Influence of Ozone Treatment during Storage on Odour-Active Compounds, Total Titratable Acidity, and Ascorbic Acid in Oranges and Bananas
Abstract
:1. Introduction
2. Materials and Methods
2.1. Fruits
2.2. Design of Experiments
2.3. Ozone Treatment
2.4. Sample Preparation
2.5. Quantification of Odorants
2.6. Quantification of Ascorbic Acid
2.7. Quantification of the Total Titratable Acids
2.8. Weight Loss
2.9. Artificial Contamination of the Fruits with Moulds
2.10. Statistics
3. Results
3.1. Impact of One Ozone Treatment per Day on Odour-Active Compounds, Total Titratable Acidity, Weight Loss, and Mould Growth
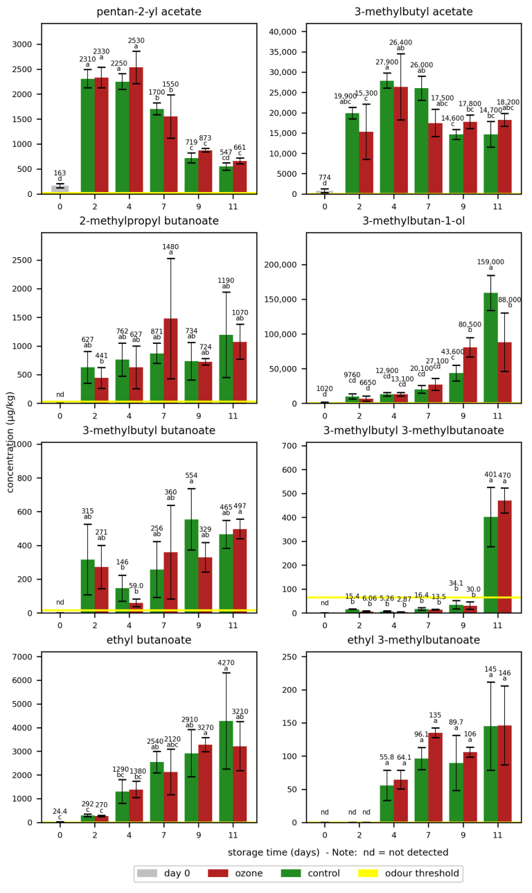
3.2. Impact of Three Ozone Treatments per Day on Odour-Active Compounds, Total Titratable Acidity, Ascorbic Acid, Weight Loss, and Mould Growth
4. Discussion
5. Conclusions
Supplementary Materials
Author Contributions
Funding
Institutional Review Board Statement
Informed Consent Statement
Data Availability Statement
Acknowledgments
Conflicts of Interest
References
- Beretta, C.; Hellweg, S. Potential Environmental Benefits from Food Waste Prevention in the Food Service Sector. Resour. Conserv. Recycl. 2019, 147, 169–178. [Google Scholar] [CrossRef]
- Beretta, C.; Stucki, M.; Hellweg, S. Environmental Impacts and Hotspots of Food Losses: Value Chain Analysis of Swiss Food Consumption. Environ. Sci. Technol. 2017, 51, 11165–11173. [Google Scholar] [CrossRef] [PubMed]
- Martinez, A.; Rodgrigo, D.; Zanini, S.F. Safety Issues on the Preservation of Fruits and Vegetables. In Fruit Preservation; Rosenthal, A., Deliza, R., Welti-Chanes, J., Barbosa-Canovas, G.V., Eds.; Food Engineering Series; Springer Science+Business Media: New York, NY, USA, 2018; pp. 21–43. [Google Scholar]
- Escobedo-Avellaneda, Z.; Guerrero-Beltran, J.A.; Tapia, M.S.; Barbosa-Canovas, G.V.; Welti-Chanes, J. Minimal Processing of Fruits. In Fruit Preservation; Rosenthal, A., Deliza, R., Welti-Chanes, J., Barbosa-Canovas, G.V., Eds.; Food Engineering Series; Springer Science+Business Media: New York, NY, USA, 2018; pp. 67–92. [Google Scholar]
- Bhat, N.R. Postharvest Storage Systems: Biology, Physical Factors, Storage, and Transport. In Handbook of Fruits and Fruit Processing; Sinha, N.K., Sidhu, J.S., Barta, J., Wu, J.S.B., Cano, M.P., Eds.; John Wiley & Sons: Chichester, UK, 2012; pp. 87–102. [Google Scholar]
- Balla, C.; Farkas, J.; Dalmadi, I. Developments in Minimal Processing of Fruits. In Handbook of Fruits and Fruit Processing; Sinha, N.K., Sidhu, J.S., Barta, J., Wu, J.S.B., Cano, M.P., Eds.; John Wiley & Sons: Chichester, UK, 2012; pp. 153–173. [Google Scholar]
- Sarron, E.; Gadonna-Widehem, P.; Aussenac, T. Ozone Treatments for Preserving Fresh Vegetables Quality: A Critical Review. Foods 2021, 10, 605. [Google Scholar] [CrossRef] [PubMed]
- Tiwari, B.K.; Muthukumarappan, K. Ozone in Fruit and Vegetable Processing. In Ozone in Food Processing; O’Donnell, C., Tiwari, B.K., Cullen, P.J., Rice, R.G., Eds.; John Wiley & Sons: Chichester, UK, 2012; pp. 55–80. [Google Scholar]
- Horvitz, S.; Cantalejo, M.J. Application of Ozone for the Postharvest Treatment of Fruits and Vegetables. Crit. Rev. Food Sci. Nutr. 2014, 54, 312–339. [Google Scholar] [CrossRef] [PubMed]
- Afsah-Hejri, L.; Hajeb, P.; Ehsani, R.J. Application of Ozone for Degradation of Mycotoxins in Food: A Review. Compr. Rev. Food Sci. Food Saf. 2020, 19, 1777–1808. [Google Scholar] [CrossRef]
- O’Donnell, C.; Tiwari, B.K.; Cullen, P.J.; Rice, R.G. Status and Trends of Ozone in Food Processing. In Ozone in Food Processing; John Wiley & Sons: Chichester, UK, 2012; pp. 1–6. [Google Scholar]
- Contigiani, E.V.; Kronberg, M.F.; Jaramillo Sánchez, G.; Gómez, P.L.; García-Loredo, A.B.; Munarriz, E.; Alzamora, S.M. Ozone Washing Decreases Strawberry Susceptibility to Botrytis Cinerea While Maintaining Antioxidant, Optical and Sensory Quality. Heliyon 2020, 6, e05416. [Google Scholar] [CrossRef]
- Nadas, A.; Olmo, M.; García, J.m. Growth of Botrytis Cinerea and Strawberry Quality in Ozone-Enriched Atmospheres. J. Food Sci. 2003, 68, 1798–1802. [Google Scholar] [CrossRef]
- Panou, A.A.; Karabagias, I.K.; Riganakos, K.A. The Effect of Different Gaseous Ozone Treatments on Physicochemical Characteristics and Shelf Life of Apricots Stored under Refrigeration. J. Food Process. Preserv. 2018, 42, e13614. [Google Scholar] [CrossRef]
- Pérez, A.G.; Sanz, C.; Ríos, J.J.; Olías, R.; Olías, J.M. Effects of Ozone Treatment on Postharvest Strawberry Quality. J. Agric. Food Chem. 1999, 47, 1652–1656. [Google Scholar] [CrossRef]
- Tiwari, B.K.; Muthukumarappan, K.; O’Donnell, C.P.; Cullen, P.J. Kinetics of Freshly Squeezed Orange Juice Quality Changes during Ozone Processing. J. Agric. Food Chem. 2008, 56, 6416–6422. [Google Scholar] [CrossRef]
- De Santis, D.; Garzoli, S.; Vettraino, A.M. Effect of Gaseous Ozone Treatment on the Aroma and Clove Rot by Fusarium Proliferatum during Garlic Postharvest Storage. Heliyon 2021, 7, e06634. [Google Scholar] [CrossRef]
- Karakosta, E.S.; Karabagias, I.K.; Riganakos, K.A. Shelf Life Extension of Greenhouse Tomatoes Using Ozonation in Combination with Packaging under Refrigeration. Ozone Sci. Eng. 2019, 41, 389–397. [Google Scholar] [CrossRef]
- Alves Filho, E.G.; Rodrigues, T.H.S.; Fernandes, F.A.N.; de Brito, E.S.; Cullen, P.J.; Frias, J.M.; Bourke, P.; Cavalcante, R.S.; Almeida, F.D.L.; Rodrigues, S. An Untargeted Chemometric Evaluation of Plasma and Ozone Processing Effect on Volatile Compounds in Orange Juice. Innov. Food Sci. Emerg. Technol. 2019, 53, 63–69. [Google Scholar] [CrossRef]
- Schieberle, P.; Grosch, W. Quantitative Analysis of Aroma Compounds in Wheat and Rye Bread Crusts Using a Stable Isotope Dilution Assay. J. Agric. Food Chem. 1987, 35, 252–257. [Google Scholar] [CrossRef]
- Sellami, I.; Mall, V.; Schieberle, P. Changes in the Key Odorants and Aroma Profiles of Hamlin and Valencia Orange Juices Not from Concentrate (NFC) during Chilled Storage. J. Agric. Food Chem. 2018, 66, 7428–7440. [Google Scholar] [CrossRef] [PubMed]
- Buettner, A.; Schieberle, P. Evaluation of Aroma Differences between Hand-Squeezed Juices from Valencia Late and Navel Oranges by Quantitation of Key Odorants and Flavor Reconstitution Experiments. J. Agric. Food Chem. 2001, 49, 2387–2394. [Google Scholar] [CrossRef] [PubMed]
- Seideneck, R.; Schieberle, P. Comparison of the Key Aroma Compounds in Hand-Squeezed and Unpasteurised, Commercial NFC Juices Prepared from Brazilian Pera Rio Oranges. Eur. Food Res. Technol. 2011, 232, 995–1005. [Google Scholar] [CrossRef]
- Xiao, Z.; Chen, H.; Niu, Y.; Zhu, J. Characterization of the Aroma-Active Compounds in Banana (Musa AAA Red Green) and Their Contributions to the Enhancement of Sweetness Perception. J. Agric. Food Chem. 2021, 69, 15301–15313. [Google Scholar] [CrossRef]
- Pino, J.A.; Febles, Y. Odour-Active Compounds in Banana Fruit Cv. Giant Cavendish. Food Chem. 2013, 141, 795–801. [Google Scholar] [CrossRef]
- Zhu, X.; Li, Q.; Li, J.; Luo, J.; Chen, W.; Li, X. Comparative Study of Volatile Compounds in the Fruit of Two Banana Cultivars at Different Ripening Stages. Molecules 2018, 23, 2456. [Google Scholar] [CrossRef]
- Vermeir, S.; Hertog, M.L.A.T.M.; Vankerschaver, K.; Swennen, R.; Nicolaï, B.M.; Lammertyn, J. Instrumental Based Flavour Characterisation of Banana Fruit. LWT—Food Sci. Technol. 2009, 42, 1647–1653. [Google Scholar] [CrossRef]
- Zhu, H.; Li, X.P.; Yuan, R.C.; Chen, Y.F.; Chen, W.X. Changes in Volatile Compounds and Associated Relationships with Other Ripening Events in Banana Fruit. J. Hortic. Sci. Biotechnol. 2010, 85, 283–288. [Google Scholar] [CrossRef]
- Liu, T.-T.; Yang, T.-S. Optimization of Solid-Phase Microextraction Analysis for Studying Change of Headspace Flavor Compounds of Banana during Ripening. J. Agric. Food Chem. 2002, 50, 653–657. [Google Scholar] [CrossRef] [PubMed]
- Youryon, P.; Supapvanich, S. Physicochemical Quality and Antioxidant Changes in ‘Leb Mue Nang’ Banana Fruit during Ripening. J. Agric. Nat. Resour. 2017, 51, 47–52. [Google Scholar] [CrossRef]
- Venta, M.B.; Broche, S.S.C.; Torres, I.F.; Pérez, M.G.; Lorenzo, E.V.; Rodriguez, Y.R.; Cepero, S.M. Ozone Application for Postharvest Disinfection of Tomatoes. Ozone Sci. Eng. 2010, 32, 361–371. [Google Scholar] [CrossRef]
- Suseno, N.; Savitri, E.; Sapei, L.; Padmawijaya, K.S. Improving Shelf-life of Cavendish Banana Using Chitosan Edible Coating. Procedia Chem. 2014, 9, 113–120. [Google Scholar] [CrossRef]
- Kolgesiz, S.; Tas, C.E.; Koken, D.; Genc, M.H.; Yalcin, I.; Kalender, K.; Unal, S.; Unal, H. Extending the Shelf Life of Bananas with Cinnamaldehyde-Impregnated Halloysite/Polypropylene Nanocomposite Films. ACS Food Sci. Technol. 2023, 3, 340–349. [Google Scholar] [CrossRef]









Disclaimer/Publisher’s Note: The statements, opinions and data contained in all publications are solely those of the individual author(s) and contributor(s) and not of MDPI and/or the editor(s). MDPI and/or the editor(s) disclaim responsibility for any injury to people or property resulting from any ideas, methods, instructions or products referred to in the content. |
© 2023 by the authors. Licensee MDPI, Basel, Switzerland. This article is an open access article distributed under the terms and conditions of the Creative Commons Attribution (CC BY) license (https://creativecommons.org/licenses/by/4.0/).
Share and Cite
Ullrich, L.; Gillich, E.; André, A.; Panarese, S.; Imhaus, A.F.; Fieseler, L.; Chetschik, I. Influence of Ozone Treatment during Storage on Odour-Active Compounds, Total Titratable Acidity, and Ascorbic Acid in Oranges and Bananas. Appl. Sci. 2023, 13, 10885. https://doi.org/10.3390/app131910885
Ullrich L, Gillich E, André A, Panarese S, Imhaus AF, Fieseler L, Chetschik I. Influence of Ozone Treatment during Storage on Odour-Active Compounds, Total Titratable Acidity, and Ascorbic Acid in Oranges and Bananas. Applied Sciences. 2023; 13(19):10885. https://doi.org/10.3390/app131910885
Chicago/Turabian StyleUllrich, Lisa, Elodie Gillich, Amandine André, Sandra Panarese, Anne Flore Imhaus, Lars Fieseler, and Irene Chetschik. 2023. "Influence of Ozone Treatment during Storage on Odour-Active Compounds, Total Titratable Acidity, and Ascorbic Acid in Oranges and Bananas" Applied Sciences 13, no. 19: 10885. https://doi.org/10.3390/app131910885
APA StyleUllrich, L., Gillich, E., André, A., Panarese, S., Imhaus, A. F., Fieseler, L., & Chetschik, I. (2023). Influence of Ozone Treatment during Storage on Odour-Active Compounds, Total Titratable Acidity, and Ascorbic Acid in Oranges and Bananas. Applied Sciences, 13(19), 10885. https://doi.org/10.3390/app131910885

