorescence assays [36]. The test molecule is incubated with DCYA and activated to initiate a covalent binding. The fluorescence response of DCYA-adducts is quantified. The amount of reacting species is described as a reactive index (RI), correlating with the amount of DCYA-adducts found. A drawback of these methods is exclusive consideration of reactive electrophilic sensitizers without considering sensitizers able to modify skin proteins through other kinds of mechanisms such as the intervention of radical intermediates [22].
Aged Tea Tree Oil
Tea tree oil (TTO) is obtained from leaves and terminal branchlets of Melaleuca alternifolia, Melaleuca linariifolia, or Melaleuca dissitiflora by steam distillation [37]. Its color ranges from pale yellow to practically colorless and clear and it has a coniferous minty camphor odor. It has been reported as being anti-inflammatory, analgesic, antimicrobial, biocidal, and antitumoral. Yet, TTO causes ACD. The first case reports were published in the 1990s from Australia where the oil is produced. TTO is catalogued as a moderate sensitizer in the LLNA and its main constituents lack structural alerts to act as skin sensitizers [38,39,40]. The fact is that when TTO comes in contact with air, it undergoes a photo-oxidation aging process. Degradation products that are strong sensitizers are obtained this way. In a recent study, aged TTOs (stored at room temperature for 18 months) were used to evaluate the applicability of the HTS-DCYA assay [41]. The global approach of the methodology is shown in Figure 4.
Figure 4.
Global approach of the high throughput with dansyl cysteamine (HTS-DCYA) assay: Example of aged tea tree oil (TTO).
Chemical composition of the oils after aging was analyzed by GC-MS. An increase in the amount of p-cymene was identified and considered an indicative marker for aging, together with the formation of several peroxide derivatives. For “authentic” TTOs, a correlation between reactivity and p-cymene content was observed, although p-cymene was found to be non-reactive in the HTS-DCYA assay. TTOs with high peroxide content resulted in the highest RI values. The oxidized sample giving the higher RI value was analyzed (by ultra-high-pressure liquid chromatography coupled with diode array detector and mass spectrometer to get more information on the reaction products, and thus the reactive species and potential sensitizers. At least five major peaks were found with a UV profile compatible with a dansyl moiety. Major DCYA adducts were then isolated and chemical structures elucidated by NMR and/or MS. The major peak matched with a mixture of diastereomers (m/z 436) obtained by 1,4-Michael addition of DCYA on 4-hydroxy-4-methylcyclohex-2-en-1-one (Figure 5). This α,β-unsaturated ketone (m/z 126) is a well-known degradation product of ascaridole (Asc), endoperoxide derived from α-terpinene autoxidation.
Figure 5.
Suggested pathway for the formation of dansyl cysteamine (DCYA) adducts in aged TTO.
Cleavage of the O–O bond of Asc produces the loss of isopropyl radicals (iPr•), which forms the reactive ketone. Recently we have demonstrated in our laboratory that Asc is activated in the skin to form alkoxyl radicals that further rearrange to carbon radicals and reactive electrophilic species, and that under these conditions dendritic cell activation is promoted [42]. Peaks with m/z 478 were also observed. Based on the mass fragmentation pattern, adducts could originate from isoascaridole via the nucleophilic thiol ring opening of the oxirane moiety. Isoascaridole is also known as a by-product obtained after decomposition of Asc [43]. α-Terpinene is probably one critical component of TTO that undergoes singlet oxygen addition to produce Asc, which can further form electrophilic species such as the α,β-unsaturated ketone or isoascaridole. Such intermediates could be responsible for the concomitant irritancy and co-sensitization observed with increased concentrations of Asc and Asc-containing essential oils [44].
This study demonstrates that formation of electrophilic species via radical degradation is one possible pathway that may explain reactivity and sensitization to aged TTOs. Assuming that many skin sensitizers are electrophilic compounds reacting with nucleophilic amino acids in the skin, this study represents as proof-of-concept how the HTS-DCYA assay may be used to analyze mixtures for the presence of reactive electrophilic compounds.
To end with this section it is worth noting that in a recent study NMR-DCYA and HTS-DCYA have been combined with BGF using the KeratinoSensTM assay to elucidate the culprit of the sensitizing potential of German chamomile extract [45]. This is an even more advanced type of methodology based on chemical reactivity.
4. Conclusions
Hazard identification is the first step to prevent skin sensitization and ACD. It is thus compulsory to have reliable methods for the identification of chemicals with the potential to cause skin sensitization, ideally before they are put onto the market. Many ingredients present in consumer products are complex mixtures such as essential oils and botanical extracts that may have sensitizing properties. Identification of culprits in complex mixtures that can potentially cause ACD continues to be puzzling. This manuscript is a brief outline of methods existing to identify skin sensitizers in mixtures. BGF has been an established method for many years. Combination of BGF, clinical testing of patients with fractions, chemical composition analysis and SARs, are valuable tools to identify allergens in fragrance mixtures. Over the last decade, several researchers have developed new methods based on chemical reactivity and fluorescence where they essentially study natural extracts after aging from air oxidation. Still, evaluating the sensitizing potential of mixtures and identifying the culprits is far from over. Also, a drawback of these methodologies is that not all dermatological centers have resources or access to infrastructures to perform such investigations. Collaboration with chemistry and analytical laboratories is mandatory. Following hazard identification it is critical to conduct a skin sensitization risk assessment based on ingredient exposure, allergenic potency, and dose-response studies. Although successful efforts have been made, more are necessary to launch a strategy that enables assessing mixtures extracted from natural sources and active sensitizing components.
Funding
No external funding has been received to perform this research review.
Conflicts of Interest
The author declare no conflict of interest.
Abbreviations
ACD, allergic contact dermatitis; AOP, adverse outcome pathway; Asc, ascaridole; BGF, bioassay-guided fractionation; DCYA, dansyl cysteamine; DPRA, direct peptide reactivity assay; FMI, fragrance mix I; FMII, fragrance mix II; GARD, genomic allergen rapid detection assay; GC-MS, gas chromatography–mass spectrometry; h-CLAT, human cell line activation test; LLNA, local lymph node assay; MS, mass spectrometry; NMR, nuclear magnetic resonance; OECD, Organization for Economic Co-operation and Development; RI, reactive index; ROAT, repeated open application test; SARs, structure–activity relationships; TTO, tea tree oil.
References
- European Commission. Directive 2003/15/EC of the European Parliament and of the Council of 27 February 2003 amending Council Directive 76/768/EEC on the approximation of the laws of the Member States relating to cosmetic products—7th Amendment to the European Cosmetics Directive. Off. J. Eur. Union 2003, L66, 26–35. [Google Scholar]
- European Commission. Regulation (EC) No 1907/2006 of the European Parliament and of the Council of the 18 December 2006 concerning the Registration, Evaluation, Authorization and Restriction of Chemicals (REACH), establishing a European Chemicals Agency. Off. J. Eur. Union 2006, L396, 1–849. [Google Scholar]
- OECD. The Adverse Outcome Pathway for skin sensitization initiated by covalent binding to proteins. Part 1: Scientific evidence. In Series on Testing and Assessment; OCDE Publisher: Paris, France, 2014. [Google Scholar] [CrossRef]
- OECD. In Chemico Skin Sensitization: Direct Peptide Reactivity Assay (DPRA). In OECD Guideline for the Testing of Chemicals; OECD testing guidelines 442C; OCDE Publisher: Paris, France, 2019. [Google Scholar] [CrossRef]
- OECD. In Vitro Skin Sensitization: ARE-Nrf2 Luciferase Test Method. In OECD Guideline for the Testing of Chemicals; OECD testing guidelines 442D; OCDE Publisher: Paris, France, 2018. [Google Scholar] [CrossRef]
- OECD. Human Cell Line Activation test (h-CLAT). In OECD Guideline for the Testing of Chemicals; OECD testing guidelines 442E; OCDE Publisher: Paris, France, 2018. [Google Scholar] [CrossRef]
- De Groot, A.C.; Schmidt, E. Contact allergy to essential oils: General aspects. In Essential Oils. Contact Allergy and Chemical Composition; de Groot, A.C., Schmidt, E., Eds.; CRC Press, Taylor & Francis Group: Boca Raton, FL, USA, 2016. [Google Scholar]
- Api, A.M.; Lalko, J. Investigation of the dermal sensitization potential of various essential oils in the local lymph node assay. Food Chem. Toxicol. 2006, 44, 739–746. [Google Scholar]
- Lang, M.; Giménez-Arnau, E.; Lepoittevin, J.P. Is it possible to assess the allergenicity of mixtures based on in chemico methods? Preliminary results on common fragrance aldehydes. Flavour Fragr. J. 2017, 32, 63–71. [Google Scholar] [CrossRef]
- Andres, E.; Sá-Rocha, M.; Barrichello, C.; Haupt, T.; Ellis, G.; Natsch, A. The sensitivity of the KeratinoSens™ assay to evaluate plant extracts: A pilot study. Toxicol. In Vitro 2013, 27, 1220–1225. [Google Scholar] [CrossRef] [PubMed]
- Nishijo, T.; Miyazawa, M.; Saito, K.; Otsubo, Y.; Mizumachi, H.; Sakaguchi, H. Sensitivity of KeratinoSensTM and h-CLAT for detecting minute amounts of sensitizers to evaluate botanical extract. J. Toxicol. Sci. 2019, 44, 13–21. [Google Scholar] [CrossRef] [PubMed]
- Johansson, H.; Gradin, R.; Forreryd, A.; Agemark, M.; Zeller, K.; Johansson, A.; Larne, O.; van Vliet, E.; Borrebaeck, C.; Lindstedt, M. Evaluation of the GARD assay in a blind cosmetics Europe study. ALTEX 2017, 34, 515–523. [Google Scholar] [CrossRef][Green Version]
- De Ávila, R.I.; Veloso, D.; Teixeira, G.C.; Rodrigues, T.L.; Lindberg, T.; Lindstedt, M.; Fonseca, S.G.; Lima, E.M.; Valadares, M.C. Evaluation of in vitro testing strategies for hazard assessment of the skin sensitization potential of “real-life” mixtures: The case of henna-based hair coloring products containing p-phenylenediamine. Contact Dermat. 2019, 81, 194–209. [Google Scholar] [CrossRef]
- Menné Bonefeld, C.; Nielsen, M.M.; Rubin, I.M.C.; Vennegaard, M.T.; Dabelsteen, S.; Giménez-Arnau, E.; Lepoittevin, J.P.; Geisler, C.; Johansen, J.D. Enhanced sensitization and elicitation responses caused by mixtures of common fragrance allergens. Contact Dermat. 2011, 65, 336–342. [Google Scholar] [CrossRef]
- Menné Bonefeld, C.; Nielsen, M.M.; Giménez-Arnau, E.; Lang, M.; Vennegaard, M.T.; Geisler, C.; Johansen, J.D.; Lepoittevin, J.P. An immune response study of oak moss absolute and its constituents atranol and chloroatranol. Contact Dermat. 2014, 70, 282–290. [Google Scholar] [CrossRef]
- Cottrez, F.; Boitel, E.; Berrada-Gomez, M.P.; Dalhuchyts, H.; Bidan, C.; Rattier, S.; Ferret, P.J.; Groux, H. In vitro measurement of skin sensitization hazard of mixtures and finished products: Results obtained with the SENS-IS assays. Toxicol. In Vitro 2019. [Google Scholar] [CrossRef] [PubMed]
- Pieters, L.; Vlietinck, A.J. Bioguided isolation of pharmacologically active plant components, still a valuable strategy for the finding of new lead compounds? J. Ethnopharmacol. 2005, 100, 57–60. [Google Scholar] [CrossRef] [PubMed]
- Mutterer, V.; Giménez-Arnau, E.; Lepoittevin, J.P.; Johansen, J.D.; Frosch, P.J.; Menné, T.; Andersen, K.E.; Bruze, M.; Rastogi, S.C.; White, I.R. Identification of coumarin as the sensitizer in a patient sensitive to her own perfume but negative to the fragrance mix. Contact Dermat. 1999, 40, 196–199. [Google Scholar] [CrossRef]
- Dharmagunawardena, B.; Takwale, A.; Sanders, K.J.; Cannan, S.; Rodger, A.; Ilchyshyn, A. Gas chromatography: An investigative tool in multiple allergies to essential oils. Contact Dermat. 2002, 47, 288–292. [Google Scholar] [CrossRef] [PubMed]
- De Groot, A.C.; Weijland, J.W. Systemic contact dermatitis from tea tree oil. Contact Dermat. 1992, 27, 279–280. [Google Scholar] [CrossRef] [PubMed]
- Lepoittevin, J.P. Molecular aspects in allergic and irritant contact dermatitis. In Contact Dermatitis 5th Edition; Johansen, J.D., Frosch, P.J., Lepoittevin, J.P., Eds.; Springer: Berlin/Heidelberg, Germany, 2011; pp. 91–110. [Google Scholar]
- Kao, D.; Chaintreau, A.; Lepoittevin, J.P.; Giménez-Arnau, E. Mechanistic studies on the reactivity of sensitizing allylic hydroperoxides: Investigation of the covalent modification of amino acids by carbon-radical intermediates. Toxicol. Res. 2014, 3, 278–289. [Google Scholar] [CrossRef]
- Giménez-Arnau, A.; Giménez-Arnau, E.; Serra-Baldrich, E.; Lepoittevin, J.P.; Camarasa, J.G. Principles and methodology for identification of fragrance allergens in consumer products. Contact Dermat. 2002, 47, 345–352. [Google Scholar] [CrossRef]
- Barrat, M.D.; Basketter, D.A.; Roberts, D.W. Structure-activity relationships for contact hypersensitivity. In Allergic Contact Dermatitis: The Molecular Basis; Lepoittevin, J.P., Basketter, D.A., Goossens, A., Karlberg, A.T., Eds.; Springer: Berlin/Heidelberg, Germany, 1997; pp. 129–154. [Google Scholar]
- Johansen, J.D.; Aalto-Korte, K.; Agner, T.; Andersen, K.E.; Bircher, A.; Bruze, M.; Cannavó, A.; Giménez-Arnau, A.; Gonçalo, M.; Goossens, A.; et al. European Society of Contact Dermatitis guideline for diagnostic patch testing-recommendations on best practice. Contact Dermat. 2015, 73, 195–221. [Google Scholar] [CrossRef]
- De Groot, A.C. (Ed.) Test Concentrations and Vehicles for 3700 Chemicals. Patch Testing; Elsevier: Amsterdam, The Netherlands, 1994. [Google Scholar]
- Uter, W.; Geier, J.; Frosch, P.; Schnuch, A. Contact allergy to fragrances: Current patch test results (2005–2008) from the Information Network of Departments of Dermatology. Contact Dermat. 2010, 63, 254–261. [Google Scholar] [CrossRef]
- Schulz, H.; Albroscheit, G. Characterization of oak moss products used in perfumery by high-performance liquid chromatography. J. Chromatogr. 1989, 466, 301–306. [Google Scholar] [CrossRef]
- Thune, P.; Solberg, Y.; McFadden, N.; Staerfelt, F.; Sandberg, M. Perfume allergy due to oak moss and other lichens. Contact Dermat. 1982, 8, 396–400. [Google Scholar] [CrossRef] [PubMed]
- Bernard, G.; Giménez-Arnau, E.; Rastogi, S.C.; Heydorn, S.; Johansen, J.D.; Menné, T.; Goossens, A.; Andersen, K.E.; Lepoittevin, J.P. Contact allergy to oak moss: Search for sensitizing molecules using combined bioassay-guided chemical fractionation, GC-MS, and structure-activity relationship analysis. Arch. Dermatol. Res. 2003, 295, 229–235. [Google Scholar] [CrossRef] [PubMed]
- Johansen, J.D.; Bernard, G.; Giménez-Arnau, E.; Lepoittevin, J.P.; Bruze, M.; Andersen, K.E. Comparison of elicitation potential of chloroatranol and atranol-2 allergens in oak moss absolute. Contact Dermat. 2006, 54, 192–195. [Google Scholar] [CrossRef] [PubMed]
- Johansen, J.D.; Andersen, K.E.; Svedman, C.; Bruze, M.; Bernard, G.; Giménez-Arnau, E.; Rastogi, S.C.; Lepoittevin, J.P.; Menné, T. Chloroatranol, an extremely potent allergen hidden in perfumes: A dose-response elicitation study. Contact Dermat. 2003, 49, 180–184. [Google Scholar] [CrossRef]
- Rastogi, S.C.; Bossi, R.; Johansen, J.D.; Menné, T.; Bernard, G.; Giménez-Arnau, E.; Lepoittevin, J.P. Content of oak moss allergens atranol and chloroatranol in perfumes and similar products. Contact Dermat. 2004, 50, 367–370. [Google Scholar] [CrossRef] [PubMed]
- Commission Regulation (EU) 2017/1410 of 2 August 2017 amending Annexes II and III to Regulation (EC) No 1223/2009 of the European Parliament and on the Council on cosmetic products. Off. J. Eur. Union 2017, L202, 1–2.
- Chittiboyina, A.G.; Avonto, C.; Rua, D.; Khan, I.A. Alternative testing methods for skin sensitization: NMR spectroscopy for probing the reactivity and classification of potential skin sensitizers. Chem. Res. Toxicol. 2015, 28, 1704–1714. [Google Scholar] [CrossRef]
- Avonto, C.; Chittiboyina, A.G.; Rua, D.; Khan, I.A. A fluorescence high throughput screening method for the detection of reactive electrophiles as potential skin sensitizers. Toxicol. Appl. Pharmacol. 2015, 289, 177–184. [Google Scholar] [CrossRef]
- De Groot, A.C.; Schmidt, E. Tea tree oil. In Essential Oils. Contact Allergy and Chemical Composition; de Groot, A.C., Schmidt, E., Eds.; CRC Press, Taylor & Francis Group: Boca Raton, FL, USA, 2016; pp. 809–824. [Google Scholar]
- Scientific Committee on Consumer Products. Opinion on Tea Tree Oil, SCCP/1155/08. 2008.
- Aptula, A.; Patlewicz, G.; Roberts, D. Skin sensitization: Reaction mechanistic applicability domains for structure-activity relationships. Chem. Res. Toxicol. 2005, 18, 1420–1426. [Google Scholar] [CrossRef]
- Karlberg, A.T.; Bergstrom, M.A.; Borje, A.; Luthman, K.; Nilsson, J.L. Allergic contact dermatitis-formation, structural requirements, and reactivity of skin sensitizers. Chem. Res. Toxicol. 2008, 21, 53–69. [Google Scholar] [CrossRef]
- Avonto, C.; Chittiboyina, A.G.; Wang, M.; Vasquez, Y.; Rua, D.; Khan, I.A. In chemico evaluation of tea tree essential oils as skin sensitizers: Impact of the chemical composition on aging and generation of reactive species. Chem. Res. Toxicol. 2016, 29, 1108–1117. [Google Scholar] [CrossRef] [PubMed]
- Sahli, F.; Silva e Sousa, M.; Vileno, B.; Lichter, J.; Lepoittevin, J.P.; Blömeke, B.; Giménez-Arnau, E. Understanding the skin sensitization capacity of ascaridole: A combined study of chemical reactivity and activation of the innate immune system (dendritic cells) on the epidermal environment. Arch. Toxicol. 2019, 93, 1337–1347. [Google Scholar] [CrossRef] [PubMed]
- Boche, J.; Runquist, O. Kinetics of the thermal rearrangement of ascaridole. J. Org. Chem. 1968, 33, 4285–4286. [Google Scholar] [CrossRef]
- Christoffers, W.A.; Blömeke, B.; Coenraads, P.J.; Schuttelar, M.L. Co-sensitization to ascaridole and tea tree oil. Contact Dermat. 2013, 69, 181–191. [Google Scholar] [CrossRef] [PubMed]
- Avonto, C.; Rua, D.; Lasonkar, P.B.; Chittiboyina, A.G.; Khan, I.A. Identification of a compound isolated from German chamomile (Matricaria chamomilla) with dermal sensitization potential. Toxicol. Appl. Pharmacol. 2017, 318, 16–22. [Google Scholar] [CrossRef] [PubMed]
© 2019 by the author. Licensee MDPI, Basel, Switzerland. This article is an open access article distributed under the terms and conditions of the Creative Commons Attribution (CC BY) license (http://creativecommons.org/licenses/by/4.0/).









