Preliminary Study on the Accuracy Comparison Between 3D-Printed Bone Models and Naked-Eye Stereoscopy-Based Virtual Reality Models for Presurgical Molding in Orbital Floor Fracture Repair
Abstract
1. Introduction
2. Materials and Methods
2.1. Participants
2.2. Data Acquisition
2.3. Model Preparation
2.4. Implant Preshaping Procedure
2.5. Outcome Measurements
2.6. Statistical Analysis
3. Results
3.1. Implant Shaping Time
3.2. Evaluation of Intra-Examiner Reliability Between Both Examiners on 3D-Printed and VR Models
3.3. Evaluation of Inter-Rater Reliability Between Both Models on 3D-Printed and VR Models
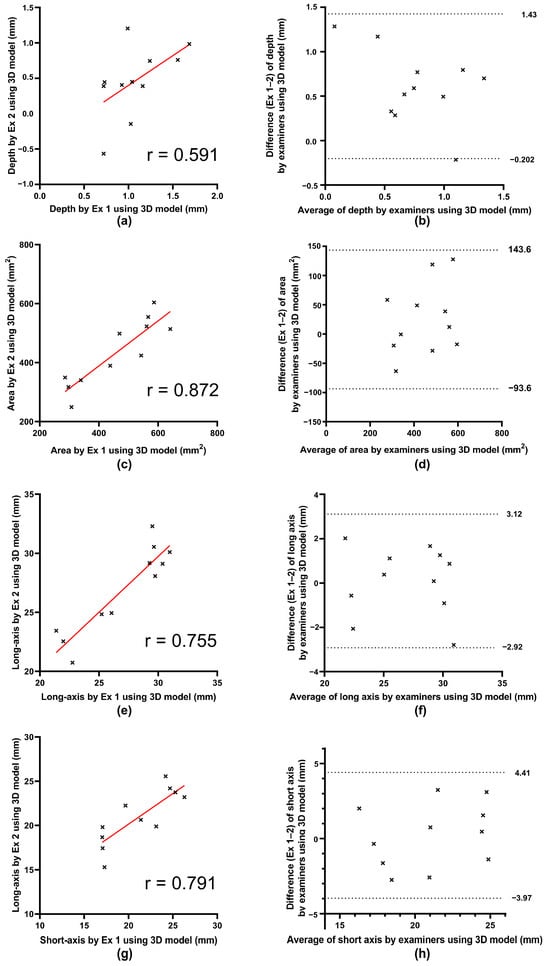
3.4. Evaluation of Inter-Examiner Agreement and Correlation Between Both Examiners on 3D-Printed Models
3.5. Evaluation of Agreement and Correlation Between 3D-Printed and VR Models
4. Discussion
5. Conclusions
Author Contributions
Funding
Institutional Review Board Statement
Informed Consent Statement
Data Availability Statement
Conflicts of Interest
Abbreviations
| 3D | Three-dimensional |
| ICC | Intraclass correlation coefficients |
| NED | Naked-eye stereoscopic display |
| LOA | Limits of agreement |
| AR | Augmented reality |
| VR | Virtual reality |
| RMSE | Root mean square error |
| CI | Confidence interval |
| HD | Hausdorff distance |
| DICOM | Digital Imaging and Communications in Medicine |
| STL | Stereolithography |
References
- Omura, K.; Nomura, K.; Okushi, T.; Tanaka, Y.; Otori, N. Endoscopic Endonasal Orbital Floor Fracture Repair With Mucosal Preservation to Reinforce the Fractured Bone. J. Craniofac. Surg. 2021, 32, 541–545. [Google Scholar] [CrossRef] [PubMed]
- Campbell, B.C.; Shipchandler, T.Z.; Ting, J.Y.; Nesemeier, B.R.; Geng, J.; Camp, D.A.; Lee, H.B.H. Ocular motility and diplopia measurements following orbital floor fracture repair. Am. J. Otolaryngol. 2021, 42, 102879. [Google Scholar] [CrossRef] [PubMed]
- Kono, S.; Yokota, H.; Naito, M.; Vaidya, A.; Kakizaki, H.; Kamei, M.; Takahashi, Y. Pressure Onto the Orbital Walls and Orbital Morphology in Orbital Floor or Medial Wall Fracture: A 3-Dimensional Printer Study. J. Craniofac. Surg. 2023, 34, e608–e612. [Google Scholar] [CrossRef]
- He, B.; Kim, Y.; Ngo, Q. Orbital Remodeling and 3-dimensional Printing in Delayed Orbital Floor Fracture Reconstructions. Plast. Reconstr. Surg.—Glob. Open 2025, 13, e6772. [Google Scholar] [CrossRef] [PubMed]
- Soliman, L.; Sawicki, N.; Sobti, N.; Swartz, S.; Rao, V.; Woo, A.S. Re-evaluating the Timing of Surgery after Isolated Orbital Floor Fracture. Plast. Reconstr. Surg.—Glob. Open 2023, 11, e4973. [Google Scholar] [CrossRef]
- Watanabe, A.; Yamanaka, Y.; Rajak, S.N.; Nakayama, T.; Ueda, K.; Sotozono, C. Assessment of a Consecutive Series of Orbital Floor Fracture Repairs With the Hess Area Ratio and the Use of Unsintered Hydroxyapatite Particles/Poly l-Lactide Composite Sheets for Orbital Fracture Reconstruction. J. Oral Maxillofac. Surg. 2021, 79, 420–428. [Google Scholar] [CrossRef]
- Kozakiewicz, M.; Elgalal, M.; Piotr, L.; Broniarczyk-Loba, A.; Stefanczyk, L. Treatment with individual orbital wall implants in humans-1-Year ophthalmologic evaluation. J. Craniomaxillofac. Surg. 2011, 39, 30–36. [Google Scholar] [CrossRef]
- Zielinski, R.; Malinska, M.; Kozakiewicz, M. Classical versus custom orbital wall reconstruction: Selected factors regarding surgery and hospitalization. J. Craniomaxillofac. Surg. 2017, 45, 710–715. [Google Scholar] [CrossRef]
- Zimmerer, R.M.; Gellrich, N.C.; von Bulow, S.; Strong, E.B.; Ellis, E., 3rd; Wagner, M.E.H.; Sanchez Aniceto, G.; Schramm, A.; Grant, M.P.; Thiam Chye, L.; et al. Is there more to the clinical outcome in posttraumatic reconstruction of the inferior and medial orbital walls than accuracy of implant placement and implant surface contouring? A prospective multicenter study to identify predictors of clinical outcome. J. Craniomaxillofac. Surg. 2018, 46, 578–587. [Google Scholar] [CrossRef]
- Lor, L.S.; Massary, D.A.; Chung, S.A.; Brown, P.J.; Runyan, C.M. Cost Analysis for In-house versus Industry-printed Skull Models for Acute Midfacial Fractures. Plast. Reconstr. Surg.—Glob. Open 2020, 8, e2831. [Google Scholar] [CrossRef]
- Mitsuno, D.; Ueda, K.; Itamiya, T.; Nuri, T.; Otsuki, Y. Intraoperative Evaluation of Body Surface Improvement by an Augmented Reality System That a Clinician Can Modify. Plast. Reconstr. Surg.—Glob. Open 2017, 5, e1432. [Google Scholar] [CrossRef]
- Yeung, A.W.K.; Tosevska, A.; Klager, E.; Eibensteiner, F.; Laxar, D.; Stoyanov, J.; Glisic, M.; Zeiner, S.; Kulnik, S.T.; Crutzen, R.; et al. Virtual and Augmented Reality Applications in Medicine: Analysis of the Scientific Literature. J. Med. Internet Res. 2021, 23, e25499. [Google Scholar] [CrossRef]
- Carl, B.; Bopp, M.; Saß, B.; Pojskic, M.; Voellger, B.; Nimsky, C. Spine Surgery Supported by Augmented Reality. Glob. Spine J. 2020, 10 (Suppl. 2), 41S–55S. [Google Scholar] [CrossRef] [PubMed]
- Condino, S.; Turini, G.; Parchi, P.D.; Viglialoro, R.M.; Piolanti, N.; Gesi, M.; Ferrari, M.; Ferrari, V. How to Build a Patient-Specific Hybrid Simulator for Orthopaedic Open Surgery: Benefits and Limits of Mixed-Reality Using the Microsoft HoloLens. J. Healthc. Eng. 2018, 2018, 5435097. [Google Scholar] [CrossRef] [PubMed]
- Pladere, T.; Luguzis, A.; Zabels, R.; Smukulis, R.; Barkovska, V.; Krauze, L.; Konosonoka, V.; Svede, A.; Krumina, G. When virtual and real worlds coexist: Visualization and visual system affect spatial performance in augmented reality. J. Vis. 2021, 21, 17. [Google Scholar] [CrossRef] [PubMed]
- Eye-Sensing Light Field Display. Available online: https://www.sony.com/en/SonyInfo/technology/stories/LFD/ (accessed on 13 October 2025).
- Ariwa, M.; Itamiya, T.; Koizumi, S.; Yamaguchi, T. Comparison of the Observation Errors of Augmented and Spatial Reality Systems. Appl. Sci. 2021, 11, 12076. [Google Scholar] [CrossRef]
- Tomita, R.; Nakano, A.; Kawanishi, N.; Hoshi, N.; Itamiya, T.; Kimoto, K. Abutment Tooth Formation Simulator for Naked-Eye Stereoscopy. Appl. Sci. 2024, 14, 8367. [Google Scholar] [CrossRef]
- Tsukuda, T.; Mutoh, N.; Nakano, A.; Itamiya, T.; Tani-Ishii, N. Study of Root Canal Length Estimations by 3D Spatial Reproduction with Stereoscopic Vision. Appl. Sci. 2023, 13, 8651. [Google Scholar] [CrossRef]
- Dubron, K.; Verbist, M.; Jacobs, R.; Olszewski, R.; Shaheen, E.; Willaert, R. Augmented and Virtual Reality for Preoperative Trauma Planning, Focusing on Orbital Reconstructions: A Systematic Review. J. Clin. Med. 2023, 12, 5203. [Google Scholar] [CrossRef]
- Rahimov, C.R.; Aliyev, D.U.; Rahimov, N.R.; Farzaliyev, I.M. Mixed Reality in the Reconstruction of Orbital Floor: An Experimental and Clinical Evaluative Study. Ann. Maxillofac. Surg. 2022, 12, 46–53. [Google Scholar] [CrossRef]
- Kamer, L.; Noser, H.; Schramm, A.; Hammer, B. Orbital form analysis: Problems with design and positioning of precontoured orbital implants: A serial study using post-processed clinical CT data in unaffected orbits. Int. J. Oral Maxillofac. Surg. 2010, 39, 666–672. [Google Scholar] [CrossRef] [PubMed]
- Podolsky, D.J.; Mainprize, J.G.; Edwards, G.P.; Antonyshyn, O.M. Patient-Specific Orbital Implants: Development and Implementation of Technology for More Accurate Orbital Reconstruction. J. Craniofac. Surg. 2016, 27, 131–133. [Google Scholar] [CrossRef] [PubMed]
- Bozzacchi, C.; Volcic, R.; Domini, F. Grasping lacks depth constancy in both virtual and real environments. J. Vis. 2015, 15, 1147. [Google Scholar] [CrossRef]
- Choi, H.; Cho, B.; Masamune, K.; Hashizume, M.; Hong, J. An effective visualization technique for depth perception in augmented reality-based surgical navigation. Int. J. Med. Robot. 2016, 12, 62–72. [Google Scholar] [CrossRef]
- Saiga, A.; Mitsukawa, N.; Yamaji, Y. Reconstruction using ‘triangular approximation’ of bone grafts for orbital blowout fractures. J. Craniomaxillofac. Surg. 2015, 43, 1369–1373. [Google Scholar] [CrossRef]
- Stoor, P.; Mesimaki, K.; Lindqvist, C.; Kontio, R. The use of anatomically drop-shaped bioactive glass S53P4 implants in the reconstruction of orbital floor fractures—A prospective long-term follow-up study. J. Craniomaxillofac. Surg. 2015, 43, 969–975. [Google Scholar] [CrossRef]
- Dusseldorp, J.K.; Stamatakis, H.C.; Ren, Y. Soft tissue coverage on the segmentation accuracy of the 3D surface-rendered model from cone-beam CT. Clin. Oral Investig. 2017, 21, 921–930. [Google Scholar] [CrossRef][Green Version]
- Consorti, G.; Monarchi, G.; Catarzi, L. Presurgical Virtual Planning and Intraoperative Navigation with 3D-Preformed Mesh: A New Protocol for Primary Orbital Fracture Reconstruction. Life 2024, 14, 482. [Google Scholar] [CrossRef]
- Verbist, M.; Dubron, K.; Bila, M.; Jacobs, R.; Shaheen, E.; Willaert, R. Accuracy of surgical navigation for patient-specific reconstructions of orbital fractures: A systematic review and meta-analysis. J. Stomatol. Oral Maxillofac. Surg. 2024, 125, 101683. [Google Scholar] [CrossRef]
- Zong, C.L.; Shi, Y.L.; Jia, J.Q.; Ding, M.C.; Chang, S.P.; Lu, J.B.; Chen, Y.L.; Tian, L. A retrospective study to compare the treatment outcomes with and without surgical navigation for fracture of the orbital wall. Chin. J. Traumatol. 2021, 24, 11–17. [Google Scholar] [CrossRef]
- Andrades, P.; Cuevas, P.; Hernández, R.; Danilla, S.; Villalobos, R. Characterization of the orbital volume in normal population. J. Cranio-Maxillofac. Surg. 2018, 46, 594–599. [Google Scholar] [CrossRef]






| Variable | Value |
|---|---|
| Sex (male/female) | 9/2 |
| Age (years) | 47.4 ± 18.8 |
| Side (left/right) | 3/8 |
| Defect area (mm2) | 376.2 ± 132.7 |
| Long axis (mm) | 26.8 ± 4.6 |
| Short axis (mm) | 17.4 ± 3.9 |
| Parameter | Examiner | 3D Model ICC (95% CI) | VR Model ICC (95% CI) |
|---|---|---|---|
| Depth (mm) | 1 | 0.94 (0.80–0.98) | 0.54 (−0.63–0.87) |
| 2 | 0.94 (0.79–0.98) | 0.55 (−0.22–0.87) | |
| Area (mm2) | 1 | 0.90 (0.66–0.97) | 0.90 (0.65–0.97) |
| 2 | 0.96 (0.85–0.99) | 0.88 (0.59–0.97) | |
| Long axis (mm) | 1 | 0.83 (0.39–0.95) | 0.86 (0.50–0.96) |
| 2 | 0.91 (0.68–0.97) | 0.87 (0.54–0.96) | |
| Short axis (mm) | 1 | 0.88 (0.59–0.97) | 0.84 (0.43–0.96) |
| 2 | 0.91 (0.69–0.98) | 0.84 (0.44–0.96) |
| Parameter | 3D Model ICC (95% CI) | VR Model ICC (95% CI) |
|---|---|---|
| Depth (mm) | 0.40 (−0.35–0.82) | 0.35 (−0.24–0.79) |
| Area (mm2) | 0.93 (0.75–0.98) | 0.88 (0.59–0.97) |
| Long axis (mm) | 0.96 (0.84–0.99) | 0.91 (0.67–0.97) |
| Short axis (mm) | 0.90 (0.62–0.97) | 0.82 (0.33–0.95) |
| Parameter | Examiner 1 (Mean ± SD) | Examiner 2 (Mean ± SD) | p-Value (Wilcoxon Signed-Rank Test) | Correlation Coefficient | p-Value (Spearman) | ΔLOAs |
|---|---|---|---|---|---|---|
| Depth (mm) | 1.07 ± 0.32 | 0.46 ± 0.49 | 0.002 * | 0.591 | 0.0554 | 1.63 |
| Area (mm2) | 457.9 ± 131.3 | 432.9 ± 113.1 | 0.365 | 0.872 | 0.0005 * | 237.22 |
| Long axis (mm) | 26.99 ± 3.63 | 26.89 ± 3.76 | 0.764 | 0.755 | 0.0073 * | 6.04 |
| Short axis (mm) | 21.19 ± 3.69 | 20.97 ± 3.14 | 0.700 | 0.791 | 0.0037 * | 8.46 |
| Parameter | 3D Model (Mean ± SD) | VR Model (Mean ± SD) | p-Value (Wilcoxon Signed-Rank Test) | Correlation Coefficient | p-Value (Spearman) | ΔLOAs | Inter-Rater ICC (3D) | Inter-Rater ICC (VR) |
|---|---|---|---|---|---|---|---|---|
| Depth (mm) | 0.77 ± 0.36 | 0.66 ± 0.41 | 0.231 | 0.624 | 0.0019 * | 1.61 | 0.40 | 0.35 |
| Area (mm2) | 445.0 ± 85.3 | 435.0 ± 84.2 | 0.195 | 0.957 | <0.0001 * | 171.72 | 0.93 | 0.88 |
| Long axis (mm) | 26.94 ± 2.11 | 26.41 ± 2.34 | 0.334 | 0.797 | <0.0001 * | 7.23 | 0.96 | 0.91 |
| Short axis (mm) | 21.08 ± 1.52 | 20.99 ± 1.47 | 0.718 | 0.826 | <0.0001 * | 7.59 | 0.90 | 0.82 |
| Metric | 3D Model (1st vs. 2nd) | VR Model (1st vs. 2nd) | 3D vs. VR |
|---|---|---|---|
| HD (mm) | 2.64 ± 0.85 | 3.14 ± 1.18 | 2.95 ± 0.94 |
| RMSE (mm) | 1.02 ± 0.42 | 1.24 ± 0.53 | 1.28 ± 0.49 |
Disclaimer/Publisher’s Note: The statements, opinions and data contained in all publications are solely those of the individual author(s) and contributor(s) and not of MDPI and/or the editor(s). MDPI and/or the editor(s) disclaim responsibility for any injury to people or property resulting from any ideas, methods, instructions or products referred to in the content. |
© 2025 by the authors. Licensee MDPI, Basel, Switzerland. This article is an open access article distributed under the terms and conditions of the Creative Commons Attribution (CC BY) license (https://creativecommons.org/licenses/by/4.0/).
Share and Cite
Tsuchiya, M.; Yasutake, I.; Tamura, S.; Kubo, S.; Azuma, R. Preliminary Study on the Accuracy Comparison Between 3D-Printed Bone Models and Naked-Eye Stereoscopy-Based Virtual Reality Models for Presurgical Molding in Orbital Floor Fracture Repair. Appl. Sci. 2025, 15, 12963. https://doi.org/10.3390/app152412963
Tsuchiya M, Yasutake I, Tamura S, Kubo S, Azuma R. Preliminary Study on the Accuracy Comparison Between 3D-Printed Bone Models and Naked-Eye Stereoscopy-Based Virtual Reality Models for Presurgical Molding in Orbital Floor Fracture Repair. Applied Sciences. 2025; 15(24):12963. https://doi.org/10.3390/app152412963
Chicago/Turabian StyleTsuchiya, Masato, Izumi Yasutake, Satoru Tamura, Satoshi Kubo, and Ryuichi Azuma. 2025. "Preliminary Study on the Accuracy Comparison Between 3D-Printed Bone Models and Naked-Eye Stereoscopy-Based Virtual Reality Models for Presurgical Molding in Orbital Floor Fracture Repair" Applied Sciences 15, no. 24: 12963. https://doi.org/10.3390/app152412963
APA StyleTsuchiya, M., Yasutake, I., Tamura, S., Kubo, S., & Azuma, R. (2025). Preliminary Study on the Accuracy Comparison Between 3D-Printed Bone Models and Naked-Eye Stereoscopy-Based Virtual Reality Models for Presurgical Molding in Orbital Floor Fracture Repair. Applied Sciences, 15(24), 12963. https://doi.org/10.3390/app152412963

