Beyond Radical Scavengers: Focus on NADPH Oxidases (NOX) Inhibitors as New Agents for Antioxidant Therapy in Alzheimer’s Disease
Abstract
1. Introduction
1.1. ROS and the Aging Process in the Central Nervous System
1.2. The Mechanisms of Oxidative Stress and Its Cellular Impact
1.3. Oxidative Stress in Dementia and Alzheimer’s Disease
1.4. Reductive Stress: The Paradox of Antioxidant Therapy
1.5. Reductive Stress and NADPH/GSH-Driven NOX Activation
1.6. Clinical Evidence on the Limitations of Antioxidant Therapy
2. NOX & DUOX Physiopathology
2.1. Role of NOX/DUOX in Oxidative Stress
2.2. NOX/DUOX Family Architecture and Activation
| Isoform | Structural Features | Activation Mechanism | Cellular Localization |
|---|---|---|---|
| NOX1 | Forms a membrane-bound complex with p22phox and requires cytosolic subunits (p47phox, p67phox, NOXO1, NOXA1) [58,72] | Activated by extracellular stimuli via cytosolic subunit recruitment and RAC1-dependent signaling [76,77] | Predominantly in colonic epithelium and vascular cells; inducible in neurons [75,78] |
| NOX2 | Composed of gp91phox–p22phox heterodimer with cytosolic subunits (p47phox, p67phox, p40phox, RAC1/2) [79,80] | Upregulated under NF-κB-mediated inflammatory signaling; assembles upon immune stimuli [79,80] | Widely expressed in microglia, endothelial cells, and phagocytes [81,82,83,84] |
| NOX3 | Structurally similar to NOX1; associates with p22phox [85,86] | Largely constitutively active; modulated by p22phox [85,86] | Inner ear (vestibular system), fetal spleen and kidney [85,86] |
| NOX4 | Constitutively active isoform, tightly associated with p22phox; does not require cytosolic subunits [73] | Generates sustained H2O2 independently of external stimuli [73] | Ubiquitously expressed; high levels in kidney, vascular smooth muscle, endothelium, neurons, and astrocytes [58,87] |
| NOX5 | Unique EF-hand calcium-binding motifs; does not require p22phox [88] | Activated by intracellular Ca2+ binding and phosphorylation [88] | Testis, spleen, lymphoid tissues (absent in rodents); potential expression in human brain models [88] |
| DUOX1 | Contains extracellular peroxidase-like domain and intracellular EF-hand motifs; maturation depends on DUOXA1 [89] | Requires Ca2+ binding and DUOXA1 for ER exit and membrane targeting [89] | Thyroid and epithelial tissues; upregulated in reactive microglia [89] |
| DUOX2 | Structurally similar to DUOX1; maturation depends on DUOXA2 [89] | Regulated by Ca2+ binding and DUOXA2 for functional expression [89] | Thyroid gland, gastrointestinal epithelium; implicated in neuroinflammation models (e.g., tau-expressing microglia) [89] |
2.3. Role of NOX/DUOX in Peripheral Inflammatory Diseases
2.4. Role of NOX/DUOX in Neuroinflammation and AD Pathophysiology
3. Isoform-Focused Analysis and Drug Design Implications
3.1. NOX Family
| Isoform | Physiological Role | Pathological Implications | Neurodegeneration Evidence | AD-Specific Relevance |
|---|---|---|---|---|
| NOX1 | Redox signaling in epithelium and vasculature [75] | Endothelial dysfunction, I/R injury, vascular inflammation [75] | Impaired IGF1 signaling in ALS models [78] | Lacking direct evidence; further investigation needed [105] |
| NOX2 | Host defense, phagocyte ROS production [81,82,83,84] | BBB disruption, neuronal apoptosis, vascular injury [81,82,83,84] | Strong evidence in ALS, PD, and AD models [81,82,83,84] | Activated by Aβ1–42; promotes neuroinflammation and cognitive decline [81,82,83,84] |
| NOX3 | Otoconia formation in the inner ear [85,86] | Cisplatin-induced ototoxicity [85,86] | Not yet characterized | No evidence; potential role under oxidative stress to be investigated |
| NOX4 | Constitutive ROS production for cellular homeostasis [73] | Fibrosis, tau hyperphosphorylation, ferroptosis [87,104] | High expression in CNS; implicated in tauopathy [104,117] | Strong evidence; pharmacological inhibition improves cognition in animal models [117] |
| NOX5 | Ca2+-dependent ROS generation (no rodent ortholog) [88] | Cardiovascular and renal injury [88] | No CNS data available | Speculative; requires study in humanized models/organoids |
| DUOX1/2 | H2O2 for thyroid hormone synthesis [89,118] | Congenital hypothyroidism, epithelial inflammation [89,118] | Upregulated by tau in fly models; M2000 reduces DUOX in rats [117] | Emerging evidence; underexplored therapeutic target in AD |
3.2. DUOX Family
4. NOX Inhibition and Its Therapeutic Potential in AD
4.1. Broad, Non-Selective Flavoprotein Inhibitors and Early Tool Compounds
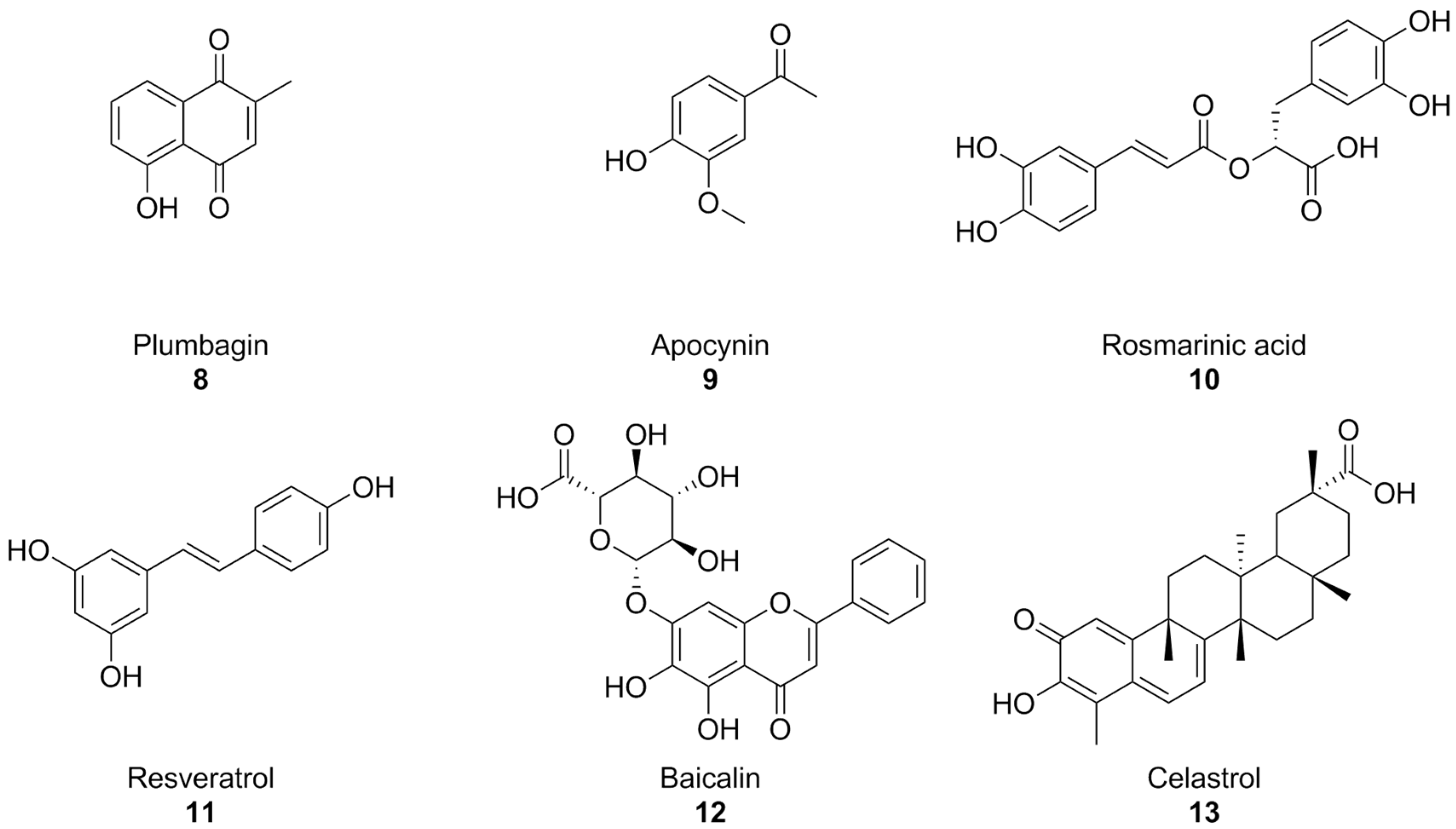
4.2. Compounds with Dual Antioxidant and NOX-Modulatory Actions
4.3. Modern, Isoform-Preferential NOX Inhibitors
4.4. Indirect Approaches Targeting Regulatory Subunits and Protein–Protein Interactions
5. The Future of NOX Inhibitors for AD Therapy
Author Contributions
Funding
Institutional Review Board Statement
Informed Consent Statement
Data Availability Statement
Conflicts of Interest
References
- Tenchov, R.; Sasso, J.M.; Zhou, Q.A. Alzheimer’s Disease: Exploring the Landscape of Cognitive Decline. ACS Chem. Neurosci. 2024, 15, 3800–3827. [Google Scholar] [CrossRef]
- Botella Lucena, P.; Heneka, M.T. Inflammatory Aspects of Alzheimer’s Disease. Acta Neuropathol. 2024, 148, 31. [Google Scholar] [CrossRef]
- Liu, S.; Liu, J.; Wang, Y.; Deng, F.; Deng, Z. Oxidative Stress: Signaling Pathways, Biological Functions, and Disease. MedComm 2025, 6, e70268. [Google Scholar] [CrossRef] [PubMed]
- Novoa, C.; Salazar, P.; Cisternas, P.; Gherardelli, C.; Vera-Salazar, R.; Zolezzi, J.M.; Inestrosa, N.C. Inflammation Context in Alzheimer’s Disease, a Relationship Intricate to Define. Biol. Res. 2022, 55, 39. [Google Scholar] [CrossRef] [PubMed]
- Fanlo-Ucar, H.; Picón-Pagès, P.; Herrera-Fernández, V.; Ill-Raga, G. The Dual Role of Amyloid Beta-Peptide in Oxidative Stress and Inflammation: Unveiling Their Connections in Alzheimer’s Disease Etiopathology. Antioxidants 2024, 13, 1208. [Google Scholar] [CrossRef] [PubMed]
- Cervellati, C.; Zuliani, G. Frontier on Alzheimer’s Disease. Int. J. Mol. Sci. 2023, 24, 7748. [Google Scholar] [CrossRef]
- Harman, D. Aging: A Theory Based on Free Radical and Radiation Chemistry. J. Gerontol. 1956, 11, 298–300. [Google Scholar] [CrossRef]
- Gemma, C. Neuroimmunomodulation and Aging. Aging Dis. 2010, 1, 169–172. [Google Scholar] [PubMed]
- Poon, H.F.; Calabrese, V.; Scapagnini, G.; Butterfield, D.A. Free Radicals and Brain Aging. Clin. Geriatr. Med. 2004, 20, 329–359. [Google Scholar] [CrossRef]
- von Bernhardi, R.; Eugenín-von Bernhardi, L.; Eugenín, J. Microglial Cell Dysregulation in Brain Aging and Neurodegeneration. Front. Aging Neurosci. 2015, 7, 124. [Google Scholar] [CrossRef]
- Lukiw, W.J. Gene Expression Profiling in Fetal, Aged, and Alzheimer Hippocampus: A Continuum of Stress-Related Signaling. Neurochem. Res. 2004, 29, 1287–1297. [Google Scholar] [CrossRef] [PubMed]
- Streit, W.J.; Conde, J.R.; Harrison, J.K. Chemokines and Alzheimer’s Disease. Neurobiol. Aging 2001, 22, 909–913. [Google Scholar] [CrossRef]
- Sly, L.M.; Lopez, M.; Nauseef, W.M.; Reiner, N.E. 1alpha,25-Dihydroxyvitamin D3-Induced Monocyte Antimycobacterial Activity Is Regulated by Phosphatidylinositol 3-Kinase and Mediated by the NADPH-Dependent Phagocyte Oxidase. J. Biol. Chem. 2001, 276, 35482–35493. [Google Scholar] [CrossRef]
- Ding, X.; Zhang, M.; Gu, R.; Xu, G.; Wu, H. Activated Microglia Induce the Production of Reactive Oxygen Species and Promote Apoptosis of Co-Cultured Retinal Microvascular Pericytes. Graefes Arch. Clin. Exp. Ophthalmol. 2017, 255, 777–788. [Google Scholar] [CrossRef]
- Cahill-Smith, S.; Li, J.-M. Oxidative Stress, Redox Signalling and Endothelial Dysfunction in Ageing-Related Neurodegenerative Diseases: A Role of NADPH Oxidase 2. Br. J. Clin. Pharmacol. 2014, 78, 441–453. [Google Scholar] [CrossRef]
- Sayre, L.M.; Perry, G.; Smith, M.A. Oxidative Stress and Neurotoxicity | Chemical Research in Toxicology. Chem. Res. Toxicol. 2007, 21, 172–188. [Google Scholar] [CrossRef] [PubMed]
- Li, Y.; Zhao, T.; Li, J.; Xia, M.; Li, Y.; Wang, X.; Liu, C.; Zheng, T.; Chen, R.; Kan, D.; et al. Oxidative Stress and 4-Hydroxy-2-Nonenal (4-HNE): Implications in the Pathogenesis and Treatment of Aging-Related Diseases. J. Immunol. Res. 2022, 2022, 2233906. [Google Scholar] [CrossRef]
- Zorov, D.B.; Juhaszova, M.; Sollott, S.J. Mitochondrial Reactive Oxygen Species (ROS) and ROS-Induced ROS Release. Physiol. Rev. 2014, 94, 909–950. [Google Scholar] [CrossRef]
- Panchal, K.; Tiwari, A.K. Mitochondrial Dynamics, a Key Executioner in Neurodegenerative Diseases. Mitochondrion 2019, 47, 151–173. [Google Scholar] [CrossRef]
- Skoumalová, A.; Hort, J. Blood Markers of Oxidative Stress in Alzheimer’s Disease. J. Cell Mol. Med. 2012, 16, 2291–2300. [Google Scholar] [CrossRef] [PubMed]
- Onyango, I.G.; Bennett, J.P.; Stokin, G.B. Mitochondrially-Targeted Therapeutic Strategies for Alzheimer’s Disease. Curr. Alzheimer Res. 2021, 18, 753–771. [Google Scholar] [CrossRef]
- Migliore, L.; Coppedè, F. Gene-Environment Interactions in Alzheimer Disease: The Emerging Role of Epigenetics. Nat. Rev. Neurol. 2022, 18, 643–660. [Google Scholar] [CrossRef]
- Zhao, J.; Huai, J. Role of Primary Aging Hallmarks in Alzheimer’s Disease. Theranostics 2023, 13, 197–230. [Google Scholar] [CrossRef] [PubMed]
- Zhu, X.; Rottkamp, C.A.; Boux, H.; Takeda, A.; Perry, G.; Smith, M.A. Activation of P38 Kinase Links Tau Phosphorylation, Oxidative Stress, and Cell Cycle-Related Events in Alzheimer Disease. J. Neuropathol. Exp. Neurol. 2000, 59, 880–888. [Google Scholar] [CrossRef]
- Sankowski, R.; Böttcher, C.; Masuda, T.; Geirsdottir, L.; Sagar; Sindram, E.; Seredenina, T.; Muhs, A.; Scheiwe, C.; Shah, M.J.; et al. Mapping Microglia States in the Human Brain through the Integration of High-Dimensional Techniques. Nat. Neurosci. 2019, 22, 2098–2110. [Google Scholar] [CrossRef] [PubMed]
- Deczkowska, A.; Keren-Shaul, H.; Weiner, A.; Colonna, M.; Schwartz, M.; Amit, I. Disease-Associated Microglia: A Universal Immune Sensor of Neurodegeneration. Cell 2018, 173, 1073–1081. [Google Scholar] [CrossRef]
- Hickman, S.; Izzy, S.; Sen, P.; Morsett, L.; El Khoury, J. Microglia in Neurodegeneration. Nat. Neurosci. 2018, 21, 1359–1369. [Google Scholar] [CrossRef]
- Claude, J.; Linnartz-Gerlach, B.; Kudin, A.P.; Kunz, W.S.; Neumann, H. Microglial CD33-Related Siglec-E Inhibits Neurotoxicity by Preventing the Phagocytosis-Associated Oxidative Burst. J. Neurosci. 2013, 33, 18270–18276. [Google Scholar] [CrossRef] [PubMed]
- Herzog, C.; Pons Garcia, L.; Keatinge, M.; Greenald, D.; Moritz, C.; Peri, F.; Herrgen, L. Rapid Clearance of Cellular Debris by Microglia Limits Secondary Neuronal Cell Death after Brain Injury In Vivo. Development 2019, 146, dev174698. [Google Scholar] [CrossRef] [PubMed]
- Salim, S. Oxidative Stress and the Central Nervous System. J. Pharmacol. Exp. Ther. 2017, 360, 201–205. [Google Scholar] [CrossRef]
- Heneka, M.T.; van der Flier, W.M.; Jessen, F.; Hoozemanns, J.; Thal, D.R.; Boche, D.; Brosseron, F.; Teunissen, C.; Zetterberg, H.; Jacobs, A.H.; et al. Neuroinflammation in Alzheimer Disease. Nat. Rev. Immunol. 2024, 25, 321–352. [Google Scholar] [CrossRef] [PubMed]
- Cobley, J.N.; Fiorello, M.L.; Bailey, D.M. 13 Reasons Why the Brain Is Susceptible to Oxidative Stress. Redox Biol. 2018, 15, 490–503. [Google Scholar] [CrossRef] [PubMed]
- Shimohama, S.; Tanino, H.; Kawakami, N.; Okamura, N.; Kodama, H.; Yamaguchi, T.; Hayakawa, T.; Nunomura, A.; Chiba, S.; Perry, G.; et al. Activation of NADPH Oxidase in Alzheimer’s Disease Brains. Biochem. Biophys. Res. Commun. 2000, 273, 5–9. [Google Scholar] [CrossRef]
- DeLeo, F.R.; Quinn, M.T. Assembly of the Phagocyte NADPH Oxidase: Molecular Interaction of Oxidase Proteins. J. Leukoc. Biol. 1996, 60, 677–691. [Google Scholar] [CrossRef]
- Viña, J.; Borrás, C.; Mas-Bargues, C. Free Radicals in Alzheimer’s Disease: From Pathophysiology to Clinical Trial Results. Free Radic. Biol. Med. 2024, 225, 296–301. [Google Scholar] [CrossRef]
- Zhang, Y.; Zhang, Y.; Kou, J.; Wang, C.; Wang, K. Role of Reactive Oxygen Species in Angiotensin II: Induced Receptor Activator of Nuclear Factor-ΚB Ligand Expression in Mouse Osteoblastic Cells. Mol. Cell Biochem. 2014, 396, 249–255. [Google Scholar] [CrossRef]
- de la Monte, S.M.; Wands, J.R. Molecular Indices of Oxidative Stress and Mitochondrial Dysfunction Occur Early and Often Progress with Severity of Alzheimer’s Disease. J. Alzheimer’s Dis. 2006, 9, 167–181. [Google Scholar] [CrossRef]
- Ansari, M.A.; Scheff, S.W. NADPH-Oxidase Activation and Cognition in Alzheimer Disease Progression. Free Radic. Biol. Med. 2011, 51, 171–178. [Google Scholar] [CrossRef]
- Wood, I.C. The Contribution and Therapeutic Potential of Epigenetic Modifications in Alzheimer’s Disease. Front. Neurosci. 2018, 12, 649. [Google Scholar] [CrossRef]
- Nunomura, A.; Perry, G.; Aliev, G.; Hirai, K.; Takeda, A.; Balraj, E.K.; Jones, P.K.; Ghanbari, H.; Wataya, T.; Shimohama, S.; et al. Oxidative Damage Is the Earliest Event in Alzheimer Disease. J. Neuropathol. Exp. Neurol. 2001, 60, 759–767. [Google Scholar] [CrossRef] [PubMed]
- Hillen, H. The Beta Amyloid Dysfunction (BAD) Hypothesis for Alzheimer’s Disease. Front. Neurosci. 2019, 13, 1154. [Google Scholar] [CrossRef]
- Zhang, H.; Limphong, P.; Pieper, J.; Liu, Q.; Rodesch, C.K.; Christians, E.; Benjamin, I.J. Glutathione-Dependent Reductive Stress Triggers Mitochondrial Oxidation and Cytotoxicity. FASEB J. 2012, 26, 1442–1451. [Google Scholar] [CrossRef]
- Coulthard, L.R.; White, D.E.; Jones, D.L.; McDermott, M.F.; Burchill, S.A. P38(MAPK): Stress Responses from Molecular Mechanisms to Therapeutics. Trends Mol. Med. 2009, 15, 369–379. [Google Scholar] [CrossRef]
- Culbert, A.A.; Skaper, S.D.; Howlett, D.R.; Evans, N.A.; Facci, L.; Soden, P.E.; Seymour, Z.M.; Guillot, F.; Gaestel, M.; Richardson, J.C.; et al. MAPK-Activated Protein Kinase 2 Deficiency in Microglia Inhibits pro-Inflammatory Mediator Release and Resultant Neurotoxicity. Relevance to Neuroinflammation in a Transgenic Mouse Model of Alzheimer Disease. J. Biol. Chem. 2006, 281, 23658–23667. [Google Scholar] [CrossRef]
- Falcicchia, C.; Tozzi, F.; Arancio, O.; Watterson, D.M.; Origlia, N. Involvement of P38 MAPK in Synaptic Function and Dysfunction. Int. J. Mol. Sci. 2020, 21, 5624. [Google Scholar] [CrossRef]
- Badía, M.-C.; Giraldo, E.; Dasí, F.; Alonso, D.; Lainez, J.M.; Lloret, A.; Viña, J. Reductive Stress in Young Healthy Individuals at Risk of Alzheimer Disease. Free Radic. Biol. Med. 2013, 63, 274–279. [Google Scholar] [CrossRef]
- Paccalin, M.; Pain-Barc, S.; Pluchon, C.; Paul, C.; Besson, M.-N.; Carret-Rebillat, A.-S.; Rioux-Bilan, A.; Gil, R.; Hugon, J. Activated MTOR and PKR Kinases in Lymphocytes Correlate with Memory and Cognitive Decline in Alzheimer’s Disease. Dement. Geriatr. Cogn. Disord. 2006, 22, 320–326. [Google Scholar] [CrossRef]
- Calabrese, V.; Sultana, R.; Scapagnini, G.; Guagliano, E.; Sapienza, M.; Bella, R.; Kanski, J.; Pennisi, G.; Mancuso, C.; Stella, A.M.G.; et al. Nitrosative Stress, Cellular Stress Response, and Thiol Homeostasis in Patients with Alzheimer’s Disease. Antioxid. Redox Signal. 2006, 8, 1975–1986. [Google Scholar] [CrossRef] [PubMed]
- Wishart, H.A.; Saykin, A.J.; Rabin, L.A.; Santulli, R.B.; Flashman, L.A.; Guerin, S.J.; Mamourian, A.C.; Belloni, D.R.; Rhodes, C.H.; McAllister, T.W.; et al. Increased Brain Activation during Working Memory in Cognitively Intact Adults with the APOE Epsilon4 Allele. Am. J. Psychiatry 2006, 163, 1603–1610. [Google Scholar] [CrossRef] [PubMed]
- Ponomareva, N.V.; Goltsov, A.Y.; Kunijeva, S.S.; Scheglova, N.S.; Malina, D.D.; Mitrofanov, A.A.; Boikova, T.I.; Rogaev, E.I. Age- and Genotype-Related Neurophysiologic Reactivity to Oxidative Stress in Healthy Adults. Neurobiol. Aging 2012, 33, 839.e11–839.e21. [Google Scholar] [CrossRef] [PubMed]
- Bondi, M.W.; Houston, W.S.; Eyler, L.T.; Brown, G.G. FMRI Evidence of Compensatory Mechanisms in Older Adults at Genetic Risk for Alzheimer Disease. Neurology 2005, 64, 501–508. [Google Scholar] [CrossRef]
- Buettner, G.R.; Wagner, B.A.; Rodgers, V.G.J. Quantitative Redox Biology: An Approach to Understand the Role of Reactive Species in Defining the Cellular Redox Environment. Cell Biochem. Biophys. 2013, 67, 477–483. [Google Scholar] [CrossRef]
- Buettner, G.R. Superoxide Dismutase in Redox Biology: The Roles of Superoxide and Hydrogen Peroxide. Anticancer Agents Med. Chem. 2011, 11, 341–346. [Google Scholar] [CrossRef]
- Calabrese, G.; Morgan, B.; Riemer, J. Mitochondrial Glutathione: Regulation and Functions. Antioxid. Redox Signal. 2017, 27, 1162–1177. [Google Scholar] [CrossRef]
- Cantó, C.; Menzies, K.J.; Auwerx, J. NAD+ Metabolism and the Control of Energy Homeostasis: A Balancing Act between Mitochondria and the Nucleus. Cell Metab. 2015, 22, 31–53. [Google Scholar] [CrossRef]
- Cederbaum, A.I. Alcohol Metabolism. Clin. Liver Dis. 2012, 16, 667–685. [Google Scholar] [CrossRef]
- Chouchani, E.T.; Kazak, L.; Spiegelman, B.M. Mitochondrial Reactive Oxygen Species and Adipose Tissue Thermogenesis: Bridging Physiology and Mechanisms. J. Biol. Chem. 2017, 292, 16810–16816. [Google Scholar] [CrossRef] [PubMed]
- Bedard, K.; Krause, K.-H. The NOX Family of ROS-Generating NADPH Oxidases: Physiology and Pathophysiology. Physiol. Rev. 2007, 87, 245–313. [Google Scholar] [CrossRef] [PubMed]
- Yang, Y.; Sauve, A.A. NAD(+) Metabolism: Bioenergetics, Signaling and Manipulation for Therapy. Biochim. Biophys. Acta 2016, 1864, 1787–1800. [Google Scholar] [CrossRef] [PubMed]
- Yu, Q.; Lee, C.F.; Wang, W.; Karamanlidis, G.; Kuroda, J.; Matsushima, S.; Sadoshima, J.; Tian, R. Elimination of NADPH Oxidase Activity Promotes Reductive Stress and Sensitizes the Heart to Ischemic Injury. J. Am. Heart Assoc. 2014, 3, e000555. [Google Scholar] [CrossRef]
- Lee, J.-W.; Choi, A.H.; Ham, M.; Kim, J.-W.; Choe, S.S.; Park, J.; Lee, G.Y.; Yoon, K.-H.; Kim, J.B. G6PD Up-Regulation Promotes Pancreatic β-Cell Dysfunction. Endocrinology 2011, 152, 793–803. [Google Scholar] [CrossRef]
- Tome, M.E.; Johnson, D.B.F.; Samulitis, B.K.; Dorr, R.T.; Briehl, M.M. Glucose 6-Phosphate Dehydrogenase Overexpression Models Glucose Deprivation and Sensitizes Lymphoma Cells to Apoptosis. Antioxid. Redox Signal. 2006, 8, 1315–1327. [Google Scholar] [CrossRef] [PubMed]
- US Preventive Services Task Force. Vitamin, Mineral, and Multivitamin Supplementation to Prevent Cardiovascular Disease and Cancer: US Preventive Services Task Force Recommendation Statement. JAMA 2022, 327, 2326–2333. [Google Scholar] [CrossRef] [PubMed]
- Cárdenas, D.; Toulson Davisson Correia, M.I.; Hardy, G.; Ochoa, J.B.; Barrocas, A.; Hankard, R.; Hannequart, I.; Schneider, S.; Bermúdez, C.; Papapietro, K.; et al. Nutritional Care Is a Human Right: Translating Principles to Clinical Practice. Clin. Nutr. 2022, 41, 1613–1618. [Google Scholar] [CrossRef]
- Cipriano, A.; Viviano, M.; Feoli, A.; Milite, C.; Sarno, G.; Castellano, S.; Sbardella, G. NADPH Oxidases: From Molecular Mechanisms to Current Inhibitors. J. Med. Chem. 2023, 66, 11632–11655. [Google Scholar] [CrossRef] [PubMed]
- McBean, G.J.; López, M.G.; Wallner, F.K. Redox-Based Therapeutics in Neurodegenerative Disease. Br. J. Pharmacol. 2017, 174, 1750–1770. [Google Scholar] [CrossRef]
- Begum, R.; Thota, S.; Abdulkadir, A.; Kaur, G.; Bagam, P.; Batra, S. NADPH Oxidase Family Proteins: Signaling Dynamics to Disease Management. Cell Mol. Immunol. 2022, 19, 660–686. [Google Scholar] [CrossRef]
- Malkov, A.; Popova, I.; Ivanov, A.; Jang, S.-S.; Yoon, S.Y.; Osypov, A.; Huang, Y.; Zilberter, Y.; Zilberter, M. Aβ Initiates Brain Hypometabolism, Network Dysfunction and Behavioral Abnormalities via NOX2-Induced Oxidative Stress in Mice. Commun. Biol. 2021, 4, 1054. [Google Scholar] [CrossRef]
- Tarafdar, A.; Pula, G. The Role of NADPH Oxidases and Oxidative Stress in Neurodegenerative Disorders. Int. J. Mol. Sci. 2018, 19, 3824. [Google Scholar] [CrossRef]
- Pérez-Torres, I.; Guarner-Lans, V.; Rubio-Ruiz, M.E. Reductive Stress in Inflammation-Associated Diseases and the Pro-Oxidant Effect of Antioxidant Agents. Int. J. Mol. Sci. 2017, 18, 2098. [Google Scholar] [CrossRef]
- Shanmugam, G.; Wang, D.; Gounder, S.S.; Fernandes, J.; Litovsky, S.H.; Whitehead, K.; Radhakrishnan, R.K.; Franklin, S.; Hoidal, J.R.; Kensler, T.W.; et al. Reductive Stress Causes Pathological Cardiac Remodeling and Diastolic Dysfunction. Antioxid. Redox Signal. 2020, 32, 1293–1312. [Google Scholar] [CrossRef]
- Fulton, D.J.R. Nox5 and the Regulation of Cellular Function. Antioxid. Redox Signal. 2009, 11, 2443–2452. [Google Scholar] [CrossRef]
- Leto, T.L.; Morand, S.; Hurt, D.; Ueyama, T. Targeting and Regulation of Reactive Oxygen Species Generation by Nox Family NADPH Oxidases. Antioxid. Redox Signal. 2009, 11, 2607–2619. [Google Scholar] [CrossRef]
- Altenhöfer, S.; Radermacher, K.A.; Kleikers, P.W.M.; Wingler, K.; Schmidt, H.H.H.W. Evolution of NADPH Oxidase Inhibitors: Selectivity and Mechanisms for Target Engagement. Antioxid. Redox Signal. 2015, 23, 406–427. [Google Scholar] [CrossRef]
- O’Neill, S.; Mathis, M.; Kovačič, L.; Zhang, S.; Reinhardt, J.; Scholz, D.; Schopfer, U.; Bouhelal, R.; Knaus, U.G. Quantitative Interaction Analysis Permits Molecular Insights into Functional NOX4 NADPH Oxidase Heterodimer Assembly. J. Biol. Chem. 2018, 293, 8750–8760. [Google Scholar] [CrossRef]
- Choi, D.-H.; Cristóvão, A.C.; Guhathakurta, S.; Lee, J.; Joh, T.H.; Beal, M.F.; Kim, Y.-S. NADPH Oxidase 1-Mediated Oxidative Stress Leads to Dopamine Neuron Death in Parkinson’s Disease. Antioxid. Redox Signal. 2012, 16, 1033–1045. [Google Scholar] [CrossRef]
- Cristóvão, A.C.; Choi, D.-H.; Baltazar, G.; Beal, M.F.; Kim, Y.-S. The Role of NADPH Oxidase 1–Derived Reactive Oxygen Species in Paraquat-Mediated Dopaminergic Cell Death. Antioxid. Redox Signal. 2009, 11, 2105–2118. [Google Scholar] [CrossRef] [PubMed]
- Wu, D.-C.; Ré, D.B.; Nagai, M.; Ischiropoulos, H.; Przedborski, S. The Inflammatory NADPH Oxidase Enzyme Modulates Motor Neuron Degeneration in Amyotrophic Lateral Sclerosis Mice. Proc. Natl. Acad. Sci. USA 2006, 103, 12132–12137. [Google Scholar] [CrossRef] [PubMed]
- Zeidan, F.; Martucci, K.T.; Kraft, R.A.; Gordon, N.S.; McHaffie, J.G.; Coghill, R.C. Brain Mechanisms Supporting the Modulation of Pain by Mindfulness Meditation. J. Neurosci. 2011, 31, 5540–5548. [Google Scholar] [CrossRef] [PubMed]
- Zhang, W.; Dallas, S.; Zhang, D.; Guo, J.-P.; Pang, H.; Wilson, B.; Miller, D.S.; Chen, B.; Zhang, W.; McGeer, P.L.; et al. Microglial PHOX and Mac-1 Are Essential to the Enhanced Dopaminergic Neurodegeneration Elicited by A30P and A53T Mutant Alpha-Synuclein. Glia 2007, 55, 1178–1188. [Google Scholar] [CrossRef]
- Abramov, A.Y.; Duchen, M.R. The Role of an Astrocytic NADPH Oxidase in the Neurotoxicity of Amyloid Beta Peptides. Philos. Trans. R. Soc. B Biol. Sci. 2005, 360, 2309–2314. [Google Scholar] [CrossRef]
- Wyssenbach, A.; Quintela, T.; Llavero, F.; Zugaza, J.L.; Matute, C.; Alberdi, E. Amyloid β-Induced Astrogliosis Is Mediated by Β1-Integrin via NADPH Oxidase 2 in Alzheimer’s Disease. Aging Cell 2016, 15, 1140–1152. [Google Scholar] [CrossRef]
- Walsh, K.P.; Minamide, L.S.; Kane, S.J.; Shaw, A.E.; Brown, D.R.; Pulford, B.; Zabel, M.D.; Lambeth, J.D.; Kuhn, T.B.; Bamburg, J.R.; et al. Amyloid-β and Proinflammatory Cytokines Utilize a Prion Protein-Dependent Pathway to Activate NADPH Oxidase and Induce Cofilin-Actin Rods in Hippocampal Neurons. PLoS ONE 2014, 9, e95995. [Google Scholar] [CrossRef] [PubMed]
- Fan, L.M.; Geng, L.; Cahill-Smith, S.; Liu, F.; Douglas, G.; Mckenzie, C.-A.; Smith, C.; Brooks, G.; Channon, K.M.; Li, J.-M.; et al. Nox2 Contributes to Age-Related Oxidative Damage to Neurons and the Cerebral Vasculature. J. Clin. Investig. 2019, 129, 3374–3386. [Google Scholar] [CrossRef]
- Paffenholz, R.; Bergstrom, R.A.; Pasutto, F.; Wabnitz, P.; Munroe, R.J.; Jagla, W.; Heinzmann, U.; Marquardt, A.; Bareiss, A.; Laufs, J.; et al. Vestibular Defects in Head-Tilt Mice Result from Mutations in Nox3, Encoding an NADPH Oxidase. Genes Dev. 2004, 18, 486–491. [Google Scholar] [CrossRef]
- Bánfi, B.; Malgrange, B.; Knisz, J.; Steger, K.; Dubois-Dauphin, M.; Krause, K.-H. NOX3, a Superoxide-Generating NADPH Oxidase of the Inner Ear. J. Biol. Chem. 2004, 279, 46065–46072. [Google Scholar] [CrossRef]
- Serrander, L.; Cartier, L.; Bedard, K.; Banfi, B.; Lardy, B.; Plastre, O.; Sienkiewicz, A.; Fórró, L.; Schlegel, W.; Krause, K.-H.; et al. NOX4 Activity Is Determined by MRNA Levels and Reveals a Unique Pattern of ROS Generation. Biochem. J. 2007, 406, 105–114. [Google Scholar] [CrossRef] [PubMed]
- Touyz, R.M.; Anagnostopoulou, A.; Rios, F.; Montezano, A.C.; Camargo, L.L. NOX5: Molecular Biology and Pathophysiology. Exp. Physiol. 2019, 104, 605–616. [Google Scholar] [CrossRef] [PubMed]
- Mohammadi, S.; Dolatshahi, M.; Rahmani, F. Shedding Light on Thyroid Hormone Disorders and Parkinson Disease Pathology: Mechanisms and Risk Factors. J. Endocrinol. Investig. 2021, 44, 1–13. [Google Scholar] [CrossRef]
- Antonetti, D.A.; Klein, R.; Gardner, T.W. Diabetic Retinopathy. N. Engl. J. Med. 2012, 366, 1227–1239. [Google Scholar] [CrossRef]
- Li, S.-Y.; Fu, Z.J.; Lo, A.C.Y. Hypoxia-Induced Oxidative Stress in Ischemic Retinopathy. Oxid. Med. Cell. Longev. 2012, 2012, 426769. [Google Scholar] [CrossRef] [PubMed]
- Kermorvant-Duchemin, E.; Sapieha, P.; Sirinyan, M.; Beauchamp, M.; Checchin, D.; Hardy, P.; Sennlaub, F.; Lachapelle, P.; Chemtob, S. Understanding Ischemic Retinopathies: Emerging Concepts from Oxygen-Induced Retinopathy. Doc. Ophthalmol. 2010, 120, 51–60. [Google Scholar] [CrossRef]
- Gao, H.-M.; Zhou, H.; Hong, J.-S. NADPH Oxidases: Novel Therapeutic Targets for Neurodegenerative Diseases. Trends Pharmacol. Sci. 2012, 33, 295–303. [Google Scholar] [CrossRef]
- Treuer, A.V.; Faúndez, M.; Ebensperger, R.; Hovelmeyer, E.; Vergara-Jaque, A.; Perera-Sardiña, Y.; Gutierrez, M.; Fuentealba, R.; González, D.R. New NADPH Oxidase 2 Inhibitors Display Potent Activity against Oxidative Stress by Targeting P22phox-P47phox Interactions. Antioxidants 2023, 12, 1441. [Google Scholar] [CrossRef]
- Harijith, A.; Ebenezer, D.L.; Natarajan, V.; Harijith, A.; Ebenezer, D.L.; Natarajan, V. Reactive Oxygen Species at the Crossroads of Inflammasome and Inflammation. Front. Physiol. 2014, 5, 352. [Google Scholar] [CrossRef] [PubMed]
- Urner, S.; Ho, F.; Jha, J.C.; Ziegler, D.; Jandeleit-Dahm, K. NADPH Oxidase Inhibition: Preclinical and Clinical Studies in Diabetic Complications. Antioxid. Redox Signal. 2020, 33, 415–434. [Google Scholar] [CrossRef]
- Xie, A.; Cheng, G.; Wu, J.; Li, Z.; Yu, G.; Zhu, X.; Chen, T. Highly BBB-Permeable Nanomedicine Reverses Neuroapoptosis and Neuroinflammation to Treat Alzheimer’s Disease. Biomaterials 2025, 312, 122749. [Google Scholar] [CrossRef]
- Zhang, B.; Zhao, Y.; Guo, K.; Tian, H.; Wang, C.; Wang, R.; Chen, Y.; Chen, X.; Zheng, H.; Gao, B.; et al. Macromolecular Nanoparticles to Attenuate Both Reactive Oxygen Species and Inflammatory Damage for Treating Alzheimer’s Disease. Bioeng. Transl. Med. 2022, 8, e10459. [Google Scholar] [CrossRef]
- Mander, P.K.; Jekabsone, A.; Brown, G.C. Microglia Proliferation Is Regulated by Hydthirogen Peroxide from NADPH Oxidase1. J. Immunol. 2006, 176, 1046–1052. [Google Scholar] [CrossRef] [PubMed]
- Chéret, C.; Gervais, A.; Lelli, A.; Colin, C.; Amar, L.; Ravassard, P.; Mallet, J.; Cumano, A.; Krause, K.-H.; Mallat, M.; et al. Neurotoxic Activation of Microglia Is Promoted by a Nox1-Dependent NADPH Oxidase. J. Neurosci. 2008, 28, 12039–12051. [Google Scholar] [CrossRef]
- Gorina, R.; Font-Nieves, M.; Márquez-Kisinousky, L.; Santalucia, T.; Planas, A.M. Astrocyte TLR4 Activation Induces a Proinflammatory Environment through the Interplay between MyD88-Dependent NFκB Signaling, MAPK, and Jak1/Stat1 Pathways. Glia 2011, 59, 242–255. [Google Scholar] [CrossRef]
- Nahirnyj, A.; Livne-Bar, I.; Guo, X.; Sivak, J.M. ROS Detoxification and Proinflammatory Cytokines Are Linked by P38 MAPK Signaling in a Model of Mature Astrocyte Activation. PLoS ONE 2013, 8, e83049. [Google Scholar] [CrossRef] [PubMed]
- Park, M.W.; Cha, H.W.; Kim, J.; Kim, J.H.; Yang, H.; Yoon, S.; Boonpraman, N.; Yi, S.S.; Yoo, I.D.; Moon, J.-S.; et al. NOX4 Promotes Ferroptosis of Astrocytes by Oxidative Stress-Induced Lipid Peroxidation via the Impairment of Mitochondrial Metabolism in Alzheimer’s Diseases. Redox Biol. 2021, 41, 101947. [Google Scholar] [CrossRef]
- Luengo, E.; Trigo-Alonso, P.; Fernández-Mendívil, C.; Nuñez, Á.; Campo, M.d.; Porrero, C.; García-Magro, N.; Negredo, P.; Senar, S.; Sánchez-Ramos, C.; et al. Implication of Type 4 NADPH Oxidase (NOX4) in Tauopathy. Redox Biol. 2022, 49, 102210. [Google Scholar] [CrossRef] [PubMed]
- Marden, J.J.; Harraz, M.M.; Williams, A.J.; Nelson, K.; Luo, M.; Paulson, H.; Engelhardt, J.F. Redox Modifier Genes in Amyotrophic Lateral Sclerosis in Mice. J. Clin. Investig. 2007, 117, 2913–2919. [Google Scholar] [CrossRef]
- Carrano, A.; Hoozemans, J.J.M.; van der Vies, S.M.; Rozemuller, A.J.M.; van Horssen, J.; de Vries, H.E. Amyloid Beta Induces Oxidative Stress-Mediated Blood–Brain Barrier Changes in Capillary Amyloid Angiopathy. Antioxid. Redox Signal. 2011, 15, 1167–1178. [Google Scholar] [CrossRef]
- Radermacher, K.A.; Wingler, K.; Langhauser, F.; Altenhöfer, S.; Kleikers, P.; Hermans, J.J.R.; Hrabě de Angelis, M.; Kleinschnitz, C.; Schmidt, H.H.H.W. Neuroprotection After Stroke by Targeting NOX4 As a Source of Oxidative Stress. Antioxid. Redox Signal. 2013, 18, 1418–1427. [Google Scholar] [CrossRef]
- Kleinschnitz, C.; Grund, H.; Wingler, K.; Armitage, M.E.; Jones, E.; Mittal, M.; Barit, D.; Schwarz, T.; Geis, C.; Kraft, P.; et al. Post-Stroke Inhibition of Induced NADPH Oxidase Type 4 Prevents Oxidative Stress and Neurodegeneration. PLoS Biol. 2010, 8, e1000479. [Google Scholar] [CrossRef]
- Park, L.; Zhou, P.; Pitstick, R.; Capone, C.; Anrather, J.; Norris, E.H.; Younkin, L.; Younkin, S.; Carlson, G.; McEwen, B.S.; et al. Nox2-Derived Radicals Contribute to Neurovascular and Behavioral Dysfunction in Mice Overexpressing the Amyloid Precursor Protein. Proc. Natl. Acad. Sci. USA 2008, 105, 1347–1352. [Google Scholar] [CrossRef]
- Marrali, G.; Casale, F.; Salamone, P.; Fuda, G.; Caorsi, C.; Amoroso, A.; Brunetti, M.; Restagno, G.; Barberis, M.; Bertuzzo, D.; et al. NADPH Oxidase (NOX2) Activity Is a Modifier of Survival in ALS. J. Neurol. 2014, 261, 2178–2183. [Google Scholar] [CrossRef] [PubMed]
- Mohri, H.; Ninoyu, Y.; Sakaguchi, H.; Hirano, S.; Saito, N.; Ueyama, T. Nox3-Derived Superoxide in Cochleae Induces Sensorineural Hearing Loss. J. Neurosci. 2021, 41, 4716–4731. [Google Scholar] [CrossRef]
- Bai, B.; Wang, X.; Li, Y.; Chen, P.-C.; Yu, K.; Dey, K.K.; Yarbro, J.M.; Han, X.; Lutz, B.M.; Rao, S.; et al. Deep Multilayer Brain Proteomics Identifies Molecular Networks in Alzheimer’s Disease Progression. Neuron 2020, 105, 975–991.e7. [Google Scholar] [CrossRef]
- Wang, M.; Luo, L. An Effective NADPH Oxidase 2 Inhibitor Provides Neuroprotection and Improves Functional Outcomes in Animal Model of Traumatic Brain Injury. Neurochem. Res. 2020, 45, 1097–1106. [Google Scholar] [CrossRef] [PubMed]
- Cao, Z.; Liu, G.; Zhang, H.; Wang, M.; Xu, Y. Nox4 Promotes Osteoblast Differentiation through TGF-Beta Signal Pathway. Free Radic. Biol. Med. 2022, 193, 595–609. [Google Scholar] [CrossRef]
- Boonpraman, N.; Yi, S.S. NADPH Oxidase 4 (NOX4) as a Biomarker and Therapeutic Target in Neurodegenerative Diseases. Neural Regen. Res. 2024, 19, 1961–1966. [Google Scholar] [CrossRef]
- Manea, A.; Raicu, M.; Simionescu, M. Expression of Functionally Phagocyte-Type NAD(P)H Oxidase in Pericytes: Effect of Angiotensin II and High Glucose. Biol. Cell 2005, 97, 723–734. [Google Scholar] [CrossRef]
- Maruo, Y.; Nagasaki, K.; Matsui, K.; Mimura, Y.; Mori, A.; Fukami, M.; Takeuchi, Y. Natural Course of Congenital Hypothyroidism by Dual Oxidase 2 Mutations from the Neonatal Period through Puberty. Eur. J. Endocrinol. 2016, 174, 453–463. [Google Scholar] [CrossRef]
- Belarbi, K.; Cuvelier, E.; Destée, A.; Gressier, B.; Chartier-Harlin, M.-C. NADPH Oxidases in Parkinson’s Disease: A Systematic Review. Mol. Neurodegener. 2017, 12, 84. [Google Scholar] [CrossRef] [PubMed]
- Barati, A.; Masoudi, R.; Yousefi, R.; Monsefi, M.; Mirshafiey, A. Tau and Amyloid Beta Differentially Affect the Innate Immune Genes Expression in Drosophila Models of Alzheimer’s Disease and β- D Mannuronic Acid (M2000) Modulates the Dysregulation. Gene 2022, 808, 145972. [Google Scholar] [CrossRef]
- Athari Nik Azm, S.; Vafa, M.; Sharifzadeh, M.; Safa, M.; Barati, A.; Mirshafiey, A. Effects of M2000 (D-Mannuronic Acid) on Learning, Memory Retrieval, and Associated Determinants in a Rat Model of Alzheimer’s Disease. Am. J. Alzheimer’s Dis. Other Dementiasr 2017, 32, 12–21. [Google Scholar] [CrossRef] [PubMed]
- Lee, W.-J.; Kim, S.-H. Role of DUOX in Gut Inflammation: Lessons from Drosophila Model of Gut-Microbiota Interactions. Front. Cell. Infect. Microbiol. 2014, 3, 116. [Google Scholar] [CrossRef] [PubMed]
- Dao, V.T.-V.; Elbatreek, M.H.; Altenhöfer, S.; Casas, A.I.; Pachado, M.P.; Neullens, C.T.; Knaus, U.G.; Schmidt, H.H.H.W. Isoform-Selective NADPH Oxidase Inhibitor Panel for Pharmacological Target Validation. Free Radic. Biol. Med. 2020, 148, 60–69. [Google Scholar] [CrossRef]
- Ragan, C.I.; Bloxham, D.P. Specific Labelling of a Constituent Polypeptide of Bovine Heart Mitochondrial Reduced Nicotinamide-Adenine Dinucleotide-Ubiquinone Reductase by the Inhibitor Diphenyleneiodonium. Biochem. J. 1977, 163, 605–615. [Google Scholar] [CrossRef] [PubMed]
- Le Cabec, V.; Maridonneau-Parini, I. Complete and Reversible Inhibition of NADPH Oxidase in Human Neutrophils by Phenylarsine Oxide at a Step Distal to Membrane Translocation of the Enzyme Subunits. J. Biol. Chem. 1995, 270, 2067–2073. [Google Scholar] [CrossRef]
- Diatchuk, V.; Lotan, O.; Koshkin, V.; Wikstroem, P.; Pick, E. Inhibition of NADPH Oxidase Activation by 4-(2-Aminoethyl)-Benzenesulfonyl Fluoride and Related Compounds. J. Biol. Chem. 1997, 272, 13292–13301. [Google Scholar] [CrossRef]
- Fu, Q.; Gao, N.; Che, F.; Xu, G.; Han, H.; Su, Q.; Ma, G. Diphenyleneiodonium Chloride Synergizes with Diazoxide to Enhance Protection against Amyloid β Induced Neurotoxicity. J. Integr. Neurosci. 2019, 18, 445–449. [Google Scholar] [CrossRef]
- Cayatte, A.J.; Rupin, A.; Oliver-Krasinski, J.; Maitland, K.; Sansilvestri-Morel, P.; Boussard, M.-F.; Wierzbicki, M.; Verbeuren, T.J.; Cohen, R.A. S17834, a New Inhibitor of Cell Adhesion and Atherosclerosis That Targets NADPH Oxidase. Arterioscler. Thromb. Vasc. Biol. 2001, 21, 1577–1584. [Google Scholar] [CrossRef]
- Zang, M.; Xu, S.; Maitland-Toolan, K.A.; Zuccollo, A.; Hou, X.; Jiang, B.; Wierzbicki, M.; Verbeuren, T.J.; Cohen, R.A. Polyphenols Stimulate AMP-Activated Protein Kinase, Lower Lipids, and Inhibit Accelerated Atherosclerosis in Diabetic LDL Receptor-Deficient Mice. Diabetes 2006, 55, 2180–2191. [Google Scholar] [CrossRef]
- ten Freyhaus, H.; Huntgeburth, M.; Wingler, K.; Schnitker, J.; Bäumer, A.T.; Vantler, M.; Bekhite, M.M.; Wartenberg, M.; Sauer, H.; Rosenkranz, S.; et al. Novel Nox Inhibitor VAS2870 Attenuates PDGF-Dependent Smooth Muscle Cell Chemotaxis, but Not Proliferation. Cardiovasc. Res. 2006, 71, 331–341. [Google Scholar] [CrossRef]
- Tegtmeier, F.; Walter, U.; Schinzel, R.; Wingler, K.; Scheurer, P.; Schmidt, H. Compounds Containing a N-Heteroaryl Moiety Linked to Fused Ring Moieties for the Inhibition of Nad(p)h Oxidases and Platelet Activation. WO2005111041A1, 24 November 2005. [Google Scholar]
- Wingler, K.; Altenhoefer, S.A.; Kleikers, P.W.M.; Radermacher, K.A.; Kleinschnitz, C.; Schmidt, H.H.H.W. VAS2870 Is a Pan-NADPH Oxidase Inhibitor. Cell. Mol. Life Sci. 2012, 69, 3159–3160. [Google Scholar] [CrossRef] [PubMed]
- Augsburger, F.; Filippova, A.; Rasti, D.; Seredenina, T.; Lam, M.; Maghzal, G.; Mahiout, Z.; Jansen-Dürr, P.; Knaus, U.G.; Doroshow, J.; et al. Pharmacological Characterization of the Seven Human NOX Isoforms and Their Inhibitors. Redox Biol. 2019, 26, 101272. [Google Scholar] [CrossRef]
- Sun, Q.-A.; Hess, D.T.; Wang, B.; Miyagi, M.; Stamler, J.S. Off-Target Thiol Alkylation by the NADPH Oxidase Inhibitor 3-Benzyl-7-(2-Benzoxazolyl)Thio-1,2,3-Triazolo[4,5-d]Pyrimidine (VAS2870). Free Radic. Biol. Med. 2012, 52, 1897–1902. [Google Scholar] [CrossRef]
- Upadhyay, R.K.; Kumar, K.; Vishwakarma, V.K.; Singh, N.; Narang, R.; Parakh, N.; Yadav, M.; Yadav, S.; Kumar, S.; Goyal, A.; et al. Delineating the NOX-Mediated Promising Therapeutic Strategies for the Management of Various Cardiovascular Disorders: A Comprehensive Review. Curr. Vasc. Pharmacol. 2025, 23, 12–30. [Google Scholar] [CrossRef]
- Simenc, J.; Juric, D.M.; Lipnik-Stangelj, M. NADPH Oxidase Inhibitor VAS2870 Prevents Staurosporine-Induced Cell Death in Rat Astrocytes. Radiol. Oncol. 2019, 53, 69–76. [Google Scholar] [CrossRef]
- Aptabio Therapeutics, Inc. Double Blind, Randomized Study Assessing the Safety, Tolerability, Pharmacokinetics and Pharmacodynamics of Single Ascending Doses or Multiple Ascending Doses of APX-115 in Healthy Male Volunteers. 2019. Available online: https://clinicaltrials.gov/study/NCT03694041 (accessed on 10 December 2025).
- Aptabio Therapeutics, Inc. A Randomized, Placebo-Controlled, Double-Blinded, Multi-Centre, Phase 2 Study to Assess Safety, Tolerability and Renal Effects of APX-115 in Subjects with Type 2 Diabetes and Nephropathy. 2021. Available online: https://clinicaltrials.gov/study/NCT04534439 (accessed on 10 December 2025).
- Aptabio Therapeutics, Inc. A Phase 2, Double-Blind, Placebo-Controlled, Efficacy, and Safety Study of APX-115 in Hospitalized Patients with Confirmed Mild to Moderate COVID-19. 2024. Available online: https://clinicaltrials.gov/study/NCT04880109 (accessed on 10 December 2025).
- Meyer, J.W.; Holland, J.A.; Ziegler, L.M.; Chang, M.M.; Beebe, G.; Schmitt, M.E. Identification of a Functional Leukocyte-Type NADPH Oxidase in Human Endothelial Cells: A Potential Atherogenic Source of Reactive Oxygen Species. Endothelium 1999, 7, 11–22. [Google Scholar] [CrossRef] [PubMed]
- Ding, Y.; Chen, Z.-J.; Liu, S.; Che, D.; Vetter, M.; Chang, C.-H. Inhibition of Nox-4 Activity by Plumbagin, a Plant-Derived Bioactive Naphthoquinone. J. Pharm. Pharmacol. 2005, 57, 111–116. [Google Scholar] [CrossRef] [PubMed]
- Mora-Pale, M.; Weïwer, M.; Yu, J.; Linhardt, R.J.; Dordick, J.S. Inhibition of Human Vascular NADPH Oxidase by Apocynin Derived Oligophenols. Bioorg. Med. Chem. 2009, 17, 5146–5152. [Google Scholar] [CrossRef] [PubMed]
- Heumüller, S.; Wind, S.; Barbosa-Sicard, E.; Schmidt, H.H.H.W.; Busse, R.; Schröder, K.; Brandes, R.P. Apocynin Is Not an Inhibitor of Vascular NADPH Oxidases but an Antioxidant. Hypertension 2008, 51, 211–217. [Google Scholar] [CrossRef]
- Farr, S.B.; Natvig, D.O.; Kogoma, T. Toxicity and Mutagenicity of Plumbagin and the Induction of a Possible New DNA Repair Pathway in Escherichia coli. J. Bacteriol. 1985, 164, 1309–1316. [Google Scholar] [CrossRef]
- Demma, J.; Hallberg, K.; Hellman, B. Genotoxicity of Plumbagin and Its Effects on Catechol and NQNO-Induced DNA Damage in Mouse Lymphoma Cells. Toxicol. Vitr. 2009, 23, 266–271. [Google Scholar] [CrossRef]
- Nakhate, K.T.; Bharne, A.P.; Verma, V.S.; Aru, D.N.; Kokare, D.M. Plumbagin Ameliorates Memory Dysfunction in Streptozotocin Induced Alzheimer’s Disease via Activation of Nrf2/ARE Pathway and Inhibition of β-Secretase. Biomed. Pharmacother. 2018, 101, 379–390. [Google Scholar] [CrossRef]
- Ahsan, R.; Khan, M.M.; Mishra, A.; Noor, G. Plumbagin as a Potential Therapeutic Agent for Scopolamine-Induced Alzheimer’s Disease: Mechanistic Insights into GSK-3β Inhibition. Brain Res. 2025, 1859, 149650. [Google Scholar] [CrossRef]
- Lull, M.E.; Levesque, S.; Surace, M.J.; Block, M.L. Chronic Apocynin Treatment Attenuates Beta Amyloid Plaque Size and Microglial Number in HAPP(751)SL Mice. PLoS ONE 2011, 6, e20153. [Google Scholar] [CrossRef] [PubMed]
- Dumont, M.; Stack, C.; Elipenhali, C.; Calingasan, N.Y.; Wille, E.; Beal, M.F. Apocynin Administration Does Not Improve Behavioral and Neuropathological Deficits in a Transgenic Mouse Model of Alzheimer’s Disease. Neurosci. Lett. 2011, 492, 150–154. [Google Scholar] [CrossRef][Green Version]
- Laurent, C.; Chabi, B.; Fouret, G.; Py, G.; Sairafi, B.; Elong, C.; Gaillet, S.; Cristol, J.P.; Coudray, C.; Feillet-Coudray, C.; et al. Polyphenols Decreased Liver NADPH Oxidase Activity, Increased Muscle Mitochondrial Biogenesis and Decreased Gastrocnemius Age-Dependent Autophagy in Aged Rats. Free Radic. Res. 2012, 46, 1140–1149. [Google Scholar] [CrossRef] [PubMed]
- Lee, B.K.; Jee, H.J.; Jung, Y.-S. Aβ1-40-Induced Platelet Adhesion Is Ameliorated by Rosmarinic Acid through Inhibition of NADPH Oxidase/PKC-δ/Integrin AIIbβ3 Signaling. Antioxidants 2021, 10, 1671. [Google Scholar] [CrossRef]
- Yao, Y.; Li, J.; Niu, Y.; Yu, J.-Q.; Yan, L.; Miao, Z.-H.; Zhao, X.-X.; Li, Y.-J.; Yao, W.-X.; Zheng, P.; et al. Resveratrol Inhibits Oligomeric Aβ-Induced Microglial Activation via NADPH Oxidase. Mol. Med. Rep. 2015, 12, 6133–6139. [Google Scholar] [CrossRef]
- Ge, Y.; Ma, E.; Guo, X.; Wang, Q.; Zhu, W.; Ren, D.-N.; Wo, D. Baicalin Prevents Chronic β-AR Agonist-Induced Heart Failure via Preventing Oxidative Stress and Overactivation of the NADPH Oxidase NOX2. J. Cell. Mol. Med. 2025, 29, e70388. [Google Scholar] [CrossRef]
- Cao, F.; Zhang, P.; Chi, Y.; Wang, Y.; Xu, L.; Zhang, D. Celastrol Ameliorated Alzheimer’s Disease in Mice by Enhancing TBX21/TREM2 Expression in Microglia and Inhibiting Tau Phosphorylation. Neurochem. Res. 2025, 50, 126. [Google Scholar] [CrossRef]
- Cao, F.; Xu, L.; He, X.; Chi, Y.; Wang, Y.; Liu, Q.; Zhang, D. Celastrol Attenuates Alzheimer’s Disease-Mediated Learning and Memory Impairment by Inhibiting Endoplasmic Reticulum Stress-Induced Inflammation and Oxidative Stress. Arch. Med. Sci. 2025, 21, 538–554. [Google Scholar] [CrossRef]
- Yang, C.; Su, C.; Iyaswamy, A.; Krishnamoorthi, S.K.; Zhu, Z.; Yang, S.; Tong, B.C.; Liu, J.; Sreenivasmurthy, S.G.; Guan, X.; et al. Celastrol Enhances Transcription Factor EB (TFEB)-Mediated Autophagy and Mitigates Tau Pathology: Implications for Alzheimer’s Disease Therapy. Acta Pharm. Sin. B 2022, 12, 1707–1722. [Google Scholar] [CrossRef]
- Schiavone, S.; Morgese, M.G.; Tucci, P.; Trabace, L. The Therapeutic Potential of Celastrol in Central Nervous System Disorders: Highlights from In Vitro and In Vivo Approaches. Molecules 2021, 26, 4700. [Google Scholar] [CrossRef]
- Dustin, C.M.; Shiva, S.S.; Vazquez, A.; Saeed, A.; Pascoal, T.; Cifuentes-Pagano, E.; Pagano, P.J.; Dustin, C.M.; Shiva, S.S.; Vazquez, A.; et al. NOX2 in Alzheimer’s and Parkinson’s Disease. Redox Biol. 2024, 78, 103433. [Google Scholar] [CrossRef]
- Cifuentes-Pagano, E.; Saha, J.; Csányi, G.; Ghouleh, I.A.; Sahoo, S.; Rodríguez, A.; Wipf, P.; Pagano, P.J.; Skoda, E.M. Bridged Tetrahydroisoquinolines as Selective NADPH Oxidase 2 (Nox2) Inhibitors. Medchemcomm 2013, 4, 1085–1092. [Google Scholar] [CrossRef]
- Li, Y.; Cifuentes-Pagano, E.; DeVallance, E.R.; de Jesus, D.S.; Sahoo, S.; Meijles, D.N.; Koes, D.; Camacho, C.J.; Ross, M.; St Croix, C.; et al. NADPH Oxidase 2 Inhibitors CPP11G and CPP11H Attenuate Endothelial Cell Inflammation & Vessel Dysfunction and Restore Mouse Hind-Limb Flow. Redox Biol. 2019, 22, 101143. [Google Scholar] [CrossRef] [PubMed]
- Keeney, M.T.; Hoffman, E.K.; Farmer, K.; Bodle, C.R.; Fazzari, M.; Zharikov, A.; Castro, S.L.; Hu, X.; Mortimer, A.; Kofler, J.K.; et al. NADPH Oxidase 2 Activity in Parkinson’s Disease. Neurobiol. Dis. 2022, 170, 105754. [Google Scholar] [CrossRef] [PubMed]
- Hirano, K.; Chen, W.S.; Chueng, A.L.W.; Dunne, A.A.; Seredenina, T.; Filippova, A.; Ramachandran, S.; Bridges, A.; Chaudry, L.; Pettman, G.; et al. Discovery of GSK2795039, a Novel Small Molecule NADPH Oxidase 2 Inhibitor. Antioxid. Redox Signal. 2015, 23, 358–374. [Google Scholar] [CrossRef] [PubMed]
- Jaquet, V.; Rutter, A.R. Response to Pick. Antioxid. Redox Signal. 2015, 23, 1251–1253. [Google Scholar] [CrossRef]
- Yauger, Y.J.; Bermudez, S.; Moritz, K.E.; Glaser, E.; Stoica, B.; Byrnes, K.R. Iron Accentuated Reactive Oxygen Species Release by NADPH Oxidase in Activated Microglia Contributes to Oxidative Stress in Vitro. J. Neuroinflamm. 2019, 16, 41. [Google Scholar] [CrossRef]
- Padilha, E.C.; Shah, P.; Rai, G.; Xu, X. NOX2 Inhibitor GSK2795039 Metabolite Identification towards Drug Optimization. J. Pharm. Biomed. Anal. 2021, 201, 114102. [Google Scholar] [CrossRef] [PubMed]
- Mason, H.; Rai, G.; Kozyr, A.; De Jonge, N.; Gliniewicz, E.; Berg, L.J.; Wald, G.; Dorrier, C.; Henderson, M.J.; Zakharov, A.; et al. Development of an Improved and Specific Inhibitor of NADPH Oxidase 2 to Treat Traumatic Brain Injury. Redox Biol. 2023, 60, 102611. [Google Scholar] [CrossRef] [PubMed]
- Mukhina, K.A.; Kechko, O.I.; Osypov, A.A.; Petrushanko, I.Y.; Makarov, A.A.; Mitkevich, V.A.; Popova, I.Y. Short-Term Inhibition of NOX2 Prevents the Development of Aβ-Induced Pathology in Mice. Antioxidants 2025, 14, 663. [Google Scholar] [CrossRef] [PubMed]
- Potapov, K.V.; Platonov, D.N.; Belyy, A.Y.; Novikov, M.A.; Tomilov, Y.V.; Anashkina, A.A.; Mukhina, K.A.; Kechko, O.I.; Solyev, P.N.; Novikov, R.A.; et al. Improved Synthesis of Effective 3-(Indolin-6-Yl)-4-(N-Pyrazole-Sulfonamide)-1H-Pyrrolo[2,3-b]Pyridine-Based Inhibitors of NADPH Oxidase 2. Int. J. Mol. Sci. 2025, 26, 3647. [Google Scholar] [CrossRef]
- Noce, B.; Marchese, S.; Massari, M.; Lambona, C.; Reis, J.; Fiorentino, F.; Raucci, A.; Fioravanti, R.; Castelôa, M.; Mormino, A.; et al. Design of Benzyl-Triazolopyrimidine-Based NADPH Oxidase Inhibitors Leads to the Discovery of a Potent Dual Covalent NOX2/MAOB Inhibitor. J. Med. Chem. 2025, 68, 6292–6311. [Google Scholar] [CrossRef]
- Rey, F.E.; Cifuentes, M.E.; Kiarash, A.; Quinn, M.T.; Pagano, P.J. Novel Competitive Inhibitor of NAD(P)H Oxidase Assembly Attenuates Vascular O2− and Systolic Blood Pressure in Mice. Circ. Res. 2001, 89, 408–414. [Google Scholar] [CrossRef]
- Liu, X.; Lei, Z.; Gilhooly, D.; He, J.; Li, Y.; Ritzel, R.M.; Li, H.; Wu, L.-J.; Liu, S.; Wu, J.; et al. Traumatic Brain Injury-Induced Inflammatory Changes in the Olfactory Bulb Disrupt Neuronal Networks Leading to Olfactory Dysfunction. Brain Behav. Immun. 2023, 114, 22–45. [Google Scholar] [CrossRef]
- Smith, S.M.E.; Min, J.; Ganesh, T.; Diebold, B.; Kawahara, T.; Zhu, Y.; McCoy, J.; Sun, A.; Snyder, J.P.; Fu, H.; et al. Ebselen and Congeners Inhibit NADPH-Oxidase 2 (Nox2)-Dependent Superoxide Generation by Interrupting the Binding of Regulatory Subunits. Chem. Biol. 2012, 19, 752–763. [Google Scholar] [CrossRef]
- Li, X.; Shi, Q.; Xu, H.; Xiong, Y.; Wang, C.; Le, L.; Lian, J.; Wu, G.; Peng, F.; Liu, Q.; et al. Ebselen Interferes with Alzheimer’s Disease by Regulating Mitochondrial Function. Antioxidants 2022, 11, 1350. [Google Scholar] [CrossRef] [PubMed]
- Martini, F.; Rosa, S.G.; Klann, I.P.; Fulco, B.C.W.; Carvalho, F.B.; Rahmeier, F.L.; Fernandes, M.C.; Nogueira, C.W. A Multifunctional Compound Ebselen Reverses Memory Impairment, Apoptosis and Oxidative Stress in a Mouse Model of Sporadic Alzheimer’s Disease. J. Psychiatr. Res. 2019, 109, 107–117. [Google Scholar] [CrossRef]
- Martini, F.; Bruning, C.A.; Soares, S.M.; Nogueira, C.W.; Zeni, G. Inhibitory Effect of Ebselen on Cerebral Acetylcholinesterase Activity in Vitro: Kinetics and Reversibility of Inhibition. Curr. Pharm. Des. 2015, 21, 920–924. [Google Scholar] [CrossRef]
- Luo, Z.; Sheng, J.; Sun, Y.; Lu, C.; Yan, J.; Liu, A.; Luo, H.-B.; Huang, L.; Li, X. Synthesis and Evaluation of Multi-Target-Directed Ligands against Alzheimer’s Disease Based on the Fusion of Donepezil and Ebselen. J. Med. Chem. 2013, 56, 9089–9099. [Google Scholar] [CrossRef]
- Solbak, S.M.Ø.; Zang, J.; Narayanan, D.; Høj, L.J.; Bucciarelli, S.; Softley, C.; Meier, S.; Langkilde, A.E.; Gotfredsen, C.H.; Sattler, M.; et al. Developing Inhibitors of the P47phox-P22phox Protein-Protein Interaction by Fragment-Based Drug Discovery. J. Med. Chem. 2020, 63, 1156–1177. [Google Scholar] [CrossRef] [PubMed]
- Fan, L.M.; Liu, F.; Du, J.; Geng, L.; Li, J.-M. Inhibition of Endothelial Nox2 Activation by LMH001 Protects Mice from Angiotensin II-Induced Vascular Oxidative Stress, Hypertension and Aortic Aneurysm. Redox Biol. 2022, 51, 102269. [Google Scholar] [CrossRef]
- Zang, J.; Peters, F.; Cambet, Y.; Cifuentes-Pagano, E.; Hissabu, M.M.S.; Dustin, C.M.; Svensson, L.H.; Olesen, M.M.; Poulsen, M.F.L.; Jacobsen, S.; et al. Targeting NOX2 with Bivalent Small-Molecule P47phox–P22phox Inhibitors. J. Med. Chem. 2023, 66, 14963–15005. [Google Scholar] [CrossRef] [PubMed]
- Juric, M.; Rawat, V.; Amaradhi, R.; Zielonka, J.; Ganesh, T. Novel NADPH Oxidase-2 Inhibitors as Potential Anti-Inflammatory and Neuroprotective Agents. Antioxidants 2023, 12, 1660. [Google Scholar] [CrossRef] [PubMed]
- Ghosh, A.A.; Verma, D.K.; Cabrera, G.; Ofori, K.; Hernandez-Quijada, K.; Kim, J.-K.; Chung, J.H.; Moore, M.; Moon, S.H.; Seo, J.B.; et al. A Novel NOX Inhibitor Treatment Attenuates Parkinson’s Disease-Related Pathology in Mouse Models. Int. J. Mol. Sci. 2022, 23, 4262. [Google Scholar] [CrossRef]
- Ofori, K.; Ghosh, A.; Verma, D.K.; Wheeler, D.; Cabrera, G.; Seo, J.-B.; Kim, Y.-H. A Novel NOX Inhibitor Alleviates Parkinson’s Disease Pathology in PFF-Injected Mice. Int. J. Mol. Sci. 2023, 24, 14278. [Google Scholar] [CrossRef]
- Calliditas Therapeutics AB An Open-Label Phase 1 Study to Evaluate the Pharmacokinetics and Drug-Drug Interactions of Setanaxib in Healthy Adult Male and Female Subjects. 2022. Available online: https://clinicaltrials.gov/study/NCT04327089 (accessed on 10 December 2025).
- Calliditas Therapeutics AB A Double-Blind, Randomized, Placebo-Controlled Clinical Trial to Assess the Efficacy & Safety of Oral GKT137831 in Patients with Primary Biliary Cholangitis Receiving Ursodeoxycholic Acid and with Persistently Elevated Alkaline Phosphatase. 2022. Available online: https://clinicaltrials.gov/study/NCT03226067 (accessed on 10 December 2025).
- Duncan, S.R. A Randomized, Double-Blind, Placebo-Controlled Phase II Clinical Trial of GKT137831 in Patients with Idiopathic Pulmonary Fibrosis. 2024. Available online: https://clinicaltrials.gov/study/NCT03865927 (accessed on 10 December 2025).
- Calliditas Therapeutics AB A Double-Blind, Randomized, Placebo-Controlled, Phase 2 Study Evaluating the Safety and Efficacy of Oral GKT137831 in Patients with Type 2 Diabetes and Albuminuria. 2025. Available online: https://clinicaltrials.gov/study/NCT03226067 (accessed on 10 December 2025).
- Calliditas Therapeutics Suisse SA A Phase 2, Randomised, Double-Blind, Placebo-Controlled Study to Evaluate the Efficacy, Safety, and Tolerability of Setanaxib, When Administered with Pembrolizumab, in Patients with Recurrent or Metastatic SCCHN. 2025. Available online: https://clinicaltrials.gov/study/NCT05323656 (accessed on 10 December 2025).
- Diebold, B.A.; Smith, S.M.E.; Li, Y.; Lambeth, J.D. NOX2 as a Target for Drug Development: Indications, Possible Complications, and Progress. Antioxid. Redox Signal. 2015, 23, 375–405. [Google Scholar] [CrossRef]











| Chemical Class/Structural Core | Inhibitor | NOX Isoforms Targeted | Known Off-Targets | Evidence in AD-Relevant Models | Testing Stage | References | |
|---|---|---|---|---|---|---|---|
| Diphenyleneiodonium | DPI (1) | Pan-NOX | Multiple flavoproteins | Protection from Aβ-induced neurotoxicity in primary hippocampal neurons | In vitro | [74,123,126] | |
| Organoarsenical | PAO (2) | Pan-NOX | Tyrosine phosphatases | None | In vitro | [74,124] | |
| Arylsulfonyl fluoride | AEBSF (3) | Pan-NOX | Serine proteases | None | In vitro | [74,125] | |
| Triazolopyrimidine | VAS2870 (5) | Pan-NOX | Cys alkylation across proteins | None | In vitro | [129,130,131,132,133,134,135] | |
| MC4768 (19) | NOX2 | Not reported | None | In vitro | [168] | ||
| MC4767 (20) | NOX2 | Not reported | None | In vitro | |||
| MC4762 (21) | NOX2 | MAO-B inhibitor | Potential multitarget inhibitor of NOX2 and MAO-B in microglia | In vitro | |||
| Pyrazolylpyridine | APX115 (6) | Pan-NOX | Antioxidant | None | Phase II ongoing | [136,137,138] | |
| Morphinan | Naloxone (7) | Reported NOX2 | µ-opioid receptor | None | Approved drug | [65] | |
| Phenolic | Quinone | Plumbagin (8) | NOX4 | Genotoxicity, mutagenicity, redox cycling | Neuroprotective effects in AD mice | In vivo | [74,140,142,143,144,145,146] |
| Celastrol (13) | NOX1/2 > NOX4/5 | Covalent p47phox interactions; multiple proteins | Improved memory in AD mice (retracted) | In vivo | [153,154,155,156] | ||
| Methoxy cathecol | Apocynin (9) | Weak/unclear | Antioxidant; redox enzymes | Conflicting data | In vivo | [74,139,141,147,148] | |
| Polyphenol | Rosmarinic acid (10) | Unclear | Antioxidant | Inhibits platelet adhesion in Aβ aggregation model | In vitro | [150] | |
| Resveratrol (11) | Unclear | Antioxidant | Inhibits NOX in BV2 cells activated by Aβ | In vitro | [151] | ||
| LMH-001 (28) | NOX2 (disputed) | Antioxidant | None | In vitro | [176,177] | ||
| Flavonoid | S17834 (4) | No data | AMPK activator | None | In vitro | [127,128] | |
| Baicalin (12) | NOX2/4 (putative) | Antioxidant | None | In vivo | [152] | ||
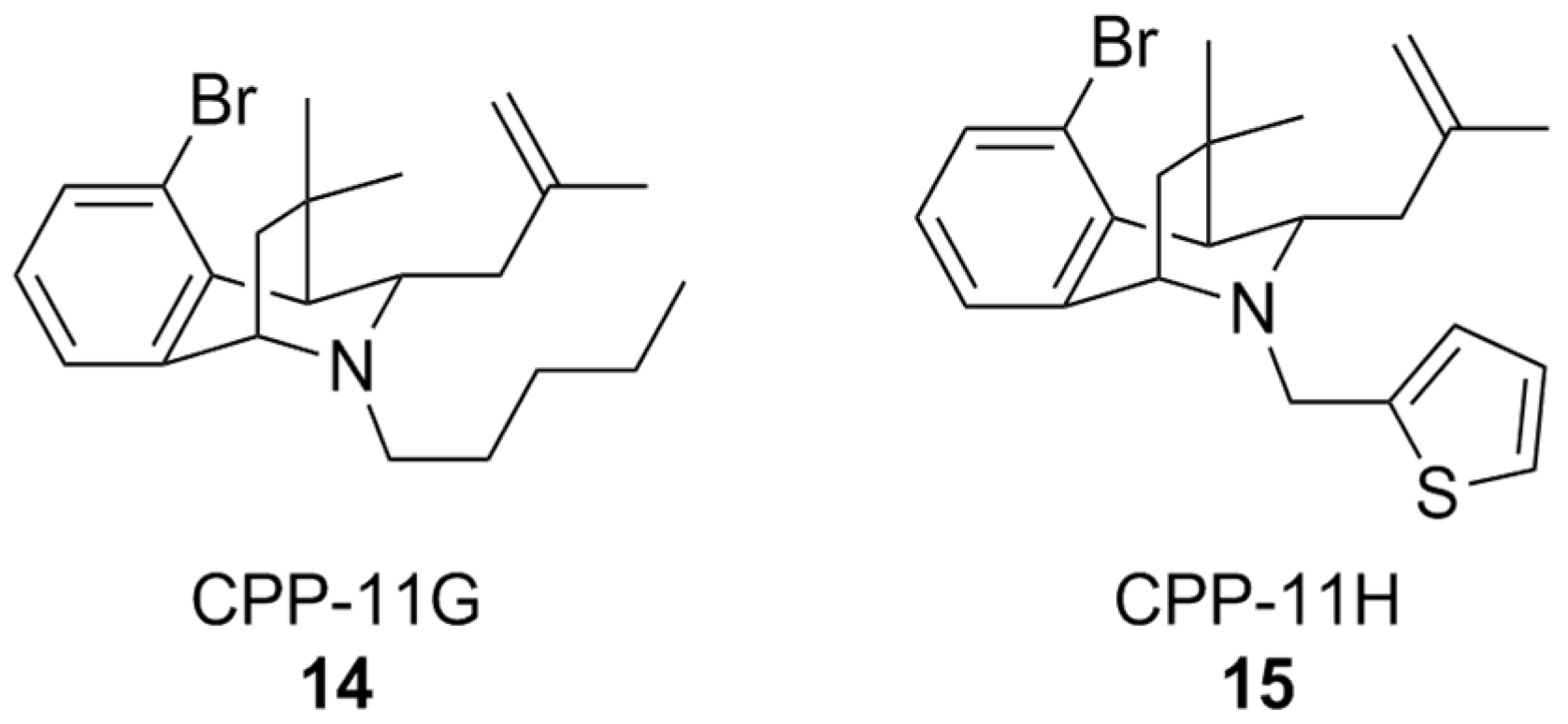
| Bridged tetrahydroisoquinolines | CPP11-G (14) | NOX2 | Minimal reported | Studies ongoing | In vivo | [157,158,159,160] | |
| CPP11-H (15) | |||||||
| 7-Azaindole | GSK2795039 (16) | NOX2 | Few data | Improved metabolism, neuronal activity and behavior in AD mice | In vivo | [68,110,161,162,163,164,166,167] | |
| NCATS-SM7270 (17) | NOX2 | Few data | None | In vivo | [165,167] | ||
| IMBIOC-1 (18) | NOX2 | Few data | Restored viability of Aβ-treated microglia | In vitro | [167] | ||
| Organoselenium | Ebselen (22) | NOX1/2 | AChE inhibition; antioxidant | Improved cognition & reduced pathology in AD mice | Phase II complete | [171,172,173,174] | |
| Ebselen analogs | Thr101 (23) | NOX1/2 | Unknown | None | In vitro | [171] | |
| JM-77b (24) | |||||||
| JM-77c (25) | |||||||
| Compound 7d (26) | No data | AChE inhibition | None | In vitro | [175] | ||
| Quinolone fragment dimer | Compound 71 (27) | NOX2 | Few data | None | In vitro | [176] | |
Disclaimer/Publisher’s Note: The statements, opinions and data contained in all publications are solely those of the individual author(s) and contributor(s) and not of MDPI and/or the editor(s). MDPI and/or the editor(s) disclaim responsibility for any injury to people or property resulting from any ideas, methods, instructions or products referred to in the content. |
© 2025 by the authors. Licensee MDPI, Basel, Switzerland. This article is an open access article distributed under the terms and conditions of the Creative Commons Attribution (CC BY) license.
Share and Cite
Brunetti, L.; Francavilla, F.; Santo, A.; Vitone, D.; Leopoldo, M.; Lacivita, E. Beyond Radical Scavengers: Focus on NADPH Oxidases (NOX) Inhibitors as New Agents for Antioxidant Therapy in Alzheimer’s Disease. Antioxidants 2026, 15, 17. https://doi.org/10.3390/antiox15010017
Brunetti L, Francavilla F, Santo A, Vitone D, Leopoldo M, Lacivita E. Beyond Radical Scavengers: Focus on NADPH Oxidases (NOX) Inhibitors as New Agents for Antioxidant Therapy in Alzheimer’s Disease. Antioxidants. 2026; 15(1):17. https://doi.org/10.3390/antiox15010017
Chicago/Turabian StyleBrunetti, Leonardo, Fabio Francavilla, Angela Santo, Daniele Vitone, Marcello Leopoldo, and Enza Lacivita. 2026. "Beyond Radical Scavengers: Focus on NADPH Oxidases (NOX) Inhibitors as New Agents for Antioxidant Therapy in Alzheimer’s Disease" Antioxidants 15, no. 1: 17. https://doi.org/10.3390/antiox15010017
APA StyleBrunetti, L., Francavilla, F., Santo, A., Vitone, D., Leopoldo, M., & Lacivita, E. (2026). Beyond Radical Scavengers: Focus on NADPH Oxidases (NOX) Inhibitors as New Agents for Antioxidant Therapy in Alzheimer’s Disease. Antioxidants, 15(1), 17. https://doi.org/10.3390/antiox15010017

