Numerical Analysis of the Sediment Erosion of the Balance Valve in a Buoyancy Regulation System
Abstract
1. Introduction
2. Numerical Model
2.1. Governing Equations and Phase Interactions
2.2. Physical Model and Mesh Generation
2.3. Parameters and Boundary Conditions
2.4. Numerical Methods
3. Results and Discussion
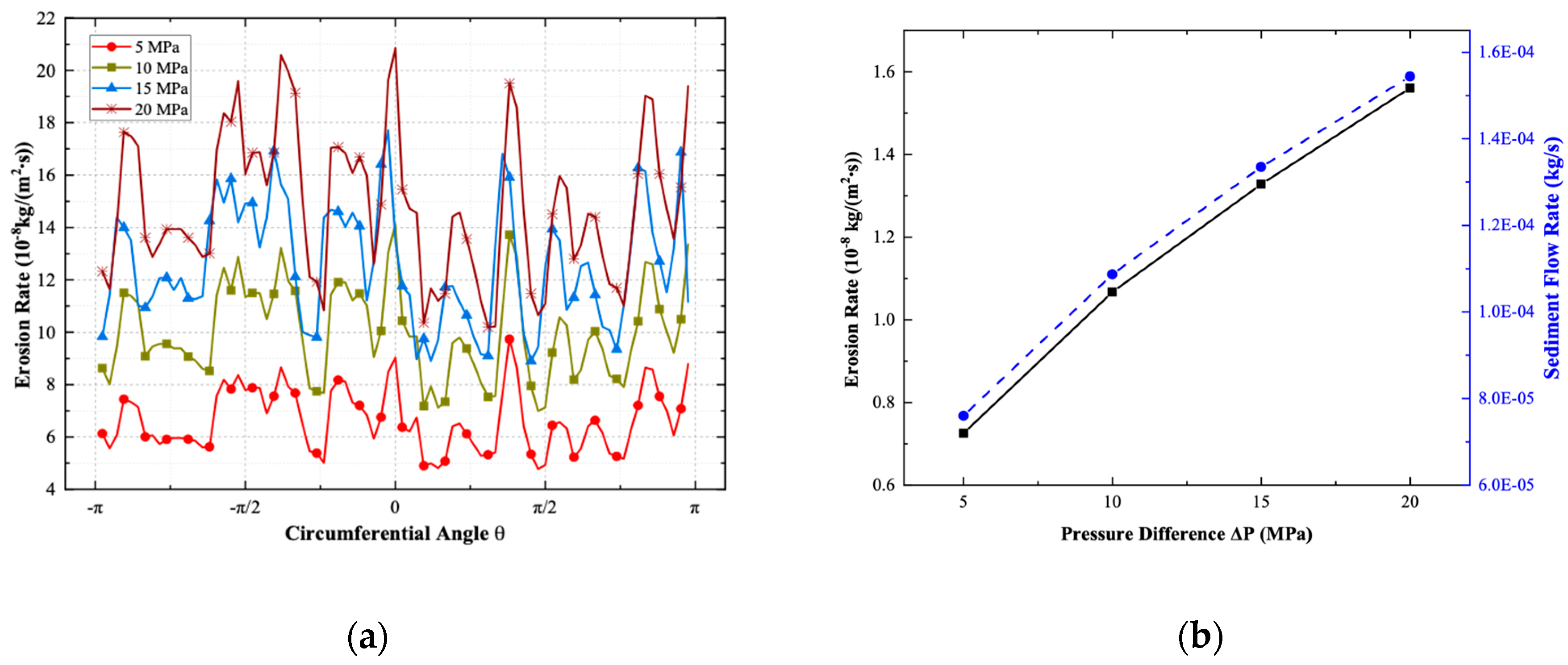
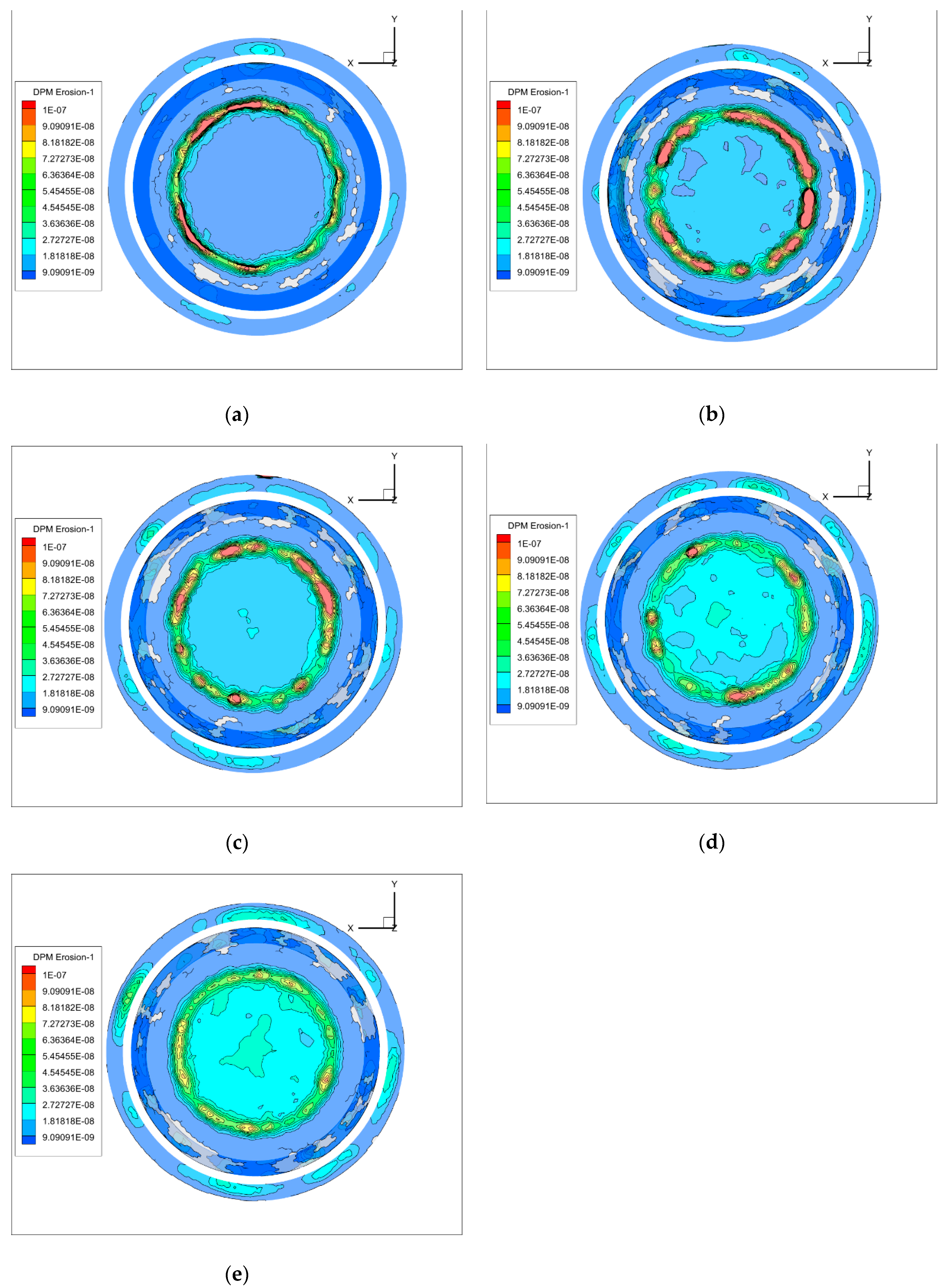
3.1. Effect of Pressure Difference
3.2. Effect of Valve Opening
3.3. Effect of Sediment Density
3.4. Effect of Sediment Diameter
3.5. Effect of Sediment Concentration
3.6. Parameter Significance on Sediment Erosion
4. Conclusions
Author Contributions
Funding
Institutional Review Board Statement
Informed Consent Statement
Data Availability Statement
Conflicts of Interest
Nomenclature
| List of Symbols | |
| A | material constant |
| Bh | Brinell’s hardness number of wall material (N/mm2) |
| sediment concentration (g/m3) | |
| CD | drag coefficient |
| valve flow coefficient | |
| sediment diameter (μm) | |
| D | material constant |
| en | normal bounce coefficient |
| et | tangential bounce coefficient |
| E | energy (J) |
| F | capillary force (N) |
| f(γ) | impact angle function |
| FD | drag force (N) |
| FG | gravity force (N) |
| FP | pressure-gradient force (N) |
| lift force (N) | |
| Fvm | virtual mass forces |
| g | gravity acceleration (m/s2) |
| Gk | generation of turbulence kinetic energy due to the mean velocity gradients |
| Gb | generation of turbulence kinetic energy due to buoyancy |
| k | turbulence kinetic energy |
| P | pressure (Pa) |
| sediment flow rate (kg/s) | |
| T | viscous deformation tensor |
| v | velocity (m/s) |
| V | particle impact velocity (m/s) |
| YM | contribution of the fluctuating dilatation in compressible turbulence |
| Greek Symbols | |
| angle between the particle and the wall when it hits the wall (rad) | |
| ρ | density (kg/m3) |
| sediment density (kg/m3) | |
| μ | dynamic viscosity (N·s/m2) |
| viscous deformation tensor | |
| turbulent dissipation rate (m2/s3) | |
| stresses (Pa) | |
| circumferential angle (rad) | |
| γ | angle of impact (rad) |
| Abbreviations | |
| CFD | computational fluid dynamics |
| DEM | discrete element method |
| FSV | free surface vortex |
| DPM | discrete phase model |
| ER | erosion rate |
| ERmax | maximum erosion rate at the working edge (kg/(m2·s)) |
| ERmin | minimum erosion rate at the working edge (kg/(m2·s)) |
| Oka | Oka model |
| RNG | renormalization group |
| MM | Mixture Model |
| Pmmax | larger values of the parameter when the erosion rate at the working edge is the highest |
| Pmmins | smaller values of the parameter when the erosion rate at the working edge is the lowest |
| RS | relative significance |
References
- Liu, X.q.; Liu, F.; Ji, H.; Li, N.; Wang, C.; Lin, G. Particle erosion transient process visualization and influencing factors of the hydraulic servo spool valve orifice. Flow Meas. Instrum. 2023, 89, 102273. [Google Scholar] [CrossRef]
- Moses, D.; Haider, G.; Henshaw, J. An investigation of the failure of a 1/4” ball valve. Eng. Fail. Anal. 2019, 100, 393–405. [Google Scholar] [CrossRef]
- Huang, H.; Zhu, C.; Zhang, W.; Hao, S.; Zhang, S.; Leng, J.; Wei, Y. Design and analysis of the multifunctional oil-injection equipment for deep-sea hydraulic systems. IEEE Access 2020, 8, 143679–143691. [Google Scholar] [CrossRef]
- Du, R.; Zhou, Y.; Zhang, A.; Du, Z.; Zhang, X.; Yuan, X. An optimized E/CRC erosion model of round particles for hydraulic spool valves with Euler–Lagrange two-phase simulation. Tribol. Trans. 2021, 64, 795–812. [Google Scholar] [CrossRef]
- Li, Y.; Du, J.; Lan, Y.; Du, H.; Huang, H. Numerical analysis of the factors influencing the erosion of the valve port of a high-speed on/off valve. Appl. Sci. 2022, 12, 6212. [Google Scholar] [CrossRef]
- Liu, X.; Ji, H.; Liu, F.; Li, N.; Zhang, J.; Ren, W. Particle motion and erosion morphology of the spool orifice in an electro-hydraulic servo valve under a small opening. Proc. Inst. Mech. Eng. Part C J. Mech. Eng. Sci. 2022, 236, 3160–3173. [Google Scholar] [CrossRef]
- Liu, X.; Ji, H.; Min, W.; Zheng, Z.; Wang, J. Erosion behavior and influence of solid particles in hydraulic spool valve without notches. Eng. Fail. Anal. 2020, 108, 104262. [Google Scholar] [CrossRef]
- Liu, X.; Ji, H.; Liu, F.; Li, N.; Wang, C.; Lin, G. Experimental study on the correlation between erosion microstructure and performance degradation of hydraulic servo spool valve. Surf. Topogr. Metrol. Prop. 2023, 11, 015005. [Google Scholar] [CrossRef]
- Liu, X.; Ji, H.; Liu, F.; Lin, G.; Wang, C.; Li, N. Erosion microscopic morphology and formation mechanism of hydraulic servo spool valve. Proc. Inst. Mech. Eng. Part C J. Mech. Eng. Sci. 2023, 237, 4017–4035. [Google Scholar] [CrossRef]
- Li, D.; Liu, X.; Liao, H.; Bing, L.; Hou, P.; Nie, R.; Jiao, Z. A prediction model of fluid–solid erosion wear in hydraulic spool valve orifice. Wear 2024, 540–541, 205235. [Google Scholar] [CrossRef]
- Yin, Y.; Yuan, J.; Guo, S. Numerical study of solid particle erosion in hydraulic spool valves. Wear 2017, 392–393, 174–189. [Google Scholar] [CrossRef]
- He, X.; Zhu, B.; Liu, Y.; Jiang, Z. Study on a seawater hydraulic piston pump with check valves for underwater tools. Proc. Inst. Mech. Eng. Part A J. Power Energy 2012, 226, 151–160. [Google Scholar] [CrossRef]
- Lin, Z.; Yu, H.; Yu, T.; Zhu, Z. Numerical study of solid–liquid two-phase flow and erosion in ball valves with different openings. Adv. Powder Technol. 2022, 33, 103542. [Google Scholar] [CrossRef]
- Cheng, W.; Fan, H.; Cheng, W.; Shao, C. Investigation on wear induced by solid-liquid two-phase flow in a centrifugal pump based on EDEM-Fluent coupling method. Flow Meas. Instrum. 2024, 96, 102542. [Google Scholar] [CrossRef]
- Song, X.; Wang, Z. Numerical prediction of the effect of free surface vortex air-entrainment on sediment erosion in a pump. Proc. Inst. Mech. Eng. Part A J. Power Energy 2022, 236, 1297–1308. [Google Scholar] [CrossRef]
- Song, X.; Qi, D.; Xu, L.; Shen, Y.; Wang, W.; Wang, Z.; Liu, Y. Numerical simulation prediction of erosion characteristics in a double-suction centrifugal pump. Processes 2021, 9, 1483. [Google Scholar] [CrossRef]
- Song, X.; Yao, R.; Shen, Y.; Bi, H.; Zhang, Y.; Du, L.; Wang, Z. Numerical prediction of erosion based on the solid-liquid two-phase flow in a double-suction centrifugal pump. J. Mar. Sci. Eng. 2021, 9, 836. [Google Scholar] [CrossRef]
- Sun, J.; Ge, X.; Zhou, Y.; Liu, D.; Liu, J.; Li, G.; Zheng, Y. Research on synergistic erosion by cavitation and sediment: A review. Ultrason. Sonochemistry 2023, 95, 106399. [Google Scholar] [CrossRef] [PubMed]
- Gohil, P.P.; Saini, R.P. Coalesced effect of cavitation and silt erosion in hydro turbines—A review. Renew. Sustain. Energy Rev. 2014, 33, 280–289. [Google Scholar] [CrossRef]
- Han, L.; Guo, C.; Yuan, Y.; Li, D.; Liu, Y.; Iranzo, A.; Qin, D. Investigation on sediment erosion in bucket region of Pelton turbine considering cavitation. Phys. Fluids 2024, 36, 023305. [Google Scholar] [CrossRef]
- Song, X.; Luo, Y.; Wang, Z. Mechanism of the influence of sand on the energy dissipation inside the hydraulic turbine under sediment erosion condition. Energy 2024, 294, 130794. [Google Scholar] [CrossRef]
- Song, X.; Zhou, X.; Song, H.; Deng, J.; Wang, Z. Study on the effect of the guide vane opening on the band clearance sediment erosion in a Francis turbine. J. Mar. Sci. Eng. 2022, 10, 1396. [Google Scholar] [CrossRef]
- Wang, J.; Song, X.; Wang, H.; Tao, R.; Wang, Z. Numerical prediction of erosion of Francis turbine in sediment-laden flow under different heads. Processes 2023, 11, 2523. [Google Scholar] [CrossRef]
- Shan, Y.; Jing, J.; Zhang, Z.; Sun, J.; Wang, N.; Zhuang, L.; Guo, Y. Investigation of erosion behavior of particle-fluid flow in offshore platform T-pipes. Int. J. Press. Vessel. Pip. 2024, 209, 105174. [Google Scholar] [CrossRef]
- Ou, G.F.; Wang, C.G.; Jin, H.Z. Erosion characteristics and flashing flow of high-differential-pressure control valves: A numerical study using an erosion-coupled dynamic mesh. J. Appl. Fluid Mech. 2024, 17, 559–570. [Google Scholar] [CrossRef]
- Wang, Y.; Wang, X.; Chen, J.; Li, G.; Liu, H.; Xiong, W. An experimental insight into dynamic characteristics and wear of centrifugal pump handling multi-size particulate slurry. Eng. Fail. Anal. 2022, 138, 106303. [Google Scholar] [CrossRef]
- Wang, Y.; Wang, X.; Chen, J.; Li, G.; Liu, H.; Xiong, W. Numerical simulation of the influence of mixed sand on erosion characteristics of centrifugal pump. Eng. Comput. 2022, 39, 2053–2080. [Google Scholar] [CrossRef]
- Hu, G.; Wu, W.; Xu, J.; Liao, H. Research on the erosion performance of a new normally open arrow-type check valve spool. J. Fail. Anal. Prev. 2022, 22, 1725–1732. [Google Scholar] [CrossRef]
- Zheng, S.; Cheng, H.; Bie, Q.; Zhong, L.; Tong, J. Erosion hot spots of drain valve under higher particle flow rates. Nat. Gas Ind. B 2022, 9, 289–307. [Google Scholar] [CrossRef]
- Graham, L.J.W.; Wu, J.; Short, G.; Solnordal, C.B.; Wong, C.Y.; Brown, G.; Celliers, O.; Whyte, D. Laboratory modelling of erosion damage by vortices in slurry flow. Hydrometallurgy 2017, 170, 43–50. [Google Scholar] [CrossRef]
- Perera, P.; Hayward, K.; Guzzomi, F.; Vafadar, A. Erosion wear characterisation of an open Ductile Iron butterfly valve subjected to Aluminium Oxide particle slurry flow. Tribol. Int. 2024, 191, 109199. [Google Scholar] [CrossRef]
- Grant, G.; Tabakoff, W. Erosion prediction in turbomachinery resulting from environmental solid particles. J. Aircr. 1975, 12, 471–478. [Google Scholar] [CrossRef]
- Peacock, T.; Ouillon, R. The fluid mechanics of deep-Sea mining. Annu. Rev. Fluid Mech. 2023, 55, 403–430. [Google Scholar] [CrossRef]
- Gillard, B.; Purkiani, K.; Chatzievangelou, D.; Vink, A.; Iversen, M.H.; Thomsen, L. Physical and hydrodynamic properties of deep sea mining-generated, abyssal sediment plumes in the Clarion Clipperton Fracture Zone (eastern-central Pacific). Elem. Sci. Anthr. 2019, 7, 5. [Google Scholar] [CrossRef]
- Kim, J.; Yadav, M.; Kim, S. Characteristics of secondary flow induced by 90-degree elbow in turbulent pipe flow. Eng. Appl. Comput. Fluid Mech. 2014, 8, 229–239. [Google Scholar] [CrossRef]
- Pandey, A.; Ghimire, A.; Bijukchhe, P.L.; Pokharel, N.; Kapali, A.; Chitrakar, S. Numerical simulation of erosion in Pelton spear valve at different openings. J. Phys. Conf. Ser. 2023, 2629, 012019. [Google Scholar] [CrossRef]
- Leal Filho, W.; Abubakar, I.R.; Nunes, C.; Platje, J.; Ozuyar, P.G.; Will, M.; Nagy, G.J.; Al-Amin, A.Q.; Hunt, J.D.; Li, C. Deep seabed mining: A note on some potentials and risks to the sustainable mineral extraction from the oceans. J. Mar. Sci. Eng. 2021, 9, 521. [Google Scholar] [CrossRef]

















| Constants | Values |
|---|---|
| lim | 15° |
| A | 1.997 × 10−7 |
| D | −0.59 |
| n | 1.73 |
| b | −13.3 |
| c | 7.85 |
| x | 1.09 |
| y | 0.125 |
| w | 1.0 |
| Parameters | Value |
|---|---|
| Seawater density | 1040 kg/m3 |
| Dynamic viscosity | 0.001 Pa·s |
| Sediment densities | 1800–3000 kg/m3 |
| Sediment diameters | 20–50 μm |
| Sediment concentrations | 50–350 g/(m3 seawater) |
| Investigated Parameters | RSave | RSmax | Overall Effect Assessment |
|---|---|---|---|
| Sediment concentration (↑) | 1.033 | 1.032 | Significant |
| Valve opening (↑ then ↓) | 0.921 | 0.963 | Significant |
| Sediment density (↓) | 0.630 | 0.668 | Moderate |
| Pressure difference (↑) | 0.559 | 0.535 | Moderate |
| Sediment diameter (↓) | 0.437 | 0.401 | Moderate |
Disclaimer/Publisher’s Note: The statements, opinions and data contained in all publications are solely those of the individual author(s) and contributor(s) and not of MDPI and/or the editor(s). MDPI and/or the editor(s) disclaim responsibility for any injury to people or property resulting from any ideas, methods, instructions or products referred to in the content. |
© 2024 by the authors. Licensee MDPI, Basel, Switzerland. This article is an open access article distributed under the terms and conditions of the Creative Commons Attribution (CC BY) license (https://creativecommons.org/licenses/by/4.0/).
Share and Cite
Liu, H.; Yang, S.; Wang, L.; Li, Y.; Mi, L.; Yuan, F.; Ye, C. Numerical Analysis of the Sediment Erosion of the Balance Valve in a Buoyancy Regulation System. J. Mar. Sci. Eng. 2024, 12, 1344. https://doi.org/10.3390/jmse12081344
Liu H, Yang S, Wang L, Li Y, Mi L, Yuan F, Ye C. Numerical Analysis of the Sediment Erosion of the Balance Valve in a Buoyancy Regulation System. Journal of Marine Science and Engineering. 2024; 12(8):1344. https://doi.org/10.3390/jmse12081344
Chicago/Turabian StyleLiu, Hao, Shenshen Yang, Lei Wang, Yulong Li, Lei Mi, Fangyang Yuan, and Cong Ye. 2024. "Numerical Analysis of the Sediment Erosion of the Balance Valve in a Buoyancy Regulation System" Journal of Marine Science and Engineering 12, no. 8: 1344. https://doi.org/10.3390/jmse12081344
APA StyleLiu, H., Yang, S., Wang, L., Li, Y., Mi, L., Yuan, F., & Ye, C. (2024). Numerical Analysis of the Sediment Erosion of the Balance Valve in a Buoyancy Regulation System. Journal of Marine Science and Engineering, 12(8), 1344. https://doi.org/10.3390/jmse12081344
