Durability of Protection Post–Primary COVID-19 Vaccination in the United States
Abstract
:1. Introduction
2. Materials and Methods
2.1. Study Design
2.2. Population
2.3. Exposure
2.4. Statistical Analysis
3. Results
3.1. Vaccine Cohorts, Cases, and Controls
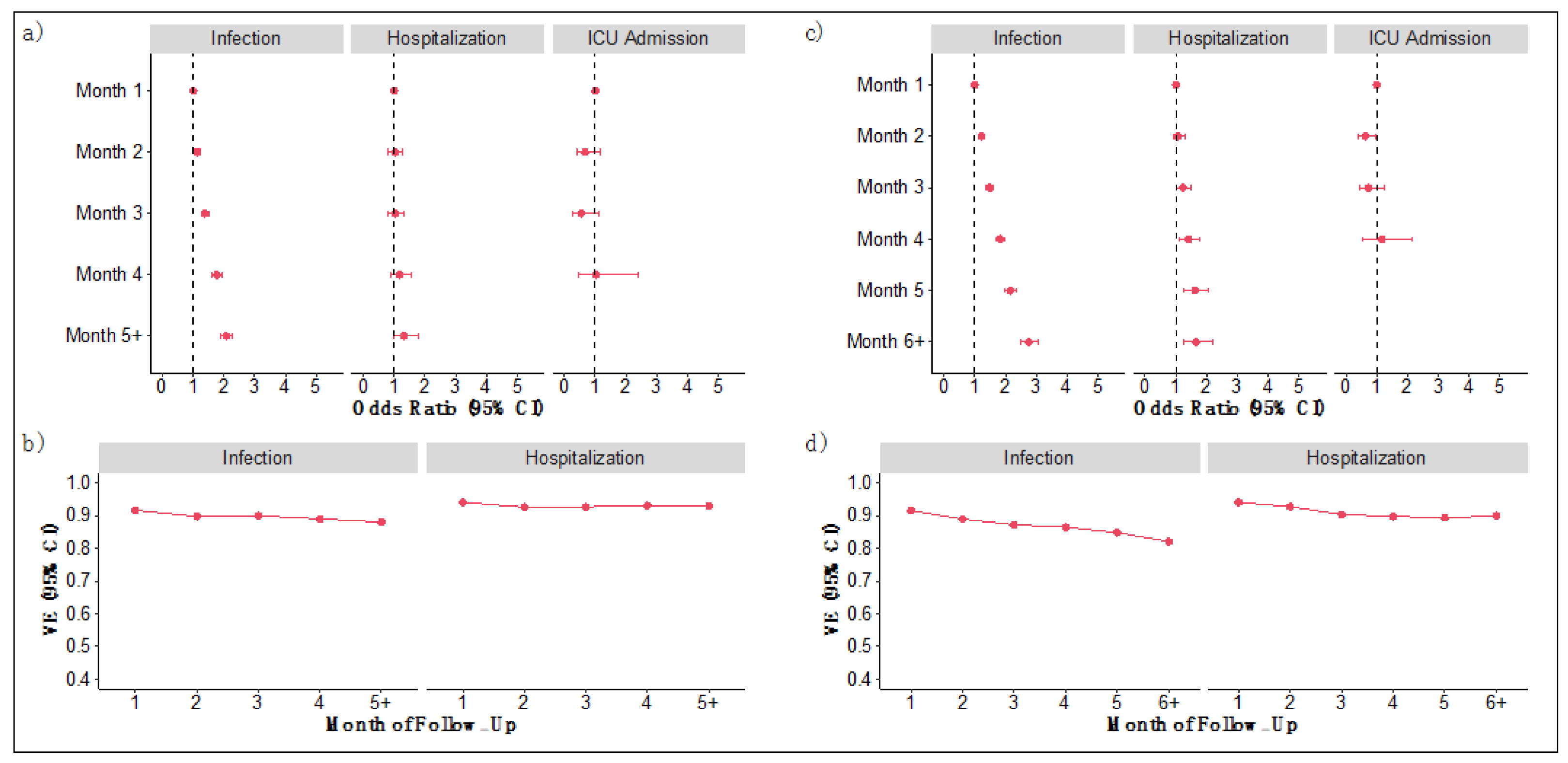
3.2. Change in Effectiveness of Ad26.COV2.S over Time
3.3. Change in Effectiveness of BNT162b2 over Time
3.4. Change in Effectiveness of mRNA-1273 over Time
4. Discussion
5. Conclusions
Supplementary Materials
Author Contributions
Funding
Institutional Review Board Statement
Informed Consent Statement
Data Availability Statement
Acknowledgments
Conflicts of Interest
References
- Polack, F.P.; Thomas, S.J.; Kitchin, N.; Absalon, J.; Gurtman, A.; Lockhart, S.; Perez, J.L.; Pérez Marc, G.; Moreira, E.D.; Zerbini, C.; et al. Safety and efficacy of the BNT162b2 mRNA COVID-19 vaccine. N. Engl. J. Med. 2020, 383, 2603–2615. [Google Scholar] [CrossRef] [PubMed]
- Sadoff, J.; Gray, G.; Vandebosch, A.; Cárdenas, V.; Shukarev, G.; Grinsztejn, B.; Goepfert, P.A.; Truyers, C.; Fennema, H.; Spiessens, B.; et al. Safety and efficacy of single-dose Ad26.COV2.S vaccine against COVID-19. N. Engl. J. Med. 2021, 384, 2187–2201. [Google Scholar] [CrossRef] [PubMed]
- Baden, L.R.; El Sahly, H.M.; Essink, B.; Kotloff, K.; Frey, S.; Novak, R.; Diemert, D.; Spector, S.A.; Rouphael, N.; Creech, C.B.; et al. Efficacy and safety of the mRNA-1273 SARS-CoV-2 vaccine. N. Engl. J. Med. 2021, 384, 403–416. [Google Scholar] [CrossRef] [PubMed]
- Polinski, J.M.; Weckstein, A.R.; Batech, M.; Kabelac, C.; Kamath, T.; Harvey, R.; Jain, S.; Rassen, J.A.; Khan, N.; Schneeweiss, S. Effectiveness of the single-dose Ad26.COV2.S COVID vaccine. medRxiv 2021. [Google Scholar] [CrossRef]
- Tartof, S.Y.; Slezak, J.M.; Fischer, H.; Hong, V.; Ackerson, B.K.; Ranasinghe, O.N.; Frankland, T.B.; Ogun, O.A.; Zamparo, J.M.; Gray, S.; et al. Effectiveness of mRNA BNT162b2 COVID-19 vaccine up to 6 months in a large integrated health system in the USA: A retrospective cohort study. Lancet 2021, 398, 1407–1416. [Google Scholar] [CrossRef]
- Haas, E.J.; Angulo, F.J.; McLaughlin, J.M.; Anis, E.; Singer, S.R.; Khan, F.; Brooks, N.; Smaja, M.; Mircus, G.; Pan, K.; et al. Impact and effectiveness of mRNA BNT162b2 vaccine against SARS-CoV-2 infections and COVID-19 cases, hospitalisations, and deaths following a nationwide vaccination campaign in Israel: An observational study using national surveillance data. Lancet 2021, 397, 1819–1829. [Google Scholar] [CrossRef]
- Self, W.H.; Tenforde, M.W.; Rhoads, J.P.; Gaglani, M.; Ginde, A.A.; Douin, D.J.; Olson, S.M.; Talbot, H.K.; Casey, J.D.; Mohr, N.M.; et al. Comparative effectiveness of Moderna, Pfizer-BioNTech, and Janssen (Johnson & Johnson) vaccines in preventing COVID-19 hospitalizations among adults without immunocompromising conditions—United States, March–August 2021. MMWR Morb. Mortal. Wkly. Rep. 2021, 70, 1337–1343. [Google Scholar] [CrossRef]
- Puranik, A.; Lenehan, P.J.; Silvert, E.; Niesen, M.J.; Corchado-Garcia, J.; O’Horo, J.C.; Virk, A.; Swift, M.D.; Gordon, J.E.; Speicher, L.L.; et al. Comparative effectiveness of mRNA-1273 and BNT162b2 against symptomatic SARS-CoV-2 infection. Med 2022, 3, 28–41.e8. [Google Scholar] [CrossRef]
- Rosenberg, E.S.; Dorabawila, V.; Easton, D.; Bauer, U.E.; Kumar, J.; Hoen, R.; Hoefer, D.; Wu, M.; Lutterloh, E.; Conroy, M.B.; et al. COVID-19 vaccine effectiveness in New York State. N. Engl. J. Med. 2022, 386, 116–127. [Google Scholar] [CrossRef]
- Poukka, E.; Baum, U.; Palmu, A.A.; Lehtonen, T.O.; Salo, H.; Nohynek, H.; Leino, T. Cohort study of COVID-19 vaccine effectiveness among healthcare workers in Finland, December 2020–October 2021. Vaccine 2022, 40, 701–705. [Google Scholar] [CrossRef] [PubMed]
- Hagan, L.M.; McCormick, D.W.; Lee, C.; Sleweon, S.; Nicolae, L.; Dixon, T.; Banta, R.; Ogle, I.; Young, C.; Dusseau, C.; et al. Outbreak of SARS-CoV-2 B.1.617.2 (Delta) variant infections among incarcerated persons in a federal prison—Texas, July–August 2021. MMWR Morb. Mortal. Wkly. Rep. 2021, 70, 1349–1354. [Google Scholar] [CrossRef] [PubMed]
- Rovida, F.; Cassaniti, I.; Paolucci, S.; Percivalle, E.; Sarasini, A.; Piralla, A.; Giardina, F.; Sammartino, J.C.; Ferrari, A.; Bergami, F.; et al. SARS-CoV-2 vaccine breakthrough infections with the alpha variant are asymptomatic or mildly symptomatic among health care workers. Nat. Commun. 2021, 12, 6032. [Google Scholar] [CrossRef] [PubMed]
- Nunes, B.; Rodrigues, A.P.; Kislaya, I.; Cruz, C.; Peralta-Santos, A.; Lima, J.; Pinto Leite, P.; Sequeira, D.; Matias Dias, C.; Machado, A. mRNA vaccine effectiveness against COVID-19-related hospitalisations and deaths in older adults: A cohort study based on data linkage of national health registries in Portugal, February to August 2021. Eurosurveillance 2021, 26, 2100833. [Google Scholar] [CrossRef] [PubMed]
- Ray, G.T.; Lewis, N.; Klein, N.P.; Daley, M.F.; Wang, S.V.; Kulldorff, M.; Fireman, B. Intraseason waning of influenza vaccine effectiveness. Clin. Infect. Dis. 2019, 68, 1623–1630. [Google Scholar] [CrossRef]
- Klein, N.P.; Bartlett, J.; Rowhani-Rahbar, A.; Fireman, B.; Baxter, R. Waning protection after fifth dose of acellular pertussis vaccine in children. N. Engl. J. Med. 2012, 367, 1012–1019. [Google Scholar] [CrossRef]
- Stay Up to Date with Your Vaccines. Available online: https://www.cdc.gov/coronavirus/2019-ncov/vaccines/stay-up-to-date.html?CDC_AA_refVal=https%3A%2F%2Fwww.cdc.gov%2Fcoronavirus%2F2019-ncov%2Fvaccines%2Ffully-vaccinated.html (accessed on 22 February 2022).
- Quarantine and Isolation. Available online: https://www.cdc.gov/coronavirus/2019-ncov/your-health/quarantine-isolation.html (accessed on 22 February 2022).
- Rosati, K.; Jorgensen, N.; Soliz, M.; Evans, B.J. Sentinel Initiative Principles and Policies. HIPAA and Common Rule Compliance in the Sentinel Initiative. Available online: https://www.sentinelinitiative.org/sites/default/files/communications/publications-presentations/HIPAA-Common-Rule-Compliance-in-Sentinel-Initiative.pdf (accessed on 22 February 2022).
- COVID-19 Vaccines That Require 2 Shots. Available online: https://www.cdc.gov/coronavirus/2019-ncov/vaccines/second-shot.html (accessed on 22 February 2022).
- Trends in Number of COVID-19 Vaccinations in the US. Available online: https://covid.cdc.gov/covid-data-tracker/#vaccination-trends_vacctrends-fully-cum (accessed on 22 February 2022).
- Keisler-Starkey, K.; Bunch, L.N. Health Insurance Coverage in the United States: 2019; U.S. Government Publishing Office: Washington, DC, USA, 2020.
- Verani, J.R.; Baqui, A.H.; Broome, C.V.; Cherian, T.; Cohen, C.; Farrar, J.L.; Feikin, D.R.; Groome, M.J.; Hajjeh, R.A.; Johnson, H.L.; et al. Case-control vaccine effectiveness studies: Data collection, analysis and reporting results. Vaccine 2017, 35, 3303–3308. [Google Scholar] [CrossRef]
- Collier, A.Y.; Yu, J.; McMahan, K.; Liu, J.; Chandrashekar, A.; Maron, J.S.; Atyeo, C.; Martinez, D.R.; Ansel, J.L.; Aguayo, R.; et al. Differential kinetics of immune responses elicited by COVID-19 vaccines. N. Engl. J. Med. 2021, 385, 2010–2012. [Google Scholar] [CrossRef]
- Atmar, R.L.; Lyke, K.E.; Deming, M.E.; Jackson, L.A.; Branche, A.R.; El Sahly, H.M.; Rostad, C.A.; Martin, J.M.; Johnston, C.; Rupp, R.E.; et al. Homologous and heterologous COVID-19 booster vaccinations. N. Engl. J. Med. 2022, 386, 1046–1057. [Google Scholar] [CrossRef]
- Bruxvoort, K.J.; Sy, L.S.; Qian, L.; Ackerson, B.K.; Luo, Y.; Lee, G.S.; Tian, Y.; Florea, A.; Takhar, H.S.; Tubert, J.E.; et al. Real-world effectiveness of the mRNA-1273 vaccine against COVID-19: Interim results from a prospective observational cohort study. Lancet Reg. Health Am. 2021, 6, 100134. [Google Scholar] [CrossRef]
- Feikin, D.R.; Higdon, M.M.; Abu-Raddad, L.J.; Andrews, N.; Araos, R.; Goldberg, Y.; Groome, M.J.; Huppert, A.; O’Brien, K.L.; Smith, P.G.; et al. Duration of effectiveness of vaccines against SARS-CoV-2 infection and COVID-19 disease: Results of a systematic review and meta-regression. Lancet 2022, 399, 924–944. [Google Scholar] [CrossRef]
- Lin, D.Y.; Gu, Y.; Wheeler, B.; Young, H.; Holloway, S.; Sunny, S.K.; Moore, Z.; Zeng, D. Effectiveness of COVID-19 vaccines over a 9-month period in North Carolina. N. Engl. J. Med. 2022, 386, 933–941. [Google Scholar] [CrossRef]
- Robles-Fontán, M.M.; Nieves, E.G.; Cardona-Gerena, I.; Irizarry, R.A. Effectiveness estimates of three COVID-19 vaccines based on observational data from Puerto Rico. Lancet Reg. Health Am. 2022, 9, 100212. [Google Scholar] [CrossRef] [PubMed]
- Martínez-Baz, I.; Trobajo-Sanmartín, C.; Miqueleiz, A.; Guevara, M.; Fernández-Huerta, M.; Burgui, C.; Casado, I.; Portillo, M.E.; Navascués, A.; Ezpeleta, C.; et al. Product-specific COVID-19 vaccine effectiveness against secondary infection in close contacts, Navarre, Spain, April to August 2021. Eurosurveillance 2021, 26, 2100894. [Google Scholar] [CrossRef]
- Chemaitelly, H.; Tang, P.; Hasan, M.R.; AlMukdad, S.; Yassine, H.M.; Benslimane, F.M.; Al Khatib, H.A.; Coyle, P.; Ayoub, H.H.; Al Kanaani, Z.; et al. Waning of BNT162b2 vaccine protection against SARS-CoV-2 infection in Qatar. N. Engl. J. Med. 2021, 385, e83. [Google Scholar] [CrossRef] [PubMed]
- Harvey, R.A.; Rassen, J.A.; Kabelac, C.A.; Turenne, W.; Leonard, S.; Klesh, R.; Meyer, W.A., III; Kaufman, H.W.; Anderson, S.; Cohen, O.; et al. Association of SARS-CoV-2 seropositive antibody test with risk of future infection. JAMA Intern. Med. 2021, 181, 672–679. [Google Scholar] [CrossRef] [PubMed]
- Murk, W.; Gierada, M.; Fralick, M.; Weckstein, A.; Klesh, R.; Rassen, J.A. Diagnosis-wide analysis of COVID-19 complications: An exposure-crossover study. Can. Med. Assoc. J. 2021, 193, E10–E18. [Google Scholar] [CrossRef]
- Schneeweiss, M.C.; Leonard, S.; Weckstein, A.; Schneeweiss, S.; Rassen, J.A. Renin-angiotensin-aldosterone-system inhibitor use in patients with COVID-19 infection and prevention of serious events: A cohort study in commercially insured patients in the US. medRxiv 2020. [Google Scholar] [CrossRef]
- Gordon, D.E.; Hiatt, J.; Bouhaddou, M.; Rezelj, V.V.; Ulferts, S.; Braberg, H.; Jureka, A.S.; Obernier, K.; Guo, J.Z.; Batra, J.; et al. Comparative host-coronavirus protein interaction networks reveal pan-viral disease mechanisms. Science 2020, 370, eabe9403. [Google Scholar] [CrossRef]
- Gagne, J.J.; Glynn, R.J.; Avorn, J.; Levin, R.; Schneeweiss, S. A combined comorbidity score predicted mortality in elderly patients better than existing scores. J. Clin. Epidemiol. 2011, 64, 749–759. [Google Scholar] [CrossRef] [PubMed]
- Wacholder, S.; McLaughlin, J.K.; Silverman, D.T.; Mandel, J.S. Selection of controls in case-control studies. I. Principles. Am. J. Epidemiol. 1992, 135, 1019–1028. [Google Scholar] [CrossRef]
- FDA Approves First COVID-19 Vaccine. Available online: https://www.fda.gov/news-events/press-announcements/fda-approves-first-covid-19-vaccine (accessed on 5 October 2021).
- Spikevax and Moderna COVID-19 Vaccine. Available online: https://www.fda.gov/emergency-preparedness-and-response/coronavirus-disease-2019-covid-19/moderna-covid-19-vaccine (accessed on 5 October 2021).
- Janssen COVID-19 Vaccine. Available online: https://www.fda.gov/emergency-preparedness-and-response/coronavirus-disease-2019-covid-19/janssen-covid-19-vaccine (accessed on 5 October 2021).
- Dixon, P.M. Bootstrap resampling. In Encyclopedia of Environmetrics; El-Shaarawi, A.H., Piegorsch, W.W., Eds.; John Wiley & Sons, Ltd.: Chichester, UK, 2006. [Google Scholar]
- Oran, D.P.; Topol, E.J. Prevalence of asymptomatic SARS-CoV-2 infection. Ann. Intern. Med. 2021, 174, 286–287. [Google Scholar] [CrossRef] [PubMed]
- Johansson, M.A.; Quandelacy, T.M.; Kada, S.; Prasad, P.V.; Steele, M.; Brooks, J.T.; Slayton, R.B.; Biggerstaff, M.; Butler, J.C. SARS-CoV-2 transmission from people without COVID-19 symptoms. JAMA Netw. Open 2021, 4, e2035057. [Google Scholar] [CrossRef] [PubMed]
- Subramanian, R.; He, Q.; Pascual, M. Quantifying asymptomatic infection and transmission of COVID-19 in New York City using observed cases, serology, and testing capacity. Proc. Natl. Acad. Sci. USA 2021, 118, e2019716118. [Google Scholar] [CrossRef] [PubMed]
- Thompson, M.G.; Burgess, J.L.; Naleway, A.L.; Tyner, H.L.; Yoon, S.K.; Meece, J.; Olsho, L.E.; Caban-Martinez, A.J.; Fowlkes, A.; Lutrick, K.; et al. Interim estimates of vaccine effectiveness of BNT162b2 and mRNA-1273 COVID-19 vaccines in preventing SARS-CoV-2 infection among health care personnel, first responders, and other essential and frontline workers—Eight U.S. locations, December 2020–March 2021. MMWR Morb. Mortal. Wkly. Rep. 2021, 70, 495–500. [Google Scholar] [CrossRef] [PubMed]



| Characteristic | Ad26.COV2.S No. (%) | All BNT162b2 No. (%) | BNT162b2 No. (%) (for Primary Vaccine Regimens Using a Subset of Data Available from 27 February 2021–7 September 2021) | All mRNA-1273 No. (%) | mRNA-1273 No. (%) (for Primary Vaccine Regimens Using a Subset of Data Available from 27 February 2021–7 September 2021) |
|---|---|---|---|---|---|
| No. | 1,761,498 | 7,903,410 | 6,700,042 | 7,352,527 | 6,466,763 |
| Age, mean (SD) | 50.9 (17.5) | 53.1 (19.4) | 50.3 (17.9) | 56.6 (18.8) | 55.3 (18.3) |
| Age group (years) | |||||
| 18–24 | 156,961 (8.9%) | 683,915 (8.7%) | 651,453 (9.7%) | 457,258 (6.2%) | 435,240 (6.7%) |
| 25–29 | 98,955 (5.6%) | 451,780 (5.7%) | 421,484 (6.3%) | 333,920 (4.5%) | 309,484 (4.8%) |
| 30–34 | 111,886 (6.4%) | 512,443 (6.5%) | 478,469 (7.1%) | 379,781 (5.2%) | 351,542 (5.4%) |
| 35–39 | 123,369 (7.0%) | 537,280 (6.8%) | 499,979 (7.5%) | 407,096 (5.5%) | 374,108 (5.8%) |
| 40–44 | 130,393 (7.4%) | 544,381 (6.9%) | 504,248 (7.5%) | 422,532 (5.7%) | 386,331 (6.0%) |
| 45–49 | 144,644 (8.2%) | 573,498 (7.3%) | 529,015 (7.9%) | 451,982 (6.1%) | 414,420 (6.4%) |
| 50–54 | 181,413 (10.3%) | 681,287 (8.6%) | 625,690 (9.3%) | 569,539 (7.7%) | 526,020 (8.1%) |
| 55–59 | 213,464 (12.1%) | 797,898 (10.1%) | 727,649 (10.9%) | 699,247 (9.5%) | 648,792 (10.0%) |
| 60–64 | 218,591 (12.4%) | 869,285 (11.0%) | 787,033 (11.7%) | 813,055 (11.1%) | 753,929 (11.7%) |
| 65–69 | 143,103 (8.1%) | 662,119 (8.4%) | 549,080 (8.2%) | 907,660 (12.3%) | 799,975 (12.4%) |
| 70–74 | 104,923 (6.0%) | 553,754 (7.0%) | 408,479 (6.1%) | 766,263 (10.4%) | 642,708 (9.9%) |
| 75–79 | 62,574 (3.6%) | 371,754 (4.7%) | 235,230 (3.5%) | 485,138 (6.6%) | 374,793 (5.8%) |
| 80–84 | 32,566 (1.8%) | 230,994 (2.9%) | 127,075 (1.9%) | 274,499 (3.7%) | 202,833 (3.1%) |
| 85+ | 38,455 (2.2%) | 432,561 (5.5%) | 154,822 (2.3%) | 383,911 (5.2%) | 246,018 (3.8%) |
| Sex | |||||
| Male | 845,728 (48.0%) | 3,286,709 (41.6%) | 2,869,428 (42.8%) | 3,125,010 (42.5%) | 2,794,551 (43.2%) |
| Female | 915,727 (52.0%) | 4,616,322 (58.4%) | 3,830,239 (57.2%) | 4,227,255 (57.5%) | 3,671,984 (56.8%) |
| Gagne combined comorbidity score | |||||
| Mean (SD) | 0.41 (1.28) | 0.53 (1.48) | 0.41 (1.28) | 0.52 (1.46) | 0.48 (1.39) |
| Median (IQR) | 0.0 (0.0) | 0.0 (1.0) | 0.0 (0.0) | 0.0 (1.0) | 0.0 (1.0) |
| Comorbidity score category | |||||
| <2 | 1,576,908 (89.5%) | 6,865,542 (86.9%) | 5,993,827 (89.4%) | 6,375,144 (86.7%) | 5,665,073 (87.6%) |
| 2–3 | 126,114 (7.2%) | 662,133 (8.4%) | 483,613 (7.2%) | 635,831 (8.6%) | 533,955 (8.3%) |
| 4–5 | 34,213 (1.9%) | 212,538 (2.7%) | 129,349 (1.9%) | 199,039 (2.7%) | 157,664 (2.4%) |
| 6+ | 24,263 (1.4%) | 163,197 (2.1%) | 93,253 (1.4%) | 142,513 (1.9%) | 110,071 (1.7%) |
| Medicaid insured | 154,072 (8.7%) | 570,587 (7.2%) | 485,282 (7.2%) | 554,110 (7.5%) | 475,092 (7.3%) |
Publisher’s Note: MDPI stays neutral with regard to jurisdictional claims in published maps and institutional affiliations. |
© 2022 by the authors. Licensee MDPI, Basel, Switzerland. This article is an open access article distributed under the terms and conditions of the Creative Commons Attribution (CC BY) license (https://creativecommons.org/licenses/by/4.0/).
Share and Cite
Zheutlin, A.; Ott, M.; Sun, R.; Zemlianskaia, N.; Meyer, C.S.; Rubel, M.; Hayden, J.; Neri, B.; Kamath, T.; Khan, N.; et al. Durability of Protection Post–Primary COVID-19 Vaccination in the United States. Vaccines 2022, 10, 1458. https://doi.org/10.3390/vaccines10091458
Zheutlin A, Ott M, Sun R, Zemlianskaia N, Meyer CS, Rubel M, Hayden J, Neri B, Kamath T, Khan N, et al. Durability of Protection Post–Primary COVID-19 Vaccination in the United States. Vaccines. 2022; 10(9):1458. https://doi.org/10.3390/vaccines10091458
Chicago/Turabian StyleZheutlin, Amanda, Miles Ott, Ran Sun, Natalia Zemlianskaia, Craig S. Meyer, Meagan Rubel, Jennifer Hayden, Breno Neri, Tripthi Kamath, Najat Khan, and et al. 2022. "Durability of Protection Post–Primary COVID-19 Vaccination in the United States" Vaccines 10, no. 9: 1458. https://doi.org/10.3390/vaccines10091458
APA StyleZheutlin, A., Ott, M., Sun, R., Zemlianskaia, N., Meyer, C. S., Rubel, M., Hayden, J., Neri, B., Kamath, T., Khan, N., Schneeweiss, S., & Sarsour, K. (2022). Durability of Protection Post–Primary COVID-19 Vaccination in the United States. Vaccines, 10(9), 1458. https://doi.org/10.3390/vaccines10091458

