Static and Dynamic Prediction of Chronic Renal Disease Progression Using Longitudinal Clinical Data from Taiwan’s National Prevention Programs
Abstract
:1. Introduction
2. Methods
2.1. Study Design and Patient Population
2.2. Variables
2.3. Statistical Analysis
2.4. Ethical Approval
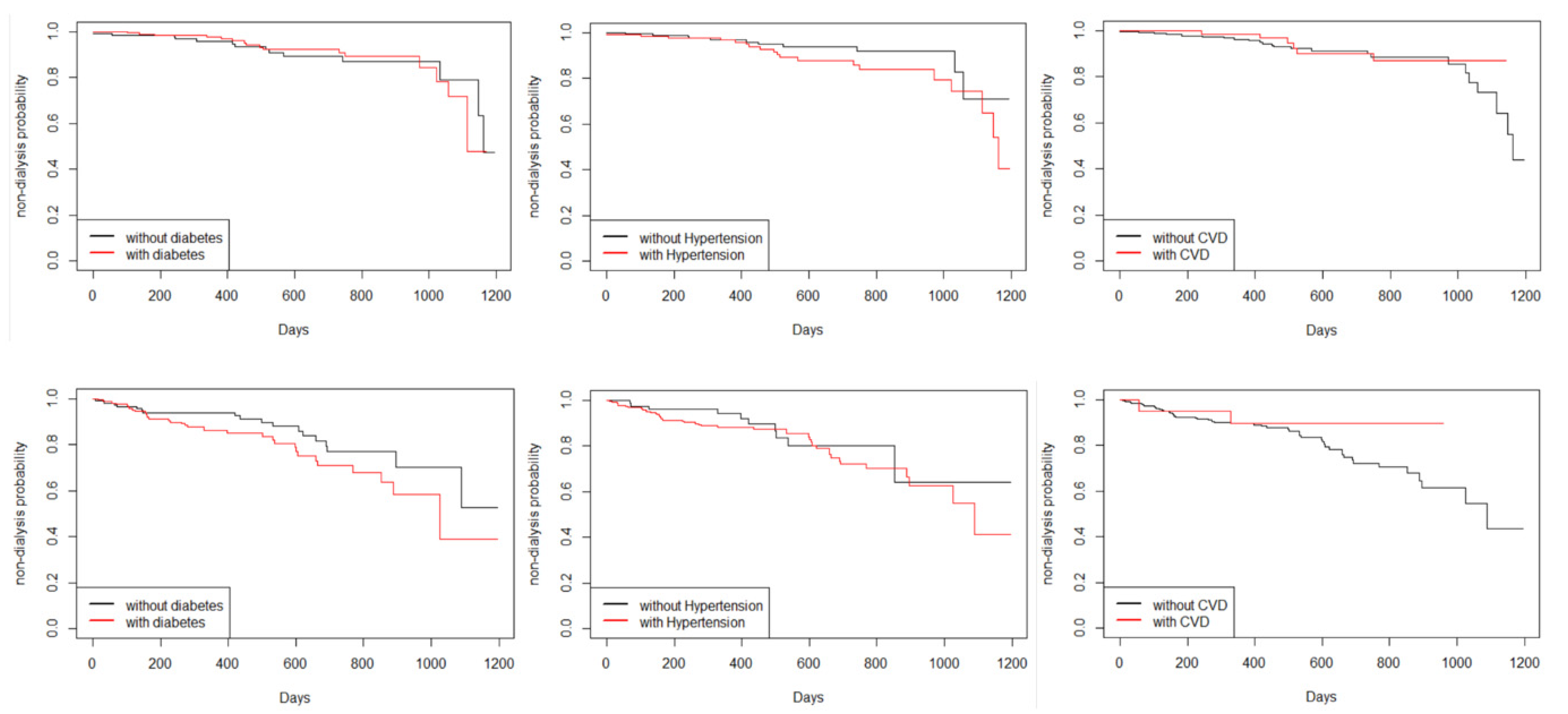
3. Results
4. Discussion
5. Conclusions
Supplementary Materials
Author Contributions
Funding
Institutional Review Board Statement
Informed Consent Statement
Data Availability Statement
Conflicts of Interest
References
- Ministry of Health and Welfare. Cause of Death Statistic. Available online: https://dep.mohw.gov.tw/DOS/lp-5202-113.html (accessed on 20 June 2021). (In Chinese)
- Wen, C.P.; Cheng, T.Y.; Tsai, M.K.; Chang, Y.C.; Chan, H.T.; Tsai, S.P.; Chiang, P.H.; Hsu, C.C.; Sung, P.K.; Hsu, Y.H.; et al. All-cause mortality attributable to chronic kidney disease: A prospective cohort study based on 462,293 adults in Taiwan. Lancet 2018, 371, 2173–2182. [Google Scholar] [CrossRef]
- Centers for Disease Control and Prevention. Chronic Kidney Disease in the United States; 2021. Available online: https://www.cdc.gov/kidneydisease/publications-resources/ckd-nationalfacts.html?CDC_AA_refVal=https%3A%2F%2Fwww.cdc.gov%2Fkidneydisease%2Fpublications-resources%2F2019-national-facts.html (accessed on 20 June 2021).
- Imai, E.; Horio, M.; Watanabe, K.; Iseki, K.; Yamagata, K.; Hara, S.; Ura, N.; Kiyohara, Y.; Moriyama, T.; Ando, Y.; et al. Prevalence of chronic kidney disease in the Japanese general population. Clin. Exp. Nephrol. 2009, 13, 621–630. [Google Scholar] [CrossRef] [PubMed]
- United States Renal Data System. USRDS 2020 Annual Data Report. Available online: https://adr.usrds.org/2020/end-stage-renal-disease/11-international-comparisons (accessed on 20 June 2021).
- National Health Insurance Administration. National Health Insurance Annual Statistical Report 2018. Available online: https://www.nhi.gov.tw/Content_List.aspx?n=8F12558B75D6A165&topn=23C660CAACAA159D (accessed on 20 June 2021). (In Chinese)
- Hemmelgarn, B.R.; Zhang, J.; Manns, B.J.; James, M.T.; Quinn, R.R.; Ravani, P.; Klarenbach, S.W.; Culleton, B.F.; Krause, R.; Thorlacius, L.; et al. Nephrology visits and health care resource use before and after reporting estimated glomerular filtration rate. JAMA 2010, 303, 1151–1158. [Google Scholar] [CrossRef] [PubMed]
- Jain, A.K.; McLeod, I.; Huo, C.; Cuerden, M.S.; Akbari, A.; Tonelli, M.; van Walraven, C.; Quinn, R.R.; Hemmelgarn, B.; Oliver, M.J.; et al. When laboratories report estimated glomerular filtration rates in addition to serum creatinines, nephrology consults increase. Kidney Int. 2009, 76, 318–323. [Google Scholar] [CrossRef] [PubMed] [Green Version]
- Tangri, N.; Stevens, L.A.; Griffith, J.; Tighiouart, H.; Djurdjev, O.; Naimark, D.; Levin, A.; Levey, A.S. A predictive model for progression of chronic kidney disease to kidney failure. JAMA 2011, 305, 1553–1559. [Google Scholar] [CrossRef] [PubMed] [Green Version]
- Tonelli, M.; Muntner, P.; Lloyd, A.; Manns, B.J.; James, M.T.; Klarenbach, S.; Quinn, R.R.; Wiebe, N.; Hemmelgarn, B.R. Using proteinuria and estimated glomerular filtration rate to classify risk in patients with chronic kidney disease: A cohort study. Ann. Intern. Med. 2011, 154, 12–21. [Google Scholar] [CrossRef]
- Ohashi, Y.; Sakai, K.; Tanaka, Y.; Mizuiri, S.; Aikawa, A. Reappraisal of proteinuria and estimated GFR to predict progression to ESRD or death for hospitalized chronic kidney disease patients. Ren. Fail. 2011, 33, 31–39. [Google Scholar] [CrossRef] [PubMed]
- Knight, E.L.; Stampfer, M.J.; Hankinson, S.E.; Spiegelman, D.; Curhan, G.C. The impact of protein intake on renal function decline in women with normal renal function or mild renal insufficiency. Ann. Intern. Med. 2003, 138, 460–467. [Google Scholar] [CrossRef] [Green Version]
- Chang, H.L.; Wu, C.C.; Lee, S.P.; Chen, Y.K.; Su, W.; Su, S.L. A predictive model for progression of CKD. Medicine 2019, 98, e16186. [Google Scholar] [CrossRef]
- Tangri, N.; Inker, L.A.; Hiebert, B.; Wong, J.; Naimark, D.; Kent, D.; Levey, A.S. A dynamic predictive model for progression of CKD. Am. J. Kidney Dis. 2017, 69, 514–520. [Google Scholar] [CrossRef]
- Taiwan Society of Nephrology. Taiwan Chronic Kidney Disease Clinical Guidelines. Available online: https://www.tsn.org.tw/UI/H/H00202.aspx (accessed on 20 June 2021). (In Chinese).
- Levey, A.S.; Bosch, J.P.; Lewis, J.B.; Greene, T.; Rogers, N.; Roth, D. A more accurate method to estimate glomerular filtration rate from serum creatinine: A new prediction equation. Ann. Intern. Med. 1999, 130, 461–470. [Google Scholar] [CrossRef] [PubMed]
- Schwandt, A.; Denkinger, M.; Fasching, P.; Pfeifer, M.; Wagner, C.; Weiland, J.; Zeyfang, A.; Holl, R.W. Comparison of MDRD, CKD-EPI, and Cockcroft-Gault equation in relation to measured glomerular filtration rate among a large cohort with diabetes. J. Diabetes Complicat 2017, 31, 1376–1383. [Google Scholar] [CrossRef] [PubMed]
- Snyder, S.; Pendergraph, B. Detection and Evaluation of Chronic Kidney Disease. Interventions 2005, 100, 24–25. [Google Scholar]
- Rubin, D.B.; Schenker, N. Multiple Imputation for Interval Estimation from Simple Random Samples with Ignorable Nonresponse. J. Am. Stat. Assoc. 1986, 81, 366–374. [Google Scholar] [CrossRef]
- Therneau, T.; Crowson, C.; Atkinson, E. Using Time Dependent Covariates and Time Dependent Coefficients in the Cox Model. Available online: https://cran.microsoft.com/snapshot/2018-07-06/web/packages/survival/vignettes/timedep.pdf (accessed on 20 June 2021).
- Lin, C.M.; Yang, M.C.; Hwang, S.J.; Sung, J.M. Progression of stages 3b-5 chronic kidney disease-preliminary results of Taiwan national pre-ESRD disease management program in Southern Taiwan. J. Formos. Med. Assoc. 2013, 112, 773–782. [Google Scholar] [CrossRef] [Green Version]
- De Nicola, L.; Chiodini, P.; Zoccali, C.; Borrelli, S.; Cianciaruso, B.; Di Iorio, B.; Santoro, D.; Giancaspro, V.; Abaterusso, C.; Gallo, C.; et al. Prognosis of CKD patients receiving outpatient nephrology care in Italy. Clin. J. Am. Soc. Nephrol. 2011, 6, 2421–2428. [Google Scholar] [CrossRef] [Green Version]
- O’Hare, A.M.; Choi, A.I.; Bertenthal, D.; Bacchetti, P.; Garg, A.X.; Kaufman, J.S.; Walter, L.C.; Mehta, K.M.; Steinman, M.A.; Allon, M.; et al. Age affects outcomes in chronic kidney disease. J. Am. Soc. Nephrol. 2007, 18, 2758–2765. [Google Scholar] [CrossRef] [Green Version]
- Remuzzi, G.; Benigni, A.; Remuzzi, A. Mechanisms of progression and regression of renal lesions of chronic nephropathies and diabetes. J. Clin. Investig. 2006, 116, 288–296. [Google Scholar] [CrossRef] [Green Version]
- Sarnak, M.J.; Astor, B.C. Implications of proteinuria: CKD progression and cardiovascular outcomes. Adv. Chronic Kidney Dis. 2011, 18, 258–266. [Google Scholar] [CrossRef]
- Peterson, J.C.; Adler, S.; Burkart, J.M.; Greene, T.; Hebert, L.A.; Hunsicker, L.G.; King, A.J.; Klahr, S.; Massry, S.G.; Seifter, J.L. Blood pressure control, proteinuria, and the progression of renal disease. The Modification of Diet in Renal Disease Study. Ann. Intern. Med. 1995, 123, 754–762. [Google Scholar] [CrossRef]
- Koye, D.N.; Magliano, D.J.; Reid, C.M.; Jepson, C.; Feldman, H.I.; Herman, W.H.; Shaw, J.E. Risk of progression of nonalbuminuric CKD to end-stage kidney disease in people with diabetes: The CRIC (Chronic Renal Insufficiency Cohort) Study. Am. J. Kidney Dis. 2018, 72, 653–661. [Google Scholar] [CrossRef] [Green Version]
- Staples, A.O.; Greenbaum, L.A.; Smith, J.M.; Gipson, D.S.; Filler, G.; Warady, B.A.; Martz, K.; Wong, C.S. Association between clinical risk factors and progression of chronic kidney disease in children. Clin. J. Am. Soc. Nephrol. 2010, 5, 2172–2179. [Google Scholar] [CrossRef] [Green Version]
- Amdur, R.L.; Feldman, H.I.; Gupta, J.; Yang, W.; Kanetsky, P.; Shlipak, M.; Rahman, M.; Lash, J.P.; Townsend, R.R.; Ojo, A.; et al. Inflammation and progression of CKD: The CRIC study. Clin. J. Am. Soc. Nephrol. 2016, 11, 1546–1556. [Google Scholar] [CrossRef] [PubMed] [Green Version]
- Gupta, J.; Mitra, N.; Kanetsky, P.A.; Devaney, J.; Wing, M.R.; Reilly, M.; Shah, V.O.; Balakrishnan, V.S.; Guzman, N.J.; Girndt, M.; et al. CRIC Study Investigators: Association between albuminuria, kidney function, and inflammatory biomarker profile in CKD in CRIC. Clin. J. Am. Soc. Nephrol. 2012, 7, 1938–1946. [Google Scholar] [CrossRef] [Green Version]
- Gansevoort, R.T.; Correa-Rotter, R.; Hemmelgarn, B.R.; Jafar, T.H.; Heerspink, H.J.; Mann, J.F.; Matsushita, K.; Wen, C.P. Chronic kidney disease and cardiovascular risk: Epidemiology, mechanisms, and prevention. Lancet 2013, 382, 339–352. [Google Scholar] [CrossRef]
- Muntner, P.; Anderson, A.; Charleston, J.; Chen, Z.; Ford, V.; Makos, G.; O’Connor, A.; Perumal, K.; Rahman, M.; Steigerwalt, S.; et al. Hypertension awareness, treatment, and control in adults with CKD: Results from the Chronic Renal Insufficiency Cohort (CRIC) Study. Am. J. Kidney Dis. 2010, 55, 441–451. [Google Scholar] [CrossRef] [Green Version]
- Keith, D.S.; Nichols, G.A.; Gullion, C.M.; Brown, J.B.; Smith, D.H. Longitudinal follow-up and outcomes among a population with chronic kidney disease in a large managed care organization. Arch. Intern. Med. 2004, 164, 659–663. [Google Scholar] [CrossRef] [Green Version]
- Foley, R.N.; Murray, A.M.; Li, S.; Herzog, C.A.; McBean, A.M.; Eggers, P.W.; Collins, A.J. Chronic kidney disease and the risk for cardiovascular disease, renal replacement, and death in the United States Medicare population, 1998 to 1999. J. Am. Soc. Nephrol. 2005, 16, 489–495. [Google Scholar] [CrossRef] [PubMed]
- Janmaat, C.J.; van Diepen, M.; Gasparini, A.; Evans, M.; Qureshi, A.R.; Arnlov, J.; Barany, P.; Elinder, C.G.; Rotmans, J.I.; Vervloet, M.; et al. Lower serum calcium is independently associated with CKD progression. Sci. Rep. 2018, 8, 5148. [Google Scholar] [CrossRef] [Green Version]
- Cuppari, L.; Garcia Lopes, M.G.; Kamimura, M.A. Vitamin D biology: From the discovery to its significance in chronic kidney disease. J. Ren. Nutr. 2011, 21, 113–116. [Google Scholar] [CrossRef]
- Ulerich, L. Vitamin D in chronic kidney disease–new insights. Nephrol. Nurs. J. 2010, 37, 429–431. [Google Scholar] [PubMed]


| Variables | All n = 1042 | Stage 3a n = 700 | Stage 3b n = 111 | Stage 4 n = 143 | Stage 5 n = 88 | p-Value |
|---|---|---|---|---|---|---|
| Height (cm) | 161.70.8 | 161.70.6 | 161.91.5 | 160.91.5 | 163.0 6.8 | 0.667 |
| Weight (kg) | 65.40.8 | 66.10.9 | 65.92.2 | 64.42.2 | 60.8 2.7 | 0.002 |
| Age (years) | 79.80.8 | 80.00.9 | 79.22.2 | 80.02.4 | 78.5 2.8 | 0.681 |
| Male (%) | 722 (69.3%) | 495 (70.7%) | 73 (65.8%) | 103 (72%) | 51 (58%) | 0.068 |
| eGFR (mL/min/1.73 m2) | 42.40.2 | 51.30.4 | 37.10.8 | 23.10.7 | 10.30.7 | <0.001 |
| Hemoglobin (g/dL) | – | – | 12.30.3 | 11.20.3 | 9.40.3 | <0.001 |
| Hematocrit (%) | – | – | 37.11.1 | 34.10.8 | 29.00.9 | <0.001 |
| Serum albumin (g/dL) | – | – | 3.80.1 | 3.60.1 | 3.30.1 | <0.001 |
| Serum creatinine (mg/dL) | 1.90.1 | 1.30.1 | 1.80.1 | 2.60.1 | 6.10.8 | <0.001 |
| Urea nitrogen (mg/dL) | – | – | 29.91.7 | 42.42.5 | 76.16.5 | <0.001 |
| Sodium (mEQ/L) | – | – | 140.60.7 | 139.90.5 | 140.10.9 | 0.373 |
| Potassium (mEQ/L) | – | – | 4.50.1 | 4.70.1 | 4.70.2 | 0.213 |
| Calcium (mg/dL) | – | – | 9.30.6 | 8.90.1 | 8.50.1 | 0.018 |
| Phosphate (mg/dL) | – | – | 3.70.1 | 3.90.1 | 4.90.3 | <0.001 |
| Urine protein/creatinine | 949.1127.2 | 448.874.5 | 987.2331.7 | 2067.7602.9 | 3063.4650.2 | <0.001 |
| Systolic blood pressure (mmHg) | 136.11.2 | 134.61.4 | 137.33.9 | 139.43.4 | 140.44.5 | 0.004 |
| Diastolic blood pressure (mmHg) | 73.60.9 | 73.40.9 | 73.62.6 | 74.12.4 | 73.52.9 | 0.943 |
| Uric Acid (mg/dL) | – | – | 6.80.3 | 7.30.3 | 7.80.5 | 0.005 |
| Cholesterol (mg/dL) | – | – | 177.17.1 | 181.97.7 | 175.310.6 | 0.504 |
| Triglyceride (mg/dL) | – | – | 149.716.8 | 142.613.8 | 134.418.9 | 0.477 |
| Low-density lipoprotein (mg/dL) | 103.71.9 | 104.02.2 | 102.65.5 | 105.35.8 | 100.37.6 | 0.65 |
| Fasting glucose (mg/dL) | – | – | 120.27.6 | 119.28.7 | 116.68.5 | 0.855 |
| Glycated hemoglobin (%) | 6.70.2 | 6.50.9 | 7.00.9 | 6.70.2 | 7.71.8 | 0.008 |
| Dialysis treatment (%) | 107 (10.3%) | 48 (6.9%) | 2 (1.8%) | 17 (11.9%) | 40 (45.5%) | <0.001 |
| No. of follow-up measurements | 3.30.1 | 3.00.1 | 4.20.7 | 3.70.5 | 3.10.6 | <0.001 |
| Following time (days) | 637.637.9 | 680.650.7 | 641.1102 | 542.669.6 | 445.685.6 | <0.001 |
| Comorbidity (%) | ||||||
| Diabetes | 588 (56.4%) | 405 (57.9%) | 588 (56.4%) | 52 (46.9%) | 84 (58.7%) | 0.147 |
| Hypertension | 582 (55.9%) | 332 (47.4%) | 582 (55.9%) | 84 (75.7%) | 106 (74.1%) | <0.001 |
| Cardiovascular diseases | 200 (19.2%) | 176 (25.1%) | 200 (19.2%) | 9 (8.1%) | 11 (7.7%) | <0.001 |
| Variables | Stage 3a | Stage 3b–5 | ||||
|---|---|---|---|---|---|---|
| n = 700 | n = 342 | |||||
| Hazard Ratio | 95% C.I. | p-Value | Hazard Ratio | 95% C.I. | p-Value | |
| Height (cm) | 1.003 | 0.971–1.036 | 0.843 | 0.981 | 0.952–1.011 | 0.201 |
| Weight (kg) | 0.984 | 0.960–1.009 | 0.218 | 1.003 | 0.981–1.025 | 0.819 |
| Age (years) | 0.986 | 0.962–1.010 | 0.255 | 0.971 | 0.953–0.988 | 0.001 |
| Male (%) | 1.338 | 0.722–2.477 | 0.355 | 0.766 | 0.451–1.302 | 0.325 |
| eGFR (mL/min/1.73 m2) | 0.898 | 0.863–0.935 | <0.001 | 0.878 | 0.849–0.908 | <0.001 |
| Hemoglobin (g/dL) | – | – | – | 0.64 | 0.560–0.731 | <0.001 |
| Hematocrit (%) | – | – | – | 0.926 | 0.903–0.951 | <0.001 |
| Serum albumin (g/dL) | – | – | – | 0.199 | 0.136–0.294 | <0.001 |
| Serum creatinine (mg/dL) | 27.7 | 8.275–92.720 | <0.001 | 1.142 | 1.102–1.184 | <0.001 |
| Urea nitrogen (mg/dL) | – | – | – | 1.031 | 1.024–1.038 | <0.001 |
| Sodium (mEQ/L) | – | – | – | 0.934 | 0.874–0.998 | 0.043 |
| Potassium (mEQ/L) | – | – | – | 0.944 | 0.695–1.281 | 0.71 |
| Calcium (mg/dL) | – | – | – | 0.741 | 0.629–0.874 | <0.001 |
| Phosphate (mg/dL) | – | – | – | 1.733 | 1.540–1.952 | <0.001 |
| ln urine protein/creatinine | 1.699 | 1.347–2.142 | <0.001 | 1.939 | 1.594–2.359 | <0.001 |
| Systolic blood pressure (mmHg) | 1.007 | 0.991–1.022 | 0.394 | 1.011 | 0.999–1.022 | 0.074 |
| Diastolic blood pressure (mmHg) | 0.983 | 0.957–1.010 | 0.222 | 1.014 | 0.996–1.031 | 0.127 |
| Uric Acid (mg/dL) | – | – | – | 1.044 | 0.920–1.186 | 0.502 |
| Cholesterol (mg/dL) | – | – | – | 1.004 | 0.998–1.010 | 0.192 |
| Triglyceride (mg/dL) | – | – | – | 1.003 | 1.000–1.005 | 0.039 |
| Low-density lipoprotein (mg/dL) | 0.97 | 0.923–1.015 | 0.197 | 1.001 | 0.993–1.009 | 0.842 |
| Fasting glucose (mg/dL) | – | – | – | 1.001 | 0.995–1.007 | 0.687 |
| Glycated hemoglobin (%) | 1.258 | 1.007–1.572 | 0.044 | 1.035 | 1.008–1.062 | 0.011 |
| Comorbidity (vs None) | ||||||
| Diabetes | 0.869 | 0.489–1.540 | 0.631 | 1.683 | 0.991–2.859 | 0.054 |
| Hypertension | 1.454 | 0.774–2.733 | 0.244 | 1.458 | 0.757–2.809 | 0.259 |
| Cardiovascular diseases | 0.77 | 0.343–1.728 | 0.526 | 0.465 | 0.113–1.908 | 0.287 |
| Variables | Stage 3a | Stage 3b–5 | ||||||||||
|---|---|---|---|---|---|---|---|---|---|---|---|---|
| n = 700 | n = 342 | |||||||||||
| Model 1 | Model 2 | Model 1 | Model 2 | Model 3 | Model 4 | |||||||
| AHR | 95% CI | AHR | 95% CI | AHR | 95% CI | AHR | 95% CI | AHR | 95% CI | AHR | 95% CI | |
| Age (year) | – | – | – | – | – | – | 0.974 | 0.953–0.996 | 0.974 | 0.953–0.996 | 0.973 | 0.950–0.996 |
| eGFR (mL/min/1.73 m2) | 0.938 | 0.888–0.992 | 0.94 | 0.889–0.994 | 0.931 | 0.885–0.980 | 0.926 | 0.879–0.975 | 0.927 | 0.880–0.976 | 0.923 | 0.873–0.975 |
| Hemoglobin (g/dL) | – | – | – | – | 0.889 | 0.720–1.097 | 0.861 | 0.698–1.063 | 0.859 | 0.695–1.061 | 0.799 | 0.641–0.997 |
| Serum albumin (g/dL) | – | – | – | – | 0.507 | 0.287–0.897 | 0.486 | 0.276–0.857 | 0.485 | 0.275–0.855 | 0.461 | 0.263–0.809 |
| Serum creatinine (mg/dL) | 4.437 | 0.856–22.99 | 4.408 | 0.857–22.67 | 1.103 | 1.018–1.195 | 1.094 | 1.002–1.196 | 1.099 | 1.004–1.204 | 1.068 | 0.933–1.222 |
| Urea nitrogen (mg/dL) | – | – | – | – | 0.995 | 0.981–1.011 | 0.999 | 0.984–1.015 | 0.999 | 0.984–1.015 | 1 | 0.984–1.017 |
| Sodium (mEQ/L) | – | – | – | – | 0.977 | 0.918–1.041 | 0.997 | 0.932–1.067 | 0.998 | 0.933–1.067 | 1.011 | 0.942–1.085 |
| Calcium (mg/dL) | – | – | – | – | 0.798 | 0.499–1.276 | 0.844 | 0.511–1.393 | 0.846 | 0.515–1.389 | 0.844 | 0.535–1.330 |
| Phosphate (mg/dL) | – | – | – | – | 1.243 | 0.943–1.639 | 1.122 | 0.833–1.512 | 1.115 | 0.825–1.507 | 1.087 | 0.780–1.514 |
| ln urine protein/creatinine | 1.586 | 1.258–1.999 | 1.573 | 1.241–1.995 | 1.611 | 1.271–2.042 | 1.485 | 1.184–1.864 | 1.507 | 1.183–1.922 | 1.422 | 1.119–1.808 |
| Glycated hemoglobin (%) | – | – | 1.035 | 0.814–1.316 | – | – | – | – | – | – | 1.015 | 0.967–1.066 |
| Systolic blood pressure (mmHg) | – | – | – | – | – | – | – | – | – | – | 1.016 | 1.001–1.032 |
| Triglyceride (mg/dL) | – | – | – | – | – | – | – | – | – | – | 1.001 | 0.998–1.032 |
| Diabetes (vs. None) | – | – | – | – | – | – | – | – | 0.889 | 0.498–1.586 | 0.99 | 0.554–1.770 |
| C statistics (p-value) | 0.786 (<0.001) | 0.783 (<0.001) | 0.901 (<0.001) | 0.905 (<0.001) | 0.905 (<0.001) | 0.905 (<0.001) | ||||||
| Likelihood ratio | 49.85 | 49.92 | 142 | 147.4 | 147.6 | 153.2 | ||||||
| p-value for the difference of likelihood ratio compared with that in the previous model) | – | 0.783 | – | 0.02 | 0.905 | 0.133 | ||||||
| Variables | Stage 3a | Stage 3b–5 | ||||||||||
|---|---|---|---|---|---|---|---|---|---|---|---|---|
| n = 700 | n = 342 | |||||||||||
| Model 1 | Model 2 | Model 1 | Model 2 | Model 3 | Model 4 | |||||||
| AHR | 95% CI | AHR | 95% CI | AHR | 95% CI | AHR | 95% CI | AHR | 95% CI | AHR | 95% CI | |
| Age (year) | – | – | – | – | – | – | 0.99 | 0.979–1.002 | 0.99 | 0.979–1.002 | 0.99 | 0.978–1.001 |
| eGFR (mL/min/1.73 m2) | 0.932 | 0.911–0.953 | 0.931 | 0.911–0.952 | 0.896 | 0.869–0.923 | 0.898 | 0.871–0.926 | 0.898 | 0.872–0.926 | 0.9 | 0.873–0.928 |
| Hemoglobin (g/dL) | – | – | – | – | 0.927 | 0.837–1.026 | 0.913 | 0.822–1.013 | 0.911 | 0.821–1.011 | 0.9 | 0.808–1.000 |
| Serum albumin (g/dL) | – | – | – | – | 0.917 | 0.637–1.320 | 0.874 | 0.606–1.261 | 0.884 | 0.613–1.275 | 0.991 | 0.980–1.003 |
| Serum creatinine (mg/dL) | 0.919 | 0.77–1.097 | 0.916 | 0.759–1.107 | 1.004 | 0.943–1.068 | 1.002 | 0.938–1.071 | 1.002 | 0.939–1.070 | 1.011 | 0.924–1.106 |
| Urea nitrogen (mg/dL) | – | – | – | – | 0.994 | 0.987–1.000 | 0.994 | 0.988–1.000 | 0.994 | 0.988–1.000 | 0.994 | 0.987–1.001 |
| Sodium (mEQ/L) | – | – | – | – | 1.025 | 0.991–1.060 | 1.027 | 0.993–1.062 | 1.029 | 0.995–1.064 | 1.029 | 0.994–1.065 |
| Calcium (mg/dL) | – | – | – | – | 0.695 | 0.547–0.883 | 0.731 | 0.572–0.935 | 0.74 | 0.577–0.948 | 0.768 | 0.599–0.985 |
| Phosphate (mg/dL) | – | – | – | – | 1.106 | 0.953–1.284 | 1.096 | 0.943–1.273 | 1.091 | 0.94–1.267 | 1.075 | 0.924–1.251 |
| ln urine protein/creatinine | 1.715 | 1.462–2.012 | 1.779 | 1.501–2.109 | 1.114 | 1.029–1.207 | 1.099 | 1.014–1.192 | 1.099 | 1.014–1.191 | 1.081 | 0.996–1.174 |
| Glycated hemoglobin (%) | – | – | 0.931 | 0.830–1.044 | – | – | – | – | – | – | 0.989 | 0.955–1.025 |
| Systolic blood pressure (mmHg) | – | – | – | – | – | – | – | – | – | – | 0.998 | 0.990–1.006 |
| Triglyceride (mg/dL) | – | – | – | – | – | – | – | – | – | – | 1.001 | 0.999–1.003 |
| Diabetes (vs. None) | – | – | – | – | – | – | – | – | 1.115 | 0.821–1.515 | 1.144 | 0.838–1.561 |
| C statistics (p-value) | 0.772 (<0.001) | 0.776 (<0.001) | 0.822 (<0.001) | 0.824 (<0.001) | 0.825 (<0.001) | 0.827 (<0.001) | ||||||
| Likelihood ratio | 125.6 | 127.2 | 279.5 | 282.3 | 282.8 | 285.6 | ||||||
| p-value for the difference of likelihood ratio compared with that in the previous model | – | 0.26 | – | 0.094 | 0.48 | 0.423 | ||||||
Publisher’s Note: MDPI stays neutral with regard to jurisdictional claims in published maps and institutional affiliations. |
© 2021 by the authors. Licensee MDPI, Basel, Switzerland. This article is an open access article distributed under the terms and conditions of the Creative Commons Attribution (CC BY) license (https://creativecommons.org/licenses/by/4.0/).
Share and Cite
Chang, Y.-P.; Liao, C.-M.; Wang, L.-H.; Hu, H.-H.; Lin, C.-M. Static and Dynamic Prediction of Chronic Renal Disease Progression Using Longitudinal Clinical Data from Taiwan’s National Prevention Programs. J. Clin. Med. 2021, 10, 3085. https://doi.org/10.3390/jcm10143085
Chang Y-P, Liao C-M, Wang L-H, Hu H-H, Lin C-M. Static and Dynamic Prediction of Chronic Renal Disease Progression Using Longitudinal Clinical Data from Taiwan’s National Prevention Programs. Journal of Clinical Medicine. 2021; 10(14):3085. https://doi.org/10.3390/jcm10143085
Chicago/Turabian StyleChang, Yi-Ping, Chen-Mao Liao, Li-Hsin Wang, Hsiu-Hua Hu, and Chih-Ming Lin. 2021. "Static and Dynamic Prediction of Chronic Renal Disease Progression Using Longitudinal Clinical Data from Taiwan’s National Prevention Programs" Journal of Clinical Medicine 10, no. 14: 3085. https://doi.org/10.3390/jcm10143085
APA StyleChang, Y.-P., Liao, C.-M., Wang, L.-H., Hu, H.-H., & Lin, C.-M. (2021). Static and Dynamic Prediction of Chronic Renal Disease Progression Using Longitudinal Clinical Data from Taiwan’s National Prevention Programs. Journal of Clinical Medicine, 10(14), 3085. https://doi.org/10.3390/jcm10143085

