Spatial-Temporal Evolution and Driving Force Analysis of Wetland Landscape Pattern in Northern Guangxi
Abstract
1. Introduction
2. Materials and Methods
2.1. Study Area
2.2. Data Sources
2.3. Establishing a Wetland Classification System
2.4. Research Methodology
2.4.1. Land Use Transfer Matrix
2.4.2. Landscape Pattern Index
2.4.3. Optimal Parameters-Based Geographical Detector (OPGD) Model
- Parameters optimisation
- 2.
- Geographical detector model methods
- 3.
- Driving Factor Selection
3. Results
3.1. Analysis of Wetland Landscape Structure
3.1.1. Natural Wetlands
3.1.2. Artificial Wetlands
3.2. Landscape Pattern Change Analysis
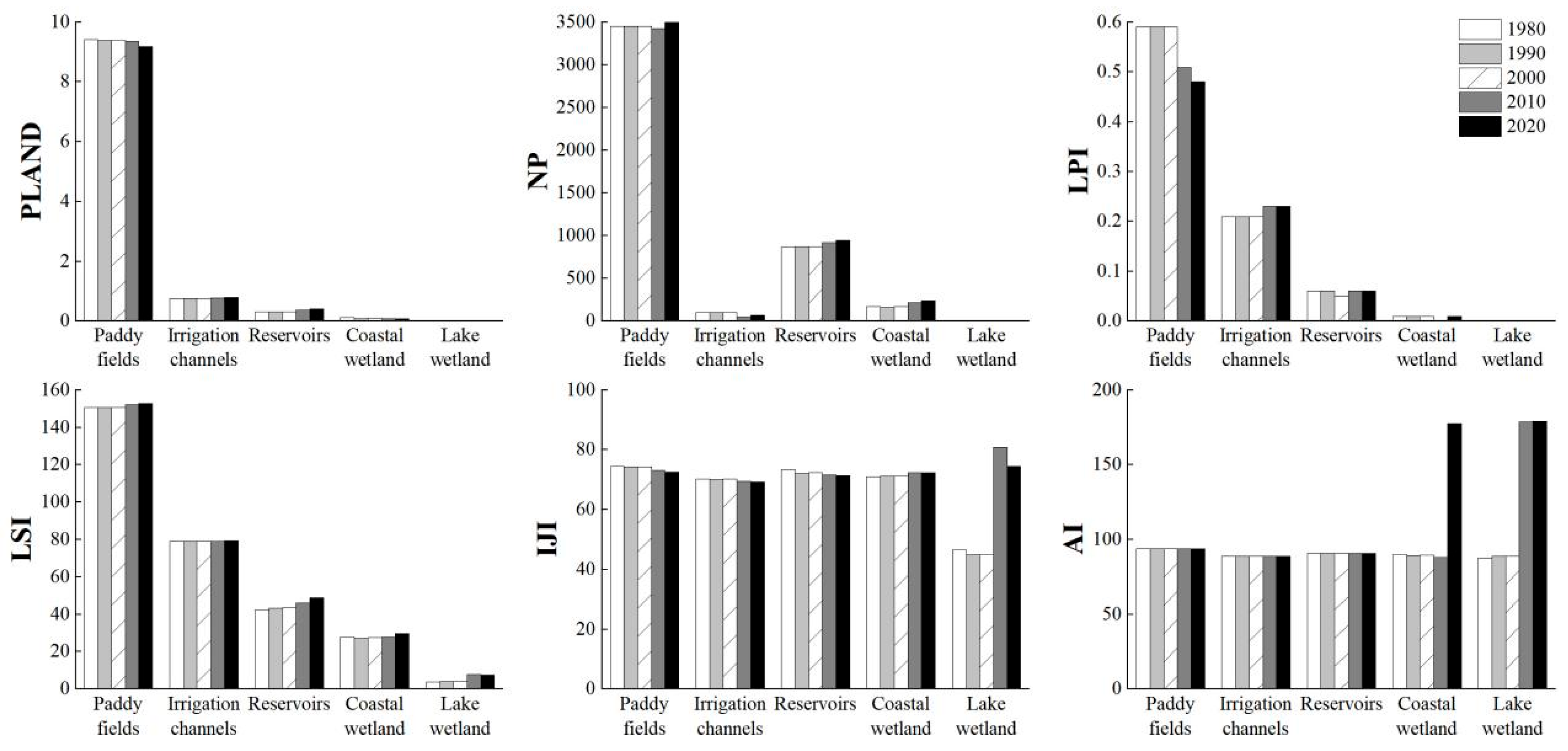
3.2.1. Type Level Analysis
- Patch area analysis
- Patch shape analysis
- Aggregation and separation analysis
3.2.2. Landscape Level Analysis
- Landscape fragmentation indices analysis
- Landscape shape indices analysis
- Landscape diversity indices analysis
3.3. Analysis of Drivers of Landscape Pattern Evolution
3.3.1. Parameters Optimisation Identification
3.3.2. Single-Factor Analysis of Driving Factors
3.3.3. Dual-Factor Analysis of Driving Factors
4. Discussion
5. Conclusions
Supplementary Materials
Author Contributions
Funding
Institutional Review Board Statement
Informed Consent Statement
Data Availability Statement
Acknowledgments
Conflicts of Interest
Abbreviations
| GDP | Gross Domestic Product |
| NDVI | Normalised Difference Vegetation Index |
| CNLUCC | China National Land Use/Cover |
| CAS | Chinese Academy of Sciences |
| AI | Aggregation Index |
| NP | Number of Patches |
| LPI | Largest Patch Index |
| PLAND | Percent of Landscape |
| LJI | Interspersion Juxtaposition Index |
| LSI | Landscape shape Index |
| PD | Patch Density |
| ED | Edge Density |
| DIVISION | Landscape Division Index |
| CONTAG | Contagion |
| SHDI | Shannon’s Diversity Index |
| SHEI | Shannon’s Evenness Index |
| OPGD | Optimal Parameters-based Geographical Detector |
| EVI | Enhanced Vegetation Index |
References
- Liu, H.; Lu, X.; Zhang, S. Progress on the Study of Process of Wetland Landscape Changes and Cumulative Environmental Effects. Prog. Geogr. 2003, 22, 60–70. [Google Scholar] [CrossRef]
- Bai, J.H.; O, H.; Yang, Z.F.; Cui, B.S.; Cui, L.J.; Wang, Q.G. Changes in wetland landscape patterns: A review. Prog. Geogr. 2005, 24, 36–45. [Google Scholar] [CrossRef]
- Hu, S.; Niu, Z.; Chen, Y.; Li, L.; Zhang, H. Global wetlands: Potential distribution, wetland loss, and status. Sci. Total Environ. 2017, 586, 319–327. [Google Scholar] [CrossRef]
- Mao, D.; Wang, M.; Wang, Y.; Jiang, M.; Yuan, W.; Luo, L.; Feng, K.; Wang, D.; Xiang, H.; Ren, Y.; et al. The trajectory of wetland change in China between 1980 and 2020: Hidden losses and restoration effects. Sci. Bull. 2025, 70, 587–596. [Google Scholar] [CrossRef] [PubMed]
- Xiao, D.; Li, X.; Gao, J.; Chang, Y.; Li, T. Landscape Ecology; Science Press: Beijing, China, 2003; pp. 1–10. [Google Scholar]
- Zhou, Y.; Xiao, W.; Fan, W. The utilities of “3S” technique in landscape ecology study. World For. Res. 2007, 20, 38–44. [Google Scholar] [CrossRef]
- Cai, J.; Wang, X.; Li, C.; Liu, Q.; Cai, Y. Frontier hotspots and development trend of wetland landscape pattern research. J. Southwest Univ. Nat. Sci. Ed. 2022, 44, 127–139. [Google Scholar] [CrossRef]
- Han, H.; Su, Z. Research progress and prospects of karst ecosystem services. Carsologica Sin. 2017, 36, 352–358. [Google Scholar] [CrossRef]
- Gao, C.; Zhou, D.; Luan, Z.; Zhang, H. Review on researches of wetland landscape pattern change. Resour. Environ. Yangtze Basin 2010, 19, 460–464. Available online: https://api.semanticscholar.org/CorpusID:132747569 (accessed on 24 March 2025).
- Ou, D.; Xia, J.; Zhang, L.; Zhao, Z. Research progress on regional ecological security pattern planning and discussion of planning techniqueflow. Ecol. Environ. Sci. 2015, 24, 163–173. [Google Scholar] [CrossRef]
- Han, H.; Wang, X.; Niu, L.; Liang, X.; Jiang, X.; Tan, Z. The land-use and land-cover change characteristies and driving forces of cultivated land in Central Asian countries fom 1992 to 2015. Chin. J. Eco-Agric. 2021, 29, 325–339. [Google Scholar] [CrossRef]
- Liang, X.; Guan, Q.F.; Clarke, K.C.; Liu, S.S.; Wang, B.Y.; Yao, Y. Understanding the drivers of sustainable land expansion using a patch-generating land use simulation (PLUS) model: A case study in Wuhan, China. Comput. Environ. Urban Syst. 2021, 85, 101569. [Google Scholar] [CrossRef]
- GB/T 24708-2009; Wetland Classification. General Administration of Quality Supervision, Inspection and Quarantine of the People’s Republic of China, Standardization Administration of the People’s Republic of China: Beijing, China, 2009.
- Zhong, Y.; Wu, H.; Liu, Y. Research status and prospects of remote sensing for wetland mapping. Bull. Natl. Nat. Sci. Found. China 2022, 36, 420–431. [Google Scholar] [CrossRef]
- He, Q.; Xie, D.; Wang, S.; Yan, J.; Chen, L. Land use transformation and its eco-environmental effects in beibei district, chongqing. Res. Soil Water Conserv. 2019, 26, 290–296. [Google Scholar] [CrossRef]
- Song, Y.; Wang, J.; Ge, Y.; Xu, C. An optimal parameters-based geographical detector model enhances geographic characteristics of explanatory variables for spatial heterogeneity analysis: Cases with different types of spatial data. Gisci. Remote Sens. 2020, 57, 593–610. [Google Scholar] [CrossRef]
- Wang, J.; Xu, C. Geodetector: Principle and prospective. Acta Geogr. Sin. 2017, 72, 116–134. [Google Scholar] [CrossRef]
- Zhang, Q. Data from the Chinese Academy of Sciences’ Remote Sensing Monitoring Indicates that China’s Wetland Area Has Decreased by One-Third over the Past 30 Years. Available online: https://news.sciencenet.cn/sbhtmlnews/2011/3/242709.html (accessed on 24 March 2025).
- Xu, W.; Fan, X.; Ma, J.; Pimm, S.L.; Kong, L.; Zeng, Y.; Li, X.; Xiao, Y.; Zheng, H.; Liu, J.; et al. Hidden Loss of Wetlands in China. Curr. Biol. 2019, 29, 3065–3071. [Google Scholar] [CrossRef] [PubMed]
- National Water Network (N.H.I.). Guangxi Water Resources. Available online: http://xxfb.mwr.cn/slbk/dfsl/gxsl/202004/t20200409_1466143.html (accessed on 9 April 2020).
- Gao, C.J.; Zhou, D.M.; Luan, Z.Q.; Zhang, H.Y. Notice of the general office of the state council on issuing the plan for the wetland protection and restoration system. Resour. Environ. Yangtze Basin 2016, 19, 460–464. [Google Scholar]
- Wang, J.; Li, X.; Christakos, G.; Liao, Y.; Zhang, T.; Gu, X.; Zheng, X. Geographical Detectors-Based Health Risk Assessment and its Application in the Neural Tube Defects Study of the Heshun Region, China. Int. J. Geogr. Inf. Sci. 2010, 24, 107–127. [Google Scholar] [CrossRef]
- Wang, J.; Zhang, T.; Fu, B. A measure of spatial stratified heterogeneity. Ecol. Indic. 2016, 67, 250–256. [Google Scholar] [CrossRef]
- Yu, X. Spatial responses of wetland change to climate in 32 years in Qinghai-Tibet Plateau. Remote Sens. Nat. Resour. 2015, 27, 99–107. [Google Scholar] [CrossRef]
- Xiao, Q.C.; Wei, Y.S.; Wang, Y.W.; Zhong, J.; Yu, M.; Yang, Y.; Yu, D.W.; Zeng, F.G.; Zheng, X.; Sun, Y.C.; et al. Driving factors of coastal wetland degradation in Binhai New Area of Tianjin. Acta Sci. Circumstantiae 2012, 32, 480–488. [Google Scholar] [CrossRef]
- Chen, L.; Mo, T. Study of temporal and spatial variation and influencing factors of fractional vegetation covered in Guangxi province from 2000 to 2020. J. Anhui Agric. Sci. 2023, 51, 55–59. [Google Scholar] [CrossRef]
- Wu, Y.; Yang, J.; Li, S.; Guo, C.; Yang, X.; Xu, Y.; Yue, F.; Peng, H.; Chen, Y.; Gu, L.; et al. NDVI-based vegetation dynamics and their responses to climate change and human activities from 2000 to 2020 in Miaoling Karst Mountain Area, SW China. Land 2023, 12, 1267. [Google Scholar] [CrossRef]
- Wei, Q.; He, W.; Wang, J.; Zhou, X.; Yao, Y. Spatial and temporal evolutionary characteristics of landscape pattern of a typical karst watershed based on GEE platform. J. Resour. Ecol. 2023, 14, 928–939. [Google Scholar] [CrossRef]
- Institute of Subtropical Agriculture, Chinese Academy of Sciences. Karst Landscape in Karst Process. Available online: https://www.cas.cn/kxcb/kpwz/201210/t20121026_3667444.shtml (accessed on 26 October 2012).
- He, D.Y.; Lu, Y.; Li, N. Spatial and temporal changes in coastal wetlands in Guangxi Beibu Gulf in recent 20 Years. Wetl. Sci. Manag. 2014, 10, 37–41. [Google Scholar] [CrossRef]
- Peng, G. The spatiotemporal changes of China’s wetlands from 1980 to 2020. Chin. Sci. Bull. 2025, 70, 466–467. [Google Scholar]
- Fluet-Chouinard, E.; Stocker, B.D.; Zhang, Z.; Malhotra, A.; Melton, J.R.; Poulter, B.; Kaplan, J.O.; Goldewijk, K.K.; Siebert, S.; Minayeva, T. Extensive global wetland loss over the past three centuries. Nature 2023, 614, 281–286. [Google Scholar] [CrossRef]
- Niu, Z.; Zhang, H.; Wang, X.; Yao, W.; Zhou, D.; Zhao, K.; Zhao, H.; Li, N.; Huang, H.B.; Li, C.; et al. Changes in China’s wetland types from 1978 to 2008. Chin. Sci. Bull. 2012, 57, 1400–1411. [Google Scholar] [CrossRef]
- Li, Z.; Liu, M.; Hu, Y.; Xue, Z.; Sui, J. The spatiotemporal changes of marshland and the driving forces in the Sanjiang Plain, Northeast China from 1980 to 2016. Ecol. Process. 2020, 9, 24. [Google Scholar] [CrossRef]
- Wang, Z.; Huang, N.; Luo, L.; Li, X.; Ren, C.; Song, K.; Chen, J. Shrinkage and fragmentation of marshes in the West Songnen Plain, China, from 1954 to 2008 and its possible causes. Int. J. Appl. Earth Obs. Geoinf. 2011, 13, 477–486. [Google Scholar] [CrossRef]
- Zhao, R.; Chen, Y.; Zhou, H.; Li, Y.; Qian, Y.; Zhang, L. Assessment of wetland fragmentation in the Tarim River basin, western China. Environ. Geol. 2009, 57, 455–464. [Google Scholar] [CrossRef]
- Ford, D.; Williams, P.W. Karst Hydrogeology and Geomorphology; Wiley: Hoboken, NJ, USA, 2015. [Google Scholar]
- Wu, L.P.; Chen, H.S.; Lian, J.J.; Fu, Z.Y.; Wang, S. Spatio-temporal variation in reference evapotranspiration in recent 50 years in karst and non-karst areas in Guangxi Zhuang Autonomous Region. Chin. J. Eco-Agric. 2017, 25, 1508–1517. [Google Scholar] [CrossRef]
- Qiao, Y.; Jiang, Y.; Zhang, C. Contribution of karst ecological restoration engineering to vegetation greening in southwest China during recent decade. Ecol. Indic. 2020, 121, 107081. [Google Scholar] [CrossRef]
- Yuan, L.; Jun, W. A Comparative Study on Spatial-Temporal Dynamics and Associated Driving Factors of Wetlands in the Three Coastal Urban Agglomerations of China. Wetl. Sci. 2024, 22, 617–629. [Google Scholar] [CrossRef]
- Wang, Q.; Wang, H.; Zhang, W.; Wang, Z.; Xiao, D. The correlations between wetland landscape and social-natural factors on Northwestern Yunnan Plateau. Acta Ecol. Sin. 2019, 39, 726–738. [Google Scholar] [CrossRef]
- Gong, N.; Niu, Z.; Qi, W.; Zhang, H. Driving forces of wetland change in China. J. Remote Sens. 2016, 20, 172–183. [Google Scholar] [CrossRef]
- Niu, Z.; Zhang, H.; Wang, X.; Yao, W.; Zhou, D.; Zhao, K.; Zhao, H.; Li, N.; Huang, H.; Li, C.; et al. Mapping wetland changes in China between 1978 and 2008. Chin. Sci. Bull. 2012, 57, 2813–2823. [Google Scholar] [CrossRef]







| Classification | Data | Data Sources |
|---|---|---|
| Administrative division data | Guangxi provincial dataset | National Platform for Common Geospatial Information Services https://www.tianditu.gov.cn (accessed on 20 November 2024) (see Supplementary Materials) |
| Land use data | Land use classification data in Northern Guangxi from 1980 to 2020 (30 m) | Multi-period land use/land cover remote sensing monitoring database (CNLUCC) developed by Chinese Academy of Sciences (CAS) https://www.resdc.cn (accessed on 22 November 2024) |
| Urban land use data (30 m) | Extracted from land use data | |
| Agricultural land data (30 m) | ||
| Natural environment data | Elevation (90 m) | Geospatial Data Cloud https://www.gscloud.cn (accessed on 25 November 2024) |
| Slope (90 m) | Generated by elevation | |
| Normalised Difference Vegetation Index (90 m) | Resource and Environmental Science Data Platform https://www.resdc.cn (accessed on 22 November 2024) | |
| The average annual temperature (1 km) | ||
| Vector boundary of national nature reserves (1 km) | ||
| Annual average precipitation (1 km) | ||
| Socio-economic data | Population (1 km) | |
| GDP (1 km) | ||
| statistical data | List of National Nature Reserves | Ministry of Ecology and Environment of the People’s Republic of China https://www.mee.gov.cn (accessed on 3 December 2024) |
| Primary Type | Secondary Type | Basic Characteristics |
|---|---|---|
| Natural wetlands | Coastal wetland | Wetlands formed and replenished by open water bodies such as rivers, lakes and oceans. These include riparian wetlands and floodplain wetlands. |
| Lake wetland | Low-lying areas within enclosed water bodies such as lakes and reservoirs, temporarily or permanently covered by water no deeper than 2 m. | |
| Constructed wetlands | Reservoirs | An artificial wetland constructed primarily for water storage and power generation, with an area exceeding 8 hectares. |
| Irrigation channels | Gullies and channels constructed primarily for irrigation purposes. | |
| Paddy fields | Farmland suitable for rice cultivation or for retaining water or remaining waterlogged during winter. |
| Serial Number | Indicator | Abbreviation | Ecological Significance | Scope |
|---|---|---|---|---|
| 1 | Aggregation index | AI | Calculate the clustering of individual plaque types at the type level. | 0 < AI ≤ 100 |
| 2 | Number of patches | NP | The total number of instances of a particular patch type within the landscape. | NP ≥ 1 |
| 3 | Largest patch index | LPI | The dominant patches within the landscape extent; the magnitude of this index value can assist in determining the predominant patch types within the landscape. | 0 < LPI ≤ 100 |
| 4 | Percent of landscape | PLAND | Percentage of land cover area, also referred to as the proportion of land cover area, denotes the ratio of various land types to the total area, with the largest area constituting the primary landscape. | 0 < PLAND ≤ 100 |
| 5 | Interspersion juxtaposition index | LJI | Calculate the overall distribution of each plaque type at the typological level. | 0 < IJI ≤ 100 |
| 6 | Landscape shape index | LSI | Reflecting the variability of patches within the landscape. | LSI > 1 |
| Serial Number | Indicator | Abbreviation | Ecological Significance | Scope |
|---|---|---|---|---|
| 1 | Patch density | PD | The fragmentation of patch types reflects the overall heterogeneity and fragmentation of the landscape, indicating the degree of heterogeneity per unit area within the landscape. | PD > 1 |
| 2 | Edge density | ED | The total length of all patch boundaries within a landscape divided by the total area of that landscape reflects the complexity of boundary shapes. | ED ≥ 0 |
| 3 | Landscape division index | DIVISION | Measuring landscape separability, where a higher value indicates a greater degree of landscape separation. | 0 < DIVISION ≤ 100 |
| 4 | Contagion | CONTAG | This describes the degree of aggregation or tendency towards extension among different patch types within a landscape, reflecting the spatial configuration characteristics of landscape components. | 0 < CONTAG ≤ 100 |
| 5 | Shannon’s diversity index | SHDI | This indicator reflects landscape heterogeneity, being particularly sensitive to the uneven distribution of patch types within a landscape, thereby emphasising the contribution of rare patch types to the information content. | SHDI > 0 |
| 6 | Shannon’s evenness index | SHEI | Reflects the degree of spatial uniformity in the distribution of various patch types within a landscape type. | 0 ≤ SHEI ≤ 1 |
| Influencing Factors | Impact Factor | Data Source |
|---|---|---|
| Natural factors | (X1) Average annual temperature | Resource and Environmental Science Data Platform https://www.resdc.cn (accessed on 22 November 2024) |
| (X2) Average annual precipitation | ||
| (X3) NDVI | ||
| Human factors | (X4) Population | |
| (X5) GDP | ||
| (X6) Change rate of urban land | ||
| (X7) Change rate of agricultural land | ||
| Policy factors | (X8) Proportion of nature reserves | Ministry of Ecology and Environment of the People’s Republic of China https://www.mee.gov.cn (accessed on 3 December 2024) |
| Year | Costal Wetland | Lake Wetland | Paddy Fields | Reservoirs | Irrigation Fields | |||||
|---|---|---|---|---|---|---|---|---|---|---|
| Area/km2 | Proportion/% | Area/km2 | Proportion/% | Area/km2 | Proportion/% | Area/km2 | Proportion/% | Area/km2 | Proportion/% | |
| 1980 | 67.27 | 1.1 | 0.54 | 0 | 5461.61 | 88.93 | 434.15 | 7.07 | 177.81 | 2.9 |
| 1990 | 54.54 | 0.89 | 0.73 | 0.01 | 5454.36 | 88.91 | 441.39 | 7.19 | 183.84 | 3 |
| 2000 | 57.52 | 0.94 | 0.73 | 0.01 | 5444.45 | 88.84 | 441.4 | 7.2 | 184.02 | 3 |
| 2010 | 44.47 | 0.72 | 1.52 | 0.02 | 5424.17 | 88.32 | 449.99 | 7.33 | 221.27 | 3.6 |
| 2020 | 51.72 | 0.85 | 1.43 | 0.02 | 5328.43 | 87.7 | 455.35 | 7.49 | 238.87 | 3.93 |
| 1980–1990 | −12.73 | −0.21 | 0.19 | 0.01 | −7.25 | −0.02 | 7.24 | 0.12 | 6.03 | 0.1 |
| 1990–2000 | 2.98 | 0.05 | 0 | 0 | −9.91 | −0.07 | 0.01 | 0.01 | 0.18 | 0 |
| 2000–2010 | −13.05 | −0.22 | 0.79 | 0.01 | −20.28 | −0.52 | 8.59 | 0.13 | 37.25 | 0.6 |
| 2010–2020 | 7.25 | 0.13 | −0.09 | 0 | −95.74 | −0.62 | 5.36 | 0.16 | 17.6 | 0.33 |
| 1980–2020 | −15.55 | −0.25 | 0.89 | 0.02 | −133.18 | −1.23 | 21.2 | 0.42 | 61.06 | 1.03 |
| 1980 | 2020 | |||||
|---|---|---|---|---|---|---|
| Paddy Fields | Reservoirs | Lake Wetland | Irrigation Fields | Costal Wetland | Roll-Out | |
| Paddy fields | / | 6.18 | 0.18 | 11.67 | 1.74 | 19.78 |
| Reservoirs | 4.42 | / | 0.02 | 1.57 | 0.56 | 6.57 |
| Lake wetland | 0.01 | 0.01 | / | 0.44 | / | 0.46 |
| Irrigation fields | 0.90 | 0.07 | 0.33 | / | 20.42 | 21.72 |
| Costal wetland | 0.39 | 14.67 | / | 27.76 | / | 42.82 |
| Roll in | 5.72 | 20.92 | 0.53 | 41.45 | 22.72 | / |
| Year | PD | ED | CONTAG | DIVISION | SHDI | SHEI |
|---|---|---|---|---|---|---|
| 1980 | 0.67 | 26.13 | 65.64 | 0.97 | 1.76 | 0.61 |
| 1990 | 0.67 | 26.16 | 66.22 | 0.96 | 1.72 | 0.60 |
| 2000 | 0.67 | 26.15 | 66.19 | 0.96 | 1.72 | 0.60 |
| 2010 | 0.68 | 26.73 | 66.47 | 0.96 | 1.74 | 0.59 |
| 2020 | 0.70 | 27.17 | 66.60 | 0.97 | 1.76 | 0.59 |
| Driving Factors | 5 km | 6 km | 7 km | 8 km | 9 km | 10 km |
|---|---|---|---|---|---|---|
| X1 | 0.48 | 0.48 | 0.46 | 0.51 | 0.51 | 0.50 |
| X2 | 0.13 | 0.18 | 0.14 | 0.24 | 0.24 | 0.20 |
| X3 | 0.03 | 0.02 | 0.05 | 0.03 | 0.03 | 0.04 |
| X4 | 0.03 | 0.02 | 0.02 | 0.02 | 0.02 | 0.04 |
| X5 | 0.22 | 0.23 | 0.22 | 0.25 | 0.25 | 0.24 |
| X6 | 0.05 | 0.05 | 0.07 | 0.07 | 0.07 | 0.08 |
| X7 | 0.02 | 0.02 | 0.02 | 0.04 | 0.04 | 0.01 |
| X8 | 0.02 | 0.01 | 0.01 | 0.02 | 0.02 | 0.02 |
| 90th percentile of the q-value | 0.48 | 0.48 | 0.46 | 0.51 | 0.51 | 0.50 |
| Driving Factors | Q Statistic | p Value | Rank |
|---|---|---|---|
| (X1) Average annual temperature | 0.53 | 0.00 | 1 |
| (X2) Average annual precipitation | 0.19 | 0.00 | 3 |
| (X3) NDVI | 0.06 | 0.00 | 5 |
| (X4) Population | 0.03 | 0.00 | 6 |
| (X5) GDP | 0.24 | 0.00 | 2 |
| (X6) Change rate of urban land | 0.08 | 0.00 | 4 |
| (X7) Change rate of agricultural land | 0.03 | 0.01 | 7 |
| (X8) Proportion of nature reserves | 0.02 | 0.98 | 8 |
Disclaimer/Publisher’s Note: The statements, opinions and data contained in all publications are solely those of the individual author(s) and contributor(s) and not of MDPI and/or the editor(s). MDPI and/or the editor(s) disclaim responsibility for any injury to people or property resulting from any ideas, methods, instructions or products referred to in the content. |
© 2025 by the authors. Licensee MDPI, Basel, Switzerland. This article is an open access article distributed under the terms and conditions of the Creative Commons Attribution (CC BY) license (https://creativecommons.org/licenses/by/4.0/).
Share and Cite
Tan, T.; Tang, X.; Li, W.; Bai, Y.; Han, Y.; Hu, S. Spatial-Temporal Evolution and Driving Force Analysis of Wetland Landscape Pattern in Northern Guangxi. Appl. Sci. 2025, 15, 11485. https://doi.org/10.3390/app152111485
Tan T, Tang X, Li W, Bai Y, Han Y, Hu S. Spatial-Temporal Evolution and Driving Force Analysis of Wetland Landscape Pattern in Northern Guangxi. Applied Sciences. 2025; 15(21):11485. https://doi.org/10.3390/app152111485
Chicago/Turabian StyleTan, Tingjiang, Xiangling Tang, Wei Li, Yu Bai, Yisong Han, and Siyi Hu. 2025. "Spatial-Temporal Evolution and Driving Force Analysis of Wetland Landscape Pattern in Northern Guangxi" Applied Sciences 15, no. 21: 11485. https://doi.org/10.3390/app152111485
APA StyleTan, T., Tang, X., Li, W., Bai, Y., Han, Y., & Hu, S. (2025). Spatial-Temporal Evolution and Driving Force Analysis of Wetland Landscape Pattern in Northern Guangxi. Applied Sciences, 15(21), 11485. https://doi.org/10.3390/app152111485

