Characteristics of Sudden Change in Aerodynamic Load of High-Speed Train Caused by Wind Barrier and Its Buffer Measure
Abstract
1. Introduction
2. Numerical Simulation
2.1. Geometric Model
2.2. Turbulence Model
2.3. Computational Domain
2.4. Mesh Strategy
2.5. Data Processing
3. Validation
3.1. Grid Independence
3.2. Numerical Model
3.2.1. Surface Pressure on the HST
3.2.2. Aerodynamic Load Coefficients of the Train
4. Results and Discussion
4.1. Influencing Factors of the Sudden Change in the Aerodynamic Load of the HST Induced by Wind Barriers
4.1.1. Porosities of Curved Wind Barriers
4.1.2. Crosswind Speed
4.1.3. Running Speed of the HST
4.2. Flow Field Characteristics of HSTs Entering Curved Wind Barriers
4.3. Buffer Measure
4.3.1. Buffer Scheme
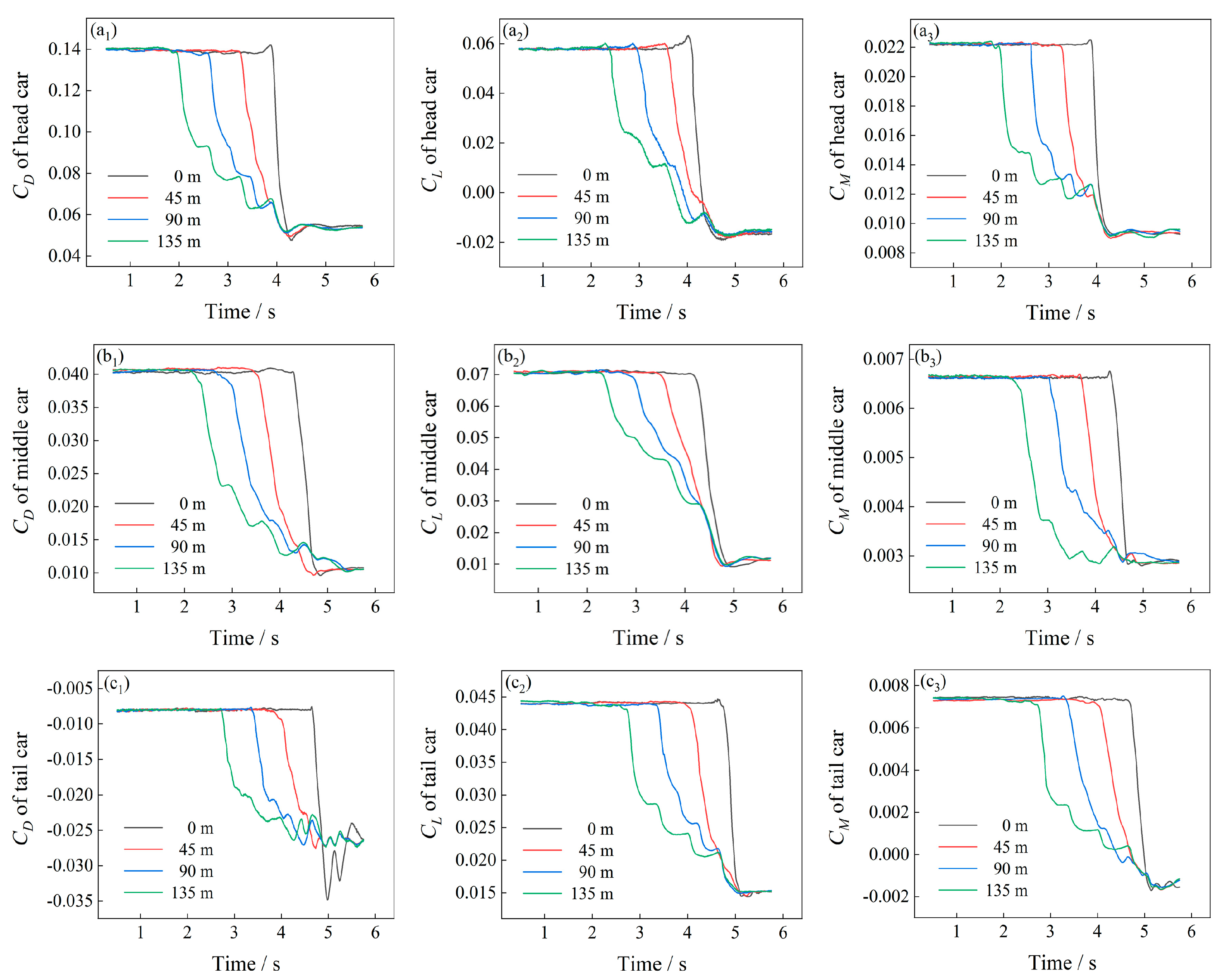
4.3.2. Influence of Buffer Structures on the Sudden Change in Aerodynamic Load of HST
4.3.3. Effectiveness of the Buffer Structure
5. Conclusions
- The lower the porosity of the wind barrier, the higher the crosswind speed, and the lower the running speed of the HST, leading to a larger sudden change in the aerodynamic load of the HST. Comparatively, the degree of the sudden change in the aerodynamic load is greater for the HST entering the wind barrier area of the bridge than exiting.
- When a HST traverses the wind barrier area of a bridge, there are noticeable changes in the wind speed within the running area and the flow field around the HST. These changes lead to significant fluctuations in aerodynamic pressure on surfaces of the HST, leading to a drastic variation in the pressure difference between the windward and leeward surfaces, as well as between the top and bottom of the train. As a consequence, the HST experiences a sudden change in its aerodynamic load.
- A buffer structure measuring 45 m in length demonstrates limited effectiveness in reducing the sudden change. However, increasing the length of the buffer structure to 90 m significantly improves its ability to mitigate these fluctuations. This results in a 10.04% reduction in the amplitude of the change and a 55.59% reduction in the amplitude of the rate of change in the lateral force coefficient of the head car. On the other hand, a further increase in the length of the buffer structure to 135 m leads to a negligible enhancement in the buffering effect. Therefore, a 90 m buffer structure is considered the most suitable option.
- The installation of a 90 m buffer structure significantly enhances the safety of HST operations. It decreases the WLRR and DC of the head car by 14.30% and 5.11%, respectively.
Author Contributions
Funding
Institutional Review Board Statement
Informed Consent Statement
Data Availability Statement
Conflicts of Interest
References
- Diedrichs, B.; Sima, M.; Orellano, A.; Tengstrand, H. Crosswind stability of a high-speed train on a high embankment. Proc Inst Mech Eng Part F J. Rail Rapid Transit. 2007, 221, 205–225. [Google Scholar] [CrossRef]
- Gallagher, M.; Morden, J.; Baker, C.; Soper, D.; Quinn, A.; Hemida, H.; Sterling, M. Trains in crosswinds–comparison of full-scale on-train measurements, physical model tests and CFD calculations. J. Wind Eng. Ind. Aerodyn. 2018, 175, 428–444. [Google Scholar] [CrossRef]
- Ishak, I.; Ali, M.; Yakub, M.; Salim, S. Effect of crosswinds on aerodynamic characteristics around a generic train model. Int. J. Rail Transp. 2019, 7, 23–54. [Google Scholar] [CrossRef]
- Zhou, D.; Yu, D.; Wu, L.; Meng, S. Numerical investigation of the evolution of aerodynamic behaviour when a high-speed train accelerates under crosswind conditions. Alex. Eng. J. 2023, 72, 51–66. [Google Scholar] [CrossRef]
- He, X.; Wu, T.; Zou, Y.; Chen, Y.; Guo, H.; Yu, Z. Recent developments of high-speed railway bridges in China. Struct. Infrastruct. Eng. 2017, 13, 1584–1595. [Google Scholar] [CrossRef]
- Zou, S.; He, X.; Wang, H. Numerical investigation on the crosswind effects on a train running on a bridge. Eng. Appl. Comp. Fluid. 2020, 14, 1458–1471. [Google Scholar] [CrossRef]
- He, X.; Li, H. Review of aerodynamics of high-speed train-bridge system in crosswinds. J. Cent. South. Univ. 2020, 27, 1054–1073. [Google Scholar] [CrossRef]
- Kozmar, H.; Procino, L.; Borsani, A.; Bartoli, G. Optimizing height and porosity of roadway wind barriers for viaducts and bridges. Eng. Struct. 2014, 81, 49–61. [Google Scholar] [CrossRef]
- Gu, H.; Liu, T.; Jiang, Z.; Guo, Z. Research on the wind-sheltering performance of different forms of corrugated wind barriers on railway bridges. J. Wind Eng. Ind. Aerodyn. 2021, 217, 104735. [Google Scholar] [CrossRef]
- Zou, Y.; Fu, Z.; He, X.; Cai, C.; Zhou, J.; Zhou, S. Wind load characteristics of wind barriers induced by high-speed trains based on field measurements. Appl. Sci. 2019, 9, 4865. [Google Scholar] [CrossRef]
- Xiang, H.; Hu, H.; Zhu, J.; He, P.; Li, Y.; Han, B. Protective effect of railway bridge wind barriers on moving trains: An experimental study. J. Wind. Eng. Ind. Aerodyn. 2022, 220, 104879. [Google Scholar] [CrossRef]
- Zhang, T.; Xia, H.; Guo, W. Analysis on running safety of train on the bridge considering sudden change of wind load caused by wind barriers. Front. Struct. Civ. Eng. 2018, 12, 558–567. [Google Scholar] [CrossRef]
- Yang, W.; Deng, E.; Lei, M.; Zhu, Z.; Zhang, P. Transient aerodynamic performance of high-speed trains when passing through two windproof facilities under crosswinds: A comparative study. Eng. Struct. 2019, 188, 729–744. [Google Scholar] [CrossRef]
- Han, Y.; Liu, Y.; Cai, C.; Hu, P.; He, X. Effects of sudden change in wind loads on running performance of trains on a highway-railway one-story bridge in crosswinds. J. Cent. South Univ. 2022, 29, 2621–2638. [Google Scholar] [CrossRef]
- Liu, T.; Chen, Z.; Zhou, X.; Zhang, J. A CFD analysis of the aerodynamics of a high-speed train passing through a windbreak transition under crosswind. Eng. Appl. Comp. Fluid Mech. 2018, 12, 137–151. [Google Scholar] [CrossRef]
- Menter, F.R.; Kuntz, M. Adaptation of eddy-viscosity turbulence models to unsteady separated flow behind vehicles. In The Aerodynamics of Heavy Vehicles: Trucks, Buses, and Trains; Springer: Berlin/Heidelberg, Germany, 2002; pp. 339–352. [Google Scholar]
- Menter, F.R. Two-equation eddy-viscosity turbulence models for engineering applications. AIAA J. 1994, 32, 1598–1605. [Google Scholar] [CrossRef]
- Munoz-Paniagua, J.; García, J.; Lehugeur, B. Evaluation of RANS, SAS and IDDES models for the simulation of the flow around a high-speed train subjected to crosswind. J. Wind Eng. Ind. Aerodyn. 2017, 171, 50–66. [Google Scholar] [CrossRef]
- Choi, J.K.; Kim, K.H. Effects of nose shape and tunnel cross-sectional area on aerodynamic drag of train traveling in tunnels. Tunn. Undergr. Space Technol. 2014, 41, 62–73. [Google Scholar] [CrossRef]
- Niu, J.; Zhang, Y.; Li, R.; Chen, Z.; Yao, H.; Wang, Y. Aerodynamic simulation of effects of one-and two-side windbreak walls on a moving train running on a double track railway line subjected to strong crosswind. J. Wind Eng. Ind. Aerodyn. 2022, 221, 104912. [Google Scholar] [CrossRef]
- Chen, Z.; Liu, T.; Guo, Z.; Huo, X.; Li, W.; Xia, Y. Dynamic behaviors and mitigation measures of a train passing through windbreak transitions from ground to cutting. J. Cent. South Univ. 2022, 29, 2675–2689. [Google Scholar] [CrossRef]
- Yang, W.; Ouyang, D.; Deng, E.; Wang, Y.; Chen, Z.; He, X.; Huang, Y. Deterioration of aerodynamic performance of a train driving through noise barriers under crosswinds. J. Wind Eng. Ind. Aerodyn. 2022, 231, 105241. [Google Scholar] [CrossRef]
- Zhai, W.; Chen, G. Method and criteria for evaluation of wheel derailment based on wheel vertical rise. J Railw. Eng. Soc. 2001, 23, 17–26. [Google Scholar]
- Du, J.; Zhang, L.; Yang, M.; Wu, F.; Li, K. Moving model experiments on transient pressure induced by a high-speed train passing through noise barrier. J. Wind Eng. Ind. Aerodyn. 2020, 204, 104267. [Google Scholar] [CrossRef]
- Dorigatti, F.; Sterling, M.; Baker, C.J.; Quinn, A.D. Crosswind effects on the stability of a model passenger train—A comparison of static and moving experiments. J. Wind Eng. Ind. Aerodyn. 2015, 138, 36–51. [Google Scholar] [CrossRef]
- Schober, M.; Weise, M.; Orellano, A.; Deeg, P.; Wetzei, W. Wind tunnel investigation of an ICE 3 endcar on three standard ground scenarios. J. Wind Eng. Ind. Aerodyn. 2010, 98, 345–352. [Google Scholar] [CrossRef]
- Zhai, W. Vehicle–Track Coupled Dynamics, 4th ed.; Science Press: Beijing, China, 2015. [Google Scholar]

















| Porosity | Carriage | ||||||
|---|---|---|---|---|---|---|---|
| Enter | Exit | ||||||
| 10% | Head | 0.1067 | 0.0399 | 0.0235 | 0.1004 | 0.0430 | 0.0212 |
| Middle | 0.0299 | 0.0546 | 0.0050 | 0.0277 | 0.0599 | 0.0049 | |
| Tail | 0.0315 | 0.0249 | 0.0066 | 0.0278 | 0.0279 | 0.0060 | |
| 30% | Head | 0.0824 | 0.0429 | 0.0117 | 0.0771 | 0.0396 | 0.0116 |
| Middle | 0.0234 | 0.0566 | 0.0021 | 0.0233 | 0.0515 | 0.0021 | |
| Tail | 0.0211 | 0.0125 | 0.0042 | 0.0191 | 0.0113 | 0.0042 | |
| 50% | Head | 0.0552 | 0.0343 | 0.0081 | 0.0514 | 0.0291 | 0.0077 |
| Middle | 0.0205 | 0.0290 | 0.0015 | 0.0182 | 0.0293 | 0.0014 | |
| Tail | 0.0126 | 0.0095 | 0.0040 | 0.0091 | 0.0030 | 0.0036 | |
| Porosity | Carriage | ||||||
|---|---|---|---|---|---|---|---|
| Enter | Exit | ||||||
| 10% | Head | 0.8269 | 0.2306 | 0.1369 | 0.6249 | 0.2029 | 0.11 |
| Middle | 0.1494 | 0.1797 | 0.0201 | 0.1163 | 0.2514 | 0.0177 | |
| Tail | 0.2286 | 0.1046 | 0.0289 | 0.1727 | 0.1003 | 0.0351 | |
| 30% | Head | 0.5794 | 0.2220 | 0.0923 | 0.5269 | 0.1837 | 0.0797 |
| Middle | 0.0829 | 0.1657 | 0.0106 | 0.0791 | 0.1871 | 0.0094 | |
| Tail | 0.1011 | 0.0857 | 0.0171 | 0.1146 | 0.0551 | 0.0183 | |
| 50% | Head | 0.3717 | 0.1651 | 0.058 | 0.342 | 0.1317 | 0.0546 |
| Middle | 0.0654 | 0.1026 | 0.008 | 0.0617 | 0.0946 | 0.0063 | |
| Tail | 0.0540 | 0.0406 | 0.0146 | 0.0489 | 0.0271 | 0.012 | |
| Crosswind Speed (m/s) | Carriage | ||||||
|---|---|---|---|---|---|---|---|
| Enter | Exit | ||||||
| 10 | Head | 0.0519 | 0.0155 | 0.0083 | 0.0492 | 0.0131 | 0.0079 |
| Middle | 0.0097 | 0.0324 | 0.0006 | 0.0089 | 0.0302 | 0.0006 | |
| Tail | 0.0093 | 0.0238 | 0.0018 | 0.0116 | 0.0243 | 0.0019 | |
| 15 | Head | 0.0824 | 0.0430 | 0.0117 | 0.0771 | 0.0396 | 0.0116 |
| Middle | 0.0234 | 0.0566 | 0.0021 | 0.0233 | 0.0515 | 0.0021 | |
| Tail | 0.0211 | 0.0125 | 0.0042 | 0.0191 | 0.0113 | 0.0042 | |
| 20 | Head | 0.1116 | 0.0857 | 0.0146 | 0.1056 | 0.0830 | 0.0145 |
| Middle | 0.0458 | 0.0517 | 0.0067 | 0.0438 | 0.0523 | 0.0063 | |
| Tail | 0.0329 | 0.0195 | 0.0106 | 0.0264 | 0.0071 | 0.0107 | |
| 25 | Head | 0.1467 | 0.1401 | 0.0184 | 0.1348 | 0.1398 | 0.0178 |
| Middle | 0.0728 | 0.0362 | 0.0151 | 0.0696 | 0.0413 | 0.0150 | |
| Tail | 0.0425 | 0.0427 | 0.0128 | 0.0367 | 0.0242 | 0.0139 | |
| Crosswind Speed (m/s) | Carriage | ||||||
|---|---|---|---|---|---|---|---|
| Enter | Exit | ||||||
| 10 | Head | 0.3611 | 0.0860 | 0.0554 | 0.3349 | 0.0763 | 0.0480 |
| Middle | 0.0449 | 0.0929 | 0.0034 | 0.0446 | 0.0829 | 0.0034 | |
| Tail | 0.0706 | 0.0800 | 0.0048 | 0.0709 | 0.0814 | 0.0083 | |
| 15 | Head | 0.5794 | 0.2220 | 0.0923 | 0.5269 | 0.1837 | 0.0797 |
| Middle | 0.0829 | 0.1657 | 0.0106 | 0.0791 | 0.1871 | 0.0094 | |
| Tail | 0.1011 | 0.0857 | 0.0171 | 0.1146 | 0.0551 | 0.0183 | |
| 20 | Head | 0.7763 | 0.3989 | 0.1306 | 0.7617 | 0.3740 | 0.1120 |
| Middle | 0.1746 | 0.1914 | 0.0269 | 0.1797 | 0.2446 | 0.0229 | |
| Tail | 0.1583 | 0.1463 | 0.0366 | 0.13 | 0.0691 | 0.0334 | |
| 25 | Head | 0.9594 | 0.5969 | 0.1686 | 0.9428 | 0.5597 | 0.1449 |
| Middle | 0.2831 | 0.1614 | 0.0529 | 0.2237 | 0.1871 | 0.0477 | |
| Tail | 0.2163 | 0.2114 | 0.0431 | 0.1723 | 0.1014 | 0.0511 | |
| Running Speed (km/h) | Carriage | ||||||
|---|---|---|---|---|---|---|---|
| Enter | Exit | ||||||
| 200 | Head | 0.1320 | 0.1094 | 0.0168 | 0.1211 | 0.1090 | 0.0164 |
| Middle | 0.0592 | 0.0420 | 0.0109 | 0.0551 | 0.0445 | 0.0104 | |
| Tail | 0.0477 | 0.0237 | 0.0123 | 0.0310 | 0.0122 | 0.0133 | |
| 250 | Head | 0.1003 | 0.0714 | 0.0135 | 0.0947 | 0.0640 | 0.0137 |
| Middle | 0.0371 | 0.0567 | 0.0045 | 0.0357 | 0.0556 | 0.0040 | |
| Tail | 0.0265 | 0.0136 | 0.0084 | 0.0240 | 0.0079 | 0.0087 | |
| 300 | Head | 0.0824 | 0.0430 | 0.0117 | 0.0771 | 0.0396 | 0.0116 |
| Middle | 0.0234 | 0.0566 | 0.0021 | 0.0233 | 0.0515 | 0.0021 | |
| Tail | 0.0211 | 0.0125 | 0.0042 | 0.0191 | 0.0113 | 0.0042 | |
| 350 | Head | 0.0701 | 0.0306 | 0.0106 | 0.0647 | 0.0267 | 0.0100 |
| Middle | 0.0164 | 0.0485 | 0.0011 | 0.0153 | 0.0441 | 0.0012 | |
| Tail | 0.0153 | 0.0211 | 0.0023 | 0.0174 | 0.0204 | 0.0026 | |
| Running Speed (km/h) | Carriage | ||||||
|---|---|---|---|---|---|---|---|
| Enter | Exit | ||||||
| 200 | Head | 0.6171 | 0.3506 | 0.1086 | 0.6631 | 0.3229 | 0.0966 |
| Middle | 0.1606 | 0.1240 | 0.0277 | 0.1451 | 0.1271 | 0.0254 | |
| Tail | 0.1501 | 0.0926 | 0.0287 | 0.1341 | 0.0530 | 0.0323 | |
| 250 | Head | 0.6013 | 0.2627 | 0.1003 | 0.5827 | 0.2583 | 0.0899 |
| Middle | 0.1249 | 0.1667 | 0.0147 | 0.1178 | 0.2088 | 0.0133 | |
| Tail | 0.1057 | 0.0977 | 0.0249 | 0.0963 | 0.0874 | 0.0289 | |
| 300 | Head | 0.5794 | 0.2220 | 0.0923 | 0.5269 | 0.1837 | 0.0797 |
| Middle | 0.0829 | 0.1657 | 0.0106 | 0.0791 | 0.1871 | 0.0094 | |
| Tail | 0.1011 | 0.0857 | 0.0171 | 0.1146 | 0.0551 | 0.0183 | |
| 350 | Head | 0.5577 | 0.1738 | 0.0850 | 0.4905 | 0.1470 | 0.0731 |
| Middle | 0.0718 | 0.1573 | 0.0080 | 0.0724 | 0.1591 | 0.0073 | |
| Tail | 0.0942 | 0.1013 | 0.0111 | 0.1116 | 0.0750 | 0.0111 | |
| Aerodynamic Load Coefficient | Carriage | Without Buffer Structure | |||
|---|---|---|---|---|---|
| 45 m | 90 m | 135 m | |||
| Head | 0.0944 | 6.93% | 10.04% | 10.83% | |
| Middle | 0.0339 | 5.38% | 8.01% | 8.53% | |
| Tail | 0.0273 | 18.08% | 28.13% | 29.04% | |
| Head | 0.0763 | 5.51% | 7.92% | 8.34% | |
| Middle | 0.0563 | 1.71% | 5.70% | 6.17% | |
| Tail | 0.0272 | 8.39% | 10.85% | 11.07% | |
| Head | 0.0134 | 10.68% | 15.68% | 16.13% | |
| Middle | 0.0040 | 2.53% | 5.81% | 6.42% | |
| Tail | 0.0089 | 1.24% | 2.70% | 3.17% | |
| Aerodynamic Load Coefficient | Carriage | Without Buffer Structure | |||
|---|---|---|---|---|---|
| 45 m | 90 m | 135 m | |||
| Head | 0.6177 | 31.41% | 55.59% | 56.97% | |
| Middle | 0.1394 | 40.77% | 59.66% | 60.94% | |
| Tail | 0.1506 | 38.15% | 54.18% | 57.10% | |
| Head | 0.3386 | 39.14% | 54.63% | 55.56% | |
| Middle | 0.1629 | 52.48% | 66.30% | 66.13% | |
| Tail | 0.1094 | 8.27% | 18.11% | 15.88% | |
| Head | 0.0943 | 30.82% | 49.55% | 50.76% | |
| Middle | 0.0151 | 21.07% | 29.44% | 31.48% | |
| Tail | 0.0301 | 42.19% | 57.81% | 59.42% | |
Disclaimer/Publisher’s Note: The statements, opinions and data contained in all publications are solely those of the individual author(s) and contributor(s) and not of MDPI and/or the editor(s). MDPI and/or the editor(s) disclaim responsibility for any injury to people or property resulting from any ideas, methods, instructions or products referred to in the content. |
© 2024 by the authors. Licensee MDPI, Basel, Switzerland. This article is an open access article distributed under the terms and conditions of the Creative Commons Attribution (CC BY) license (https://creativecommons.org/licenses/by/4.0/).
Share and Cite
Tao, W.; Lou, P. Characteristics of Sudden Change in Aerodynamic Load of High-Speed Train Caused by Wind Barrier and Its Buffer Measure. Appl. Sci. 2024, 14, 10414. https://doi.org/10.3390/app142210414
Tao W, Lou P. Characteristics of Sudden Change in Aerodynamic Load of High-Speed Train Caused by Wind Barrier and Its Buffer Measure. Applied Sciences. 2024; 14(22):10414. https://doi.org/10.3390/app142210414
Chicago/Turabian StyleTao, Wei, and Ping Lou. 2024. "Characteristics of Sudden Change in Aerodynamic Load of High-Speed Train Caused by Wind Barrier and Its Buffer Measure" Applied Sciences 14, no. 22: 10414. https://doi.org/10.3390/app142210414
APA StyleTao, W., & Lou, P. (2024). Characteristics of Sudden Change in Aerodynamic Load of High-Speed Train Caused by Wind Barrier and Its Buffer Measure. Applied Sciences, 14(22), 10414. https://doi.org/10.3390/app142210414

