Impact of Different Pasteurization Techniques and Subsequent Ultrasonication on the In Vitro Bioaccessibility of Carotenoids in Valencia Orange (Citrus sinensis (L.) Osbeck) Juice
Abstract
1. Introduction
2. Materials and Methods
2.1. Orange Juice
2.2. Chemicals and Standards
2.3. Thermal Pasteurization Treatments
2.4. Pulsed Electric Field Treatment
2.5. High Pressure Processing
2.6. Ultrasound Treatment
2.7. Estimation of Ascorbic Acid Content
2.8. Simulated In Vitro Gastrointestional Model and Bioaccessibility of Carotenoids
2.9. Carotenoid Analysis
2.9.1. Carotenoid Extraction
2.9.2. Quantification and Identification of Carotenoids
2.10. Statistical Analysis
3. Results and Discussion
3.1. Ascorbic Acid Content
3.2. Carotenoid Identification
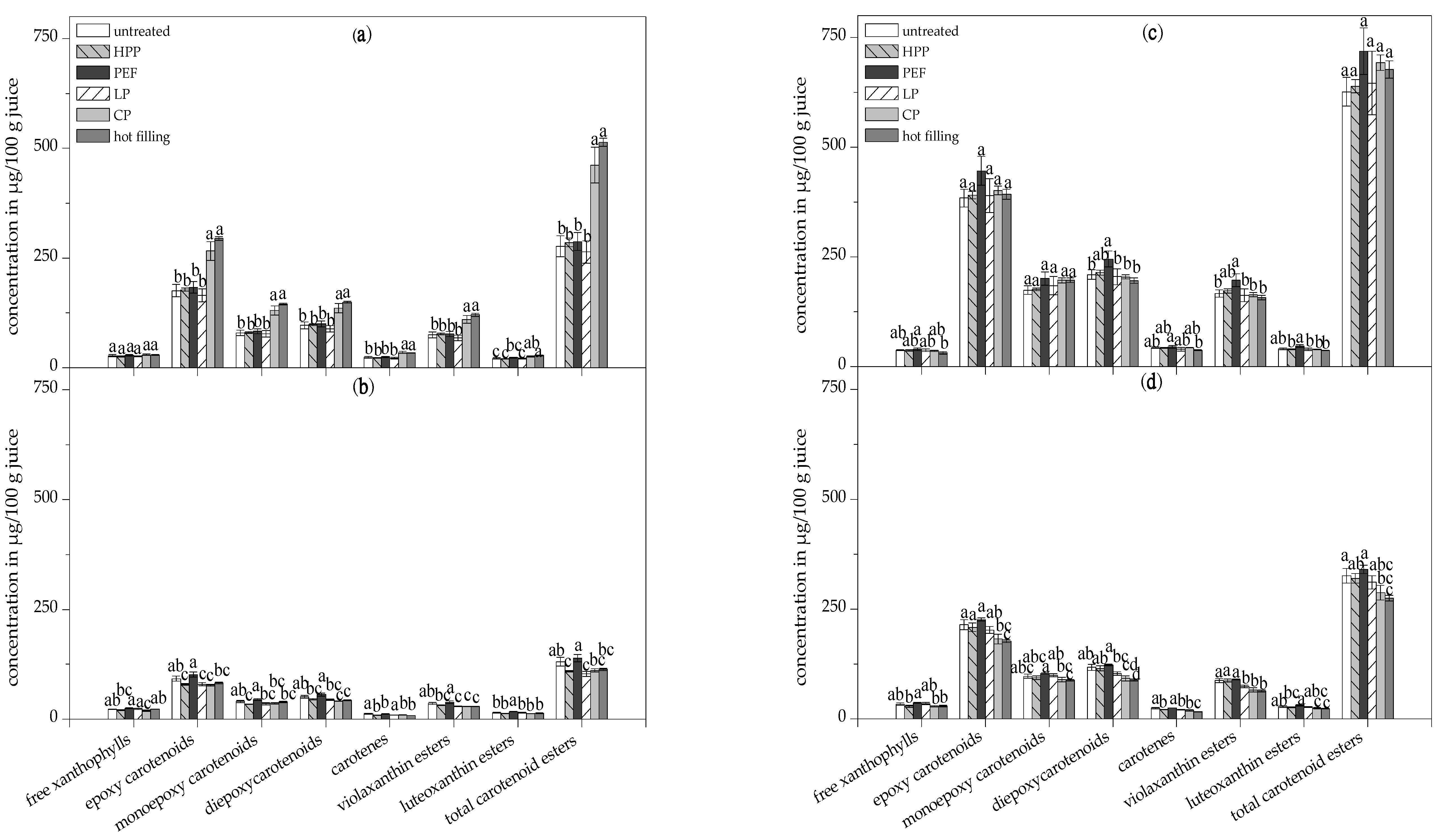
3.3. Effects of Pasteurization on the Carotenoid Content and Profile
3.4. Effects of Additional Ultrasonication on the Carotenoid Content and Profile of Pasteurized Juices
3.5. Effects of Pasteurization on the In Vitro Bioaccesbility of Orange Juice Carotenoids
3.6. Effects of Additional Ultrasonication on the In Vitro Carotenoid Bioaccessbility of Pasteurized Orange Juices
3.7. Micellarization Efficiency and Carotenoid Structure
4. Conclusions
Supplementary Materials
Author Contributions
Funding
Conflicts of Interest
References
- Hodgins, A.; Mittal, G.; Griffiths, M. Pasteurization of fresh orange juice using low-energy pulsed electrical field. J. Food Sci. 2002, 67, 2294–2299. [Google Scholar] [CrossRef]
- Yeom, H.W.; Streaker, C.B.; Zhang, Q.; Min, D.B. Effects of pulsed electric fields on the quality of orange juice and comparison with heat pasteurization. J. Agric. Food Chem. 2000, 48, 4597–4605. [Google Scholar] [CrossRef]
- Brasili, E.; Chaves, D.F.S.; Xavier, A.A.O.; Mercadante, A.Z.; Hassimotto, N.M.A.; Lajolo, F.M. Effect of pasteurization on flavonoids and carotenoids in Citrus sinensis (L.) Osbeck cv. ‘Cara Cara’ and ’Bahia’ juices. J. Agric. Food Chem. 2017, 65, 1371–1377. [Google Scholar] [CrossRef] [PubMed]
- Başkan, K.S.; Tütem, E.; Özer, N.; Apak, R. Spectrophotometric and chromatographic assessment of contributions of carotenoids and chlorophylls to the total antioxidant capacities of plant foods. J. Agric. Food Chem. 2013, 61, 11371–11381. [Google Scholar] [CrossRef] [PubMed]
- Cooperstone, J.L.; Schwartz, S.J. Recent insights into health benefits of carotenoids. In Handbook on Natural Pigments in Food and Beverages. Industrial Applications for Improving Food Color; Carle, R., Schweiggert, R., Eds.; Woodhead Publishing: Sawston, UK, 2016; pp. 473–497. [Google Scholar]
- Eisenhauer, B.; Natoli, S.; Liew, G.; Flood, V.M. Lutein and zeaxanthin—Food sources, bioavailability and dietary variety in age-related macular degeneration protection. Nutrients 2017, 9, 120. [Google Scholar] [CrossRef]
- Plaza, L.; Sánchez-Moreno, C.; De Ancos, B.; Elez-Martinez, P.; Martín-Belloso, O.; Cano, M.P. Carotenoid and flavanone content during refrigerated storage of orange juice processed by high-pressure, pulsed electric fields and low pasteurization. LWT 2011, 44, 834–839. [Google Scholar] [CrossRef]
- Boon, C.S.; McClements, D.J.; Weiss, J.; Decker, E.A. Factors influencing the chemical stability of carotenoids in foods. Crit. Rev. Food Sci. Nutr. 2010, 50, 515–532. [Google Scholar] [CrossRef]
- Rastogi, N.K.; Raghavarao, K.S.M.S.; Balasubramaniam, V.M.; Niranjan, K.; Knorr, D. Opportunities and challenges in high pressure processing of foods. Crit. Rev. Food Sci. Nutr. 2007, 47, 69–112. [Google Scholar] [CrossRef]
- Sánchez-Moreno, C.; Plaza, L.; De Ancos, B.; Cano, M.P. Vitamin C, provitamin A carotenoids, and other carotenoids in high-pressurized orange juice during refrigerated storage. J. Agric. Food Chem. 2003, 51, 647–653. [Google Scholar] [CrossRef]
- Jabbar, S.; Abid, M.; Hu, B.; Wu, T.; Hashim, M.M.; Lei, S.; Zhu, X.; Zeng, X. Quality of carrot juice as influenced by blanching and sonication treatments. LWT 2014, 55, 16–21. [Google Scholar] [CrossRef]
- Etzbach, L.; Pfeiffer, A.; Schieber, A.; Weber, F. Effects of thermal pasteurization and ultrasound treatment on the peroxidase activity, carotenoid composition, and physicochemical properties of goldenberry (Physalis peruviana L.) puree. LWT 2019, 100, 69–74. [Google Scholar] [CrossRef]
- Santos, L.E.O.; Martínez-Girón, J.; Arias-Jaramillo, M.E. Effect of ultrasound treatment on visual color, vitamin C, total phenols, and carotenoids content in Cape gooseberry juice. Food Chem. 2017, 233, 96–100. [Google Scholar] [CrossRef] [PubMed]
- Zinoviadou, K.G.; Galanakis, C.M.; Brnčić, M.; Grimi, N.; Boussetta, N.; Mota, M.; Saraiva, J.A.; Patras, A.; Tiwari, B.; Barba, F.J. Fruit juice sonication: Implications on food safety and physicochemical and nutritional properties. Food Res. Int. 2015, 77, 743–752. [Google Scholar] [CrossRef]
- Saini, R.K.; Nile, S.H.; Park, S.W. Carotenoids from fruits and vegetables: Chemistry, analysis, occurrence, bioavailability and biological activities. Food Res. Int. 2015, 76, 735–750. [Google Scholar] [CrossRef]
- Rodrigo, M.J.; Cilla, A.; Barberá, R.; Zacarías, L. Carotenoid bioaccessibility in pulp and fresh juice from carotenoid-rich sweet oranges and mandarins. Food Funct. 2015, 6, 1950–1959. [Google Scholar] [CrossRef]
- Canene-Adams, K.; Erdman, J.W.; Erdman, J.W. Absorption, transport, distribution in tissues and bioavailability. Carotenoids 2009, 115–148. [Google Scholar] [CrossRef]
- Barba, F.J.; Mariutti, L.R.B.; Bragagnolo, N.; Mercadante, A.Z.; Barbosa-Cánovas, G.V.; Orlien, V. Bioaccessibility of bioactive compounds from fruits and vegetables after thermal and nonthermal processing. Trends Food Sci. Technol. 2017, 67, 195–206. [Google Scholar] [CrossRef]
- Muntean, M.-V.; Marian, O.; Barbieru, V.; Cătunescu, G.M.; Ranta, O.; Drocas, I.; Terhes, S. High pressure processing in food industry—Characteristics and applications. Agric. Agric. Sci. Procedia 2016, 10, 377–383. [Google Scholar] [CrossRef]
- Da Silva, T.; Aguiar-Oliveira, E.; Mazalli, M.; Kamimura, E.; Maldonado, R. Comparison between titrimetric and spectrophotometric methods for quantification of vitamin C. Food Chem. 2017, 224, 92–96. [Google Scholar] [CrossRef]
- Chandrika, U.G.; Fernando, K.S.S.P.; Ranaweera, K.K.D.S. Carotenoid content and in vitro bioaccessibility of lycopene from guava (Psidium guajava) and watermelon (Citrullus lanatus) by high-performance liquid chromatography diode array detection. Int. J. Food Sci. Nutr. 2008, 60, 1–9. [Google Scholar] [CrossRef]
- Colle, I.; Lemmens, L.; Van Buggenhout, S.; Van Loey, A.; Hendrickx, M. Effect of thermal processing on the degradation, isomerization, and bioaccessibility of lycopene in tomato pulp. J. Food Sci. 2010, 75, 753–759. [Google Scholar] [CrossRef]
- Etzbach, L.; Pfeiffer, A.; Weber, F.; Schieber, A. Characterization of carotenoid profiles in goldenberry (Physalis peruviana L.) fruits at various ripening stages and in different plant tissues by HPLC-DAD-APCI-MSn. Food Chem. 2017, 245, 508–517. [Google Scholar] [CrossRef] [PubMed]
- Gama, J.; Sylos, C. Major carotenoid composition of Brazilian Valencia orange juice: Identification and quantification by HPLC. Food Res. Int. 2005, 38, 899–903. [Google Scholar] [CrossRef]
- Britton, G.; Liaaen-Jensen, S.; Pfander, H. Carotenoids: Handbook; Birkhäuser: Basel, Switzerland, 2012. [Google Scholar]
- Petry, F.C.; Mercadante, A.Z. Composition by LC-MS/MS of new carotenoid esters in mango and citrus. J. Agric. Food Chem. 2016, 64, 8207–8224. [Google Scholar] [CrossRef]
- Rivera, S.M.; Christou, P.; Canela-Garayoa, R. Identification of carotenoids using mass spectrometry. Mass Spectrom. Rev. 2013, 33, 353–372. [Google Scholar] [CrossRef] [PubMed]
- Van Breemen, R.B.; Dong, L.; Pajkovic, N.D. Atmospheric pressure chemical ionization tandem mass spectrometry of carotenoids. Int. J. Mass Spectrom. 2012, 312, 163–172. [Google Scholar] [CrossRef]
- Sánchez-Moreno, C.; Plaza, L.; Elez-Martinez, P.; De Ancos, B.; Martín-Belloso, O.; Cano, M.P. Impact of high pressure and pulsed electric fields on bioactive compounds and antioxidant activity of orange juice in comparison with traditional thermal processing. J. Agric. Food Chem. 2005, 53, 4403–4409. [Google Scholar] [CrossRef]
- Plaza, L.; Sánchez-Moreno, C.; Elez-Martinez, P.; De Ancos, B.; Martín-Belloso, O.; Cano, M.P. Effect of refrigerated storage on vitamin C and antioxidant activity of orange juice processed by high-pressure or pulsed electric fields with regard to low pasteurization. Eur. Food Res. Technol. 2006, 223, 487–493. [Google Scholar] [CrossRef]
- Giuffrida, D.; Cacciola, F.; Mapelli-Brahm, P.; Stinco, C.M.; Dugo, P.; Oteri, M.; Mondello, L.; Meléndez-Martínez, A.J. Free carotenoids and carotenoids esters composition in Spanish orange and mandarin juices from diverse varieties. Food Chem. 2019, 300, 125139. [Google Scholar] [CrossRef]
- Giuffrida, D.; Dugo, P.; Salvo, A.; Saitta, M.; Dugo, G. Free carotenoid and carotenoid ester composition in native orange juices of different varieties. Fruits 2010, 65, 277–284. [Google Scholar] [CrossRef]
- Lux, P.E.; Carle, R.; Zacarias, L.; Rodrigo, M.-J.; Schweiggert, R.; Steingass, C.B. Genuine carotenoid profiles in sweet orange [Citrus sinensis (L.) Osbeck cv. Navel] peel and pulp at different maturity stages. J. Agric. Food Chem. 2019, 67, 13164–13175. [Google Scholar] [CrossRef] [PubMed]
- Dugo, P.; Giuffrida, D.; Herrero, M.; Donato, P.A.E.; Mondello, L. Epoxycarotenoids esters analysis in intact orange juices using two-dimensional comprehensive liquid chromatography. J. Sep. Sci. 2009, 32, 973–980. [Google Scholar] [CrossRef]
- Schieber, A.; Weber, F. Carotenoids. In Handbook on Natural Pigments in Food and Beverages. Industrial Applications for Improving Food Color; Carle, R., Schweiggert, R., Eds.; Woodhead Publishing: Sawston, UK, 2016; pp. 101–123. [Google Scholar]
- Aparicio-Ruiz, R.; Gandul-Rojas, B. Thermal degradation kinetics of neoxanthin, violaxanthin, and antheraxanthin in virgin olive oils. J. Agric. Food Chem. 2012, 60, 5180–5191. [Google Scholar] [CrossRef]
- Mi, J.; Jia, K.-P.; Wang, J.Y.; Al-Babili, S. A rapid LC-MS method for qualitative and quantitative profiling of plant apocarotenoids. Anal. Chim. Acta 2018, 1035, 87–95. [Google Scholar] [CrossRef] [PubMed]
- Harrison, E.H.; Quadro, L. Apocarotenoids: Emerging roles in mammals. Annu. Rev. Nutr. 2018, 38, 153–172. [Google Scholar] [CrossRef] [PubMed]
- Fleshman, M.K.; Lester, G.E.; Riedl, K.M.; Kopec, R.E.; Narayanasamy, S.; Curley, R.W.; Schwartz, S.J.; Harrison, E.H. Carotene and novel apocarotenoid concentrations in Orange-FleshedCucumis meloMelons: Determinations of β-Carotene bioaccessibility and bioavailability. J. Agric. Food Chem. 2011, 59, 4448–4454. [Google Scholar] [CrossRef]
- Durojaye, B.O.; Riedl, K.M.; Curley, R.W., Jr.; Harrison, E.H. Uptake and metabolism of β-apo-8′-carotenal, β-apo-10′-carotenal, and β-apo-13-carotenone in Caco-2 cells. J. Lipid Res. 2019, 60, 1121–1135. [Google Scholar] [CrossRef]
- Cooperstone, J.L.; Novotny, J.A.; Riedl, K.M.; Cichon, M.J.; Francis, D.M.; Curley, R.W.; Schwartz, S.J.; Harrison, E.H. Limited appearance of apocarotenoids is observed in plasma after consumption of tomato juices: A randomized human clinical trial. Am. J. Clin. Nutr. 2018, 108, 784–792. [Google Scholar] [CrossRef]
- Vervoort, L.; Van Der Plancken, I.; Grauwet, T.; Timmermans, R.A.; Mastwijk, H.C.; Matser, A.M.; Hendrickx, M.; Van Loey, A. Comparing equivalent thermal, high pressure and pulsed electric field processes for mild pasteurization of orange juice. Innov. Food Sci. Emerg. Technol. 2011, 12, 466–477. [Google Scholar] [CrossRef]
- García, A.F.; Butz, P.; Bognár, A.; Tauscher, B. Antioxidative capacity, nutrient content and sensory quality of orange juice and an orange-lemon-carrot juice product after high pressure treatment and storage in different packaging. Eur. Food Res. Technol. 2001, 213, 290–296. [Google Scholar] [CrossRef]
- Esteve, M.J.; Barba, F.J.; Palop, S.; Frígola, A. The effects of non-thermal processing on carotenoids in orange juice. Czech J. Food Sci. 2009, 27, S304–S306. [Google Scholar] [CrossRef]
- Lee, H.S.; Coates, G.A. Effect of thermal pasteurization on Valencia orange juice color and pigments. LWT 2003, 36, 153–156. [Google Scholar] [CrossRef]
- Zulueta, A.; Barba, F.J.; Esteve, M.J.; Frígola, A. Effects on the carotenoid pattern and vitamin A of a pulsed electric field-treated orange juice–milk beverage and behavior during storage. Eur. Food Res. Technol. 2010, 231, 525–534. [Google Scholar] [CrossRef]
- Dhuique-Mayer, C.; Tbatou, M.; Carail, M.; Caris-Veyrat, C.; Dornier, M.; Amiot, M.J. Thermal degradation of antioxidant micronutrients inCitrusJuice: Kinetics and newly formed compounds. J. Agric. Food Chem. 2007, 55, 4209–4216. [Google Scholar] [CrossRef] [PubMed]
- Mertz, C.; Brat, P.; Caris-Veyrat, C.; Günata, Z. Characterization and thermal lability of carotenoids and vitamin C of tamarillo fruit (Solanum betaceum Cav.). Food Chem. 2010, 119, 653–659. [Google Scholar] [CrossRef]
- Gama, J.J.T.; De Sylos, C.M. Effect of thermal pasteurization and concentration on carotenoid composition of Brazilian Valencia orange juice. Food Chem. 2007, 100, 1686–1690. [Google Scholar] [CrossRef]
- Tiwari, B.; Muthukumarappan, K.; O’Donnell, C.; Cullen, P.J. Effects of sonication on the kinetics of orange juice quality parameters. J. Agric. Food Chem. 2008, 56, 2423–2428. [Google Scholar] [CrossRef]
- Soliva-Fortuny, R.; Balasa, A.; Knorr, D.; Martín-Belloso, O. Effects of pulsed electric fields on bioactive compounds in foods: A review. Trends Food Sci. Technol. 2009, 20, 544–556. [Google Scholar] [CrossRef]
- Carail, M.; Fabiano-Tixier, A.-S.; Meullemiestre, A.; Chemat, F.; Caris-Veyrat, C. Effects of high power ultrasound on all- E -β-carotene, newly formed compounds analysis by ultra-high-performance liquid chromatography–tandem mass spectrometry. Ultrason. Sonochemistry 2015, 26, 200–209. [Google Scholar] [CrossRef]
- Von Doering, W.; Sotiriou-Leventis, C.; Roth, W.R. Thermal interconversions among 15-cis-, 13-cis-, and all-trans-β-carotene: Kinetics, arrhenius parameters, thermochemistry, and potential relevance to anticarcinogenicity of all-trans-β-carotene. J. Am. Chem. Soc. 1995, 117, 2747–2757. [Google Scholar] [CrossRef]
- Asai, A.; Terasaki, M.; Nagao, A. An Epoxide–Furanoid Rearrangement of Spinach neoxanthin occurs in the gastrointestinal tract of mice and in vitro: Formation and cytostatic activity of neochrome stereoisomers. J. Nutr. 2004, 134, 2237–2243. [Google Scholar] [CrossRef]
- Liu, X.; Liu, J.; Bi, J.; Yi, J.; Peng, J.; Ning, C.; Wellala, C.K.D.; Zhang, B. Effects of high pressure homogenization on pectin structural characteristics and carotenoid bioaccessibility of carrot juice. Carbohydr. Polym. 2019, 203, 176–184. [Google Scholar] [CrossRef] [PubMed]
- Koh, S.H.; Loh, S.P. In vitro bioaccessibility of β-carotene in pumpkin and butternut squash subjected to different cooking methods. Int. Food Res. J. 2018, 25, 188–195. [Google Scholar]
- Sentandreu, E.; Stinco, C.M.; Vicario, I.M.; Mapelli-Brahm, P.; Navarro, J.L.; Meléndez-Martínez, A.J. High-pressure homogenization as compared to pasteurization as a sustainable approach to obtain mandarin juices with improved bioaccessibility of carotenoids and flavonoids. J. Clean. Prod. 2020, 262, 121325. [Google Scholar] [CrossRef]
- Desmarchelier, C.; Borel, P. Overview of carotenoid bioavailability determinants: From dietary factors to host genetic variations. Trends Food Sci. Technol. 2017, 69, 270–280. [Google Scholar] [CrossRef]
- Gupta, R.; Kopec, R.E.; Schwartz, S.J.; Balasubramaniam, V.M. Combined pressure–Temperature effects on carotenoid retention and bioaccessibility in tomato juice. J. Agric. Food Chem. 2011, 59, 7808–7817. [Google Scholar] [CrossRef]
- Rodríguez-Roque, M.J.; De Ancos, B.; Sánchez-Vega, R.; Sánchez-Moreno, C.; Cano, M.P.; Elez-Martinez, P.; Martín-Belloso, O. Food matrix and processing influence on carotenoid bioaccessibility and lipophilic antioxidant activity of fruit juice-based beverages. Food Funct. 2016, 7, 380–389. [Google Scholar] [CrossRef]
- Stinco, C.M.; Fernández, R.; Escudero, M.L.; Heredia, F.J.; Meléndez-Martínez, A.J.; Vicario, I.M. Effect of orange juice’s processing on the color, particle size, and bioaccessibility of Carotenoids. J. Agric. Food Chem. 2012, 60, 1447–1455. [Google Scholar] [CrossRef]
- Aschoff, J.K.; Kaufmann, S.; Kalkan, O.; Neidhart, S.; Carle, R.; Schweiggert, R. In vitro bioaccessibility of carotenoids, flavonoids, and vitamin C from differently processed oranges and orange juices [Citrus sinensis(L.) Osbeck]. J. Agric. Food Chem. 2015, 63, 578–587. [Google Scholar] [CrossRef]
- Awad, T.; Moharram, H.; Shaltout, O.; Asker, D.; Youssef, M. Applications of ultrasound in analysis, processing and quality control of food: A review. Food Res. Int. 2012, 48, 410–427. [Google Scholar] [CrossRef]
- Cervantes-Paz, B.; Ornelas-Paz, J.; Ruiz-Cruz, S.; Rios-Velsaco, C.; Ibarra-Junquera, V.; Yahia, E.M.; Gardea, A. Effects of pectin on lipid digestion and possible implications for carotenoid bioavailability during pre-absorptive stages: A review. Food Res. Int. 2017, 99, 917–927. [Google Scholar] [CrossRef] [PubMed]
- Petry, F.C.; Mercadante, A.Z. Bile amount affects both the degree of micellarization and the hydrolysis extent of carotenoid esters during in vitro digestion. Food Funct. 2019, 10, 8250–8262. [Google Scholar] [CrossRef] [PubMed]
- Gille, A.; Trautmann, A.; Posten, C.; Briviba, K. Bioaccessibility of carotenoids fromChlorella vulgarisandChlamydomonas reinhardtii. Int. J. Food Sci. Nutr. 2016, 67, 507–513. [Google Scholar] [CrossRef] [PubMed]
- Gille, A.; Hollenbach, R.; Trautmann, A.; Posten, C.; Briviba, K. Effect of sonication on bioaccessibility and cellular uptake of carotenoids from preparations of photoautotrophic Phaeodactylum tricornutum. Food Res. Int. 2019, 118, 40–48. [Google Scholar] [CrossRef] [PubMed]
- Campoli, S.S.; Rojas, M.L.; Amaral, J.E.P.G.D.; Canniatti-Brazaca, S.G.; Augusto, P.E. Ultrasound processing of guava juice: Effect on structure, physical properties and lycopene in vitro accessibility. Food Chem. 2018, 268, 594–601. [Google Scholar] [CrossRef] [PubMed]
- Buniowska, M.; Carbonell-Capella, J.M.; Frígola, A.; Esteve, M.J. Bioaccessibility of bioactive compounds after non-thermal processing of an exotic fruit juice blend sweetened with Stevia rebaudiana. Food Chem. 2017, 221, 1834–1842. [Google Scholar] [CrossRef] [PubMed]
- Ordóñez, T.C.; Esquivel, P.; Jiménez, V.M.; Carle, R.; Schweiggert, R. Deposition form and bioaccessibility of keto-carotenoids from mamey sapote (Pouteria sapota), red bell pepper (Capsicum annuum), and sockeye salmon (Oncorhynchus nerka) Filet. J. Agric. Food Chem. 2016, 64, 1989–1998. [Google Scholar] [CrossRef]
- Schweiggert, R.; Mezger, D.; Schimpf, F.; Steingass, C.B.; Carle, R. Influence of chromoplast morphology on carotenoid bioaccessibility of carrot, mango, papaya, and tomato. Food Chem. 2012, 135, 2736–2742. [Google Scholar] [CrossRef]
- Rodrigues, D.B.; Chitchumroonchokchai, C.; Mariutti, L.R.B.; Mercadante, A.Z.; Failla, M.L. Comparison of two static in vitro digestion methods for screening the bioaccessibility of carotenoids in fruits, vegetables, and animal products. J. Agric. Food Chem. 2017, 65, 11220–11228. [Google Scholar] [CrossRef]
- Breithaupt, D.E.; Weller, P.; Wolters, M.; Hahn, A. Comparison of plasma responses in human subjects after the ingestion of 3R,3R′-zeaxanthin dipalmitate from wolfberry (Lycium barbarum) and non-esterified 3R,3R′-zeaxanthin using chiral high-performance liquid chromatography. Br. J. Nutr. 2004, 91, 707–713. [Google Scholar] [CrossRef]
- Breithaupt, D.E.; Weller, P.; Wolters, M.; Hahn, A. Plasma response to a single dose of dietary β-cryptoxanthin esters from papaya (Carica papayaL.) or non-esterified β-cryptoxanthin in adult human subjects: A comparative study. Br. J. Nutr. 2003, 90, 795–801. [Google Scholar] [CrossRef] [PubMed]
- Granado-Lorencio, F.; Olmedilla-Alonso, B.; Herrero-Barbudo, C.; Blanco-Navarro, I.; Pérez-Sacristán, B.; Blázquez-García, S. In vitro bioaccessibility of carotenoids and tocopherols from fruits and vegetables. Food Chem. 2007, 102, 641–648. [Google Scholar] [CrossRef]
- Fernández-García, E.; Mínguez-Mosquera, M.I.; Pérez-Gálvez, A. Changes in composition of the lipid matrix produce a differential incorporation of carotenoids in micelles. Interaction effect of cholesterol and oil. Innov. Food Sci. Emerg. Technol. 2007, 8, 379–384. [Google Scholar] [CrossRef]
- Wen, X.; Hempel, J.; Schweiggert, R.; Wang, Y.; Ni, Y.; Carle, R. Screening of critical factors influencing the efficient hydrolysis of zeaxanthin dipalmitate in an adapted in vitro- digestion model. Food Chem. 2018, 257, 36–43. [Google Scholar] [CrossRef]
- Hempel, J.; Schädle, C.N.; Sprenger, J.; Heller, A.; Carle, R.; Schweiggert, R. Ultrastructural deposition forms and bioaccessibility of carotenoids and carotenoid esters from goji berries (Lycium barbarum L.). Food Chem. 2017, 218, 525–533. [Google Scholar] [CrossRef]
- Cano, M.P.; Gómez-Maqueo, A.; Fernández-López, R.; Welti-Chanes, J.; García-Cayuela, T. Impact of high hydrostatic pressure and thermal treatment on the stability and bioaccessibility of carotenoid and carotenoid esters in astringent persimmon (Diospyros kaki Thunb, var. Rojo Brillante). Food Res. Int. 2019, 123, 538–549. [Google Scholar] [CrossRef]
- Rigtrup, K.M.; McEwen, L.R.; Said, H.M.; Ong, D.E. Retinyl ester hydrolytic activity associated with human intestinal brush border membranes. Am. J. Clin. Nutr. 1994, 60, 111–116. [Google Scholar] [CrossRef]






| Untreated | HPP | PEF | LP | CP | Hot Filling | |
|---|---|---|---|---|---|---|
| Product inlet (°C) | - | 10.5 | - | 8.1 | 9.0 | 9.5 |
| Preheating (°C) | - | - | 42.0 | 60.5 | 60.2 | 60.2 |
| Before pasteurization (°C) | - | - | 40.4 | - | - | - |
| During pasteurization (°C) | - | 24.5 1 | 69.0 1 | 73.9 | 92.2 | 92.2 |
| Pasteurization end (°C) | - | 12.0 | 62.9 | 72.5 | 89.6 | 89.6 |
| Cooling (°C) | - | - | 5.0 | 30.1 | 33.4 | - |
| Filling (°C) | - | - | 6.8 | 13.9 | 14.0 | 82.3 |
| After cooling tunnel (°C) | - | - | - | - | - | 37.2 |
| Ascorbic acid (mg/L) | 607.0 ± 3.6 a | 575.0 ± 1.4 d | 581.0 ± 1.4 cd | 583.7 ± 2.4 bc | 591.0 ± 2.2 b | 580.7 ± 0.9 cd |
| Untreated | HPP | PEF | LP | CP | Hot Filling | |
|---|---|---|---|---|---|---|
| Power (W) | 26.3 ± 3.8 | 26.2 ± 4.3 | 25.3 ± 4.2 | 25.4 ± 4.1 | 25.8 ± 4.1 | 24.5 ± 3.8 |
| Intensity (W/cm2) | 68.3 ± 9.9 | 68.0 ± 11.2 | 65.7 ± 10.8 | 66.0 ± 10.6 | 66.9 ± 10.6 | 63.6 ± 9.9 |
| Temperature (°C) | 29.5 ± 4.4 | 30.7 ± 6.4 | 32.0 ± 5.7 | 30.5 ± 5.4 | 29.8 ± 5.3 | 29.7 ± 6.3 |
| Peak | Compound | tRa (min) | λmax (nm) | %III/II | [M+H]+ (m/z) | HPLC/APCI (+)-MSn (Relative Intensity) |
|---|---|---|---|---|---|---|
| 1a | (all-E)-auroxanthin | 3.86 | 380, 404, 424 | 100 | 601 | |
| 1 | (Z)-mutatoxanthin isomer I | 4.50 | 404, 426, 453 | 11 | 585 | |
| 1b | (Z)-mutatoxanthin isomer II | 4.52 | 404, 426, 453 | 11 | 585 | |
| 1c | n.i. b | 4.87 | 406, 424, 541 | 20 | nd c,d | |
| 2 | (all-E)-mutatoxanthin | 5.27 | 407sh e, 430, 453 | 15 | 585 | MS2 [585]: 567 (100), 549 (20), 529 (10), 493 (13), 425(10), 377 (16), 221 (22) MS3 [585→567]: 549 (100),487 (10), 455 (10), 411 (12), 377 (12), 237 (11), 203 (12) |
| 2a | apocarotenoid | 5.41 | 426sh e, 448, nd c | nd c,f | 435 | MS2 [435]: 417 (8), 407 (90), 393 (59), 379 (100), 323 (76), 305 (38), 267 (37), 233 (32), 229 (29), 219 (35), 201 (36) MS3 [435→407]: 365 (10), 351 (100), 295 (21), 247 (11), 233 (22), 219 (28), 201 (50), 159 (10) MS3 [435→379]: 351 (8), 323 (100), 267 (32), 229 (5), 173 (9) MS3 [435→323]: 305 (10), 281 (11), 267 (100), 225 (8), 211 (20), 163 (5), 99 (26) |
| 3 | (all-E)-lutein | 6.00 | 420, 446, 473 | 42 | nd c,d | MS2 [551]: 533 (100), 495 (26), 459 (10), 429 (22), 411 (22), 397 (15), 345 (14), 175 (10) MS3 [551→533]: 421 (100), 365 (16), 315 (5), 259 (5), 219 (6) |
| 4 | (all-E)-zeaxanthin | 6.49 | 424, 449, 475 | 38 | 569 | MS2 [569]: 551 (10), 513 (10), 476 (36), 429 (12), 415 (10), 363 (10), 209 (8) MS3 [569→551]: 533 (100), 495 (23), 443 (17), 429 (22), 415 (20), 413 (19), 399 (18), 397 (22), 291 (15) |
| 5 | mutatoxanthin ester | 12.57 | 406, 424, 446 | nd c,f | nd c,d | 549 |
| 6 | n.i. b | 15.29 | 402, 420, 446 | 63 | nd c,d | |
| 7 | n.i. b | 16.03 | 417, 440, 469 | 93 | nd c,d | |
| 8 | n.i. b | 16.76 | 400, 424, 444 | nd c,f | nd c,d | |
| 9 | n.i. b | 17.26 | 392, 424, 444 | nd c,f | nd c,d | |
| 10 | n.i. b | 17.65 | 411, 436, 463 | 27 | nd c,d | |
| 11 | n.i. b | 17.98 | 413, 435, 463 | 55 | nd c,d | |
| 11a | n.i. b | 17.72 | 411, 437, 461 | 52 | nd c,d | |
| 11b | n.i. b | 18.02 | 410, 435, 462 | 39 | nd c,d | |
| 12 | n.i. b | 18.39 | 401, 424, 446 | 21 | nd c,d | |
| 13 | n.i. b | 18.81 | 399, 421, 447 | 78 | nd c,d | |
| 13a | n.i. b | 18.53 | 401, 421, 449 | 26 | nd c,d | |
| 13b | n.i. b | 18.81 | 401, 419, 448 | 34 | nd c,d | |
| 14 | n.i. b | 19.11 | 399, 424, 447 | 45 | nd c,d | |
| 15 | luteoxanthin ester | 19.46 | 393, 424, 448 | nd c,f | 755 | 565; 547 |
| 16 | violaxanthin ester | 20.09 | 417, 441, 469 | 83 | nd c,d | 565 |
| 17 | (all-E)-zeinoxanthin | 20.56 | 430sh e, 449, 477 | 58 | 533 | MS2 [553]: 535 (100), 497 (25), 461 (86), 429 (40), 400 (5), 399 (22), 347 (20), 285 (12) MS3 [553→535]: 493 (76), 479 (100), 465 (50), 425 (72), 399 (78), 369 (65), 345 (50), 269 (44), 235 (43), 187 (48), 173 (32) |
| 18 | (all-E)-β-cryptoxanthin | 21.24 | 430sh e, 454, 479 | 26 | 553 | MS2 [553]: 535 (100), 497 (14), 461 (85), 429 (20), 399 (24), 400 (12), 347 (24), 209 (10), 177 (12) MS3 [553→535]: 479 (100), 411 (34), 397 (60), 383 (30), 371 (62), 359 (50), 277 (40), 211 (26), 223 (21), 161 (20) MS3 [553→413]: 357(78), 343 (100), 293 (50), 275 (72), 221 (55), 199 (60), 147 (35) |
| 19 | (all-E)-violaxanthin laureate (C12:0) | 21.99 | 417, 439, 469 | 73 | 783 | 565; 547 |
| 20 | (Z)-luteoxanthin laureate (C12:0) | 22.24 | 389, 418, 445 | 78 | 783 | 565 |
| 21 | (all-E)-luteoxanthin laureate (C12:0) | 22.66 | 400, 418, 445 | 65 | 783 | MS2 [783]: 765 (100), 691 (12), 583 (46), 565 (26), 547 (8), 445 (4,) 375 (5) MS3 [783→765]: 747 (29), 673 (33), 565 (100), 547 (18), 417 (8), 357 (10), 221 (8) |
| 22 | (9Z)-violaxanthin laureate (C12:0) | 23.05 | 417, 439, 469 | 67 | 783 | 565; 547 |
| 23 | violaxanthin ester | 23.50 | 414, 436, 468 | 36 | nd c,d | 565 |
| 24 | violaxanthin ester | 24.14 | nd c, 433, 464 | 46 | nd c,d | 565 |
| 25 | (Z)-violaxanthin myristate (C14:0) | 24.61 | 419, 439, 469 | 73 | 811 | 565; 547 |
| 26 | (all-E)-violaxanthin myristate (C14:0) | 25.13 | 422, 443, 468 | nd c,f | 811 | 565; 547 |
| 27 | (all-E)-luteoxanthin myristate (C14:0) | 25.56 | 399, 419, 446 | 72 | 811 | MS2 [811]: 793 (100), 719 (10), 583 (52), 565 (20), 547 (5), 431 (5), 375 (6) MS3 [811→793]: 775 (35), 701 (30), 565 (100), 547 (25), 443 (4), 385 (5) |
| 28 | (9Z)-violaxanthin myristate (C14:0) | 26.10 | 413, 434, 464 | 32 | 811 | MS2 [811]: 793 (100), 719 (13), 583 (90), 565 (25), 547 (5), 431 (8), 375 (8) MS3 [811→793]: 775 (50), 701 (12), 565 (100), 547 (12), 497 (5), 431 (5), 429 (10) |
| 29 | carotenoid ester g | 26.52 | 416, 444, 469 | nd c,f | nd c,d | |
| 30 | carotenoid ester g | 26.84 | 400, 424, 446 | nd c,f | nd c,d | |
| 31 | mutatoxanthin laureate (C12:0) | 27.27 | 404, 424, 450 | 20 | 767 | 567; 549 |
| (31) | (all-E)-violaxanthin palmitate (C16:0) | 27.47 | 418, 438, 469 | 67 | 839 | 565; 547 |
| 32 | antheraxanthin laureate (C12:0) | 27.80 | 423, 443, 473 | nd c,f | 767 | 567; 549 |
| 33 | luteoxanthin palmitate (C16:0) | 28.25 | 399, 419, 447 | 76 | 839 | MS2 [839]: 583 (100), 565 (40), 547 (8), 393 (9) MS3 [839→821]: 803 (32), 729 (33), 565 (100), 547 (20), 375 (9) |
| (33) | luteoxanthin oleate (C18:1) | 28.25 | 399, 419, 447 | 76 | 865 | MS2 [865]: 847 (100), 829 (6), 773 (10), 583 (45), 565 (25), 547 (5), 485 (5),357 (5) MS3 [865→847]: 829 (32), 755 (40), 689 (8), 565 (100), 547 (10), 509 (8), 357 (10), 259 (8) |
| 34 | (9Z)-violaxanthin palmitate (C16:0) | 28.73 | 413, 434, 464 | 70 | 839 | MS2 [839]: 821 (82), 583 (100), 565 (20), 547 (5), 459 (5) MS3 [839→583]: 565 (100), 547 (12), 525 (14), 403 (18), 393 (8), 375 (20), 273 (12) |
| 35 | antheraxanthin myristate (C14:0) | 29.31 | 421, 446, 469 | 23 | 795 | 567; 549 |
| 36 | (all-E)-mutatoxanthin myristate (C14:0) | 29.94 | 406sh e, 424, 452 | 41 | 795 | MS2 [795]: 777 (72), 567 (100), 549 (16), 511 (8), 359 (8) MS3 [795→567]: 549 (68), 511 (100), 432 (60), 378 (50), 359 (48), 313 (44), 273 (45), 253 (32) |
| 37 | (9Z)-mutatoxanthin myristate (C14:0) | 30.40 | 407sh e, 424, 449 | 33 | 795 | MS2 [795]: 777 (83), 567 (100), 549 (12), 511 (10) 359 (12) MS3 [795→567]: 549 (100), 511 (20), 445 (25), 387 (28), 359 (28), 221 (30) |
| 38 | carotenoid ester g | 30.93 | 400, 424, 447 | 8 | nd c,d | |
| 39 | carotenoid ester g | 31.23 | 400, 426, 446 | nd c,f | nd c,d | |
| 39a | phytoene | 31.38 | 277sh e, 286, 297 | nd c,f | 545 | MS2 [545]: 489 (60), 463 (100), 421 (65), 395 (61), 353 (62), 325 (50), 297 (51),285 (60), 271 (38), 257 (34), 203 (28) MS3 [545→463]: 407 (40), 381 (40), 353 (50), 339 (51), 311 (90), 271 (85), 255 (60), 243 (60), 215 (100), 172 (41), 158 (42) |
| 39b | phytofluene | 31.53 | 330, 348, 367 | 77 | 543 | MS2 [543]: 461 (100), 419 (70), 393 (90), 351(70), 325 (78), 283 (75), 269 (48), 257 (38) MS3 [543→461]: 419 (71), 351 (100), 339 (44), 283 (56), 241 (88), 187 (42) |
| 40 | antheraxanthin palmitate (C16:0) | 31.85 | 422, 446, 473 | 57 | 823 | 567; 549 |
| 40a | (all-E)-ζ-carotene | 31.94 | 379, 398, 423 | 65 | 541 | MS2 [541]: 485 (50), 459 (94), 447 (50), 417 (75), 403 (100), 391 (94), 363 (47), 349 (96), 337 (75), 321 (40) MS3 [541→403]: 347 (100), 321 (54), 319 (46), 265 (92), 249 (48), 245 (35) |
| 41 | (Z)-mutatoxanthin palmitate (C16:0) | 32.41 | 400, 424, 452 | 25 | 823 | 567; 549 |
| 42 | (all-E)-mutatoxanthin palmitate (C16:0) | 32.82 | 407sh e, 424, 450 | 30 | 823 | MS2 [823]: 805 (78), 711 (10), 567 (100), 549 (18), 511 (12), 359 (10) MS3 [823→567]: 549 (100), 511 (55), 445 (20), 418 (34), 359 (25), 299 (24), 239 (24) |
| 43 | (all-E)-α-carotene | 33.42 | 409sh e, 434, 469 | 32 | 537 | 481; 444 |
| 44 | (all-E)-β-carotene | 33.98 | 426sh e, 449, 473 | 20 | 537 | MS2 [537]: 481 (12), 445 (100), 413 (40), 399 (38), 361 (19), 347 (32), 335 (18), 281 (68), 269 (16), 177 (20) MS3 [537→445]: 430 (70), 339 (100), 308 (72), 293 (38), 267 (40), 255 (30), 225 (35), 202 (20), 173 (20) |
| 45 | carotenoid ester g | 34.54 | 375, 395, 416 | 60–76 | nd c,d | |
| 46 | carotenoid ester g | 34.94 | 399, 414, 442 | 41 | nd c,d | |
| 47 | (Z)-violaxanthin caprate-laureate (C10:0-C12:0) | 35.43 | 414, 435, 465 | 79 | 937 | MS2 [937]: 919 (36), 765 (100), 737 (91), 565 (12), 547 (15), 375 (10) MS3 [937→765]: 747 (40), 565 (100), 547 (34), 403 (18), 375 (11), 349 (9) MS3 [937→737]: 719 (30), 565 (100), 547 (26), 375 (18), 349 (7) |
| 48 | carotenoid ester g | 36.00 | 400, 418, 445 | 23 | nd c,d | |
| 49 | carotenoid ester g | 36.57 | 379, 400, 431 | 45 | nd c,d | |
| 50 | (Z)-luteoxanthin oleate (C18:1) | 37.12 | 395, 418, 442 | 52 | 865 | MS2 [865]: 847 (68), 767 (10), 597 (48), 583 (100), 565 (5), 547 (5), 509 (11), 491 (6), 339 (5) MS3 [865→583]: 565 (82), 547 (42), 527 (78), 509 (100), 491 (28), 477 (10), 441 (11), 399 (16), 385 (12), 315 (13) |
| 51 | (Z)-violaxanthin dilaureate (C12:0-C12:0) | 37.42 | 413, 435, 465 | 79 | 965 | MS2 [965]: 947 (26), 793 (18), 765 (100), 747 (10), 737 (14), 565 (6), 547 (10), 469 (2), 403 (8), 375 (58), 393 (1) MS3 [965→765]: 747 (28), 565 (100), 547 (24), 403 (10), 375 (12), 357 (5) |
| 52 | carotenoid ester g | 37.95 | 401, 419, 445 | 41 | nd c,d | |
| 53 | carotenoid ester g | 38.25 | 401, 419, 445 | 98 | nd c,d | |
| 54 | carotenoid ester g | 38.52 | 414, 436, 463 | 25 | nd c,d | |
| 55 | mutatoxanthin diester (presumably caprate-laureate) (C10:0-C12:0) | 39.22 | 398, 418, 443 | 63 | 921 | 549 |
| 56 | (Z)-violaxanthin laureate-myristate (C12:0-C14:0) | 39.51 | 413, 436, 465 | 80 | 993 | MS2 [993]: 975 (35), 793 (100), 765 (98), 747 (12), 565 (11), 547 (9) MS3 [993→793]: 775 (30), 565 (100), 547 (26), 375 (20) MS3 [993→793]: 747 (30), 565 (100), 547 (31), 375 (10) |
| 57 | (all-E)-zeinoxanthin laureate (C12:0) | 40.05 | 424, 443, 473 | 47 | 735 | 535 |
| 58 | (all-E)-β-cryptoxanthin laureate (C12:0) | 40.44 | 431, 452, 474 | 38 | 735 | MS2 [535]: 479 (78), 439 (50), 411 (83), 399 (100), 359(80), 345 (60) MS3 [535→399]: 384 (58), 343 (77), 301 (70), 279 (94), 265 (91) |
| 59 | (all-E)-violaxanthin dimyristate (C14:0-C14:0) | 41.15 | 414, 443, 470 | 79 | 1021 | MS2 [1021]: 821 (22), 793 (100), 765 (31), 565(10), 547 (9), 431 (5) MS3 [1021→793]: 775 (39), 565 (100), 547 (39), 403 (10), 375 (10) |
| (59) | mutatoxanthin dilaureate (C12:0-C12:0) | 40.98 | 398, 418, 443 | 63 | 949 | 949 |
| 60 | (9Z)-violaxanthin dimyristate (C14:0-C14:0) | 41.48 | 418, 441, 470 | 79 | 1021 | MS2 [1021]: 821 (40), 793 (100), 765 (50), 747 (8), 565 (9), 547 (10), 431 (5) MS3 [1021→793]: 775 (38), 565 (100), 547 (30), 497 (5), 375 (16) MS2 [1003]: 911 (40), 803 (20), 775 (100), 747 (20), 547 (20) MS3 [1003→775]: 547 (100), 529 (5), 491 (3), 425 (4), 221 (3) |
| 61 | zeinoxanthin myristate or α-cryptoxanthin myristate (C14:0) | 42.13 | 424, 443, 469 | 34 | 763 | 671; 535 |
| 62 | β-cryptoxanthin myristate (C14:0) | 42.49 | 426sh e, 449, 474 | nd c,f | 763 | 671; 535 |
| 63 | (Z)-violaxanthin myristate-palmitate (C16:0) | 43.05 | 414, 437, 465 | 72 | 1049 | MS2 [1049]: 1031 (38), 821 (95), 793 (100), 775 (10), 565 (12), 547 (9) MS3 [1049→793]: 775 (32), 565 (100), 547 (28), 403 (8), 375 (18) |
| (63) | mutatoxanthin laureate-myristate (C12:0-C14:0) | 42.71 | 398, 418, 443 | 63 | 977 | MS2 [977]: 777 (100), 749 (95), 549 (20), 531 (5), 359 (5) MS3 [977→777]: 549 (100), 531 (8), 427 (6), 359 (10), 333 (5), 237 (4) |
| 64 | (all-E)-lutein laureate (C12:0) | 44.07 | 422, 445, 473 | 60 | 733 | MS2 [733]: 533 (100), 494 (10), 477 (7), 411 (10), 343 (8) MS3 [733→533]: 518 (40), 465 (40), 411 (100), 357 (60), 345 (25), 305 (50) |
| (64) | (all-E)-zeinoxanthin palmitate (C16:0) | 43.97 | 422, 445, 473 | 60 | 791 | 535; 479 |
| 65 | (all-E)-β-cryptoxanthin palmitate (C16:0) | 44.39 | 426sh e, 454, 475 | 17 | 791 | MS2 [791]: 698 (25), 535 (100), 443 (13), 411 (4) MS3 [791→535]: 520 (60), 479 (48), 439 (50), 411 (70), 397 (100) |
| 66 | antheraxanthin dimyristate (C14:0-C14:0) | 44.71 | 418, 439, 466 | 61 | 1005 | MS2 [1005]: 805 (30), 777 (100), 749 (25), 549 (12) MS3 [1005→777]: 549 (100), 531 (5), 413 (5), 359 (6) |
| (66) | (Z)-violaxanthin dipalmitate (C16:0-C16:0) | 44.71 | 418, 439, 466 | 61 | 1077 | MS2 [1077]: 1059 (15), 821 (100), 803 (10), 565 (5), 547 (4) MS3 [1077→821]: 803 (37), 631 (7), 565 (100), 547 (32), 375 (11), 357 (6) |
| (66) | (Z)-violaxanthin palmitate-oleate (C16:0-C18:1) | 44.71 | 418, 439, 466 | 61 | 1103 | MS2 [1103]: 1085 (25), 847 (100), 821 (85), 565 (11), 547 (8) MS3 [1103→847]: 829 (30), 565 (100), 547 (32), 389 (4), 375 (12), 357 (7) |
| 67 | (all-E)-lutein 3-O-myristate-3′-O-laureate(C14:0-C12:0) | 45.70 | 422, 445, 473 | 67 | 961 | 761; 733; 533 |
| 68 | antheraxanthin myristate-palmitate (C16:0) | 46.26 | 422sh e, 443, 469 | 34 | 1033 | MS2 [1033]: 1015 (2), 873 (5), 805 (100), 777 (80), 549 (18), 531 (4), 359 (4) MS3 [1033→805]: 787 (10), 549 (100), 531 (8), 413 (9), 359 (10) |
| 69 | (all-E)-lutein 3-O-myristate-3′-O-palmitate(C14:0-C16:0) | 47.18 | 423sh e, 446, 473 | 64 | 1017 | 789; 761; 533 |
| 70 | antheraxanthin dipalmitate (C16:0-C16:0) | 47.65 | 423sh e, 445, 469 | 37 | 1061 | MS2 [1061]: 1043 (4), 901 (2), 833 (10), 805 (100), 777 (6), 683 (2), 615 (3), 549 (10) MS3 [1061→805]: 699 (8), 645 (10), 549 (100), 485 (2), 455 (8), 427 (8), 357(10) |
| 71 | (all-E)-lutein 3-O-palmitate-3′-O-myristate (C16:0-C14:0) | 48.51 | 423, 446, 473 | 73 | 1017 | 789; 761; 533 |
| 72 | (all-E)-zeaxanthin myristate-palmitate (C14:0-C16:0) | 49.03 | 424, 450, 474 | 46 | 1017 | 789; 761; 533 |
| 73 | (all-E)-lutein dipalmitate (C16:0-C16:0) | 49.78 | 423sh e, 446, 474 | 73 | 1045 | 789; 533 |
| 74 | (all-E)-zeaxanthin dipalmitate (C16:0-C16:0) | 50.26 | 423sh e, 446, 474 | 47 | 1045 | 789; 533 |
| Carotenoids [µg/100 g Juice] | Without Ultrasonication | |||||
|---|---|---|---|---|---|---|
| Untreated | HPP | PEF | LP | CP | Hot Filling | |
| monohydroxylated xanthophylls | 27.24 ± 1.83 ab | 29.64 ± 2.68 ab | 30.77 ± 0.68 a | 30.41 ± 2.79 a | 26.18 ± 0.52 ab | 24.37 ± 1.60 b |
| β-cryptoxanthin | 17.24 ± 0.95 ab | 19.55 ± 2.07 a | 19.59 ± 0.55 a | 19.84 ± 1.91 a | 16.94 ± 0.28 ab | 15.54 ± 1.14 b |
| polyhydroxylated xanthophylls | 12.73 ± 1.19 ab | 13.62 ± 1.75 ab | 14.80 ± 0.25 ab | 16.22 ± 2.20 a | 11.65 ± 0.80 b | 13.49 ± 1.40 ab |
| total free xanthophylls | 39.97 ± 0.98 ab | 43.26 ± 4.43 ab | 45.58 ± 0.51 ab | 46.63 ± 4.60 a | 37.83 ± 0.60 b | 37.86 ± 2.97 b |
| epoxy carotenoids | 478.27 ± 21.86 a | 459.10 ± 26.57 ab | 497.42 ± 1.96 a | 498.60 ± 52.62 a | 387.99 ± 6.30 b | 421.61 ± 23.20 ab |
| monoepoxy carotenoids | 204.74 ± 8.87 ab | 196.55 ± 12.14 ab | 215.83 ± 1.24 ab | 227.28 ± 24.20 a | 181.38 ± 3.61 b | 202.27 ± 12.08 ab |
| diepoxy carotenoids | 273.52 ± 12.99 a | 262.55 ± 14.42 ab | 281.59 ± 1.33 a | 271.32 ± 28.57 a | 206.60 ± 2.71 c | 219.34 ± 11.16 bc |
| total carotenes | 52.68 ± 2.24 a | 53.74 ± 5.58 a | 55.87 ± 1.24 a | 55.55 ± 6.86 a | 45.34 ± 1.33 a | 44.64 ± 3.04 a |
| α-carotene | 17.01 ± 0.74 a | 17.39 ± 1.47 a | 17.81 ± 0.29 a | 19.13 ± 2.44 a | 15.81 ± 0.36 a | 16.74 ± 1.02 a |
| β-carotene | 16.72 ± 1.04 a | 19.25 ± 2.18 a | 19.30 ± 0.55 a | 20.17 ± 2.75 a | 17.41 ± 0.31 a | 17.35 ± 1.22 a |
| violaxanthin esters | 223.91 ± 9.54 a | 215.19 ± 10.69 a | 229.17 ± 2.38 a | 219.25 ± 23.67 a | 164.14 ± 2.80 b | 176.97 ± 9.15 b |
| luteoxanthin esters | 49.62 ± 3.48 ab | 47.37 ± 3.73 ab | 52.42 ± 1.11 a | 52.07 ± 4.94 a | 42.46 ± 0.68 b | 42.37 ± 2.15 b |
| epoxy carotenoid fatty acid esters | 475.91 ± 22.05 a | 456.44 ± 25.78 ab | 494.69 ± 1.92 a | 494.91 ± 51.81 a | 385.45 ± 5.90 b | 418.11 ± 23.20 ab |
| non-epoxy carotenoid fatty acid esters | 217.66 ± 6.35 ab | 214.49 ± 14.42 ab | 230.32 ± 0.79 ab | 248.09 ± 28.41 a | 198.75 ± 6.40 b | 218.68 ± 15.99 ab |
| violaxanthin laureate–myristate | 24.60 ± 0.78 a | 25.18 ± 0.95 a | 25.68 ± 0.28 a | 21.20 ± 2.22 b | 13.33 ± 0.38 c | 11.87 ± 0.17 c |
| violaxanthin dimyristate | 36.01 ± 1.15 a | 37.71 ± 1.69 a | 37.23 ± 0.41 a | 29.37 ± 3.02 b | 19.23 ± 0.32 c | 17.50 ± 0.76 c |
| total carotenoid fatty acid esters | 731.68 ± 33.64 ab | 706.82 ± 42.44 ab | 760.33 ± 3.35 a | 788.26 ± 87.41 a | 620.98 ± 12.01 b | 679.39 ± 41.18 ab |
| total carotenoids | 879.74 ± 40.81 ab | 857.52 ± 55.42 ab | 922.58 ± 1.07 ab | 954.11 ± 103.98 a | 759.95 ± 14.60 b | 815.30 ± 50.15 ab |
| Carotenoids [µg/100 g Juice] | With Ultrasonication | |||||
|---|---|---|---|---|---|---|
| Untreated | HPP | PEF | LP | CP | Hot Filling | |
| monohydroxylated xanthophylls | 23.56 ± 0.54 bc | 22.25 ± 0.14 c | 27.82 ± 0.48 a | 23.74 ± 0.16 bc | 22.60 ± 0.38 c | 25.36 ± 1.23 b |
| β-cryptoxanthin | 13.67 ± 0.35 b | 13.02 ± 0.12 b | 16.66 ± 0.36 a | 14.02 ± 0.07 b | 13.53 ± 0.20 b | 15.64 ± 1.05 a |
| polyhydroxylated xanthophylls | 14.74 ± 1.69 a | 13.47 ± 1.44 a | 16.86 ± 1.16 a | 14.91 ± 2.04 a | 14.91 ± 0.12 a | 15.85 ± 1.28 a |
| total free xanthophylls | 38.30 ± 1.17 bc | 35.71 ± 1.31 c | 44.67 ± 1.58 a | 38.64 ± 1.92 bc | 37.51 ± 0.45 bc | 41.21 ± 1.71 ab |
| epoxy carotenoids | 469.26 ± 3.05 b | 440.00 ± 0.28 c | 508.89 ± 6.26 a | 424.13 ± 2.88 d | 397.42 ± 5.87 e | 421.99 ± 2.69 d |
| monoepoxy carotenoids | 207.70 ± 1.15 b | 192.41 ± 0.90 c | 227.36 ± 3.23 a | 198.30 ± 1.71 c | 192.97 ± 2.36 c | 205.27 ± 2.21 b |
| diepoxy carotenoids | 261.52 ± 2.76 b | 247.59 ± 0.65 c | 281.53 ± 3.17 a | 225.83 ± 1.21 d | 204.45 ± 3.59 f | 216.72 ± 2.37 e |
| total carotenes | 49.44 ± 0.78 b | 43.06 ± 0.33 e | 55.49 ± 1.07 a | 44.95 ± 0.41 de | 45.36 ± 0.49 d | 47.41 ± 0.71 c |
| α-carotene | 17.72 ± 0.40 b | 16.29 ± 0.18 d | 19.47 ± 0.22 a | 17.15 ± 0.06 bc | 16.84 ± 0.21 cd | 19.17 ± 0.24 a |
| β-carotene | 15.99 ± 0.19 b | 14.71 ± 0.11 c | 18.54 ± 0.22 a | 16.26 ± 0.20 b | 16.35 ± 0.15 b | 18.89 ± 0.39 a |
| violaxanthin esters | 212.00 ± 2.32 b | 202.11 ± 1.11 c | 226.34 ± 3.47 a | 181.33 ± 1.64 d | 162.24 ± 3.09 f | 173.03 ± 1.85 e |
| luteoxanthin esters | 49.57 ± 0.46 b | 45.48 ± 0.58 c | 55.20 ± 0.31 a | 44.50 ± 0.61 cd | 42.22 ± 0.62 d | 43.69 ± 2.09 cd |
| epoxy carotenoid fatty acid esters | 464.67 ± 3.73 b | 436.35 ± 0.30 c | 503.64 ± 6.09 a | 419.53 ± 2.02 d | 392.46 ± 5.95 e | 416.41 ± 3.13 d |
| non-epoxy carotenoid fatty acid esters | 229.74 ± 1.06 b | 213.68 ± 1.41 c | 251.67 ± 3.75 a | 228.36 ± 1.44 b | 226.27 ± 2.92 b | 244.63 ± 2.67 a |
| violaxanthin laureate–myristate | 19.95 ± 0.47 b | 21.11 ± 0.31 b | 22.80 ± 0.48 a | 14.93 ± 0.32 c | 11.24 ± 0.46 d | 12.29 ± 0.64 d |
| violaxanthin dimyristate | 27.71 ± 0.50 b | 29.60 ± 0.65 ab | 30.28 ± 0.89 a | 19.23 ± 0.41 c | 15.89 ± 0.28 d | 12.11 ± 0.84 e |
| total carotenoid fatty acid esters | 742.55 ± 3.77 b | 695.10 ± 1.69 c | 806.86 ± 10.24 a | 695.39 ± 3.44 c | 665.57 ± 9.62 d | 710.96 ± 2.71 c |
| total carotenoids | 855.47 ± 4.15 b | 797.47 ± 2.72 d | 938.46 ± 12.28 a | 805.95 ± 4.67 cd | 772.55 ± 10.81 e | 822.76 ± 3.91 c |
| Total Violaxanthin Esters | Total Luteoxanthin Esters | |
|---|---|---|
| without ultrasonication | ||
| untreated | 170.91 ± 4.22 a | 36.80 ± 1.76 a |
| HPP | 166.36 ± 2.98 a | 33.97 ± 3.67 ab |
| PEF | 165.71 ± 4.15 a | 37.10 ± 1.29 a |
| LP | 141.29 ± 5.35 b | 34.48 ± 1.18 ab |
| CP | 126.30 ± 0.88 c | 30.15 ± 0.22 b |
| hot filling | 132.70 ± 1.42 bc | 30.88 ± 0.73 b |
| with ultrasonication | ||
| untreated | 201.62 ± 11.86 a | 44.76 ± 2.43 b |
| HPP | 203.11 ± 4.43 a | 41.58 ± 0.77 bc |
| PEF | 215.25 ± 7.28 a | 49.35 ± 1.34 a |
| LP | 175.16 ± 3.82 b | 40.38 ± 0.54 cd |
| CP | 159.84 ± 7.57 b | 38.27 ± 1.34 cd |
| hot filling | 163.39 ± 1.75 b | 37.37 ± 0.96 d |
© 2020 by the authors. Licensee MDPI, Basel, Switzerland. This article is an open access article distributed under the terms and conditions of the Creative Commons Attribution (CC BY) license (http://creativecommons.org/licenses/by/4.0/).
Share and Cite
Etzbach, L.; Stolle, R.; Anheuser, K.; Herdegen, V.; Schieber, A.; Weber, F. Impact of Different Pasteurization Techniques and Subsequent Ultrasonication on the In Vitro Bioaccessibility of Carotenoids in Valencia Orange (Citrus sinensis (L.) Osbeck) Juice. Antioxidants 2020, 9, 534. https://doi.org/10.3390/antiox9060534
Etzbach L, Stolle R, Anheuser K, Herdegen V, Schieber A, Weber F. Impact of Different Pasteurization Techniques and Subsequent Ultrasonication on the In Vitro Bioaccessibility of Carotenoids in Valencia Orange (Citrus sinensis (L.) Osbeck) Juice. Antioxidants. 2020; 9(6):534. https://doi.org/10.3390/antiox9060534
Chicago/Turabian StyleEtzbach, Lara, Ruth Stolle, Kerstin Anheuser, Volker Herdegen, Andreas Schieber, and Fabian Weber. 2020. "Impact of Different Pasteurization Techniques and Subsequent Ultrasonication on the In Vitro Bioaccessibility of Carotenoids in Valencia Orange (Citrus sinensis (L.) Osbeck) Juice" Antioxidants 9, no. 6: 534. https://doi.org/10.3390/antiox9060534
APA StyleEtzbach, L., Stolle, R., Anheuser, K., Herdegen, V., Schieber, A., & Weber, F. (2020). Impact of Different Pasteurization Techniques and Subsequent Ultrasonication on the In Vitro Bioaccessibility of Carotenoids in Valencia Orange (Citrus sinensis (L.) Osbeck) Juice. Antioxidants, 9(6), 534. https://doi.org/10.3390/antiox9060534

