Effects of Different Planting Densities and Harvesting Periods on the Growth and Major Alkaloids of Anisodus tanguticus (Maxim.) Pascher on the Qinghai–Tibetan Plateau
Abstract
1. Introduction
2. Results
2.1. Effects of Different Density Gradients on the Growth Traits and Yield of A. tanguticus
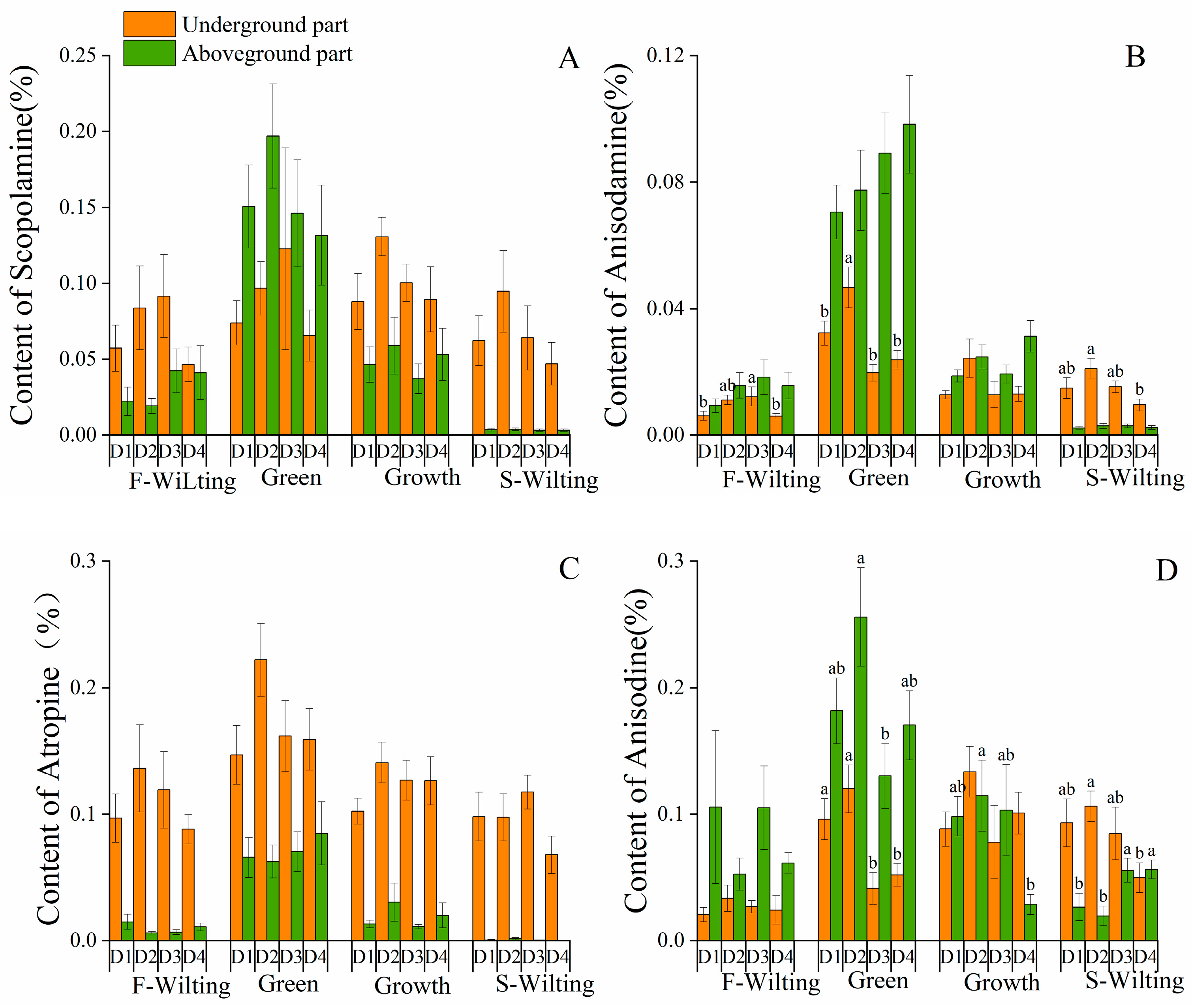
2.2. Effects of Different Density Gradients on the Main Alkaloids of A. tanguticus
2.3. Comprehensive Evaluation Analysis of A. tanguticus
3. Discussion
3.1. Seasonal Variation in the Tropane Alkaloids of A. tanguticus
3.2. Effects of Density on the Growth Traits, Yield, and Quality of A. tanguticus
4. Materials and Methods
4.1. Overview of the Test Area
4.2. Test Materials
4.3. Experiment Design
4.4. Alkaloid Extraction
4.5. Determination of Alkaloids
4.6. Data Processing
5. Conclusions
Supplementary Materials
Author Contributions
Funding
Institutional Review Board Statement
Informed Consent Statement
Data Availability Statement
Acknowledgments
Conflicts of Interest
References
- Wan, D.S.; Feng, J.J.; Jiang, D.C.; Mao, K.S.; Duan, Y.W.; Miehe, G.; Opgenoorth, L. The Quaternary evolutionary history, potential distribution dynamics, and conservation implications for a Qinghai-Tibet Plateau endemic herbaceous perennial, Anisodus tanguticus (Solanaceae). Ecol. Evol. 2016, 6, 1977–1995. [Google Scholar] [CrossRef] [PubMed]
- Ma, L.; Gu, R.; Tang, L.; Chen, Z.E.; Di, R.; Long, C. Important poisonous plants in tibetan ethnomedicine. Toxins 2015, 7, 138–155. [Google Scholar] [CrossRef] [PubMed]
- Poupko, J.M.; Baskin, S.I.; Moore, E. The pharmacological properties of anisodamine. J. Appl. Toxicol. 2007, 27, 116–121. [Google Scholar] [CrossRef] [PubMed]
- Caruso, L.; Wunderle, T.; Lewis, C.M.; Valadeiro, J.; Pannetier-Lecoeur, M. InVivo Magnetic Recording of Neuronal Activity. Neuron 2017, 95, 1–9. [Google Scholar] [CrossRef]
- Ghosal, S.; Bang, E.; Yue, W.; Hare, B.D.; Lepack, A.E.; Girgenti, M.J.; Duman, R.S. Activity-Dependent BDNF Release is Required for the Rapid Antidepressant Actions of Scopolamine. Biol. Psychiatry 2018, 83, 29–37. [Google Scholar] [CrossRef]
- Kohnen-Johannsen, K.; Kayser, O. Tropane Alkaloids: Chemistry, Pharmacology, Biosynthesis and Production. Molecules 2019, 24, 796. [Google Scholar] [CrossRef]
- Sophie, F.U.; Hagels, H.; Kayser, O. Scopolamine: A journey from the field to clinics. Phytochem. Rev. 2017, 16, 333–353. [Google Scholar]
- Eisenkraft, A.; Fa Lk, A. Possible role for anisodamine in organophosphate poisoning. Br. J. Pharmacol. 2016, 173, 1719. [Google Scholar] [CrossRef]
- Liu, H.; Gu, H.; Ye, C.; Guo, C.; Zhu, Y.; Huang, H.; Liu, Y.; He, X.; Yang, M.; Zhu, S. Planting Density Affects Panax notoginseng Growth and Ginsenoside Accumulation by Balancing Primary and Secondary Metabolism. Front. Plant Sci. 2021, 12, 628294. [Google Scholar] [CrossRef]
- Rutkowska, M.; Balcerczak, E.; Wiechowski, R.; Dubicka, M.; Olszewska, M.A. Seasonal variation in phenylpropanoid biosynthesis and in vitro antioxidant activity of Sorbus domestica leaves: Harvesting time optimisation for medicinal application. Ind. Crops Prod. 2020, 156, 112858. [Google Scholar] [CrossRef]
- Finnie, J.F.; Van Staden, J. Quality from the field: The impact of environmental factors as quality determinants in medicinal plants. S. Afr. J. Bot. 2012, 82, 11–20. [Google Scholar] [CrossRef]
- Ikenaga, T. Seasonal Variations of Tropane Alkaloids Content in Duboisia. Jap. J. Trop. Agric. 1985, 29, 229–230. [Google Scholar] [CrossRef]
- Luanratana, O.; Griffin, W.J. Cultivation of a Duboisia Hybrid. Part B. Alkaloid Variation in a Commercial Plantation: Effects of Seasonal Change, Soil Fertility, and Cytokinins. J. Nat. Prod. 1980, 43, 552–558. [Google Scholar] [CrossRef]
- Tao, L.; Zhu, P.; Cheng, K.D.; Chao, M.; He, H.X. Molecular cloning, expression and characterization of hyoscyamine 6beta-hydroxylase from hairy roots of Anisodus tanguticus. Planta Med. 2005, 71, 249–253. [Google Scholar] [CrossRef]
- Liu, T.; Zhu, P.; Cheng, K.D.; Meng, C.; Zhu, H.X. Molecular cloning and expression of putrescine N-methyltransferase from the hairy roots of Anisodus tanguticus. Planta Med. 2005, 71, 987–989. [Google Scholar] [CrossRef]
- Srinivasan, P.; Smolke, C.D. Engineering a microbial biosynthesis platform for de novo production of tropane alkaloids. Nat. Commun. 2019, 10, 3634. [Google Scholar] [CrossRef]
- Ullrich, S.F.; Rothauer, A.; Hagels, H.; Kayser, O. Influence of Light, Temperature, and Macronutrients on Growth and Scopolamine Biosynthesis in Duboisia species. Planta Med. 2017, 83, 937–945. [Google Scholar] [CrossRef]
- Bedewitz, M.A.; Jones, A.D.; D’Auria, J.C.; Barry, C.S. Tropinone synthesis via an atypical polyketide synthase and P450-mediated cyclization. Nat. Commun. 2018, 9, 5281. [Google Scholar] [CrossRef]
- Bedewitz, M.A.; Gongora-Castillo, E.; Uebler, J.B.; Gonzales-Vigil, E.; Wiegert-Rininger, K.E.; Childs, K.L.; Hamilton, J.P.; Vaillancourt, B.; Yeo, Y.S.; Chappell, J.; et al. A root-expressed L-phenylalanine:4-hydroxyphenylpyruvate aminotransferase is required for tropane alkaloid biosynthesis in Atropa belladonna. Plant Cell 2014, 26, 3745–3762. [Google Scholar] [CrossRef]
- Fengjie, T.; Cuiyun, L.; Xin, W.; Shuangxia, R.; Ning, L. Comparative study on pharmacokinetics of a series of anticholinergics, atropine, anisodamine, anisodine, scopolamine and tiotropium in rats. Eur. J. Drug Metab. Pharmacokinet. 2015, 40, 245–253. [Google Scholar]
- Hashimoto, T.; Matsuda, J.; Yamada, Y. Two-step epoxidation of hyoscyamine to scopolamine is catalyzed by bifunctional hyoscyamine 6 beta-hydroxylase. FEBS Lett. 1993, 329, 35–39. [Google Scholar] [CrossRef]
- Pramod, K.K.; Singh, S.; Jayabaskaran, C. Biochemical and structural characterization of recombinant hyoscyamine 6β-hydroxylase from Datura metel L. Plant Physiol. Biochem. 2010, 48, 966–970. [Google Scholar] [CrossRef]
- Hashimoto, T.; Yamada, Y. Purification and characterization of hyoscyamine 6β-hydroxylase from root cultures of Hyoscyamus niger L. Eur. J. Biochem. 1987, 164, 277–285. [Google Scholar] [CrossRef] [PubMed]
- Hashimoto, T.; Hayashi, A.; Amano, Y.; Kohno, J.; Yamada, Y. Hyoscyamine 6β-hydroxylase, an enzyme involved in tropane alkaloid biosynthesis, is localized at the pericycle of the root. J. Biol. Chem. 1991, 266, S0021–S9258. [Google Scholar] [CrossRef]
- Gamir, J.; Minchev, Z.; Berrio, E.; Garcia, J.M.; Pozo, M. Roots drive oligogalacturonide-induced systemic immunity in tomato. Plant Cell Environ. 2020, 44, 275–289. [Google Scholar] [CrossRef] [PubMed]
- Koch, K.G.; Palmer, N.A.; Donze-Reiner, T.; Scully, E.D.; Seravalli, J.; Amundsen, K.; Twigg, P.; Louis, J.; Bradshaw, J.D.; Heng-Moss, T.M.; et al. Aphid-Responsive Defense Networks in Hybrid Switchgrass. Front. Plant Sci. 2020, 11, 1145. [Google Scholar] [CrossRef]
- Vries, J.B.; Evers, J.B.; Dicke, M.; Poelman, E.H. Ecological interactions shape the adaptive value of plant defence: Herbivore attack versus competition for light. Funct. Ecol. 2019, 33, 129–138. [Google Scholar] [CrossRef]
- Zhao, H.-Y.; Liu, J.; Zhu, H.; Liu, F.; Liu, Z.-H.; Peng, C.; Xiong, L. New amides from the roots of Anisodus tanguticus. Biochem. Syst. Ecol. 2020, 91, 104082. [Google Scholar] [CrossRef]
- Grynkiewicz, G.; Gadzikowska, M. Tropane alkaloids as medicinally useful natural products and their synthetic derivatives as new drugs. Pharm. Rep. 2008, 60, 439–463. [Google Scholar] [CrossRef]
- Li, L.; Jing, W.; Wei, W.; Yang, L.; Wang, Y.; Zhou, G.; Kai, G. Optimization of induction and culture conditions and tropane alkaloid production in hairy roots of Anisodus acutangulus. Biotechnol. Bioprocess Eng. 2008, 13, 606–612. [Google Scholar] [CrossRef]
- Cardillo, A.; Alvarez, Á.M.O.; Lopez, A.C.; Lozano, M.; Talou, J.R.; Giulietti, A.M. Anisodamine Production from Natural Sources: Seedlings and Hairy Root Cultures of Argentinean and Colombian Brugmansia candida Plants. Planta Med. 2009, 76, 402–405. [Google Scholar] [CrossRef] [PubMed]
- Zu, S.H.; Jiang, Y.T.; Hu, L.Q.; Zhang, Y.J.; Lin, W.H. Effective Modulating Brassinosteroids Signal to Study Their Specific Regulation of Reproductive Development and Enhance Yield. Front. Plant Sci. 2019, 10, 980. [Google Scholar] [CrossRef] [PubMed]
- Khan, S.; Anwar, S.; Kuai, J.; Noman, A.; Shahid, M.; Din, M.; Ali, A.; Zhou, G. Alteration in yield and oil quality traits of winter rapeseed by lodging at different planting density and nitrogen rates. Sci. Rep. 2018, 8, 634. [Google Scholar] [CrossRef] [PubMed]
- Luo, J.; He, M.; Qi, S.; Wu, J.; Gu, X.S. Effect of planting density and harvest protocol on field-scale phytoremediation efficiency by Eucalyptus globulus. Env. Sci. Poll. Res. 2018, 25, 11343–11350. [Google Scholar] [CrossRef] [PubMed]
- Amanullah; Khattak, R.A.; Khalil, S.K. Plant Density and Nitrogen Effects on Maize Phenology and Grain Yield. J. Plant Nutr. 2009, 32, 246–260. [Google Scholar] [CrossRef]
- Zhang, H.Y.; Zhang, C.R.; Sun, P.; Jiang, X.W.; Xu, G.H.; Yang, J.Z. Optimizing planting density and nitrogen application to enhance profit and nitrogen use of summer maize in Huanghuaihai region of China. Sci. Rep. 2022, 12, 2704. [Google Scholar] [CrossRef]
- Li, R.; Liu, P.; Dong, S.; Zhang, J.; Zhao, B. Increased Maize Plant Population Induced Leaf Senescence, Suppressed Root Growth, Nitrogen Uptake, and Grain Yield. Agron. J. 2019, 111, 1581–1591. [Google Scholar] [CrossRef]
- Fernando, H.; Andrade, P.C. Alfredo Cirilo, Pablo Barbieri, Yield Responses to Narrow Rows Depend on Increased Radiation Interception. Agron. J. 2002, 94, 975–980. [Google Scholar] [CrossRef]
- Chen, C.; Wang, B.; Li, J.; Xiong, F.; Zhou, G. Multivariate Statistical Analysis of Metabolites in Anisodus tanguticus (Maxim.) Pascher to Determine Geographical Origins and Network Pharmacology. Front. Plant Sci. 2022, 13, 927336. [Google Scholar] [CrossRef]
- Liu, S.; Fred, B.; Bruno, A.; Philippe, B.; Matthieu, H. Estimation of Wheat Plant Density at Early Stages Using High Resolution Imagery. Front. Plant. Sci. 2017, 8, 739. [Google Scholar] [CrossRef]
- Di, G.; Song, X.; Min, Y.; Wang, Z.; Ge, W.; Wang, L.; Wang, J.; Wang, X. RNA-Seq Profiling Shows Divergent Gene Expression Patterns in Arabidopsis Grown under Different Densities. Front. Plant. Sci. 2017, 8, 2001. [Google Scholar] [CrossRef]
- Lu, J.; Xu, Y.; Meng, Z.; Cao, M.; Liu, S.; Kato-Noguchi, H.; Yu, W.; Jin, B.; Wang, L. Integration of morphological, physiological and multi-omics analysis reveals the optimal planting density improving leaf yield and active compound accumulation in Ginkgo biloba. Ind. Crops Prod. 2021, 172, 114055. [Google Scholar] [CrossRef]







| Harvest time | Treatment | Plant Height (cm) | Root Length (cm) | Root Diameter (cm) |
|---|---|---|---|---|
| F-Wilting | D1 | – | 35.50 ± 1.80 a | 4.00 ± 0.40 a |
| F-Wilting | D2 | – | 36.67 ± 1.49 a | 4.69 ± 0.27 a |
| F-Wilting | D3 | – | 39.73 ± 1.71 a | 5.02 ± 0.33 a |
| F-Wilting | D4 | – | 37.54 ± 2.07 a | 4.94 ± 0.42 a |
| Green | D1 | 59.47 ± 2.08 a | 31.80 ± 1.18 a | 3.88 ± 0.29 b |
| Green | D2 | 56.93 ± 2.50 a | 35.07 ± 0.97 a | 4.48 ± 0.25 ab |
| Green | D3 | 56.73 ± 4.17 a | 34.73 ± 1.50 a | 4.99 ± 0.29 a |
| Green | D4 | 55.67 ± 6.37 a | 34.08 ± 1.51 a | 4.17 ± 0.28 b |
| Growth | D1 | 140.77 ± 3.99 b | 28.27 ± 0.87 ab | 5.38 ± 0.25 b |
| Growth | D2 | 140.13 ± 2.79 b | 29.80 ± 0.89 ab | 6.71 ± 0.57 a |
| Growth | D3 | 144.33 ± 2.70 ab | 31.00 ± 1.44 a | 6.23 ± 0.31 ab |
| Growth | D4 | 153.00 ± 3.49 a | 27.33 ± 0.71 b | 6.11 ± 0.46 ab |
| S-Wilting | D1 | 145.53 ± 3.68 a | 42.67 ± 1.37 a | 7.11 ± 0.49 b |
| S-Wilting | D2 | 136.47 ± 4.81 ab | 42.87 ± 2.16 a | 8.11 ± 0.39 ab |
| S-Wilting | D3 | 135.27 ± 4.47 ab | 45.47 ± 1.23 a | 9.37 ± 0.39 a |
| S-Wilting | D4 | 129.33 ± 2.82 b | 42.87 ± 1.95 a | 8.83 ± 0.58 a |
| df | F | R2 | p | |
|---|---|---|---|---|
| Treatment | 3 | 5.064 | 0.06 | 0.001 |
| Period | 3 | 47.586 | 0.55 | 0.001 |
| Treatment: Period | 9 | 2.708 | 0.09 | 0.001 |
| Residuals | 76 | 0.29 | ||
| Total | 91 | 1 |
Publisher’s Note: MDPI stays neutral with regard to jurisdictional claims in published maps and institutional affiliations. |
© 2022 by the authors. Licensee MDPI, Basel, Switzerland. This article is an open access article distributed under the terms and conditions of the Creative Commons Attribution (CC BY) license (https://creativecommons.org/licenses/by/4.0/).
Share and Cite
Liu, N.; Chen, C.; Wang, B.; Chen, K.; Feng, S.; Zhang, D.; Zhou, G. Effects of Different Planting Densities and Harvesting Periods on the Growth and Major Alkaloids of Anisodus tanguticus (Maxim.) Pascher on the Qinghai–Tibetan Plateau. Agriculture 2022, 12, 1881. https://doi.org/10.3390/agriculture12111881
Liu N, Chen C, Wang B, Chen K, Feng S, Zhang D, Zhou G. Effects of Different Planting Densities and Harvesting Periods on the Growth and Major Alkaloids of Anisodus tanguticus (Maxim.) Pascher on the Qinghai–Tibetan Plateau. Agriculture. 2022; 12(11):1881. https://doi.org/10.3390/agriculture12111881
Chicago/Turabian StyleLiu, Na, Chen Chen, Bo Wang, Kaiyang Chen, Shihong Feng, Dengshan Zhang, and Guoying Zhou. 2022. "Effects of Different Planting Densities and Harvesting Periods on the Growth and Major Alkaloids of Anisodus tanguticus (Maxim.) Pascher on the Qinghai–Tibetan Plateau" Agriculture 12, no. 11: 1881. https://doi.org/10.3390/agriculture12111881
APA StyleLiu, N., Chen, C., Wang, B., Chen, K., Feng, S., Zhang, D., & Zhou, G. (2022). Effects of Different Planting Densities and Harvesting Periods on the Growth and Major Alkaloids of Anisodus tanguticus (Maxim.) Pascher on the Qinghai–Tibetan Plateau. Agriculture, 12(11), 1881. https://doi.org/10.3390/agriculture12111881

