Featured Application
The biorefinery scheme proposed in this paper is almost ready for scaling up and can potentially be applied to every industrial chain involved in the preservation of fish fillets (e.g., anchovies, tuna, and salmon). This is an alternative to the current policy of making fish flour from fish remainders.
Abstract
Several anchovies species are captured all over the world; they are consumed fresh but also preserved by the industry, either by brine-fermentation or canning in oil. The industrial process generates large amounts of residue (about 50% of the original fish biomass) that is generally used to produce fish flour. In this paper, the advancement of a recently proposed process for the full valorisation of anchovies aimed at the extraction of fish oil (to be used as an omega-3 source) and at the production of biomethane through anaerobic digestion is presented. Particularly, in the experiments presented, a co-digestion of anchovy sludge—used as a nitrogen supplement—and market waste (5% and 95% on a Total Solids basis) was performed. Since the proposed extraction process uses, as a green-solvent, d-limonene, the well-known problems of toxicity for the anaerobic biomass must be overcome during the digestion process. As discussed below, the granular activated carbon (GAC) is used to reclaim and improve anaerobic digestion processes in a reactor displaying clear signs of inhibition. In fact, GAC demonstrates multiple benefits for anaerobic digestion, such as adsorption of toxic substances, biomass selection, and triggering of direct interspecies electron transfer (DIET).
1. Introduction
In the last decade, in developed countries, the industrial practice shifted from the mere management of biomass constituted by industrial residues, by-products, and waste to their full valorisation according to biorefinery schemes. While at the turn of the millennium, in most countries, the correct landfilling of waste was considered a fully acceptable practice, nowadays the full implementation of a circular economy demands a complete valorisation of every raw material, and especially for those of biological origin [1]. A giant step in the right direction has been the adoption by the EU of the “Circular Economy Action Plan” [2] that is destined to shape, over the next decades, the European economy towards a “cleaner and more competitive future”.
In many industrial chains, applied research has allowed the potential complete valorisation of several feedstocks (e.g., orange [3,4], avocado [5], and lignocellulosic biomass [6,7]).
One of the most interesting ways to implement the circular economy approach is the “blue economy”, a paradigm founded on the sustainable exploitation of marine resources that allow the preservation of the marine environment, conceived as one of the key factors of global prosperity [8].
As an example of a “blue economy” process, this paper aims to demonstrate, at the laboratory level, the potential of a biorefinery scheme applied to anchovies.
Several anchovies species are captured by fisheries all over the world; according to official data [9] in the decade 2010–2019, the capture ranged between 5.5 and 11 million tonnes per year.
In addition to the direct consumption as fresh fish, anchovies are transformed either by brine-fermentation or canning (preserved in oil). These processes cause the loss, as residues (heads, viscera, and spines), of about 50% of the original fish biomass. In the conventional industrial processes, these residues are not lost but used to produce fishmeal destined for indirect human consumption (e.g., aquaculture) and, more rarely, fish oil [10,11]. Indeed, omega-3 production still strongly depends on fish oil extraction of fresh fish (especially anchovies and sardines), so much that it is competing with its aforementioned direct human consumption [12].
In this paper, the advancement of a recently proposed process [13] for the full valorisation of anchovies aimed at the extraction of fish oil (to be used as an omega-3 source) by their residues and the production of biomethane through anaerobic digestion is presented (Figure 1). The produced biomethane can be converted to energy by very efficient combined heat and power schemes, allowing not only to cover the energy demand of the process itself but also to sell surplus energy.
Figure 1.
Biorefinery scheme for the full valorisation of anchovy waste.
The proposed extraction process uses, as a green-solvent, d-limonene, namely a widely available by-product of the citrus industry [3]. As a by-product, an anchovy sludge (AS) is obtained in considerable amount (97% w/w of the total residue quantity) [10]. AS is expected to be rich in d-limonene and poor in nutrient elements after oil extraction and, thus, unsuitable for animal feeding or other similar forms of valorisation.
The advancement proposed and presented in this paper is the evaluation of the potential of by-products derived from fish oil extraction (AS), to produce biomethane by anaerobic digestion, both by batch and by semi-continuous experiments without any previous pre-treatment. In particular, semi-continuous experiments afford for a preliminary optimization of the process, solving, at least partially, two of the problems linked to the use of AS a substrate for anaerobic digestion: the high presence of d-limonene (whose inhibition capacity during anaerobic digestion is well known [14,15]) and the unbalanced C/N ratio.
As discussed below, granular activated carbon (GAC) was used to reclaim and improve the anaerobic digestion processes in a reactor showing clear signs of inhibition. In fact, GAC demonstrated multiple benefits for anaerobic digestion, such as adsorption of toxic substances, triggering direct interspecies electron transfer (DIET) [15,16,17,18,19,20,21].
2. Materials and Methods
2.1. Fish Oil Extraction Process
After the homogenization of anchovy residues (300 g) by a blender is carried out, they are mixed with a first aliquot of d-limonene (150 g) refrigerated at 4 °C. The so-obtained semi-solid slurry is added to a second aliquot of cold d-limonene (150 g) into a glass beaker sealed with aluminium foil and further coated with parafilm. The mixture is then magnetically stirred at 700 rpm for 24 h at room temperature, with the fish oil obtained by rotavaporing the supernatant at 90 °C (pressure: 40 mbar). The by-product of the process is anchovy sludge (AS), still rich in d-limonene.
2.2. Substrates and Inoculum Characterisation
The main substrate used in the experiments was the AS derived from fish oil extraction. A co-substrate mimicking fruit and vegetable market waste (MW), and composed of 49.0% w/w of potatoes, 44.4% w/w of apples, and 6.6% w/w of carrots, was also used. Both substrates were characterized by measuring the total and volatile solids, pH, and carbon to nitrogen ratio (C/N), while d-limonene content was determined only in the AS. Total and volatile solids and pH were evaluated according to standard methods [22], the C/N was measured using an elemental analyser TOC-LCSH (Shimadzu; Kyoto, Japan) while the analysis of the residual d-limonene, present in the substrate, was carried out according to the analytical procedure previously reported [15], by mixing 0.3 g of AS with 3 mL of a toluene solution (as an internal standard) in cyclohexane (0.1 M) for 6 h. The liquid suspension was then filtered and injected into an offline GC-FID (Agilent 6890 N) equipped with a CP-WAX 52CB column (60 m, i.d. 0.53 mm).
The inoculum used in batch and semi-continuous experiments was a digestate coming from previous experiments. It was characterized by measuring total and volatile solids and pH evaluated according to standard methods [22]. Table 1 reports the main characteristics of substrates and inocula.
Table 1.
Substrates and inocula characteristics.
2.3. Biomethane Potential (BMP) Tests
BMP tests (Table 2) were performed in triplicate under mesophilic conditions using a self-developed method [23,24], basically compliant with UNI/TS 11703:2018 (the Italian standard procedure for BMP tests). Tests were performed using glass bottles (1.1 L volume) placed in a thermostatic cabinet at 35 ± 0.5 °C and mixed by using a magnetic stirrer. The inoculum was mixed with the substrate (substrate to inoculum ratio in terms of vs. was set equal to 0.3) and nutrient solutions (prepared and dosed according to UNI/TS 11703:2018).
Table 2.
BMP design of experiments.
BMP tests were performed to evaluate the potential methane production from AS, MW, and from a mixture of both. The mixture was prepared with the aim to obtain a C/N in the substrate equal to 25, which can be considered a well-balanced value. To obtain the desired C/N, a proportion of 1:19 (5–95) on the TS basis of AS and MW, respectively, was necessary.
In addition to BMP bottles, blanks (containing inoculum and a nutrients solution, used to assess a non-specific biomethane production) and cellulose-fed reactors (used as control) were also prepared. About three times per week, the biogas produced was transferred in a bottle filled with a NaOH solution (3M) for CO2 adsorption, and the methane amount in the produced biogas was then measured by an eudiometer (a water displacement method). The pH was measured at the beginning of the tests, while TS, VS, COD, ammonium ion and chloride concentration, VFAs, and FOS/TAC were measured at the end of them. VFAs and FOS/TAC allow verification of the stability of the digestion process since, when a high level of them is registered or when they tend to increase over time, an unbalance of the process, due to an overloading or an inhibition of the methanogenesis, is possible [25,26]. TS, VS, and pH were measured using standard methods [22]; COD, ammonium ion, and chloride concentration were evaluated thanks to a photometric method (Photometer WTW Photolab S12 and appropriate pre-dosed cuvettes), whereas VFAs were determined through a three-point titration method, and then the FOS/TAC was calculated [25,26].
2.4. Semi-Continuous Experiments
Semi-continuous experiments were carried out with the aim to reproduce more precisely, at a laboratory scale, the digestion process. A Bioprocess Control Bioreactor simulator system equipped with 4 continuously stirred tank reactors (glass, working volume 1.8 L) placed in a thermostatic water bath (set at an operating temperature of 35 °C) was used. This system allows the feeding and discharge of the reactors and the measurement of the produced biomethane by a patented system based on water/gas displacement. The hydraulic retention time was set equal to 20 days, while the organic loading rate, initially set at 2.0 gVS·L−1·day−1 during the start-up (days 0–38), was reduced before the beginning of the regime phase (days 39–83—more than 2·HRT), since a severe overloading was evident in all the reactors. In order to accelerate the recovery of the reactors, the supplementation of new inoculum was also necessary in some experiments and, for this reason, only data recorded in the regime phase are presented and discussed. The reactors were fed three times per week; the pH was measured during each feeding/discharge and NaHCO3 was added if the measure value was <6.7.
A composite weekly sample was prepared for analyses of TS, VS, COD, ammonium ion concentration, VFAs, and FOS/TAC using the same methods mentioned for batch tests. During the operation, due to the change of the AS and to the subsequent increase of the d-limonene, signs of inhibition of the process were evident. For this reason, as already mentioned, 10 g∙L−1 of granular activated carbon (CARBOSORB 2040, 20 × 40 mesh; Comelt srl, Milan, Italy) were added in reactor 3; this concentration was then kept constant until the end of the test. The test was stopped after 83 days due to the unavailability of the lab for the following weeks due to reasons independent of the will of the authors. Table 3 summarizes the main characteristics of the reactors during the regime phase (days 39–83).
Table 3.
Semi-continuous experiments.
3. Results and Discussion
3.1. BMP Tests
Methane production during the BMP test was regular for batches fed with the MW or the mixture between the former and AS (Figure 2 and Table 4). Final BMP values were very similar: 421 ± 13 NmL·gVS−1 for MW and 420 ± 23 NmL·gVS−1 for the mixture respectively; the very low standard deviation witnesses the uniformity of the production among batches. Moreover, results confirm those reported in the scientific literature for similar substrates [27,28], corroborating that MW is an excellent substrate for anaerobic digestion. Notably, due to the supply of nitrogen from the inoculum, the benefit of optimizing the C/N ration by adding the AS is not evident in batch tests.
Figure 2.
Methane cumulative production during BMP tests.
Table 4.
Analyses of digestate from BMP experiments.
The results relative to batches fed uniquely with AS are completely different, even if the difference was expected. At the end of the experiment, their production was, on average, lower than that of the blank (inoculum); in this case, the standard deviation was also very limited, thus confirming the consistency of the results. The most likely reason for the observed behaviour is due to the presence of d-limonene in the substrate. In fact, the initial concentration of the latter at the beginning of the experiment was of about 4870 mg·L−1 and therefore well above the level severely inhibiting anaerobic digestion [14].
The analyses on digestate at the end of the experiments (Table 4) further confirm these trends: while the reactors fed with MW and with the mixture perform similarly (and similarly to the positive control fed with cellulose data; not shown) in terms of residual COD, ammonium ion and chloride concentration, and VFA, the batches fed with AS only present a higher residual COD (+63%) and a high concentration of VFA (+510%). The latter indicates that the conversion of the substrate to VFA occurs, but the high concentration of d-limonene severely affects the methanogens, triggering the accumulation of VFA up to toxic values [29,30,31]. The results of the batch tests indicate that AS, even in the presence of quite high amounts of d-limonene, is potentially a good substrate for co-digestion with carbonaceous feedstocks.
3.2. Semi-Continuous Experiments
In the initial part of the regime phase (Figure 3b), methane production seems to be linked only to the applied organic loading. In fact, reactors 1 and 3, and 2 and 4, respectively, behave similarly. This behaviour was confirmed for reactors 2 and 4 (low loading) until the end of the experiment, while reactors 1 and 3 present a different production pattern. Reactor 1 and 3’s productions slowed gradually since about day 60 for the latter; this tendency was more pronounced, but a sudden recovery was also evident from about day 75 of the total operation.
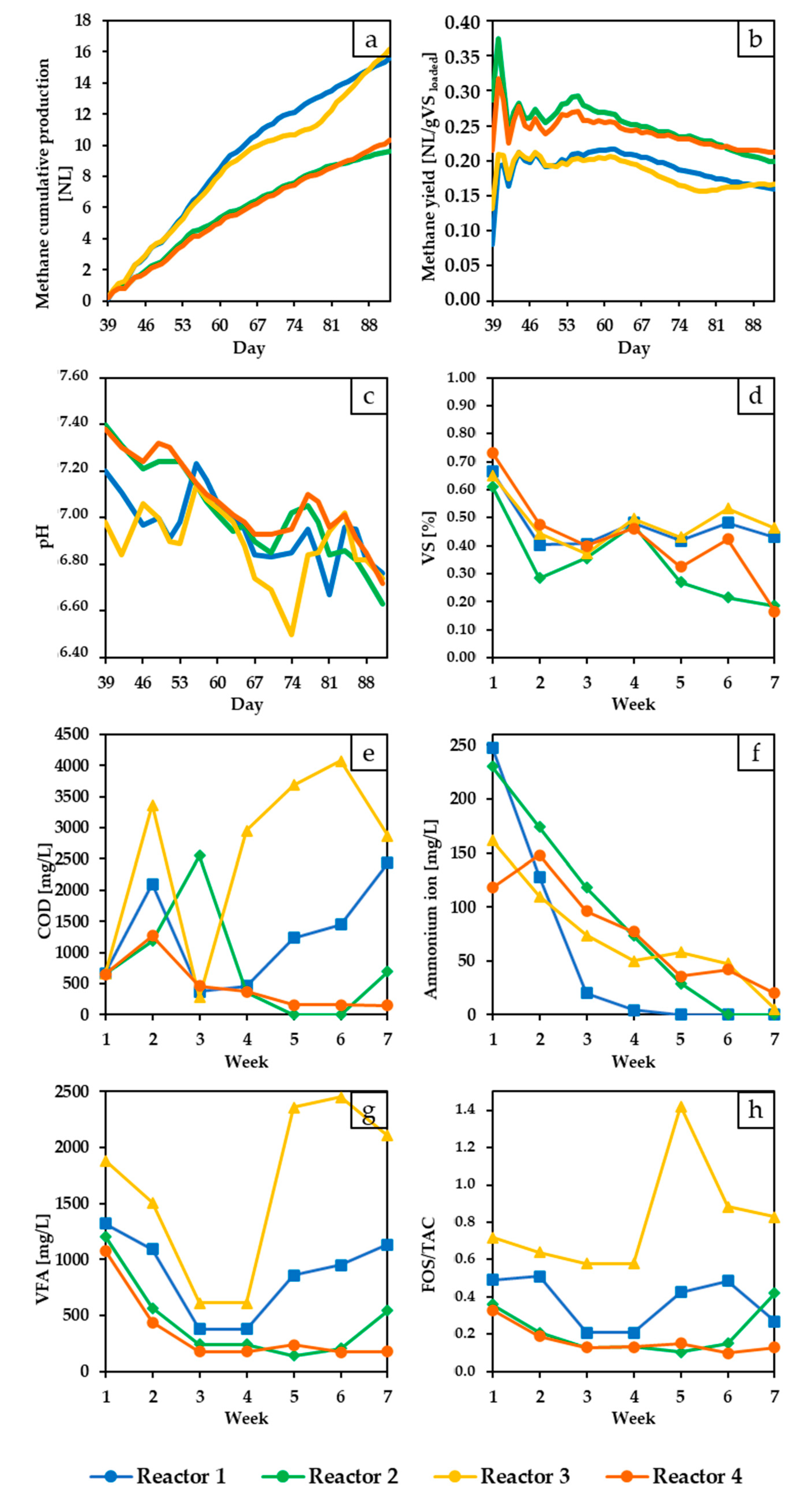
Figure 3.
Semi-continuous experiments results: (a) methane cumulative production, (b) methane yield, (c) pH, (d) volatile solids, (e) COD, (f) ammonium ion, (g) VFA, and (h) FOS/TAC.
For the first 20 days of regime phase (1·HRT) the average yield (Figure 3b) was similar for reactors 1 and 3, and 2 and 4, respectively; it was equal to about 0.2 NL·gVSadded−1 for reactors 1 and 3 and to about 0.25 NL·gVSadded−1 for reactors 2 and 4, respectively. Then a continuous decrease was evident for reactor 1 that reached a value of about 0.17 NL·gVSadded−1 in the last days of the experiment. On the contrary, after a sharper decrease until day 75, first stabilization and then a slight increase was registered; in the last days of operation the yield of reactor 3 surpassed that of reactor 1.
pH (Figure 3c) in all reactors during the regime phase was close to 7, seldom needing NaHCO3 addition to increase the buffering capacity. A marked tendency toward a reduction is evident in reactor 3 after the beginning of the feeding of the new sludge.
TS (data not displayed) and VS concentrations (Figure 3d) were stable during the regime phase; TS were slightly higher for reactors 1 and 3 (loading 1 gVS·L−1·day−1).
The COD concentration (Figure 3e), except for a few spikes (e.g., week 9—reactor 2), is quite low when the process is stable and tends to increase when the process is inhibited (reactors 1 and 4, since weeks 9–10).
The ammonium ion concentration (Figure 3f) displays a tendency to decrease, and reaches very low values (it is practically absent) in reactor 1 since week 4 of operation and in reactor 2 since week 6.
The VFA concentration and FOS/TAC (Figure 3g,h) are two important process stability indicators, they are conveniently low for reactors 2 and 4, while they display a tendency to increase since week 10 for reactors 1 and 3. In reactor 3, after the beginning of GAC addition, VFA suddenly decreases and the FOS/TAC stabilizes.
It is worth pointing out that the reactors during the start-up phase, as mentioned above, suffered from a severe overloading that, however, did not seem to influence significantly the regime phase, indicating a good recovery. The fact that differences among reactors operating at the same loading, although using different substrates (either MW only or a mix between this and AS), were not detected during the initial regime phase can be attributed to two main factors: (i) the supply of nitrogen in reactors 1 and 2 (fed only with MW) was linked to reinoculation (see Table 2), operating to re-establish the process after the already mentioned overloading, and (ii) the adaptation to d-limonene during the start-up phase of the microbial population of reactor 3 (the one with the highest d-limonene loading, as reported in Table 2) was the only one not needing reinoculation.
The reasons for the reduction of the methane production after about 1∙HRT in the regime phase in reactors 1 and 3 can be attributed to two different factors. For reactor 1, the reduction of nitrogen below tolerable limits is evident (see Figure 3f) and this supports the idea that C/N optimization is essential for stable anaerobic digestion. Indeed, adequate nitrogen presence in digesters must be ensured since it is involved in the fundamental activities of microbial metabolism (synthesis of proteins, enzymes, ribonucleic acid (RNA), and deoxyribonucleic (DNA)) [32]. Thus, the lack of nitrogen could have affected the anaerobic bacteria’s metabolism, eventually causing process failure.
For reactor 3, besides the nitrogen reduction also detected in this case, the feeding of the new AS (see Table 2) most probably increases the d-limonene concentration up to intolerable levels and triggers an inhibition of the methanogenesis, as the sharp increase in VFA concentration and in FOS/TAC and the significant pH reduction both witness. The supplementation of GAC (10 g·L−1) since day 74 and until the end of the experiment causes an almost immediate recovery of the reactor, with a sharp increase in methane production since day 77 and until the end of the experiment. These results confirm previous research [15,21] on the potential of this material in sustaining the anaerobic digestion of d-limonene containing substrates. Also, if the experiment, as already mentioned, was forcedly terminated after about 10 days since the beginning of the GAC addition, its effect on the process stabilization (probably mainly linked to the adsorption of d-limonene) are evident. It is interesting to note that in reactor 4, with a potential d-limonene concentration close to 450 mg·L−1, the process does not demonstrate signs of disruption, confirming the potential of the microbial community to adapt to d-limonene and therefore the importance of an optimized loading when using AS for the co-digestion with a carbonaceous substrate. This optimization should aim to slowly increase the quantity fed to the reactor to keep the d-limonene concentration at a tolerable level. On the other hand, two other factors are very important and worth noting: (i) optimization of the recovery of d-limonene during the extraction of the fish oil would be beneficial for the entire biorefinery scheme, and (ii) GAC is confirmed as a powerful additive in the anaerobic digestion of substrates containing d-limonene.
The yield of the process was lower than expected, compared to the BMP value for the co-digestion of MW and AS (420 ± 23 NmL·gVS−1) with respect to batch tests; the reduction is evident and in the order of 40% for the low loaded reactors and 50% for the others. Furthermore, this reaction is more pronounced than the 10–30% often reported in the scientific literature for batch and semi-continuous tests on the same substrate [33,34,35]. Since only reactors also fed with MW display similar behaviour, this situation is most probably attributable more to the imperfect start-up of the reactors than to the use of AS a co-substrate.
4. Conclusions
This paper demonstrates the potential suitability of AS a co-substrate for the anaerobic digestion of mainly carbonaceous feedstocks. However, the presence of d-limonene is an issue that requires proper countermeasures; the first is the optimization of the oil extraction process to reduce the residual of the solvent present in AS. In addition, the results presented here, although preliminary, demonstrate how proper adaptation and the supplementation of GAC during anaerobic digestion can improve tolerance to d-limonene.
Author Contributions
Conceptualization, F.M. and P.S.C.; methodology, F.F., F.M., E.P., A.P. and P.S.C.; investigation, F.F., E.P. and A.P.; resources, F.M. and P.S.C.; writing—original draft preparation, F.F., F.M., E.P., A.P. and P.S.C.; writing—review and editing, F.F., F.M., E.P., A.P. and P.S.C.; visualization, F.F., E.P. and A.P.; supervision, F.M. and P.S.C. All authors have read and agreed to the published version of the manuscript.
Funding
This research received no external funding.
Data Availability Statement
The data presented in this study are available from the corresponding author upon request. The data are not publicly available due to the fact that the research is still ongoing and a patent could be requested.
Acknowledgments
The authors sincerely thank Daniela Pizzone for the preparation of anchovy residues. This work is dedicated to R. Pietropaolo, in honour of his 80th birthday.
Conflicts of Interest
The authors declare no conflict of interest.
References
- Ellen MacArthur Foundation Universal Circular Economy Policy Goals: Enabling the Transition to Scale. Available online: https://www.ellenmacarthurfoundation.org/publications/universal-circular-economy-policy-goals-enabling-the-transition-to-scale (accessed on 27 July 2021).
- European Commission. Circular Economy Action Plan; European Commission: Brussels, Belgium, 2020; p. 28. [Google Scholar] [CrossRef]
- Zema, D.A.; Calabrò, P.S.; Folino, A.; Tamburino, V.; Zappia, G.; Zimbone, S.M. Valorisation of citrus processing waste: A review. Waste Manag. 2018, 80, 252–273. [Google Scholar] [CrossRef]
- Fazzino, F.; Mauriello, F.; Paone, E.; Sidari, R.; Calabrò, P.S. Integral valorization of orange peel waste through optimized ensiling: Lactic acid and bioethanol production. Chemosphere 2021, 271, 129602. [Google Scholar] [CrossRef] [PubMed]
- García-Vargas, M.C.; Contreras, M.d.M.; Castro, E. Avocado-Derived Biomass as a Source of Bioenergy and Bioproducts. Appl. Sci. 2020, 10, 8195. [Google Scholar] [CrossRef]
- Câmara-Salim, I.; Conde, P.; Feijoo, G.; Moreira, M.T. The use of maize stover and sugar beet pulp as feedstocks in industrial fermentation plants—An economic and environmental perspective. Clean. Environ. Syst. 2021, 2, 100005. [Google Scholar] [CrossRef]
- Rajesh Banu, J.; Preethi; Kavitha, S.; Tyagi, V.K.; Gunasekaran, M.; Karthikeyan, O.P.; Kumar, G. Lignocellulosic biomass based biorefinery: A successful platform towards circular bioeconomy. Fuel 2021, 302, 121086. [Google Scholar] [CrossRef]
- The Blue Economy—Home. Available online: https://www.theblueeconomy.org/ (accessed on 27 July 2021).
- FAO. FAO Fisheries & Aquaculture—Fishery Statistical Collections—Global Capture Production. Available online: https://www.fao.org/fishery/statistics/global-capture-production/en (accessed on 24 October 2021).
- Laso, J.; Margallo, M.; Serrano, M.; Vázquez-Rowe, I.; Avadí, A.; Fullana, P.; Bala, A.; Gazulla, C.; Irabien, Á.; Aldaco, R. Introducing the Green Protein Footprint method as an understandable measure of the environmental cost of anchovy consumption. Sci. Total Environ. 2018, 621, 40–53. [Google Scholar] [CrossRef]
- Laso, J.; Margallo, M.; Celaya, J.; Fullana, P.; Bala, A.; Gazulla, C.; Irabien, A.; Aldaco, R. Waste management under a life cycle approach as a tool for a circular economy in the canned anchovy industry. Waste Manag. Res. 2016, 34, 724–733. [Google Scholar] [CrossRef]
- Shepherd, C.J.; Jackson, A.J. Global fishmeal and fish-oil supply: Inputs, outputs and marketsa. J. Fish. Biol. 2013, 83, 1046–1066. [Google Scholar] [CrossRef]
- Paone, E.; Fazzino, F.; Pizzone, D.M.; Scurria, A.; Pagliaro, M.; Ciriminna, R.; Calabrò, P.S. Towards the anchovy biorefinery: Biogas production from anchovy processing waste after fish oil extraction with biobased Limonene. Sustainability 2021, 13, 2428. [Google Scholar] [CrossRef]
- Ruiz, B.; Flotats, X. Citrus essential oils and their influence on the anaerobic digestion process: An overview. Waste Manag. 2014, 34, 2063–2079. [Google Scholar] [CrossRef] [PubMed]
- Calabrò, P.S.; Fazzino, F.; Folino, A.; Paone, E.; Komilis, D. Semi-Continuous Anaerobic Digestion of Orange Peel Waste: Effect of Activated Carbon Addition and Alkaline Pretreatment on the Process. Sustainability 2019, 11, 3386. [Google Scholar] [CrossRef] [Green Version]
- Wu, Y.; Wang, S.; Liang, D.; Li, N. Conductive materials in anaerobic digestion: From mechanism to application. Bioresour. Technol. 2020, 298, 122403. [Google Scholar] [CrossRef]
- Pan, C.; Fu, X.; Lu, W.; Ye, R.; Guo, H.; Wang, H.; Chusov, A. Effects of conductive carbon materials on dry anaerobic digestion of sewage sludge: Process and mechanism. J. Hazard. Mater. 2020, 384, 121339. [Google Scholar] [CrossRef] [PubMed]
- Baek, G.; Kim, J.J.; Kim, J.J.; Lee, C. Role and potential of direct interspecies electron transfer in anaerobic digestion. Energies 2018, 11, 107. [Google Scholar] [CrossRef] [Green Version]
- Yang, Y.; Zhang, Y.; Li, Z.; Zhao, Z.; Quan, X.; Zhao, Z. Adding granular activated carbon into anaerobic sludge digestion to promote methane production and sludge decomposition. J. Clean. Prod. 2017, 149, 1101–1108. [Google Scholar] [CrossRef]
- Capaccioni, B.; Caramiello, C.; Tatàno, F.; Viscione, A. Effects of a temporary HDPE cover on landfill gas emissions: Multiyear evaluation with the static chamber approach at an Italian landfill. Waste Manag. 2011, 31, 956–965. [Google Scholar] [CrossRef] [PubMed]
- Calabrò, P.S.; Fazzino, F.; Folino, A.; Scibetta, S.; Sidari, R. Improvement of semi-continuous anaerobic digestion of pre-treated orange peel waste by the combined use of zero valent iron and granular activated carbon. Biomass Bioenergy 2019, 129, 105337. [Google Scholar] [CrossRef]
- APHA; AWWA; WEF. Standard Methods for the Examination of Water and Wastewater, 22nd ed.; Rice, E.W., Baird, R.B., Eaton, A.D., Clesceri, L.S., Eds.; American Public Health Association, American Water Works Association, Water Environment Federation: Washington, DC, USA, 2012; ISBN 9780875530130. [Google Scholar]
- Calabro, P.S.; Panzera, M.F. Biomethane production tests on ensiled orange peel waste. Int. J. Heat Technol. 2017, 35, S130–S136. [Google Scholar] [CrossRef]
- Calabro’, P.S.; Folino, A.; Fazzino, F.; Komilis, D. Preliminary evaluation of the anaerobic biodegradability of three biobased materials used for the production of disposable plastics. J. Hazard. Mater. 2020, 390, 121653. [Google Scholar] [CrossRef]
- Buchauer, K. A comparison of two simple titration procedures to determine volatile fatty acids in influents to waste-water and sludge treatment processes. Water SA 1998, 24, 49–56. [Google Scholar]
- Liebetrau, J.; Pfeiffer, D.; Thrän, D. Collection of Methods for Biogas; Federal Ministry for Economic Affairs and Energy (BMWi): Berlin, Germany, 2016. [Google Scholar]
- Lopez, V.M.; De la Cruz, F.B.; Barlaz, M.A. Chemical composition and methane potential of commercial food wastes. Waste Manag. 2016, 56, 477–490. [Google Scholar] [CrossRef]
- Masebinu, S.O.; Akinlabi, E.T.; Muzenda, E.; Aboyade, A.O.; Mbohwa, C. Experimental and feasibility assessment of biogas production by anaerobic digestion of fruit and vegetable waste from Joburg Market. Waste Manag. 2018, 75, 236–250. [Google Scholar] [CrossRef]
- Forgács, G.; Pourbafrani, M.; Niklasson, C.; Taherzadeh, M.J.; Hováth, I.S.; Forgcs, G.; Pourbafrani, M.; Niklasson, C.; Taherzadeh, M.J.; Hováth, I.S. Methane production from citrus wastes: Process development and cost estimation. J. Chem. Technol. Biotechnol. 2012, 87, 250–255. [Google Scholar] [CrossRef]
- Wikandari, R.; Millati, R.; Cahyanto, M.N.; Taherzadeh, M.J. Biogas Production from Citrus Waste by Membrane Bioreactor. Membrane 2014, 4, 596–607. [Google Scholar] [CrossRef] [PubMed] [Green Version]
- Wang, Y.; Zhang, Y.; Wang, J.; Meng, L. Effects of volatile fatty acid concentrations on methane yield and methanogenic bacteria. Biomass Bioenergy 2009, 33, 848–853. [Google Scholar] [CrossRef]
- Parkin, G.F.; Owen, W.F. Fundamentals of Anaerobic Digestion of Wastewater Sludges. J. Environ. Eng. 1986, 112, 867–920. [Google Scholar] [CrossRef]
- Zhang, C.; Su, H.; Tan, T. Batch and semi-continuous anaerobic digestion of food waste in a dual solid-liquid system. Bioresour. Technol. 2013, 145, 10–16. [Google Scholar] [CrossRef]
- Ruffino, B.; Fiore, S.; Roati, C.; Campo, G.; Novarino, D.; Zanetti, M. Scale effect of anaerobic digestion tests in fed-batch and semi-continuous mode for the technical and economic feasibility of a full scale digester. Bioresour. Technol. 2015, 182, 302–313. [Google Scholar] [CrossRef] [PubMed]
- Browne, J.D.; Allen, E.; Murphy, J.D. Assessing the variability in biomethane production from the organic fraction of municipal solid waste in batch and continuous operation. Appl. Energy 2014, 128, 307–314. [Google Scholar] [CrossRef]
Publisher’s Note: MDPI stays neutral with regard to jurisdictional claims in published maps and institutional affiliations. |
© 2021 by the authors. Licensee MDPI, Basel, Switzerland. This article is an open access article distributed under the terms and conditions of the Creative Commons Attribution (CC BY) license (https://creativecommons.org/licenses/by/4.0/).


