Adjustment of Terahertz Properties Assigned to the First Lowest Transition of (D+, X) Excitonic Complex in a Single Spherical Quantum Dot Using Temperature and Pressure
Abstract
:1. Introduction
2. Background Theory
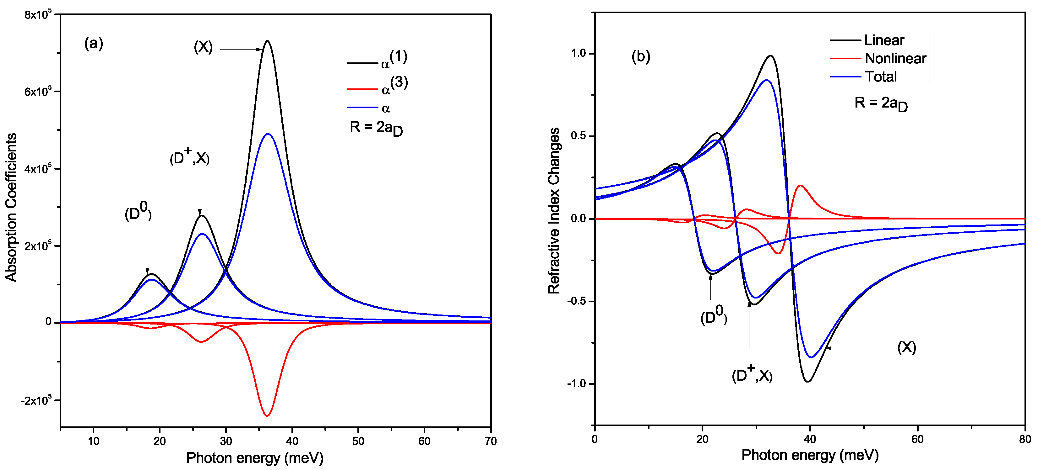
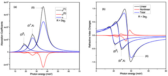
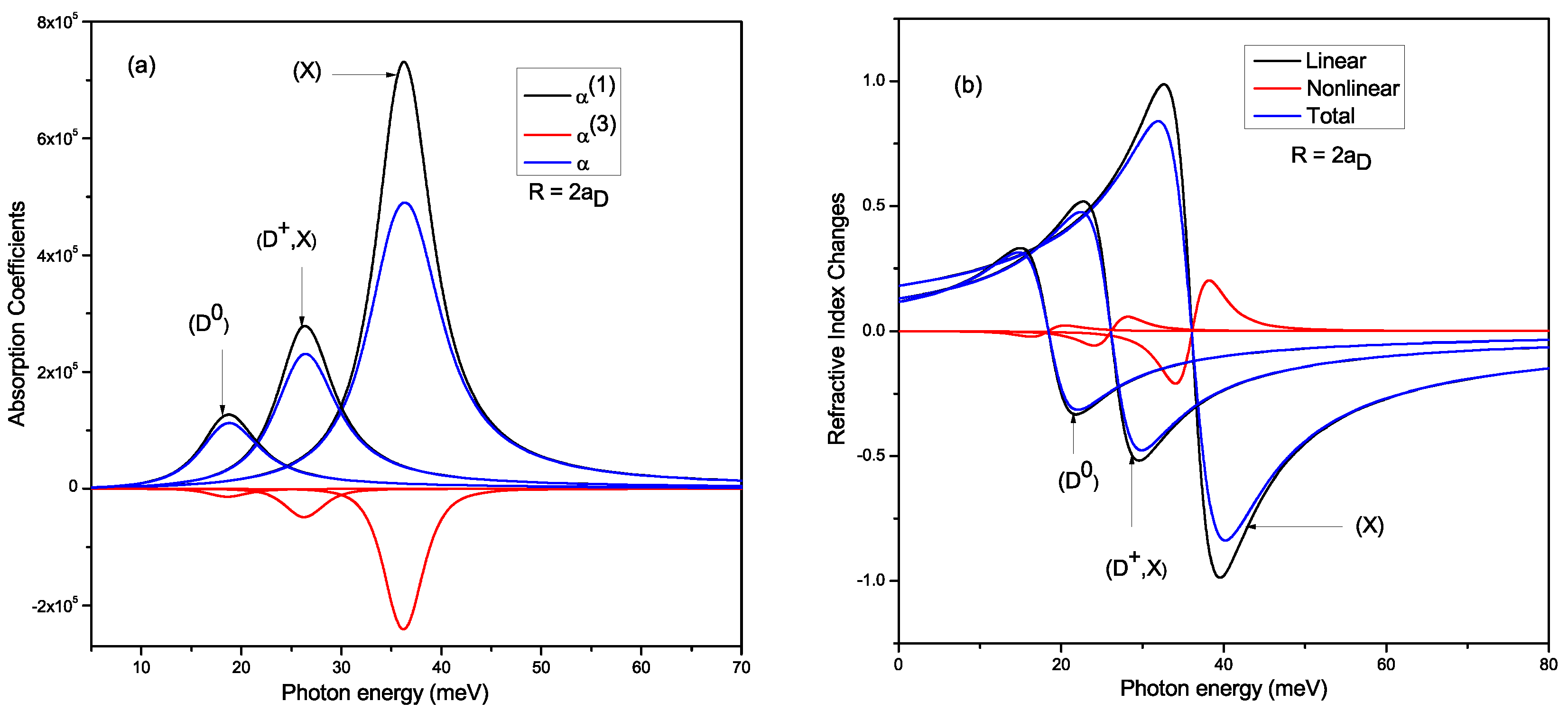
3. Results and Discussions
4. Conclusions
Author Contributions
Funding
Data Availability Statement
Conflicts of Interest
References
- Bimberg, D.; Grundmann, M.; Ledentsov, N.N. Quantum Dot Heterostructures; Wiley: Chichester, UK; New York, NY, USA, 1999. [Google Scholar]
- Schmid, G. Nanoparticles: From Theory to Applications; Günter Schmid; Wiley VCH Verlag GmbH & Co. KGaA: Weinheim, Germany, 2010. [Google Scholar]
- El Fatimy, A.; Myers-Ward, R.L.; Boyd, A.K.; Daniels, K.M.; Gaskill, D.K.; Barbara, P. Epitaxial graphene quantum dots for high-performance terahertz bolometers. Nat. Nanotech. 2016, 11, 335–338. [Google Scholar] [CrossRef] [Green Version]
- Streetman, B.; Banerjee, S. Solid State Electronic Devices, 6th ed.; University of Texas: Austin, TX, USA, 2009. [Google Scholar]
- Lampert, M.A. Mobile and Immobile Effective-Mass-Particle Complexes in Nonmetallic Solids. Phys. Rev. Lett. 1958, 1, 450–453. [Google Scholar] [CrossRef]
- Skettrup, T.; Suffczynski, M.; Gorzkowski, W. Properties of Excitons Bound to Ionized Donors. Phys. Rev. B 1971, 4, 512–517. [Google Scholar] [CrossRef] [Green Version]
- Stauffer, L.; Stébé, B. Binding energy of ionized-donor-bound excitons in two-dimensional semiconductors. Phys. Rev. B 1989, 39, 5345–5348. [Google Scholar] [CrossRef] [PubMed]
- Stébé, B.; Stauffer, L. Ground state energy of an exciton bound to an ionized donor impurity in two dimensional semiconductors. Superlattices Microstruct. 1989, 5, 451–453. [Google Scholar] [CrossRef]
- Stauffer, L.; and Stébé, B. Ground state energy of an exciton bound to an ionized donor impurity in semiconductor quantum wells. Solid State Commun. 1991, 80, 983–985. [Google Scholar] [CrossRef]
- Dujardin, F.; Feddi, E.; Oukerroum, A.; Bosch Bailach, J.; Martínez-Pastor, J.; Assaid, E. Lateral induced dipole moment and polarizability of excitons in a ZnO single quantum disk. J. Appl. Phys. 2013, 113, 064314. [Google Scholar] [CrossRef] [Green Version]
- Stébé, B.; Assaid, E.; Dujardin, F.; Le Goff, S. Exciton bound to an ionized donor impurity in semiconductor spherical quantum dots. Phys. Rev. B 1996, 54, 17785–17793. [Google Scholar] [CrossRef]
- Feddi, E.; Zouitine, A.; Oukerroum, A.; Dujardin, F.; Assaid, E.; Zazoui, M. Size dependence of the polarizability and Haynes rule for an exciton bound to an ionized donor in a single spherical quantum dot. J. Appl. Phys. 2015, 117, 064309. [Google Scholar] [CrossRef] [Green Version]
- Aghoutane, N.; Feddi, E.; El-Yadri, M.; Bosch Bailach, J.; Dujardin, F.; Duque, C.A. Magnetic field and dielectric environment effects on an exciton trapped by an ionized donor in a spherical quantum dot. Superlattices Microstruct. 2017, 111, 1082–1092. [Google Scholar] [CrossRef]
- Feddi, E.; Aghoutane, N.; El-Yadri, M.; Dujardin, F.; El Aouami, A.; Duque, C.A. Optical and magneto optical responses assigned to probable processes of formation of exciton bound to an ionized donor in quantum dot. Curr. Appl. Phys. 2018, 18, 452–460. [Google Scholar] [CrossRef]
- Karabulut, I.; Baskoutas, S. Linear and nonlinear optical absorption coefficients and refractive index changes in spherical quantum dots: Effects of impurities, electric field, size, and optical intensity. J. Appl. Phys. 2008, 103, 073512. [Google Scholar] [CrossRef]
- Baghramyan, H.M.; Barseghyan, M.G.; Kirakosyan, A.A.; Restrepo, R.L.; Duque, C.A. Linear and nonlinear optical absorption coefficients in GaAs/Ga1−xAlxAs concentric double quantum rings: Effects of hydrostatic pressureand aluminum concentration. J. Lumin. 2013, 134, 594–599. [Google Scholar] [CrossRef] [Green Version]
- Martinez-Orozco, J.C.; Rodriguez-Magdaleno, K.A.; Suarez-Lopez, J.R.; Duque, C.A.; Restrepo, R.L. Absorption coefficient and relative refractive index change for a double δ-doped GaAs MIGFET-like structure: Electric and magnetic field effects. Superlattices Microstruct. 2016, 92, 166–173. [Google Scholar] [CrossRef]
- Karabulut, I.; Mora-Ramos, M.E.; Duque, C.A. Nonlinear optical rectification and optical absorption in GaAs/Ga1−xAlxAs asymmetric double quantum wells: Combined effects of applied electric and magnetic fields and hydrostatic pressure. J. Lumin. 2011, 131, 1502–1509. [Google Scholar] [CrossRef]
- Yildirim, H.; Tomak, M. Optical absorption of a quantum well with an adjustable asymmetry. Eur. Phys. J. B 2006, 50, 559–564. [Google Scholar] [CrossRef]
- Niculescu, E.C.; Cristea, M. Impurity states and photoionization cross section in CdSe/ZnS core-shell nanodots with dielectric confinement. J. Lumin. 2013, 135, 120–127. [Google Scholar] [CrossRef]
- Owji, E.; Keshavarz, A.; and Mokhtari, H. The effects of temperature, hydrostatic pressure and size on optical gain for GaAs spherical quantum dot laser with hydrogen impurity. Superlattices Microstruct. 2016, 98, 276–282. [Google Scholar] [CrossRef]
- Aksahin, E.; Ustoglu Unal, V.; Tomak, M. Exciton related nonlinear optical properties of a spherical quantum dot. Physica E 2015, 74, 258–263. [Google Scholar] [CrossRef]
- Yesilgul, U.; Ungan, F.; Al, E.B.; Sari, H.; Sökmen, I. Effects of magnetic field, hydrostatic pressure and temperature on the nonlinear optical properties in symmetric double semi-V-shaped quantum well. Opt. Quantum Electron. 2016, 48, 560. [Google Scholar] [CrossRef]
- Kasapoglu, E.; Ungan, F.; Sari, H.; Sökmen, I.; Mora-Ramos, M.E.; Duque, C.A. Donor impurity states and related optical responses in triangular quantum dots under applied electric field. Superlattices Microstruct. 2014, 73, 171–184. [Google Scholar] [CrossRef]
- El Haouari, M.; Talbi, A.; Feddi, E.; El Ghazi, H.; Oukerroum, A.; Dujardin, F. Linear and nonlinear optical properties of a single dopant in strained AlAs/GaAs spherical core/shell quantum dots. Opt. Commun. 2017, 383, 231–237. [Google Scholar] [CrossRef]
- Aghoutane, N.; El-Yadri, M.; El Aouami, A.; Feddi, E.; Dujardin, F.; El Haouari, M.; Duque, C.A.; Nguyen, C.V.; Phuc, H.V. Refractive index changes and optical absorption involving 1s-1p excitonic transitions in quantum dot under pressure and temperature effects. Appl. Phys. A 2019, 125, 17. [Google Scholar] [CrossRef]
- Aghoutane, N.; El-Yadri, M.; El Aouami, A.; Feddi, E.; Dujardin, F.; El Haouari, M. Optical Absorption of Excitons in Strained Quasi 2D GaN Quantum Dot. Phys. Status Solidi 2019, 256, 1800361. [Google Scholar] [CrossRef]
- Aghoutane, N.; El-Yadri, M.; El Aouami, A.; Feddi, E.; Long, G.; Sadoqi, M.; Dujardin, F.; Nguyen, C.V.; Nguyen, N.H.; Phuc, H.V. Excitonic nonlinear optical properties in AlN/GaN spherical core/shell quantum dots under pressure. MRS Commun. 2019, 9, 663–669. [Google Scholar] [CrossRef]
- Xie, W. Nonlinear optical properties of an exciton bound to an ionized donor impurity in quantum dots. Phys. Lett. A 2011, 375, 1213–1217. [Google Scholar] [CrossRef]
- Xie, W. Hydrostatic pressure and temperature effects of an exciton-donor complex in quantum dots. Physica B 2012, 407, 1134–1138. [Google Scholar] [CrossRef]
- Dongmei, Z.; Zongchi, W.; Boqi, X. Optical properties of ionized donor-bound excitons confined in strained wurtzite ZnO/MgxZn1−xO quantum dots. J. Semicond. 2015, 36, 033006. [Google Scholar]
- Dallali, L.; Jaziria, S.; and Martínez-Pastor, J. Optical properties of an exciton bound to an ionized impurity in ZnO/SiO2 quantum dots. Solid State Commun. 2015, 209, 33–37. [Google Scholar] [CrossRef]
- Zeng, Z.; Gorgolis, G.; Garoufalis, C.S.; Baskoutas, S. Competition effects of electric and magnetic fields on impurity binding energy in a disc-shaped quantum dot in the presence of pressure and temperature. Sci. Adv. Mater. 2014, 6, 586–591. [Google Scholar] [CrossRef]
- Lopez, S.Y.; Porras-Montenegro, N.; Duque, C.A. Excitons in coupled quantum dots: Hydrostatic pressure and electric field effects. Phys. Status Solidi B 2009, 246, 630. [Google Scholar] [CrossRef] [Green Version]
- Duque, C.A.; Lopez, S.Y.; Mora-Ramos, M.E. Hydrostatic pressure effects on the G-X conduction band mixing and the binding energy of a donor impurity in GaAs/Ga1−xAlxAs quantum wells. Phys. Status Solidi B 2007, 244, 1964–1970. [Google Scholar] [CrossRef] [Green Version]
- Yu, P.Y.; Cordona, M. Fundamentals of Semiconductors; Springer: Berlin, Germany, 1998. [Google Scholar]
- Culchac, F.J.; Porras-Montenegro, N.; Latge, A. Hydrostatic pressure effects on electron states in GaAs-(Ga,Al)As double quantum rings. J. Appl. Phys. 2009, 105, 094324. [Google Scholar] [CrossRef] [Green Version]
- Barseghyan, M.G.; Mora-Ramos, M.E.; Duque, C.A. Hydrostatic pressure, impurity position and electric and magnetic field effects on the binding energy and photo-ionization cross section of a hydrogenic donor impurity in an InAs Pöschl-Teller quantum ring. Eur. Phys. J. B 2011, 84, 265–271. [Google Scholar] [CrossRef]
- Atanasoff, J.V. The Dielectric Constant of Helium. Phys. Rev. 1930, 36, 1232–1242. [Google Scholar] [CrossRef]
- M’zerd, S.; El Haouari, M.; Talbi, A.; Feddi, E.; Mora-Ramos, M.E. Impact of electron-LO-phonon correction and donor impurity localization on the linear and nonlinear optical properties in spherical core/shell semiconductor quantum dots. J. Alloys Compound. 2018, 753, 68–78. [Google Scholar] [CrossRef]
- Abramowitz, M.; Stegun, I.A. Handbook of Mathematical Functions: With Formulas, Graphs and Mathematical Tables; National Bureau of Standards: Washington, DC, USA, 1970. [Google Scholar]
- Harrison, P.; Valavanis, A. Quantum Wells, Wires and Dots: Theoretical and Computational Physics of Semiconductor Nanostructures; John Wiley Sons: Hoboken, NJ, USA, 2016. [Google Scholar]
- Vahdani, M.R.K.; Rezaei, G. Linear and nonlinear optical properties of a hydrogenic donor in lens-shaped quantum dots. Phys. Lett. A 2009, 373, 3079–3084. [Google Scholar] [CrossRef]
- Jafari, A.R. Optical properties of hydrogenic impurity in an inhomogeneous infinite spherical quantum dot. Physica B 2015, 456, 72–77. [Google Scholar] [CrossRef]
- Abraham, J.; Hudson, M.; John Peter, A. Dielectric confinement on exciton binding energy and nonlinear optical properties in a strained Zn1−xMgxSe/Zn1−xMgxSe quantum well. J. Semicond. 2012, 33, 9. [Google Scholar]
- Baghramyan, H.M.; Barseghyan, M.G.; Laroze, D. Molecular spectrum of laterally coupled quantum rings under intense terahertz radiation. Sci. Rep. 2017, 7, 10485. [Google Scholar] [CrossRef] [Green Version]
- Baghramyan, H.M.; Barseghyan, M.G.; Kirakosyan, A.A.; Ojeda, J.H.; Bragard, J.; Laroze, D. Modeling of anisotropic properties of double quantum rings by the terahertz laser field. Sci. Rep. 2018, 8, 6145. [Google Scholar] [CrossRef]
- Barseghyan, M.G.; Mughnetsyan, V.N.; Pérez, L.M.; Kirakosyan, A.A.; Laroze, D. Effect of the impurity on the Aharonov-Bohm oscillations and the intraband absorption in GaAs/Ga1−xAlxAs quantum ring under intense THz laser field. Physica E 2019, 111, 91–97. [Google Scholar] [CrossRef]
- Barseghyan, M.G.; Mughnetsyan, V.N.; Baghramyan, H.M.; Ungan, F.; Pérez, L.M.; Laroze, D. Control of electronic and optical properties of a laser dressed double quantum dot molecule by lateral electric field. Physica E 2021, 126, 114362. [Google Scholar] [CrossRef]
- John Peter, A. The effect of hydrostatic pressure on binding energy of impurity states in spherical quantum dots. Physica E 2005, 28, 225–229. [Google Scholar] [CrossRef]
- Cheon, H.; Yang, H.; Lee, S.; Kim, Y.; Son, J. Terahertz molecular resonance of cancer DNA. Sci. Rep. 2016, 6, 37103. [Google Scholar] [CrossRef] [Green Version]
- Kampfrath, T.; Tanaka, K.; Nelson, K. Resonant and nonresonant control over matter and light by intense terahertz transients. Nat. Photonics 2013, 7, 680–690. [Google Scholar] [CrossRef]
- Sengupta, K.; Nagatsuma, T.; Mittleman, D.M. Terahertz integrated electronic and hybrid electronic-photonic systems. Nat. Electron. 2018, 1, 622–635. [Google Scholar] [CrossRef]
- St Marie, L.; El Fatimy, A.; Hrubý, J.; Nemec, I.; Hunt, J.; Myers-Ward, R.; Gaskill, D.K.; Kruskopf, M.; Yang, Y.; Elmquist, R. Nanostructured graphene for nanoscale electron paramagnetic resonance spectroscopy. J. Phys. Mater. 2020, 3, 14013. [Google Scholar]
- El Fatimy, A.; Nath, A.; Kong, B.D.; Boyd, A.K.; Myers-Ward, R.L.; Daniels, K.M.; Jadidi, J.; Murphy, T.E.; Gaskill, D.K.; Barbara, P. Ultra-broadband photodetectors based on epitaxial graphene quantum dots. Nanophotonics 2017, 7, 735–740. [Google Scholar] [CrossRef] [Green Version]
- El Fatimy, A.; Han, P.; Quirk, N.; Marie, S.; Dejarld, M.T.; Myers-Ward, R.; Daniels, K.; Pavunny, S.; Gaskill, D.K.; Aytac, Y.; et al. Effect of defect-induced cooling on graphene hot-electron bolometers. Carbon 2019, 154, 497–502. [Google Scholar] [CrossRef] [Green Version]
- Benedictal, A.; Sukumar, B.; Navaneethakrishnan, K. Pressure dependent donor ionization energies in quantum-well. Phys. Status Solidi 1993, 178, 167–172. [Google Scholar] [CrossRef]




Publisher’s Note: MDPI stays neutral with regard to jurisdictional claims in published maps and institutional affiliations. |
© 2021 by the authors. Licensee MDPI, Basel, Switzerland. This article is an open access article distributed under the terms and conditions of the Creative Commons Attribution (CC BY) license (https://creativecommons.org/licenses/by/4.0/).
Share and Cite
Aghoutane, N.; Pérez, L.M.; Tiutiunnyk, A.; Laroze, D.; Baskoutas, S.; Dujardin, F.; Fatimy, A.E.; El-Yadri, M.; Feddi, E.M. Adjustment of Terahertz Properties Assigned to the First Lowest Transition of (D+, X) Excitonic Complex in a Single Spherical Quantum Dot Using Temperature and Pressure. Appl. Sci. 2021, 11, 5969. https://doi.org/10.3390/app11135969
Aghoutane N, Pérez LM, Tiutiunnyk A, Laroze D, Baskoutas S, Dujardin F, Fatimy AE, El-Yadri M, Feddi EM. Adjustment of Terahertz Properties Assigned to the First Lowest Transition of (D+, X) Excitonic Complex in a Single Spherical Quantum Dot Using Temperature and Pressure. Applied Sciences. 2021; 11(13):5969. https://doi.org/10.3390/app11135969
Chicago/Turabian StyleAghoutane, Noreddine, Laura M. Pérez, Anton Tiutiunnyk, David Laroze, Sotirios Baskoutas, Francis Dujardin, Abdelouahad El Fatimy, Mohamed El-Yadri, and El Mustapha Feddi. 2021. "Adjustment of Terahertz Properties Assigned to the First Lowest Transition of (D+, X) Excitonic Complex in a Single Spherical Quantum Dot Using Temperature and Pressure" Applied Sciences 11, no. 13: 5969. https://doi.org/10.3390/app11135969
APA StyleAghoutane, N., Pérez, L. M., Tiutiunnyk, A., Laroze, D., Baskoutas, S., Dujardin, F., Fatimy, A. E., El-Yadri, M., & Feddi, E. M. (2021). Adjustment of Terahertz Properties Assigned to the First Lowest Transition of (D+, X) Excitonic Complex in a Single Spherical Quantum Dot Using Temperature and Pressure. Applied Sciences, 11(13), 5969. https://doi.org/10.3390/app11135969

