Experimental Research on Sand Sediment Protection on Railway Tracks
Abstract
Featured Application
Abstract
1. Introduction
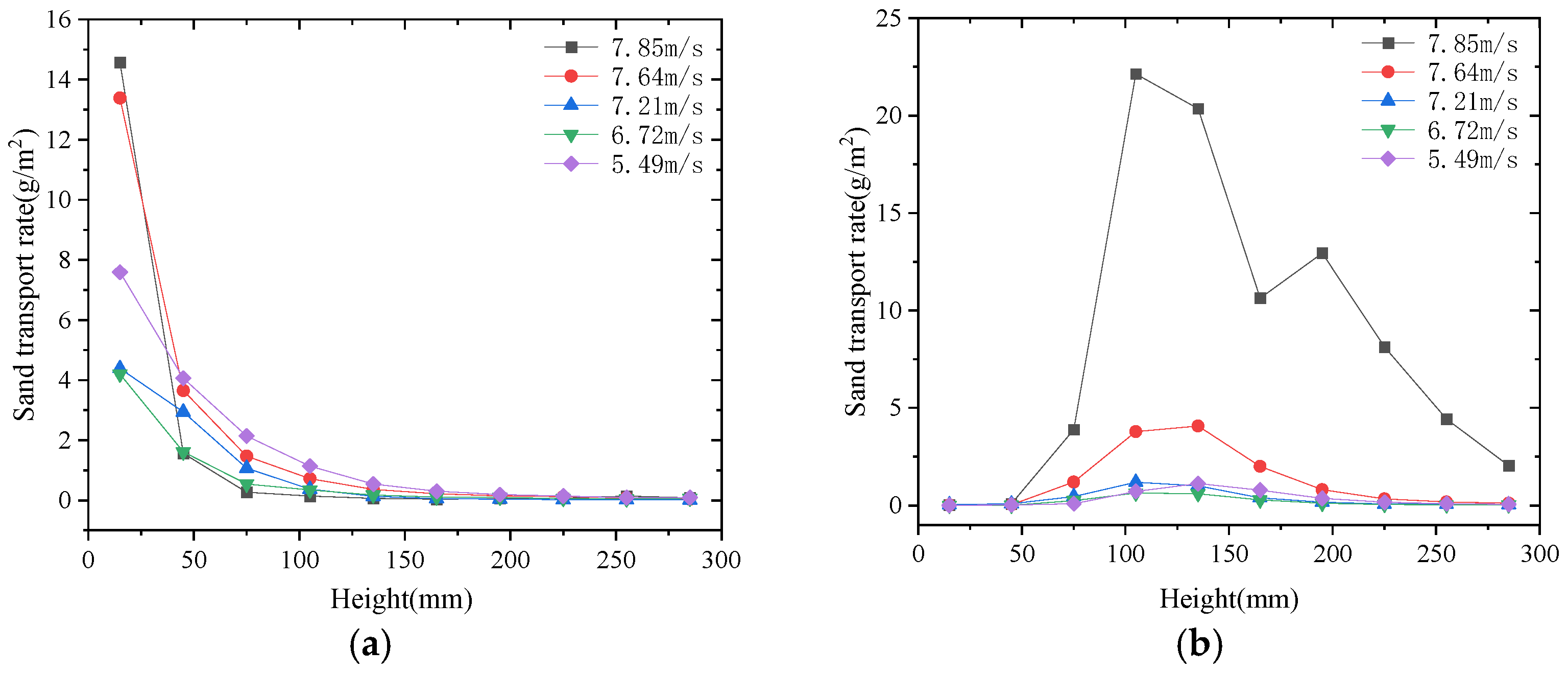
2. Single-Track Sediment Transport Experiment
2.1. Experiment Design
2.2. Results and Discussion
3. Dual-Track Sand Deposition Experiment
3.1. Experiment Design
3.2. Results and Discussion
4. Experiment on Sand Deposition on the Tracks
4.1. Experiment Design
- (1)
- Place the track and calibrate its height with a level gauge to make sure the track is basically at the same level. Measure and record the height of the track exposed above the sand surface;
- (2)
- Start the fan and the experiments on track sand deposition. The sand blowing time was set to 8 min after tests. The reason lies in the fact that a short sand blowing time may be associated with an unsatisfactory sand deposition effect, which is unfavorable for measuring the height of deposited sand. In contrast, if the sand blowing time is extremely long, the front track will be covered by too much sediment, while the sand will keep depositing on the rear track, which makes the height data of deposited sand invalid;
- (3)
- After 8 min of the experiment, turn off the fan, measure the heights of sand deposited on the front and rear tracks, and keep records;
- (4)
- Place baffles with different cross sections on the track, repeat the above steps and record the measurement results;
- (5)
- Repeat the above experiment twice, and analyze the data.
4.2. Results and Discussion
5. Conclusions
- (1)
- The track can lift the flow field in the rear, and lead to a significant change in the sand saltation height and distance.
- (2)
- Along the direction of incoming flow, the volume of sand deposition in front of the first track directly affects the volume and velocity of sand deposition in front of the second track, indicating that the sand deposition on the rear track can be effectively abated by controlling the sand deposition on the front track.
- (3)
- The sand deposition on the rear track can be effectively reduced by placing different types of baffles in the track. During the same period, placing a 45° inclined baffle exerted the best preventive effect on the sand deposition on the rear track.
Author Contributions
Funding
Institutional Review Board Statement
Informed Consent Statement
Data Availability Statement
Acknowledgments
Conflicts of Interest
References
- Zhang, K.-C.; Qu, J.-J.; Liao, K.-T.; Niu, Q.-H.; Han, Q.-J. Damage by wind-blown sand and its control along Qinghai-Tibet Railway in China. Aeolian Res. 2010, 1, 143–146. [Google Scholar] [CrossRef]
- Xiao, H.; Zhang, Z.; Chi, Y.; Wang, M.; Wang, H. Experimental study and discrete element analysis on dynamic mechanical behaviour of railway ballast bed in windblown sand areas. Constr. Build. Mater. 2021, 304, 124669. [Google Scholar] [CrossRef]
- Niu, B.; Tan, L.; Zhang, X.J.; Qu, J.; An, Z.; Wang, J.; Liu, B.; Wang, T.; Li, K. Targeted control of sand hazards for a railway in extremely arid regions using fingerprinting approaches. Geomorphology 2020, 361, 107189. [Google Scholar] [CrossRef]
- Zhang, Z.; Xiao, H.; Wang, M.; Zhang, M.; Wang, J. Research on dynamic mechanical behavior of ballast bed in windblown sand railway based on dimensional analysis. Constr. Build. Mater. 2021, 287, 123052. [Google Scholar] [CrossRef]
- Zhang, Z.; Xiao, H.; Wang, Y.; Fang, J.; Nadakatti, M.M.; Wang, H. Experimental study and discrete element analysis on lateral resistance of windblown sand railway. Transp. Geotech. 2022, 34, 100740. [Google Scholar] [CrossRef]
- Bruno, L.; Horvat, M.; Raffaele, L. Windblown sand along railway infrastructures: A review of challenges and mitigation measures. J. Wind Eng. Ind. Aerodyn. 2018, 177, 340–365. [Google Scholar] [CrossRef]
- Ma, B.; Gao, L.; Cheng, J.; Ding, B.; Ding, L.; Qu, L.; An, Y. Characteristics and Hazards of an Aeolian Sand Environment along Railways in the Southeastern Fringe of the Taklimakan Desert and Sand Control Measures. Appl. Sci. 2022, 12, 9186. [Google Scholar] [CrossRef]
- Qiu, G.Y.; Lee, I.-B.; Shimizu, H.; Gao, Y.; Ding, G. Principles of sand dune fixation with straw checkerboard technology and its effects on the environment. J. Arid Environ. 2004, 56, 449–464. [Google Scholar] [CrossRef]
- Han, Z.; Wang, T.; Dong, Z.; Zhang, W.; Wang, X. Main engineering measurements and mechanism of blown sand hazard control. Prog. Geogr. 2004, 23, 13–21. [Google Scholar]
- Fen, L.; Lu, J.; Di, Y. Review on the prevention of sand damages to railway line in desert areas of China. J. Desert Res. 1994, 14, 47–53. [Google Scholar]
- Li, K.; Shi, L.; Kong, L.; Jiang, F. Protection effects of different kinds of sand-barriersalong Lanzhou-Xinjianbg High-speed railway. J. Railw. Eng. Soc. 2017, 3, 11–14. [Google Scholar]
- Zhang, K.; Qu, J.; Yu, Y.; Han, Q.; Wang, T.; An, Z.; Hu, F. Progress of research on wind-blown sand prevention and control of railways in China. Adv. Earth Sci. 2019, 34, 573–583. [Google Scholar]
- Cheng, J.-j.; Xue, C.-x. The sand-damage–prevention engineering system for the railway in the desert region of the Qinghai-Tibet plateau. J. Wind Eng. Ind. Aerodyn. 2014, 125, 30–37. [Google Scholar] [CrossRef]
- Zhang, C.L.; Zou, X.Y.; Pan, X.H.; Yang, S.; Wang, H.T. Near-surface airflow field and aerodynamic characteristics of the railway-protection system in the Shapotou region and their significance. J. Arid Environ. 2007, 71, 169–187. [Google Scholar] [CrossRef]
- Raffaele, L.; Bruno, L. Windblown Sand Mitigation Along Railway Megaprojects: A Comparative Study. Struct. Eng. Int. 2020, 30, 355–364. [Google Scholar] [CrossRef]
- Lavasani, A.M.; Razi, P.; Mehdipour, R. Numerical Solution of Fence Performance for Reduction of Sand Deposition on Railway Tracks. Int. J. Eng. 2016, 29, 1014–1021. [Google Scholar] [CrossRef]
- Wang, T.; Qu, J.; Tan, L. Aeolian sediment transport over sandy gobi: Field studies in the Nanhu gobi along the Hami-Lop Nor Railway. Int. Soil Water Conserv. Res. 2022; in press. [Google Scholar] [CrossRef]
- Gao, L.; Cheng, J.; Wang, H.; Yuan, X. Effects of different types of guardrails on sand transportation of desert highway pavement. J. Arid Land 2022, 14, 993–1008. [Google Scholar] [CrossRef]
- Xie, S.; Qu, J.; Lai, Y.; Pang, Y. Formation mechanism and suitable controlling pattern of sand hazards at Honglianghe River section of Qinghai–Tibet Railway. Nat. Hazards 2014, 76, 855–871. [Google Scholar] [CrossRef]
- Wang, T.; Qu, J.; Ling, Y.; Xie, S.; Xiao, J. Wind tunnel test on the effect of metal net fences on sand flux in a Gobi Desert, China. J. Arid Land 2017, 9, 888–899. [Google Scholar] [CrossRef]
- Li, C.; Wang, Y.; Lei, J.; Xu, X.; Wang, S.; Fan, J.; Fan, S. Damage by wind-blown sand and its control measures along the Taklimakan Desert Highway in China. J. Arid Land 2020, 13, 98–106. [Google Scholar] [CrossRef]
- Shi, L.; Wang, D.; Cui, K.; Xue, C. Comparative evaluation of concrete sand-control fences used for railway protection in strong wind areas. Railw. Eng. Sci. 2021, 29, 183–198. [Google Scholar] [CrossRef]
- Wang, T.; Qu, J.; Tan, L.; Gao, Y.; Zhang, K.; Shi, B. Aeolian sediment transport over the Gobi with high gravel coverage under extremely strong winds in the Hundred Miles windy area along the Lanzhou-Xinjiang High-Speed Railway. J. Wind Eng. Ind. Aerodyn. 2022, 220, 104857. [Google Scholar] [CrossRef]
- Horvat, M.; Bruno, L.; Khris, S. CWE study of wind flow around railways: Effects of embankment and track system on sand sedimentation. J. Wind Eng. Ind. Aerodyn. 2021, 208, 104476. [Google Scholar] [CrossRef]
- Zhang, K.; Wang, Q.; Yang, Z.; Liang, K.; Zhao, K.; Cui, X. Researchon numericalsimulation onwind protection benefits of HDPEpanels with high vertical sandbarrier in the newly-built Golmud-korla railway. J. China Railw. Soc. 2019, 41, 169–175. [Google Scholar]
- Huang, N.; Gong, K.; Xu, B.; Zhao, J.; Dun, H.; He, W.; Xin, G. Investigations into the law of sand particle accumulation over railway subgrade with wind-break wall. Eur. Phys. J. E Soft Matter 2019, 42, 145. [Google Scholar] [CrossRef] [PubMed]
- Mehdipour, R.; Baniamerian, Z. A new approach in reducing sand deposition on railway tracks to improve transportation. Aeolian Res. 2019, 41, 100537. [Google Scholar] [CrossRef]
- Sarafrazi, V.; Talaee, M.R. Simulation of wall barrier properties along a railway track during a sandstorm. Aeolian Res. 2020, 46, 100626. [Google Scholar] [CrossRef]
- Moyan, Z.; Hong, X.; Nadakatti, M.M.; Feng, J.; Guangpeng, L. Track structure failure caused by sand deposition: Simulation and experimentation. Aeolian Res. 2020, 43, 100578. [Google Scholar] [CrossRef]
- Wang, W.; Huang, N.; Dun, H. Analysis of wind-sand movement over sand dune with different railway forms downstream. Chin. J. Theor. Appl. Mech. 2020, 52, 680–688. [Google Scholar]
- Xin, G.; Huang, N.; Zhang, J. Wind-tunnel experiment on sand deposition mechanism and optimal measures of wind-break wall along railway in strong wind area. Chin. J. Theor. Appl. Mech. 2020, 52, 635–644. [Google Scholar]
- Dun, H.; Xin, G.; Huang, N.; Shi, G.; Zhang, J. Wind-Tunnel Studies on Sand Sedimentation Around Wind-Break Walls of Lanxin High-Speed Railway II and Its Prevention. Appl. Sci. 2021, 11, 5989. [Google Scholar] [CrossRef]
- Li, L.; Tao, Z.; Yin, W.; Liu, Z. Numerical Simulation Research on Plane Alignment Parameters of Desert Highway. Appl. Sci. 2022, 12, 9579. [Google Scholar] [CrossRef]
- Shu, K.; Ding, H.H.; Mazzù, A.; Lin, Q.; Guo, J.; Meli, E.; Liu, Q.Y.; Wang, W.J. Effect of dynamic windblown sand environments on the wear and damage of wheel-rail under different slip ratios. Wear 2022, 500–501, 204349. [Google Scholar] [CrossRef]
- Xie, S.; Qu, J.; Zu, R.; Zhang, K.; Han, Q.; Niu, Q. Effect of Sandy Sediments Produced by the Mechanical Control of Sand Deposition on the Thermal Regime of Underlying Permafrost Along the Qinghai-Tibet Railway. Land Degrad. Dev. 2011, 24, 453–462. [Google Scholar] [CrossRef]
- Zhang, K.; Qu, J.; Han, Q.; Xie, S.; Kai, K.; Niu, Q.; An, Z. Wind Tunnel Simulation of Windblown Sand Along China’s Qinghai-Tibet Railway. Land Degrad. Dev. 2014, 25, 244–250. [Google Scholar] [CrossRef]









| Position | First Section | Second Section | Third Section | Stabilized Section |
|---|---|---|---|---|
| Front Track | 0.113 | 0.052 | 0.015 | 0.004 |
| Rear Track | 0.024 | 0.012 | 0.027 | 0.014 |
| Sedimentation Height of First Track (cm) | Sedimentation Height of Second Track (cm) | Sedimentation Ratio | |
|---|---|---|---|
| Original Track | 7 | 3 | 0.43 |
| 4.7 | 1.9 | 0.40 | |
| Square wood | 7.7 | 2.3 | 0.30 |
| 8.1 | 2.7 | 0.33 | |
| 45° inclined Baffle | 6.2 | 2 | 0.32 |
| 7.8 | 2.5 | 0.32 | |
| 45° inclined Baffle 2 cm Higher than the Track | 7.7 | 1.8 | 0.23 |
| 7.3 | 1.8 | 0.25 |
| Front Track (cm) | Rear Track (cm) | Height Ratio | |
|---|---|---|---|
| Original Track | 6.2 | 2.1 | 0.34 |
| 30° Inclined Baffle | 6.2 | 1.3 | 0.21 |
| 30° Inclined Baffle, 2 cm Higher than the Track | 6.2 | 1.2 | 0.19 |
| 45° Inclined Baffle | 6.2 | 1.0 | 0.16 |
| 45° Inclined Baffle, 2 cm Higher than the Track | 6.2 | 0.9 | 0.15 |
| 60° Inclined Baffle | 6.2 | 0.8 | 0.13 |
| 60° Inclined Baffle, 2 cm Higher than the Track | 6.2 | 0.7 | 0.11 |
Publisher’s Note: MDPI stays neutral with regard to jurisdictional claims in published maps and institutional affiliations. |
© 2022 by the authors. Licensee MDPI, Basel, Switzerland. This article is an open access article distributed under the terms and conditions of the Creative Commons Attribution (CC BY) license (https://creativecommons.org/licenses/by/4.0/).
Share and Cite
Li, X.; Zhang, X.; Zhang, F.; Liao, Q. Experimental Research on Sand Sediment Protection on Railway Tracks. Appl. Sci. 2022, 12, 12734. https://doi.org/10.3390/app122412734
Li X, Zhang X, Zhang F, Liao Q. Experimental Research on Sand Sediment Protection on Railway Tracks. Applied Sciences. 2022; 12(24):12734. https://doi.org/10.3390/app122412734
Chicago/Turabian StyleLi, Xingcai, Xuefeng Zhang, Fei Zhang, and Qianguo Liao. 2022. "Experimental Research on Sand Sediment Protection on Railway Tracks" Applied Sciences 12, no. 24: 12734. https://doi.org/10.3390/app122412734
APA StyleLi, X., Zhang, X., Zhang, F., & Liao, Q. (2022). Experimental Research on Sand Sediment Protection on Railway Tracks. Applied Sciences, 12(24), 12734. https://doi.org/10.3390/app122412734
