A New Biorefinery Approach for the Full Valorisation of Anchovy Residues: Use of the Sludge Generated during the Extraction of Fish Oil as a Nitrogen Supplement in Anaerobic Digestion
Abstract
:Featured Application
Abstract
1. Introduction
2. Materials and Methods
2.1. Fish Oil Extraction Process
2.2. Substrates and Inoculum Characterisation
2.3. Biomethane Potential (BMP) Tests
2.4. Semi-Continuous Experiments
3. Results and Discussion
3.1. BMP Tests
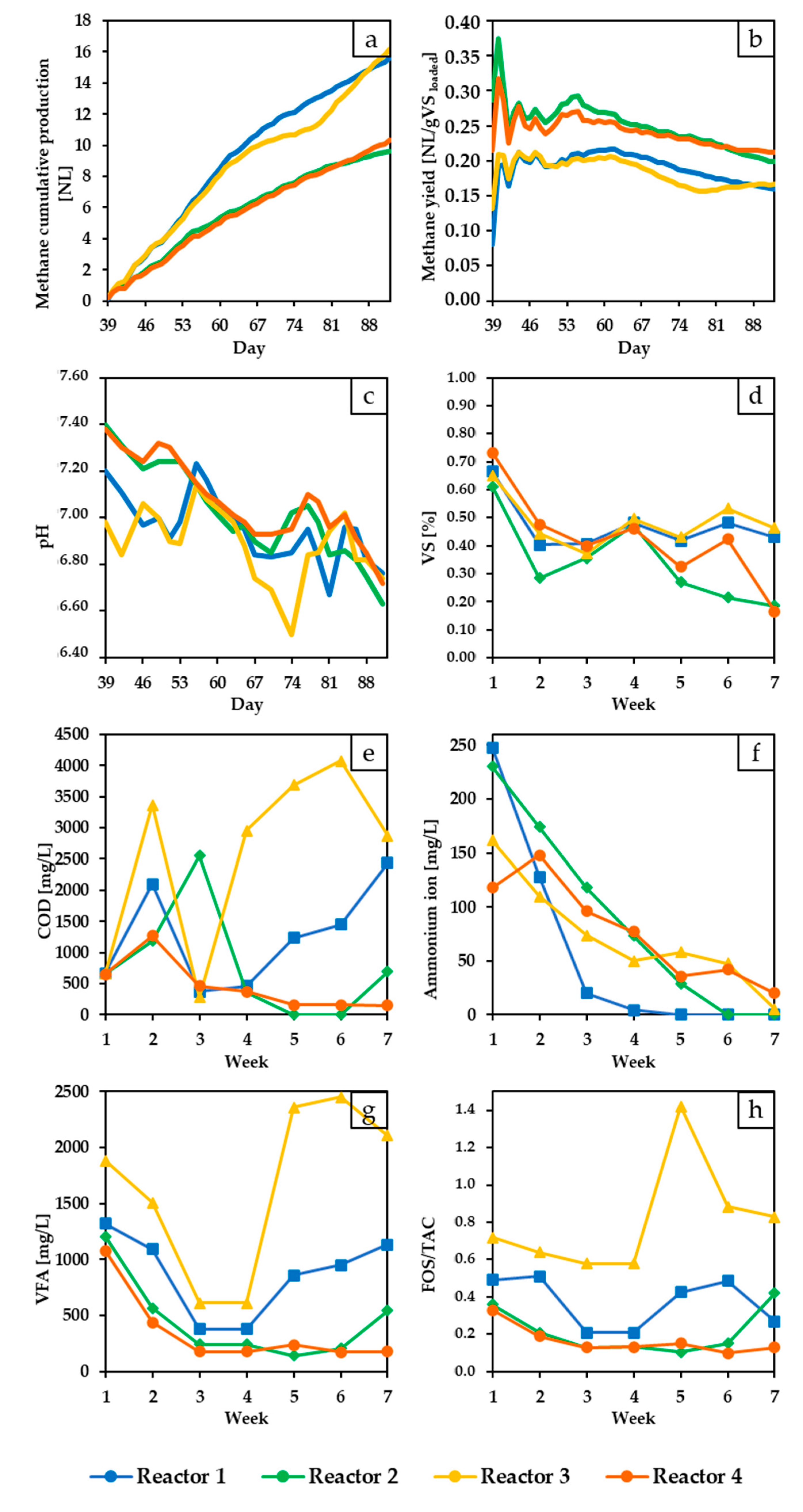
3.2. Semi-Continuous Experiments
4. Conclusions
Author Contributions
Funding
Data Availability Statement
Acknowledgments
Conflicts of Interest
References
- Ellen MacArthur Foundation Universal Circular Economy Policy Goals: Enabling the Transition to Scale. Available online: https://www.ellenmacarthurfoundation.org/publications/universal-circular-economy-policy-goals-enabling-the-transition-to-scale (accessed on 27 July 2021).
- European Commission. Circular Economy Action Plan; European Commission: Brussels, Belgium, 2020; p. 28. [Google Scholar] [CrossRef]
- Zema, D.A.; Calabrò, P.S.; Folino, A.; Tamburino, V.; Zappia, G.; Zimbone, S.M. Valorisation of citrus processing waste: A review. Waste Manag. 2018, 80, 252–273. [Google Scholar] [CrossRef]
- Fazzino, F.; Mauriello, F.; Paone, E.; Sidari, R.; Calabrò, P.S. Integral valorization of orange peel waste through optimized ensiling: Lactic acid and bioethanol production. Chemosphere 2021, 271, 129602. [Google Scholar] [CrossRef] [PubMed]
- García-Vargas, M.C.; Contreras, M.d.M.; Castro, E. Avocado-Derived Biomass as a Source of Bioenergy and Bioproducts. Appl. Sci. 2020, 10, 8195. [Google Scholar] [CrossRef]
- Câmara-Salim, I.; Conde, P.; Feijoo, G.; Moreira, M.T. The use of maize stover and sugar beet pulp as feedstocks in industrial fermentation plants—An economic and environmental perspective. Clean. Environ. Syst. 2021, 2, 100005. [Google Scholar] [CrossRef]
- Rajesh Banu, J.; Preethi; Kavitha, S.; Tyagi, V.K.; Gunasekaran, M.; Karthikeyan, O.P.; Kumar, G. Lignocellulosic biomass based biorefinery: A successful platform towards circular bioeconomy. Fuel 2021, 302, 121086. [Google Scholar] [CrossRef]
- The Blue Economy—Home. Available online: https://www.theblueeconomy.org/ (accessed on 27 July 2021).
- FAO. FAO Fisheries & Aquaculture—Fishery Statistical Collections—Global Capture Production. Available online: https://www.fao.org/fishery/statistics/global-capture-production/en (accessed on 24 October 2021).
- Laso, J.; Margallo, M.; Serrano, M.; Vázquez-Rowe, I.; Avadí, A.; Fullana, P.; Bala, A.; Gazulla, C.; Irabien, Á.; Aldaco, R. Introducing the Green Protein Footprint method as an understandable measure of the environmental cost of anchovy consumption. Sci. Total Environ. 2018, 621, 40–53. [Google Scholar] [CrossRef]
- Laso, J.; Margallo, M.; Celaya, J.; Fullana, P.; Bala, A.; Gazulla, C.; Irabien, A.; Aldaco, R. Waste management under a life cycle approach as a tool for a circular economy in the canned anchovy industry. Waste Manag. Res. 2016, 34, 724–733. [Google Scholar] [CrossRef]
- Shepherd, C.J.; Jackson, A.J. Global fishmeal and fish-oil supply: Inputs, outputs and marketsa. J. Fish. Biol. 2013, 83, 1046–1066. [Google Scholar] [CrossRef]
- Paone, E.; Fazzino, F.; Pizzone, D.M.; Scurria, A.; Pagliaro, M.; Ciriminna, R.; Calabrò, P.S. Towards the anchovy biorefinery: Biogas production from anchovy processing waste after fish oil extraction with biobased Limonene. Sustainability 2021, 13, 2428. [Google Scholar] [CrossRef]
- Ruiz, B.; Flotats, X. Citrus essential oils and their influence on the anaerobic digestion process: An overview. Waste Manag. 2014, 34, 2063–2079. [Google Scholar] [CrossRef] [PubMed]
- Calabrò, P.S.; Fazzino, F.; Folino, A.; Paone, E.; Komilis, D. Semi-Continuous Anaerobic Digestion of Orange Peel Waste: Effect of Activated Carbon Addition and Alkaline Pretreatment on the Process. Sustainability 2019, 11, 3386. [Google Scholar] [CrossRef] [Green Version]
- Wu, Y.; Wang, S.; Liang, D.; Li, N. Conductive materials in anaerobic digestion: From mechanism to application. Bioresour. Technol. 2020, 298, 122403. [Google Scholar] [CrossRef]
- Pan, C.; Fu, X.; Lu, W.; Ye, R.; Guo, H.; Wang, H.; Chusov, A. Effects of conductive carbon materials on dry anaerobic digestion of sewage sludge: Process and mechanism. J. Hazard. Mater. 2020, 384, 121339. [Google Scholar] [CrossRef] [PubMed]
- Baek, G.; Kim, J.J.; Kim, J.J.; Lee, C. Role and potential of direct interspecies electron transfer in anaerobic digestion. Energies 2018, 11, 107. [Google Scholar] [CrossRef] [Green Version]
- Yang, Y.; Zhang, Y.; Li, Z.; Zhao, Z.; Quan, X.; Zhao, Z. Adding granular activated carbon into anaerobic sludge digestion to promote methane production and sludge decomposition. J. Clean. Prod. 2017, 149, 1101–1108. [Google Scholar] [CrossRef]
- Capaccioni, B.; Caramiello, C.; Tatàno, F.; Viscione, A. Effects of a temporary HDPE cover on landfill gas emissions: Multiyear evaluation with the static chamber approach at an Italian landfill. Waste Manag. 2011, 31, 956–965. [Google Scholar] [CrossRef] [PubMed]
- Calabrò, P.S.; Fazzino, F.; Folino, A.; Scibetta, S.; Sidari, R. Improvement of semi-continuous anaerobic digestion of pre-treated orange peel waste by the combined use of zero valent iron and granular activated carbon. Biomass Bioenergy 2019, 129, 105337. [Google Scholar] [CrossRef]
- APHA; AWWA; WEF. Standard Methods for the Examination of Water and Wastewater, 22nd ed.; Rice, E.W., Baird, R.B., Eaton, A.D., Clesceri, L.S., Eds.; American Public Health Association, American Water Works Association, Water Environment Federation: Washington, DC, USA, 2012; ISBN 9780875530130. [Google Scholar]
- Calabro, P.S.; Panzera, M.F. Biomethane production tests on ensiled orange peel waste. Int. J. Heat Technol. 2017, 35, S130–S136. [Google Scholar] [CrossRef]
- Calabro’, P.S.; Folino, A.; Fazzino, F.; Komilis, D. Preliminary evaluation of the anaerobic biodegradability of three biobased materials used for the production of disposable plastics. J. Hazard. Mater. 2020, 390, 121653. [Google Scholar] [CrossRef]
- Buchauer, K. A comparison of two simple titration procedures to determine volatile fatty acids in influents to waste-water and sludge treatment processes. Water SA 1998, 24, 49–56. [Google Scholar]
- Liebetrau, J.; Pfeiffer, D.; Thrän, D. Collection of Methods for Biogas; Federal Ministry for Economic Affairs and Energy (BMWi): Berlin, Germany, 2016. [Google Scholar]
- Lopez, V.M.; De la Cruz, F.B.; Barlaz, M.A. Chemical composition and methane potential of commercial food wastes. Waste Manag. 2016, 56, 477–490. [Google Scholar] [CrossRef]
- Masebinu, S.O.; Akinlabi, E.T.; Muzenda, E.; Aboyade, A.O.; Mbohwa, C. Experimental and feasibility assessment of biogas production by anaerobic digestion of fruit and vegetable waste from Joburg Market. Waste Manag. 2018, 75, 236–250. [Google Scholar] [CrossRef]
- Forgács, G.; Pourbafrani, M.; Niklasson, C.; Taherzadeh, M.J.; Hováth, I.S.; Forgcs, G.; Pourbafrani, M.; Niklasson, C.; Taherzadeh, M.J.; Hováth, I.S. Methane production from citrus wastes: Process development and cost estimation. J. Chem. Technol. Biotechnol. 2012, 87, 250–255. [Google Scholar] [CrossRef]
- Wikandari, R.; Millati, R.; Cahyanto, M.N.; Taherzadeh, M.J. Biogas Production from Citrus Waste by Membrane Bioreactor. Membrane 2014, 4, 596–607. [Google Scholar] [CrossRef] [PubMed] [Green Version]
- Wang, Y.; Zhang, Y.; Wang, J.; Meng, L. Effects of volatile fatty acid concentrations on methane yield and methanogenic bacteria. Biomass Bioenergy 2009, 33, 848–853. [Google Scholar] [CrossRef]
- Parkin, G.F.; Owen, W.F. Fundamentals of Anaerobic Digestion of Wastewater Sludges. J. Environ. Eng. 1986, 112, 867–920. [Google Scholar] [CrossRef]
- Zhang, C.; Su, H.; Tan, T. Batch and semi-continuous anaerobic digestion of food waste in a dual solid-liquid system. Bioresour. Technol. 2013, 145, 10–16. [Google Scholar] [CrossRef]
- Ruffino, B.; Fiore, S.; Roati, C.; Campo, G.; Novarino, D.; Zanetti, M. Scale effect of anaerobic digestion tests in fed-batch and semi-continuous mode for the technical and economic feasibility of a full scale digester. Bioresour. Technol. 2015, 182, 302–313. [Google Scholar] [CrossRef] [PubMed]
- Browne, J.D.; Allen, E.; Murphy, J.D. Assessing the variability in biomethane production from the organic fraction of municipal solid waste in batch and continuous operation. Appl. Energy 2014, 128, 307–314. [Google Scholar] [CrossRef]



| Anchovy Sludge | Market Waste | Inoculum (Batch Tests) | Inoculum (Semi-Continuous t.) | |
|---|---|---|---|---|
| TS [%] | 20.1 | 19.4 | 3.9 | 3.1 |
| VS [%TS] | 66.7 | 93.3 | 66.6 | 66.7 |
| pH | 6.85 | 5.26 | 8.13 | 8.04 |
| C/N | 3.4 | 36.3 | - | - |
| d-limonene [g/g] | 0.125 1 0.160 2 | - | - | - |
| Substrate | Market Waste (MW) | Anchovy Sludge (AS) | Mix (95% MW + 5% AS) |
|---|---|---|---|
| pH | 8.1 | 8.1 | 8.1 |
| C/N | 36.31 | 3.41 | 24.73 |
| gVSsubstrate/gVSinoculum | 0.30 | 0.30 | 0.30 |
| TS [g] | 3.35 | 4.69 | 3.40 |
| TS at the beginning of the experiment | 3.17% | 3.39% | 3.18% |
| Reactor 1 | Reactor 2 | Reactor 3 | Reactor 4 | |
|---|---|---|---|---|
| Reinoculation (end of start-up phase) | YES | YES | NO | YES |
| Loading (regime phase) [gVS·L−1·day−1] | 1 | 0.5 | 1 | 0.5 |
| Market Waste (TS basis) | 100% | 100% | 95% | 95% |
| Anchovy Sludge (TS basis) | - | - | 5% | 5% |
| C/N substrate | 36.3 | 36.3 | 24.7 | 24.7 |
| Substrate addition [g·d−1] (regime phase) | 10.00 | 5.00 | 10.10 | 5.05 |
| Expected regime d-limonene conc. [mg·L−1] | - | - | 680 1 870 2 | 340 1 436 2 |
| Addition of GAC—10 g·L−1 (days) | - | - | 74–83 | - |
| Market Waste | Anchovy Sludge | Mix (Market w. + Anch. Sludge) | |
|---|---|---|---|
| pH | 7.6 ± 0.00 | 7.6 ± 0.06 | 7.5 ± 0.01 |
| COD [mg/L] | 7008 ± 398 | 11470 ± 130 | 7073 ± 385 |
| ammonium ion [mg/L] | 1435 ± 60 | 1861 ± 61 | 1411 ± 39 |
| chloride [mg/L] | 1280 ± 93 | 1563 ± 105 | 1363 ± 274 |
| VFA [mg/L] | 550 ± 156 | 3662 ± 69 | 651 ± 129 |
| FOS/TAC | 0.11 ± 0.03 | 0.4 ± 0.02 | 0.12 ± 0.02 |
Publisher’s Note: MDPI stays neutral with regard to jurisdictional claims in published maps and institutional affiliations. |
© 2021 by the authors. Licensee MDPI, Basel, Switzerland. This article is an open access article distributed under the terms and conditions of the Creative Commons Attribution (CC BY) license (https://creativecommons.org/licenses/by/4.0/).
Share and Cite
Fazzino, F.; Paone, E.; Pedullà, A.; Mauriello, F.; Calabrò, P.S. A New Biorefinery Approach for the Full Valorisation of Anchovy Residues: Use of the Sludge Generated during the Extraction of Fish Oil as a Nitrogen Supplement in Anaerobic Digestion. Appl. Sci. 2021, 11, 10163. https://doi.org/10.3390/app112110163
Fazzino F, Paone E, Pedullà A, Mauriello F, Calabrò PS. A New Biorefinery Approach for the Full Valorisation of Anchovy Residues: Use of the Sludge Generated during the Extraction of Fish Oil as a Nitrogen Supplement in Anaerobic Digestion. Applied Sciences. 2021; 11(21):10163. https://doi.org/10.3390/app112110163
Chicago/Turabian StyleFazzino, Filippo, Emilia Paone, Altea Pedullà, Francesco Mauriello, and Paolo S. Calabrò. 2021. "A New Biorefinery Approach for the Full Valorisation of Anchovy Residues: Use of the Sludge Generated during the Extraction of Fish Oil as a Nitrogen Supplement in Anaerobic Digestion" Applied Sciences 11, no. 21: 10163. https://doi.org/10.3390/app112110163
APA StyleFazzino, F., Paone, E., Pedullà, A., Mauriello, F., & Calabrò, P. S. (2021). A New Biorefinery Approach for the Full Valorisation of Anchovy Residues: Use of the Sludge Generated during the Extraction of Fish Oil as a Nitrogen Supplement in Anaerobic Digestion. Applied Sciences, 11(21), 10163. https://doi.org/10.3390/app112110163

