Abstract
The purpose of the study is to investigate the gap between entrepreneurial intention and entrepreneurial action among business administration students with the aim of understanding why many who develop entrepreneurial intentions do not ultimately take action. A quantitative methodology was adopted from a sample of students who took entrepreneurship courses at different stages of their studies, allowing for the mapping of changes in entrepreneurial intention over time. Findings show that although entrepreneurship education initially strengthens intention, it declines after course completion, mainly due to external constraints, perceived risk, lack of support, and differences in students’ personal backgrounds. This research confirms the existence of a significant “intention-action gap” and highlights determining factors such as self-confidence, family support, and entrepreneurial culture. The value of this study lies in its combined and quasi-longitudinal approach, which offers new insights into the conversion of intention into action and contributes to the development of educational and policy strategies to enhance student entrepreneurship.
1. Introduction
Entrepreneurship is an important economic factor that promotes social and economic prosperity (Neumann, 2022). Entrepreneurship and the subsequent study of its determining factors are considered critical issues because the concept of entrepreneurship does not refer exclusively to creating a new, innovative business. Today, the term has been expanded to include all types of businesses and organizations, as well as creative thinking and action within existing businesses and organizations (Turgunpulatovich, 2022). Thus, entrepreneurship can occur in both new and existing businesses in private, non-profit, and public sector enterprises (Aparicio et al., 2020). This broadening of the term highlights the need to examine factors that may hinder or promote the success of any entrepreneurial endeavor in the field.
The success or failure of a business venture depends significantly on an individual’s personality traits, skills, abilities, perseverance, optimism, willingness to commit and take risks, and knowledge and understanding of the subject matter (Xanthopoulou & Sahinidis, 2022). Therefore, significant efforts have been made to identify the factors that lead individuals to successfully establish and operate businesses. In recent years, there has been a scientific debate on whether an entrepreneur is born (Ramoglou et al., 2020). This question relates to whether an individual’s tendency towards entrepreneurship is innate or can be cultivated over time through the influence of various factors. It has been suggested that entrepreneurs and aspiring entrepreneurs are influenced by both their personality traits and the environment in which they operate (Kerr et al., 2018).
According to cognitive psychology, intention is a cognitive state that precedes the adoption of a behavior (Pérez-Macías et al., 2022). Individuals’ commitment to engaging in entrepreneurial activities is referred to as entrepreneurial intention. The strongest predictor of an individual’s future behavior, and more specifically of starting a business, has been said to be intention (Krueger, 1993; Xanthopoulou & Sahinidis, 2022). An individual’s attitude towards a particular behavior, degree of desire for it, degree to which the individual considers it feasible to adopt it, willingness to take risks, need to achieve high goals, and ability to exercise self-control are among the factors that have been reported to contribute to the interpretation of entrepreneurial intention (Gieure et al., 2020). An individual’s inclination to act, personal beliefs, environmental factors, social norms, family business status, and demographic factors such as gender, age, and education are additional predictors of entrepreneurial intention (Georgescu & Herman, 2020). Abbasianchavari and Moritz (2021) report that only recently have attempts been made to use models to study entrepreneurial intentions to gain a deeper understanding of the field. However, empirical evidence for these models is lacking, despite the theoretical evidence on how entrepreneurial intention can be predicted (Barbero et al., 2024). In the context of predicting entrepreneurial intention, much research has been conducted on the personal characteristics of entrepreneurs, resulting in a set of traits that an entrepreneur should possess (Do & Dadvari, 2017; Mahfud et al., 2020; Kautonen et al., 2015). In addition to the demographic and social characteristics of entrepreneurs, the environment in which the individual works or has previously worked has also been thoroughly investigated (Nowiński & Haddoud, 2019; Kautonen et al., 2015). With regard to specific demographic characteristics, such as students and young people in general, this research is of greater importance because there is still a research gap regarding the patterns of entrepreneurial intentions and factors that ultimately influence the realization of a business idea (Jiang & Sun, 2015; Reuel Johnmark et al., 2016; Xanthopoulou & Sahinidis, 2022; Anjum et al., 2024; Maheshwari et al., 2023).
It has been pointed out that, although many individuals have entrepreneurial intentions, they never implement them. The “intention-action gap” is a phenomenon that arises from changes in individuals’ intentions due to various factors. Researchers often use popular intention theories to predict entrepreneurial behavior, but these are insufficient for predicting future entrepreneurial activities, as noted by Shirokova et al. (2016). Consequently, it is necessary to ascertain the causes of these changes in individuals’ entrepreneurial intentions. According to recent research (Xanthopoulou & Sahinidis, 2022; Otache et al., 2021; Maheshwari et al., 2023), exploratory studies are necessary to determine why some students, especially those who enroll in and attend entrepreneurship courses, do not act on their intentions to become entrepreneurs. Despite their importance, students’ entrepreneurial intentions and the factors that cause changes over time have received little attention (Xanthopoulou & Sahinidis, 2022). Figure 1 shows that only 135 documents published between 1998 and 2024 discuss the factors that cause changes in individuals’ intentions to become entrepreneurs, while the last six years have seen a notable increase in research interest in this topic.
Figure 1.
Research on the changing determinants of entrepreneurial intentions.
Taking the above into account, the aim of this postgraduate research is to investigate the intention-action gap of students who develop entrepreneurial intentions by attending a course on “entrepreneurship and innovation” in their second year of study and a course on “small and medium-sized and family business management” in their fourth and final year of study. While many students in their first years of study, when they take relevant courses, decide to work on business ideas, they often find it difficult to take further steps once they have completed the course and their studies in general. This suggests that the development of entrepreneurial intention during the course does not directly lead to entrepreneurial action after its completion. Therefore, this study examines the sources of the intention-behavior gap and the behavioral reactions of students from their first year of study, when they attended the entrepreneurship course, to their fourth and final year of study in order to identify changes in entrepreneurial intentions and the causes/factors of these changes. The research questions that arise are as follows:
RQ1. What changes were observed in students’ intentions to start their own business over time?
RQ2. Why do students change their intentions to start their own business?
By identifying the factors that influence students’ intentions to start a business venture, this study adds further information and knowledge about students’ entrepreneurial mindset and intentions, as well as the factors that influence changes in their entrepreneurial intentions over time. Furthermore, by emphasizing the difficulties that arise at various points during students’ academic careers, the results will strengthen research on the intention-behavior gap. Another innovation of this study is the integration of quantitative and qualitative research, which improves the understanding of the topic. The quantitative research used allows for the generalization of results and the comparison and identification of relationships between various factors (Polit & Beck, 2010). A deeper understanding of changes in entrepreneurial intentions and the factors that influence them (such as cultural, demographic, educational and external factors) can greatly assist policymakers, educators and future entrepreneurs in creating and promoting strategies that successfully encourage entrepreneurship.
In conclusion, the structure of this study is organized as follows. The second section presents an extensive literature review of entrepreneurial intention and its determinants, focusing on the entrepreneurial intention of students. The third section explains the methodologies used to conduct the primary research. The fourth section analyses the results and, based on these, the last two sections discuss the results and draw conclusions. The final section also discusses the limitations of this study and suggests directions for future research in this field.
2. Theoretical Framework
This section attempts to map the theoretical basis of entrepreneurial intention (EI) by analyzing the key findings of the relevant literature and the theoretical approaches developed to date. Emphasis was placed on the determinants that influence the formation of EI, such as personality traits, external factors, individual motivations, and personal history. At the same time, the so-called “intention-action gap” is examined, i.e., the distance between the desire for entrepreneurial action and its actual implementation, as well as the changes that may occur in intention over time. Through this analysis, an attempt is made to understand the multi-level influences that determine the transition from entrepreneurial intention to action, with particular emphasis on the influence of entrepreneurial education, the socio-cultural environment and the individual’s personal perception.
2.1. Meaning and Determinants of Entrepreneurial Intention
Thompson (2009) defined entrepreneurial intention (EI) as an individual’s self-reported commitment to starting a new business. BI is also defined as the process of searching for and analyzing data that can be used to achieve the goal of starting a new business (Neneh, 2014). Furthermore, according to Anwar et al. (2022), the term ‘entrepreneurial intention’ (EI) describes an individual’s tendency to engage in entrepreneurial activities, such as starting a new company or becoming self-employed. Because it explains why some individuals decide to start a business, entrepreneurial intention plays an important role in understanding and predicting entrepreneurial action. One of the fastest-growing subfields of entrepreneurship studies is entrepreneurial intention (Liñán & Fayolle, 2015). The interest that entrepreneurial intention (EI) has received from the global academic community is reflected in the exponential growth of literature in this field (Soria-Barreto et al., 2017).
Numerous factors, including attitudes, values, and psychological factors, have been reported as motivators for entrepreneurship (Do & Dadvari, 2017; Mahfud et al., 2020; Wiklund et al., 2019). Demographic factors such as gender, education, and family background have also been studied (Gielnik et al., 2018; Kefis & Xanthopoulou, 2015), and a significant number of researchers refer to education as one of the most critical factors that can encourage (or discourage) entrepreneurial intention (Xanthopoulou & Sahinidis, 2022; Nabi et al., 2017; Küttim et al., 2014; Liñán et al., 2011). According to Mahfud et al. (2020), personality traits often act as triggers that alter entrepreneurs’ perceptions of risk in their choices. It is generally accepted that certain personality traits, such as autonomy, need for achievement, internal control, risk tolerance, self-confidence, and innovativeness, are indicators of an individual’s tendency/intention to become an entrepreneur (Do & Dadvari, 2017; Ozaralli & Rivenburgh, 2016; Barba-Sánchez et al., 2022; Barba-Sánchez & Atienza-Sahuquillo, 2017). Specifically, risk-taking scores were significantly higher among individuals with strong entrepreneurial aspirations than among those with low scores. Achievement is another important aspect that influences people’s tendency to become entrepreneurs. Individuals with a strong desire for success exhibit more entrepreneurial behavior (Verheul et al., 2012). Some people want to live independently, and this mindset motivates them to gather resources. According to Maslow’s (1943) hierarchy of needs, people do not move from lower- to higher-level needs unless their lower-level needs are satisfied. From this perspective, the greatest happiness for entrepreneurs working to achieve their goals is self-actualization or self-fulfillment (Dong et al., 2019). Individuals with a need for independence show a greater inclination towards entrepreneurship (Omar et al., 2019).
Several studies (Xanthopoulou & Sahinidis, 2022; Sullivan & Meek, 2012; Lu et al., 2021) have found that an individual’s entrepreneurial intention is greatly influenced by age, gender, family business experience, and educational level. While some researchers have questioned the influence of gender and age on business start-ups (Rusu et al., 2022; Contreras-Barraza et al., 2021; Haus et al., 2013; Zisser et al., 2019), others, such as Gielnik et al. (2018), have found that successful entrepreneurs tend to be relatively young, because older people are discouraged from choosing jobs that involve uncertainty. Women are more risk-averse than men, especially regarding financial risks (Liñán & Fayolle, 2015; Sullivan & Meek, 2012). Furthermore, the social environment in which students find themselves, including their peers and close friends, is another factor that influences entrepreneurial intention (Meoli et al., 2020; Ahmed et al., 2020; Lu et al., 2021; Koe et al., 2021). Research has shown that students with friends who have worked as self-employed individuals immediately consider starting their own businesses (Saptono et al., 2021). Finally, Botezat et al. (2022) reported that during the COVID-19 pandemic, the EEA of students participating in entrepreneurship education (EE) programs increased. To better understand the structure and guidelines of a business canvas, the research sample of the present study participated in practical activities provided to students during the course (see some of their canvases in Appendix A). These templates supported the diary process by helping participants document their entrepreneurial ideas and decision-making steps in a structured manner and significantly increased their interest in entrepreneurship.
2.1.1. Personality Traits and Their Impact on Entrepreneurial Intention
Personality traits refer to persistent, predictable aspects of an individual’s behavior that explain how individuals behave in situations. An individual’s specific, implicit, and subjective knowledge, values/beliefs, perceptions, and experiences that are difficult to imitate have an impact on personality traits. Personality traits can act as catalysts to change the way entrepreneurs perceive risk when making decisions (Mahfud et al., 2020). According to the literature, entrepreneurial intention is influenced by certain personality traits such as self-confidence, need for achievement, risk tolerance, internal locus of control, innovativeness, and autonomy (Do & Dadvari, 2017). Compared to non-entrepreneurs, entrepreneurs were found to have higher scores on risk tolerance, internal control, extroversion, self-efficacy, and the need for achievement. Various researchers (Mahfud et al., 2020; Kautonen et al., 2015) have found that personality factors play the largest role in determining whether someone will start a business. Self-confidence is an important personal characteristic that increases personal success because it makes people happier, helps them persuade others, has a strong impact on them, and motivates individuals to take on tasks and achieve their goals (Ozaralli & Rivenburgh, 2016). Risk-taking refers to an individual’s predisposition to take or avoid risks. Individuals with high levels of entrepreneurial intention score significantly higher on risk-taking than those with lower levels of entrepreneurial intention (Mahfud et al., 2020; Kautonen et al., 2015; Do & Dadvari, 2017; Shirokova et al., 2016). Another key factor that strongly influences individual’sls’ entrepreneurial intention is the need for achievement. People with a high need for achievement will exhibit entrepreneurial behavior (Verheul et al., 2012) as they are eager to achieve. They aspire to identify as business owners and can build profitable businesses in the market. Internal locus of control refers to the control that an individual has over their life. While an external locus of control (or external control) suggests that an individual’s life is influenced by events outside their own actions, such as fate, luck, and other people, internal control implies that a person feels that their decisions can guide their life. These individuals can choose their career options, have entrepreneurial ambitions, and start their own businesses (Barba-Sánchez et al., 2022). Innovation is the ability of an individual to create something new, such as new products or new quality, new production methods, new ways of entering a market, or identifying a new one, and refers to the creation of new sources or new ventures and business structures. People with high innovation scores, that is, the ability to innovate, can explore opportunities that are not obvious to others and identify them by linking diverse information in new ways (Liñán & Fayolle, 2015). Autonomy, or independence, is a fundamental determinant of entrepreneurship. People’s desire to act independently and as they please is strong (Al-Jubari et al., 2017; Al-Mamary & Alshallaqi, 2022). Successful entrepreneurs want to be independent. They can act autonomously, taking independent action, enjoying problem solving, and effectively completing any obligations or actions on their own. All these characteristics are key factors in entrepreneurial intention.
2.1.2. Motivational Factors and Their İmpact on Entrepreneurial İntention
Researchers, such as Barba-Sánchez and Atienza-Sahuquillo (2018), report that the need for higher income and the desire for higher social and professional status, as well as the lack of suitable employment opportunities, are key motivators for starting a new business. They specifically mentioned that new businesses are created not only by those who can do it, that is, people who can do it, but also by those who have the necessary motivation to do it. Empirical studies have suggested that the need for achievement can motivate entrepreneurs to start a business and ultimately succeed (Ferreira et al., 2023; Stephan et al., 2015; Xanthopoulou & Sahinidis, 2025; Shirokova et al., 2016; Ozaralli & Rivenburgh, 2016). Furthermore, Barba-Sánchez and Atienza-Sahuquillo (2018) noted that entrepreneurs with a strong need for achievement often plan, take responsibility for their lives, and seek quick feedback on their actions.
Consequently, it has been suggested that the need for achievement acts as a predictive motivator that encourages participation in entrepreneurship. Stephan et al. (2015) showed that entrepreneurial motives are important for entrepreneurial success and that entrepreneurs make strategic choices to start their own businesses. Entrepreneurs are driven to start their own businesses to increase their income and secure a future for themselves and their families.
“Status” describes an individual’s position among other individuals in a specific social environment. The literature has argued that the social status of entrepreneurs can be considered when deciding to become self-employed (Xanthopoulou & Sahinidis, 2022). Finally, many individuals express an intention to become self-employed due to personal needs that have not been satisfied in the past (Wiklund et al., 2019) or previous dissatisfaction with their jobs (Hsu et al., 2019). Under these circumstances, people are more likely to choose entrepreneurship as an employment option that provides them with the optimal combination of income, autonomy, risk, work effort and job satisfaction (Douglas, 2013).
2.1.3. The İnfluence of Personal and Family Background on Entrepreneurial İntention
A review of the literature (Yukongdi & Lopa, 2017; Molino et al., 2018; Maes et al., 2014) found that gender, experience in family businesses, and level of education significantly influence individuals’ entrepreneurial intention. Although many researchers have questioned the determining factors of age and gender in terms of their impact on business start-ups, Gielnik et al. (2018) indicate that successful entrepreneurs are relatively young, as older individuals are discouraged from choosing forms of employment that involve uncertainty. Traditionally, men have been considered more inclined towards self-employment than women. Liñán and Fayolle (2015) found that many studies reveal that women are more risk-averse than men, especially when it comes to financial risks.
Education and business training play a crucial role in improving people’s entrepreneurial activities (Küttim et al., 2014; Xanthopoulou & Sahinidis, 2025). Enhancement of entrepreneurial activity depends largely on education and training. According to Debarliev et al. (2022) and Sherkat and Chenari (2022), entrepreneurship education is generally positively associated with entrepreneurial intention and is considered one of the most discussed factors influencing entrepreneurial intention, as well as the most direct determinant of people’s intention to work for themselves. The results of this study on entrepreneurship education and the factors influencing students’ intention to engage in entrepreneurship are discussed in the next section. In general, entrepreneurship education is positively related to entrepreneurial intention; however, studies such as Maresch et al. (2016) suggest that there are differences between students in business administration and those in other sciences (such as engineering).
Family background, particularly the father’s occupation, is also a key determinant influencing attitudes towards entrepreneurship (Nowiński & Haddoud, 2019). The findings suggest that family businesses provide a favorable environment for achieving more efficient and accessible use of resources, whether it is a new or corporate venture, a franchise, or an exit. Regarding the influence of the self-employed past of parents (especially the father), a positive relationship was found between the educational success of children and their intention to start their own business after completing their studies (Nowiński & Haddoud, 2019).
Finally, previous work experience encourages individuals to start their own businesses. Koe et al. (2012) argue that individuals with previous work experience have higher levels of entrepreneurial intention than those without such experience.
2.2. The Intention-Action Gap
The intention-action (or intention-behavior) gap among individuals has received limited scientific attention in the field of entrepreneurship to date. As Pittaway and Cope (2007) concluded in their literature review, “what is not known […] is whether this tendency or intention [for entrepreneurship] translates into ‘entrepreneurial behavior’ either in the broader sense or when narrowly focused on the creation of entrepreneurial activities” (p. 498). A decade later, Nabi et al. (2017) conducted a comprehensive systematic literature review of 159 articles published between 2004 and 2016. Their review revealed that research on entrepreneurship education had focused mainly on analyzing measures before and after the educational program, such as knowledge and entrepreneurial intention, but little attention has been paid to how entrepreneurial intention translates into entrepreneurial activities. Thus, the authors suggested more research in this field.
Studies such as Souitaris et al. (2007) and Shirokova et al. (2016) have addressed the intention-behavior gap among students after entrepreneurship education programs, demonstrating that entrepreneurship education increased overall entrepreneurial intention, but intentions at the end of the program were not related to new business activities. To understand the intention-behavior gap in entrepreneurship education, it is important to consider students as both recipients of courses and nascent entrepreneurs. Usually, after an entrepreneurship course, students will decide to convert their entrepreneurial intentions into specific actions to pursue opportunities they perceive as independent entrepreneurial agents. Hägg and Kurczewska (2019) viewed students as emerging adults, emphasizing the need to examine the learning behaviors of student entrepreneurs from both a pedagogical and andragogical perspective. Other scholars (Santos et al., 2019; de Sousa-Filho et al., 2020) have argued that the university offers a distinctive and unique setting in which students can explore themselves. Students are embedded in the university context. Therefore, their entrepreneurial activities can be influenced by both formal and informal institutional factors (Ayob, 2021). Universities offer not only education for entrepreneurship but also institutional support, including structural and relational assistance for students’ startup activities (Jansen et al., 2015; Morris et al., 2017). In turn, exposure to entrepreneurial support environments within the university during the study influences the resource logic of student entrepreneurs (Politis et al., 2012). Thus, this research stream lies at the intersection of entrepreneurship education and student entrepreneurship.
Compared to entrepreneurship education, which has decades of research history, student entrepreneurship is a newly emerging research field and has therefore received limited scientific attention (Beyhan & Findik, 2018). Student entrepreneurship or student entrepreneurship refers to “an endeavor or potential venture initiated by a student or group of students during their studies” (Ayob, 2021).
Within the framework of the Theory of Planned Behavior (Ajzen, 1991), the formation of entrepreneurial intention (EI) is determined by three basic cognitive components: (a) attitude toward entrepreneurship, (b) subjective norms, and (c) perceived behavioral control. These components do not operate in isolation but are influenced by deeper personal characteristics of individuals (Kobylińska, 2022). At this point, the Big Five Personality Traits model is proposed as a mechanism-level logic, which acts as an antecedent to the TPB variables, shaping the way individuals perceive the attractiveness and feasibility of an entrepreneurial action.
It has been found that extraversion positively influences both attitude and subjective norms through enhanced social networking (Pornsakulvanich, 2017), openness to experience enhances perceived innovation and creativity, increasing positive attitudes toward entrepreneurship (Tan et al., 2019), and conscientiousness is associated with increased perceived control, significantly promoting persistence and discipline in the implementation of business plans. Next, agreeableness acts as a supportive factor in interpersonal relationships and acceptance by the social environment, reinforcing subjective norms (Alsyouf et al., 2022) and finally, neuroticism works in reverse, limiting both perceived control and risk-taking propensity (Tucker et al., 2006). Based on these findings, it can be stated that personal characteristics feed into the cognitive assessments of TPB, which in turn lead to the formation of entrepreneurial intention. Furthermore, the Big Five factors can also act as mediating or modifying factors in the intention-action relationship, as self-confidence, resilience, and social support can reinforce or inhibit the transition from intention to action. Therefore, the present research framework is not limited to comparing theories but adopts a comprehensive conceptual approach, where personal characteristics act as a key source of differentiation in entrepreneurial intention and likelihood of action.
In summary, scholars have generally emphasized the vital role of entrepreneurship education in developing students’ entrepreneurial intentions as potential entrepreneurs (Bae et al., 2014). However, researchers have only rarely examined how these intentions translate into actions (Nabi et al., 2017). Furthermore, existing research on the intention-behavior gap among students is limited to quantitative studies that demonstrate the existence of the gap empirically or apply theoretically derived moderators in their analysis (Shirokova et al., 2016; Souitaris et al., 2007). Consequently, the literature requires more qualitative, exploratory research approaches to understand what happens to students’ entrepreneurial intentions once the entrepreneurship program ends.
2.3. Factors Influencing the Evolution of Entrepreneurial Intention and Action
Although many studies have analyzed the determinants or factors influencing individuals’ entrepreneurial intention, there is little research on why people change their intention to become self-employed, or what causes this change. Research has revealed a significant change in EI, which is influenced by factors such as the attractiveness of a business idea, group cohesion, teaching methods, support from the university/family, and personal characteristics (Xanthopoulou et al., 2024). Recent longitudinal and review-based studies highlight that students’ entrepreneurial intentions evolve dynamically and are shaped by multiple interacting factors. Diary-based evidence shows that practical engagement in group projects and virtual business development can significantly strengthen entrepreneurial intention, whereas increased awareness of risks and certain teaching content may have a deterrent effect (Xanthopoulou et al., 2024). Complementing these findings, a large-scale systematic review identified four broad categories influencing entrepreneurial intention: contextual conditions, individual motivations and personality traits, demographic background, and educational factors (Xanthopoulou et al., 2024). Longitudinal research further suggests that changes in entrepreneurial intention vary across individuals, with students exhibiting high initial intention levels showing greater stability over time, alongside observable gender differences (Botezat et al., 2022). Cultural dimensions also play a critical role, as adaptability, risk tolerance, and openness to change—mediated by planned behavior factors—are associated with higher entrepreneurial intentions (Haddad et al., 2022; Liñán & Chen, 2009). Finally, social support and group orientation emerge as important facilitators, as communitarian contexts provide access to resources and networks that reinforce entrepreneurial aspirations (Xanthopoulou & Sahinidis, 2022; Solomon & Schell, 2009; Asenkerschbaumer et al., 2024).
Overall, the literature agrees that individuals who receive support from their social relationships (e.g., friends, family, neighbors, colleagues, the community, and organizations) are more resilient, tend to survive (Wang et al., 2023; Davidsson & Honig, 2003), and have higher rates of entrepreneurial intention stability (Kanwal et al., 2019; Farooq et al., 2018). Luc (2020) found that individual expectations can shift to motivation when faced with favorable conditions, such as family support and government support. As communitarianism promotes cooperation and security, it is easier for individuals to decide to start their own businesses and feel more confident about this decision when they have secured the support of their social environment or community (Haddad et al., 2022; Ferreira et al., 2023). Bogatyreva and Shirokova (2017) found positive correlations between various factors, such as the presence of a family business, support from the university business environment, and the level of development of regional business institutions, with a limited likelihood of actual transition from entrepreneurial intentions to specific start-up activities. Conversely, lack of social support and recognition can significantly increase individuals’ entrepreneurial intentions, even when they are interested in starting a new venture (Santos et al., 2016; de Sousa-Filho et al., 2020).
Also, cultural factors can influence people’s perceptions of the ease or difficulty of entrepreneurship. For example, while individuals showed increased interest in becoming entrepreneurs, they changed their minds when they realized that the country they were leaving had high levels of bureaucracy and heavy taxes (Henrekson & Stenkula, 2010; Xanthopoulou & Sahinidis, 2022), resulting in them deciding not to become self-employed and to seek employment in private or public organizations. Individuals may perceive fewer barriers to entrepreneurship and have stronger self-efficacy in societies with a high level of acceptance of innovation (Ajzen, 1991; Liñán & Chen, 2009). Cultural variables may also influence how individuals perceive social demands and expectations (i.e., subjective norms). Social contexts in which entrepreneurial endeavors are considered socially desirable may exert increased pressure and inclination on individuals to engage in such activities (Lortie & Castogiovanni, 2015). In environments where entrepreneurship is normalized or expected, individuals tend to pursue it, while in different cultural contexts, they may choose more stable, predictable occupations (Haddad et al., 2022; Botezat et al., 2022; Hanage et al., 2024). The interaction between cultural dimensions and entrepreneurial intention may be mediated by multiple factors that influence entrepreneurial goals. For example, individual attitudes and subjective norms may be more favorable in cultures that support creativity and risk-taking, thereby potentially enhancing entrepreneurial intentions (Lortie & Castogiovanni, 2015). Furthermore, cultural differences in beliefs about behavioral control may influence individuals’ confidence in their ability to thrive as entrepreneurs (Botezat et al., 2022).
Gender differences also had a significant impact on entrepreneurs’ goals and mindset towards self-employment. Rusu et al. (2022) report that access to finance and entrepreneurial intentions vary according to gender, university and place of origin. According to the same researchers, the availability of bank loans and personal savings influences female students’ entrepreneurial aspirations, but the only factor influencing male students’ intentions is the availability of funding from friends and family. Financial support from friends and family also influences students’ aspirations to start their own businesses, whether in rural or metropolitan areas. Haddad et al. (2022) reported that men are more inclined towards entrepreneurial intention than women are. This difference is attributed to variables that include social expectations, risk propensity, and strong belief in one’s own abilities. Women’s entrepreneurial aspirations are often negatively influenced by the perceived existence of increased barriers and limited prospects in the business sector.
Nevertheless, when women are self-confident, their entrepreneurial intentions can be equal to or even exceed those of men. Empirical evidence shows that attitudes towards entrepreneurship among men and women can be influenced and changed by differences in social norms. Because entrepreneurship is usually associated with men in many communities, women may be discouraged from choosing this career path (Santos et al., 2016). These social norms influence how women perceive their self-efficacy and confidence in their ability to thrive as business owners and may cause a decrease in their willingness to start their own businesses (Haddad et al., 2022). Adetola et al. (2018) reported that education is one of the most important ways to reduce gender inequalities in entrepreneurial aspirations. Women who participate in entrepreneurship education programs typically see fewer barriers to entrepreneurship and improve their self-efficacy. This means that women’s entrepreneurial intention can be strengthened through entrepreneurship education and is not negatively affected over time.
According to the Theory of Planned Behaviour (Ajzen, 1991), entrepreneurial intention is shaped by three key predictors: attitudes towards entrepreneurship, subjective norms, and perceived behavioral control (Liñán & Chen, 2009). These constructs explain why some students translate their entrepreneurial goals into action, while others do not —which is directly related to the intention–action gap examined in the present study.
Entrepreneurship education and the educational environment, in general, can also lead to significant changes in individuals’ entrepreneurial intentions over time (Inoubli & Gharbi, 2024; Xanthopoulou & Sahinidis, 2022; Almeida & Garrod, 2024; Adetola et al., 2018). Exposure to entrepreneurship education equips students with improved knowledge, skills, and attitudes toward entrepreneurship, thereby increasing their intention to start their own businesses. Educational programs and activities that expose students to real business scenarios facilitate a deeper understanding of the potential challenges inherent in entrepreneurship (Ferreira et al., 2023) and enhance students’ flexibility and problem-solving skills (Botezat et al., 2022), whereas participation in entrepreneurship education programs enhances students’ self-efficacy and confidence in their entrepreneurial abilities (Adetola et al., 2018; van Ewijk et al., 2023; Le et al., 2023). A close correlation can also be observed between education, self-efficacy, and entrepreneurial intention, as entrepreneurship education enhances students’ self-confidence, who are more likely to consider entrepreneurship a viable career option (Adetola et al., 2018). According to Mamun et al. (2017), entrepreneurship education lays the foundation for creating a business network that is essential for the success of new ventures. Research by Botezat et al. (2022) shows that students who participated in entrepreneurship education programs exhibited higher entrepreneurial intentions during the current pandemic. Xanthopoulou et al. (2024) identified important factors, such as the attractiveness of business ideas, team cohesion, teaching methodologies, and university support, along with certain personality traits, as important in changing students’ entrepreneurial intentions during their academic tenure.
Recent research emphasizes that the transition from entrepreneurial intention to action is shaped by a combination of contextual and individual-level factors. Beyond personal psychology, elements such as self-identity, social competencies, family support, and institutional environments play a crucial role in bridging the intention–action gap (Roos, 2021). Synthesizing the broader literature, Krueger et al. (2024) highlight that this transition is facilitated by interrelated factors, including self-efficacy, prior experience, access to financial resources, social support networks, cultural norms, and supportive institutions, all of which contribute to the successful conversion of entrepreneurial ambition into action (Krueger et al., 2024).
On the other hand, many external factors determine changes in people’s entrepreneurial intentions. The state of the economy is an important external factor influencing entrepreneurial intention. In times of economic prosperity, people are more willing to start their own businesses because of favorable prospects and markets (Ferreira et al., 2023). Conversely, in times of economic instability, increased risk and limited access to financial resources can discourage entrepreneurial activities (Santos et al., 2016; Botezat et al., 2022; Lungu, 2022). Access to resources, such as capital, technology, and knowledge, is vital for the development of entrepreneurial goals. These resources mitigate barriers and enhance the likelihood of success, making those with easy access more likely to harbor entrepreneurial intentions (Ruiz-Rosa et al., 2020). Government policies, including laws and incentives for start-ups, can influence entrepreneurial trends. Supportive policies that promote entrepreneurship through grants, tax breaks and other incentives can strengthen entrepreneurial intentions (Dvouletý et al., 2018). Conversely, strict laws and regulations discourage entrepreneurship by increasing the costs and risks associated with starting a business (Santos et al., 2016). Generally, favorable economic conditions and supportive policies create an environment conducive to entrepreneurship, thereby increasing individuals’ intention to start their own businesses (Botezat et al., 2022). According to Botezat et al. (2022), the current pandemic crisis has affected students’ intentions to start their own businesses. Specifically, the pandemic has had a dual impact on the change in entrepreneurial intentions, as it has posed new challenges due to economic and social disruptions and highlighted the need for innovation and entrepreneurship to address these challenges.
Longitudinal studies have attempted to examine changes in entrepreneurial aspirations over time and the factors influencing them. They found individual and longitudinal differences. The findings also revealed that individuals with higher initial business goals showed fewer changes over time than those with lower initial scores. Furthermore, differences were observed between the two genders in the initial level of entrepreneurial goals and in the factors influencing them. Educational and environmental variables present complex interactions that influence changes in entrepreneurial intention. Ultimately, individual motivations, perceived opportunities, social and contextual factors, and resource availability collectively shape the path from entrepreneurial intention to action.
Based on the above findings, the following research hypotheses are formulated:
Hypothesis 1:
Participation in entrepreneurship courses increases students’ entrepreneurial intentions.
Hypothesis 2:
Gender influences students’ entrepreneurial intentions, with men showing stronger intentions than women.
Hypothesis 3:
Students with previous experience in family businesses or with self-employed parents have a higher intention to start their own business.
Hypothesis 4:
Students’ entrepreneurial intentions are more influenced by psychological characteristics such as self-confidence and need for achievement than by demographic factors.
Τhe contribution of the existing literature to understanding the relationship between business education and entrepreneurial intention is evident, but significant theoretical gaps remain regarding the transition from intention to action. More specifically, the study by Souitaris et al. (2007) showed that entrepreneurial education can enhance entrepreneurial intention through cognitive and inspirational mechanisms but does not necessarily lead to entrepreneurial action. Similarly, the systematic review by Nabi et al. (2017) showed that most studies focus on the immediate effects of intention after training, while the period after program completion remains under-researched. The present study extends the above approaches in three keyways. First, the adoption of a quasi-longitudinal perspective allows for the monitoring of the evolution of entrepreneurial intention at different stages of students’ academic careers, rather than only before and immediately after a single course. This temporal dimension highlights the dynamic nature of entrepreneurial intention and demonstrates that its initial reinforcement does not guarantee its long-term maintenance. Second, unlike previous studies that are limited to measuring levels of intention, the research explicitly focuses on the intention-action gap, exploring the reasons why students, despite developing entrepreneurial intentions, do not proceed to implement them. In this way, the study shifts the theoretical interest from “whether” education strengthens intention to “how” and “why” this intention often does not translate into action. Finally, this research integrates psychological factors, family background, and external constraints into a unified interpretive framework. This approach responds directly to the calls by Nabi et al. (2017) for more interpretive and theoretically grounded research that explains the mechanisms underlying the intention–action gap.
3. Materials and Methods
Quantitative research is theoretically based on the Theory of Planned Behaviour (Ajzen, 1991), which considers intention to be the most reliable predictor of future behaviour. This theoretical background argues that an individual’s entrepreneurial intention is mainly influenced by three factors: attitude towards entrepreneurship, perceived social norms and perceived locus of control. At the same time, the study incorporates the Big Five Personality Traits approach as a conceptual framework that explains how individual characteristics can act as predictive mechanisms of entrepreneurial intention. The research process aimed to record and analyze changes in students’ entrepreneurial intention during their academic career, with an emphasis on the effects of university education. This study employed a quantitative, quasi-longitudinal research design to examine how entrepreneurship education influences students’ entrepreneurial intention (EI) over time. Grounded in the Theory of Planned Behaviour (TPB), the research explored whether structured exposure to entrepreneurship courses affects overall intention to engage in entrepreneurial activities. Data were collected at two distinct time points—at the beginning and at the end of a 13-week academic semester—enabling a pre–post comparison and the assessment of changes in entrepreneurial intention. This design allowed for the identification of mean differences across time, as well as the examination of predictive relationships between individual characteristics and entrepreneurial intention through inferential statistical analysis.
The research follows a quasi-longitudinal (pre-post) design with the aim of measuring the change in entrepreneurial intention after the intervention, i.e., attending the entrepreneurship course. The design is characterized as quasi-longitudinal because measurements were collected at only two time points over a 13-week period, rather than the extended multi-year timeframe typical of full longitudinal studies. This approach enabled pre-post comparison while acknowledging temporal limitations in capturing long-term intention stability. The research design was implemented in two distinct phases:

Initially, 155 entries were obtained. After careful data cleaning and comparison of duplicates via email addresses, 114 students who responded validly at both time points were retained. This constituted the final sample for quantitative analysis. The participants were undergraduate students enrolled in entrepreneurship-related courses within the Department of Business Administration at a Greek public university. A purposive sampling strategy was employed to ensure that the sample included individuals directly exposed to entrepreneurship education. Participation was voluntary, responses were anonymous, and informed consent was obtained prior to data collection. Ethical approval was granted by the Ethics and Research Committee.
Data collection was carried out online using Google Forms, which allowed the use of predefined closed-ended questionnaires. Data was collected using a structured questionnaire comprising previously validated psychometric scales. Entrepreneurial Intention (EI) was assessed through a six-item scale adapted from Liñán and Chen (2009), measuring students’ intention to start a business (e.g., “I am determined to create a firm in the future”). Responses were recorded on a 7-point Likert scale ranging from 1 (“strongly disagree”) to 7 (“strongly agree”). The internal consistency of the scale was satisfactory, with Cronbach’s α = 0.89 for the pre-test and α = 0.91 for the post-test, indicating strong reliability. In addition, items assessing personality traits (such as self-confidence, risk-taking, and need for achievement) were adapted from the Entrepreneurial Personality Inventory (Rauch & Frese, 2007), while demographic information (gender, parental occupation, and family business experience) was also collected. The inclusion of these variables allowed for the examination of potential predictors and moderators of entrepreneurial intention, consistent with the Theory of Planned Behaviour (TPB). Prior to the main analysis, the questionnaire was pilot-tested with 15 students to ensure clarity and reliability of the items. No major modifications were required following the pilot phase. The final instrument demonstrated good construct validity and internal consistency across all subscales (Cronbach’s α values ranged between 0.78 and 0.91). The questionnaire includes three main thematic areas.
Entrepreneurial Intention: Measured using a seven-point Likert scale (1 = strongly disagree, 7 = strongly agree).
Personality dimensions (Big Five): Specific questions recorded the following dimensions: 1. Openness, 2. Conscientiousness, 3. Extraversion, 4. Agreeableness, 5. Neuroticism.
Demographic characteristics and family background: Information related to the gender, age, and professional status of parents.
The tools were developed based on validated psychometric scales from existing literature, ensuring high internal consistency and measurement reliability. The final sample consisted of 114 students who completed both questionnaires. The majority were undergraduate students aged 18–25, with a balanced gender distribution (38.1% male–61.9% female).
Data analysis was conducted using R version 4.5.2 and IBM SPSS Statistics version 27. Descriptive statistics (means, standard deviations, and confidence intervals) were first calculated for all study variables. Preliminary checks were performed to ensure the suitability of the data for parametric analysis. Normality was assessed using the Shapiro–Wilk test and the nonparametric Kolmogorov–Smirnov test. No serious violations of assumptions were detected. To assess changes in entrepreneurial intention (EI) over time, paired-samples t-test and nonparametric Wilcoxon test were performed comparing pre-test and post-test scores. Independent-samples t-tests and nonparametric Mann–Whitney tests were also conducted to examine group differences based on gender and family entrepreneurial background. Cohen’s d was calculated as an indicator of effect size to assess the practical significance of observed differences. To identify predictors of entrepreneurial intention, multiple linear regression analysis was applied. The model included demographic and personality-related variables (such as self-confidence, risk-taking, and need for achievement) as independent predictors, with pre-test EI serving as the dependent variable. Multicollinearity diagnostics were examined, and all residuals met the assumptions of linearity and normal distribution. Model significance was assessed via the F-statistic, and the explanatory power was expressed through R2 and adjusted R2 values.
Although the statistical analyses primarily relied on t-tests, complemented by nonparametric tests and linear regression models, these techniques are appropriate for the quasi-longitudinal structure of the data and the study’s focus on short-term pre–post variation. The paired-sample t-test and the nonparametric Wilcoxon test are suitable for detecting mean differences when the same individuals are measured at two time points, especially in designs with relatively small and matched samples. Likewise, the regression analysis enabled the identification of predictive patterns within the constraints of sample size and temporal scope. Nevertheless, more advanced analytical techniques such as repeated-measures ANOVA, moderated or mediated models, and structural equation modeling would provide deeper insight into the dynamics of entrepreneurial intention. The feasibility of applying such methods was limited by the sample size and the two-wave structure of the dataset. Thus, the chosen analytical strategy balances methodological rigor with empirical constraints while laying the groundwork for future studies to employ more sophisticated modeling.
The sampling technique applied in this study combines purposive sampling with a census of the available population. More specifically, the initial sample was composed of students who attended the course “Entrepreneurship and Innovation” during the academic year 2019–2020. In other words, this is a specific population of interest, to which census sampling was applied, as all enrolled students were given the opportunity to participate. However, the decision to study only students who responded at both time points (pre- and post-intervention) led to a purposeful selection within the initial framework, that is, a form of matching-based sampling. This approach aims to add validity to the cross-sectional comparison but simultaneously limits the possibility of generalization (external validity), as those who did not respond in one of the two phases were excluded. The final sample (n = 114) was obtained after data cleaning with email identification as the main criterion. This ensures the uniqueness and accuracy of the observations, thereby enhancing the reliability of the results.
Finally, regarding the ethical issues, Robson (2010) refers to the distinction between ethics and ethics, saying that ethics generally concerns the general principles of what one should do, while ethics concerns the concept of right or wrong in an action. This study complied with the ethical and deontological principles of scientific research. All participants in both the quantitative and qualitative research were informed about the subject of the research, its purpose, and the reason for conducting it, as well as that the results of the research could be sent to them after its completion, if they wished. They were also informed that they would remain completely anonymous, that their questionnaires and interviews would be used exclusively for the purposes of the research, and that they could leave whenever they wished. With regard to the quantitative research, participants were also informed of the duration of the questionnaire after the pilot test so that they would not be misled about the time they would need to spend completing it, and they completed it whenever they had time available, without being pressured in any way.
4. Results
This section presents the findings of the quantitative research conducted to investigate the factors that influence the entrepreneurial intention of higher education students, as well as changes in this intention in relation to educational interventions and personal or social characteristics. The analysis began with a set of descriptive statistics to provide an overview of students’ entrepreneurial intention (EI) before and after attending the entrepreneurship course, followed by inferential analyses to test the proposed hypotheses. It should be noted that while the results offer reliable and statistically valid insights into short-term changes in entrepreneurial intention, the two-wave structure and limited sample size constrain the use of more elaborate longitudinal modeling. These constraints shape the interpretive boundaries of the findings, which are further addressed in the Discussion. Future research with larger samples and multi-wave measurements would enable more advanced techniques such as repeated-measures ANOVA, moderated/mediated models, or structural equation modeling. Such approaches would allow the exploration of interaction effects, long-term developmental trajectories and deeper causal mechanisms underlying the evolution of entrepreneurial intention. The present analytical choices therefore, reflect a balance between methodological rigor and the empirical limitations inherent in the dataset.
Table 1 presents the means, standard deviations, and confidence intervals for the pre-test and post-test measures. The results indicate a general upward shift in EI scores, suggesting that participation in the course had a positive influence on students’ entrepreneurial orientation. Subsequent inferential analyses were conducted to determine whether these changes were statistically significant and to identify the main factors associated with variations in EI across groups.
Table 1.
Descriptive statistics and test results for pre- and post-intervention scores. The table reports sample size, means and standard deviations, the mean difference with the corresponding 95% confidence interval, normality assessments using the Shapiro–Wilk and Kolmogorov–Smirnov tests, and the outcomes of the t-test, Wilcoxon rank-sum test, and Cohen’s d effect size.
Quantitative Research Results
Below is a detailed interpretation of the first result relating to Hypothesis 1, which states that:
H1:
Participation in entrepreneurship courses increases students’ entrepreneurial intentions.
To evaluate whether participation in the entrepreneurship course led to an increase in entrepreneurial intention (H1), pre–post changes in students’ intention scores were examined using both parametric and non-parametric methods. Descriptive statistics and inferential test results are summarized in Table 1. The mean entrepreneurial intention increased from 4.42 (SD = 1.75) at pre-test to 4.63 (SD = 1.55) at post-test. The paired-samples t-test indicated that this difference was statistically significant, t(113) = −3.22, p = 0.002, with a small-to-moderate effect size (d = 0.302). The Wilcoxon signed-rank test corroborated this finding, yielding a significant shift in the same direction (W = 1339, p = 0.014). These results demonstrate a consistent, statistically significant increase in entrepreneurial intention following course participation.
The distributional diagnostics reported in Table 1 show that both the Shapiro–Wilk test and Kolmogorov–Smirnov test did not indicate major deviations from normality. As outlined in Section 3, both parametric and non-parametric tests were inspected, and their convergence strengthens confidence in the observed pre–post improvement.
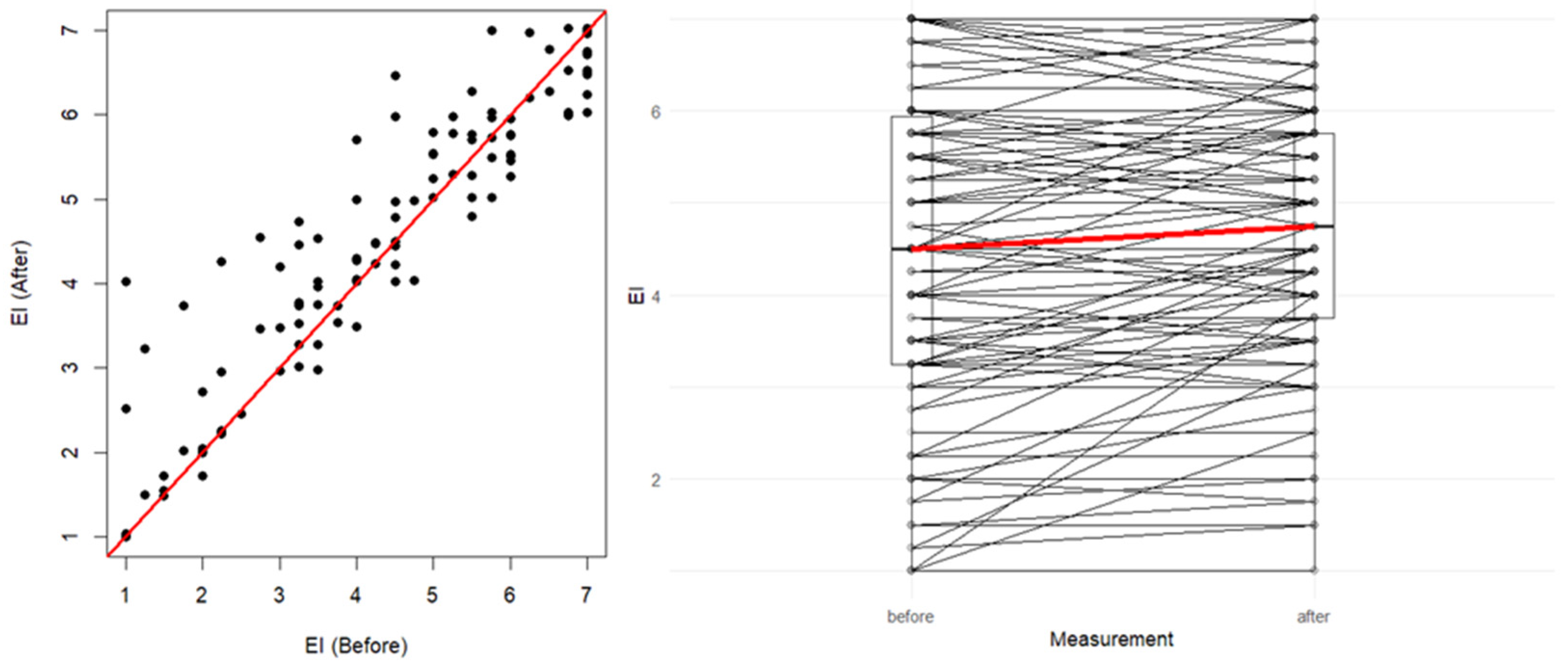
The visual analyses in Figure 2 further substantiate these quantitative findings. The scatterplot of pre- and post-test scores shows that most observations fall above the diagonal reference line, indicating upward movement in intention scores for a substantial proportion of the sample. Likewise, the individual trajectory plot, displaying all pre–post paired measurements, shows a clear upward trend in the red aggregated mean line, even though individual paths exhibit natural variability. This visualization illustrates that the aggregate improvement is not driven by a small subset of participants but reflects a broad shift across the cohort.
Figure 2.
Relationship between pre- and post-intervention EI scores. The left panel shows a scatterplot of individual EI scores before and after the intervention, with the diagonal line indicating equality. The right panel presents paired EI measurements for each participant, with lines connecting before- and after-scores and the red line representing the overall mean change.
Disaggregated analyses for each entrepreneurial intention subdimension (EI-1 to EI-4), corresponding to the questionnaire items “Becoming an entrepreneur is a professional goal of mine”, “I will make every effort to create and manage my own business”, “I am determined to start my own business in the foreseeable future”, and “I have the intention to start a business in the future”, are presented in Figure 3, Figure 4, Figure 5 and Figure 6, respectively. When examining the four EI subdimensions, the paired-line plots reveal nuanced patterns. EI-1, EI-3, and EI-4 show clear upward trends, as reflected by the positive slope of the average change line, suggesting that these facets of entrepreneurial intention were particularly responsive to the intervention. In contrast, EI-2 shows a slight decline, as indicated by the downward slope in its mean trajectory, suggesting that not all components of entrepreneurial intention evolved uniformly. Nevertheless, the heterogeneity observed across subdimensions underscores the multidimensional nature of entrepreneurial intention and suggests that different components may respond differently to short-term educational stimuli.
Figure 3.
Individual paired measurements of EI-1 (“Becoming an entrepreneur is a professional goal of mine”) levels before and after the intervention. Thin black lines connect each participant’s two measurements, illustrating within-subject changes. The red line highlights the overall trend (mean change) between the two time points.
Figure 4.
As in Figure 3, but for EI-2 (“I will make every effort to create and manage my own business”). Thin black lines connect each participant’s two measurements, illustrating within-subject changes. The red line highlights the overall trend (mean change) between the two time points.
Figure 5.
As in Figure 3, but for EI-3 (“I am determined to start my own business in the foreseeable future.”). Thin black lines connect each participant’s two measurements, illustrating within-subject changes. The red line highlights the overall trend (mean change) between the two time points.
Figure 6.
As in Figure 3, but for EI-4 (“I have the intention to start a business in the future”). Thin black lines connect each participant’s two measurements, illustrating within-subject changes. The red line highlights the overall trend (mean change) between the two time points.
The divergent pattern observed in EI-2 (“I will make every effort to create and manage my own business”) merits careful consideration. While EI-1, EI-3, and EI-4 showed consistent upward trends reflecting enhanced entrepreneurial aspiration and future-oriented intention, the decline in EI-2 suggests a more nuanced effect of the educational intervention. This subdimension uniquely emphasizes personal effort and active management commitment—concrete behavioral elements rather than aspirational goals. The decrease may indicate that as students gained a deeper understanding of the practical challenges, resource requirements, and sustained effort involved in creating and managing a business, they developed a more realistic assessment of their readiness to commit the necessary effort. This pattern aligns with the dual cognitive–inspirational mechanism described by Souitaris et al. (2007), where education simultaneously enhances entrepreneurial interest while fostering critical awareness of entrepreneurial demands. Thus, the decline in EI-2 should not be interpreted as diminished entrepreneurial motivation overall, but rather as evidence of increased realism and self-awareness, a pedagogically valuable outcome that may ultimately contribute to more sustainable entrepreneurial decision-making.
Taken together, the statistical evidence and visualizations provide coherent support for H1. Participation in the entrepreneurship course produced a measurable, statistically significant improvement in entrepreneurial intention, confirming the short-term efficacy of the educational intervention.
Next, Hypothesis 2 examines whether the gender of students influences their entrepreneurial intentions, suggesting that men have a higher intention to engage in entrepreneurship compared to women. Specifically:
H2:
Gender affects students’ entrepreneurial intentions, with men showing stronger intentions than women.
To evaluate H2, which posits that gender influences students’ entrepreneurial intentions, with men exhibiting stronger intentions than women, pre-intervention EI scores were compared across gender groups. Table 2 reports the descriptive statistics and inferential tests. Male students exhibited a higher mean EI score (M = 4.987, SD = 1.773) than female students (M = 4.391, SD = 1.663). The mean difference of 0.597 (95% CI: 0.029 to 1.164) indicates a statistically significant gap favoring men. Normality tests using the Shapiro–Wilk and Kolmogorov–Smirnov procedures showed no significant deviations for either group, supporting the use of parametric tests. The independent-samples t-test confirmed that men scored significantly higher than women (t = 2.083, p = 0.039), and the Mann–Whitney U test produced a consistent result (U = 344, p = 0.024). The effect size (Cohen’s d = 0.347) suggests a small-to-moderate magnitude of difference.
Table 2.
Descriptive statistics and between-group comparison of pre-intervention intention scores by gender. The table presents sample sizes, means with standard deviations, the mean difference and its 95% confidence interval, normality test results (Shapiro–Wilk and Kolmogorov–Smirnov), and outcomes of the t-test, Mann–Whitney U test, and Cohen’s d effect size.
The visual evidence presented in Figure 7 aligns with these statistical findings. The boxplot demonstrates a clear upward shift in the distribution of EI scores among male students. Males show a higher median EI score and a greater concentration of observations in the upper range of the scale compared with females. Although substantial variability exists within both groups, the clustering of higher scores among men is evident across individual data points, providing graphical support for the hypothesis.
Figure 7.
Comparison of pre-intervention intention scores between female and male participants. Medians and interquartile ranges are depicted using boxplots, and individual data points are overlaid to show the underlying distribution.
Together, the statistical tests and visual representation provide consistent evidence in support of H2. Male students reported significantly higher entrepreneurial intentions than female students, suggesting that gender plays a meaningful role in shaping initial levels of entrepreneurial motivation in this sample.
The next research hypothesis refers to the effect of students’ previous experience in family businesses or of having self-employed parents on their intention to start their own business. Specifically:
H3:
Students with previous experience in family businesses or with self-employed parents have a higher intention to start their own business.
Hypothesis H3 proposed that students with prior exposure to family businesses or with self-employed parents would exhibit higher entrepreneurial intentions than their peers. The results across all four operationalizations of parental entrepreneurship (father’s occupation, mother’s occupation, both parents’ occupation, and at least one parent’s occupation) provide consistent support for this hypothesis, with only minor exceptions.
Table 3 reports the comparisons by father’s occupation. Students whose fathers were entrepreneurs had substantially higher EI scores (M = 5.196, SD = 1.574) than those whose fathers worked in other occupations (M = 4.200, SD = 1.716). The mean difference of 0.996 (95% CI: 0.470 to 1.522) was statistically significant. Both parametric and nonparametric tests confirmed this effect (t = 3.743, p < 0.001; U = 3888, p < 0.001). The effect size (Cohen’s d = 0.605) was moderate, indicating a meaningful gap favoring students with entrepreneurial fathers. The corresponding boxplot (Figure 8) mirrors these results, showing a visibly higher median and upper quartile for this group, accompanied by a dense cluster of high EI values.
Table 3.
As in Table 2, but stratified by father’s occupation (entrepreneur vs. other).
Figure 8.
Pre-intervention intention scores stratified by father’s occupation (entrepreneur vs. other). The boxplots present the median and interquartile ranges for each group, while jittered points display individual participant scores.
Results for mother’s occupation (Table 4) were directionally consistent but less pronounced. Students with entrepreneurial mothers scored higher on average (M = 5.034, SD = 1.752) than those with mothers in other occupations (M = 4.521, SD = 1.711), though the mean difference of 0.513 (95% CI: –0.213 to 1.238) did not reach statistical significance. Neither the t-test nor the Mann–Whitney U test indicated significant group differences (p > 0.13). The small effect size (Cohen’s d = 0.296) suggests a modest trend that may not be detectable given the limited sample of students with entrepreneurial mothers. This pattern is reflected in the boxplot (Figure 9), where the median EI score appears higher for students with entrepreneurial mothers, but the distributions overlap substantially.
Table 4.
As in Table 2, but stratified by mother’s occupation (entrepreneur vs. other).
Figure 9.
As in Figure 8, but stratified by mother’s occupation (entrepreneur vs. other).
A more robust pattern emerges when examining the combined occupation of both parents (Table 5). Students with two entrepreneurial parents displayed markedly higher EI scores (M = 5.697, SD = 1.168) compared with all other students (M = 4.467, SD = 1.739). The difference of 1.230 (95% CI: 0.604 to 1.856) was statistically significant across all tests (t = 4.012, p < 0.001; U = 1820.5, p = 0.004), with a large effect size (Cohen’s d = 0.831). The boxplot (Figure 10) further illustrates this strong distinction, with the entrepreneur-parent group showing a higher central tendency and a compressed upper distribution, consistent with stronger and more homogeneous entrepreneurial intentions among these students.
Table 5.
As in Table 2, but based on the combined occupations of both parents (both entrepreneurs vs. others).
Figure 10.
As in Figure 8, but based on the combined occupations of both parents (both entrepreneurs vs. others).
Table 6 evaluates the effect of having at least one entrepreneurial parent, providing a broader operationalization of family business exposure. Students in this category again scored significantly higher (M = 5.007, SD = 1.698) than those with no entrepreneurial parents (M = 4.253, SD = 1.679). The mean difference of 0.754 (95% CI: 0.217 to 1.290) was statistically significant (t = 2.776, p = 0.006; U = 3760.5, p = 0.006), with a moderate effect size (Cohen’s d = 0.447). The corresponding boxplot (Figure 11) shows a clear upward shift in the median and upper quartile, reinforcing the statistical findings.
Table 6.
As in Table 2, but based on the occupation of either parent (at least one entrepreneur vs. other).
Figure 11.
As in Figure 8, but based on the occupation of either parent (at least one entrepreneur vs. other).
Taken together, the results across all models provide consistent support for H3. Students with entrepreneurial parents, whether one or both, exhibit higher entrepreneurial intentions than those without such backgrounds. The most substantial effects appear when both parents are entrepreneurs or when the father is self-employed, suggesting that family business exposure, role modeling, and entrepreneurial household culture may play an important role in shaping students’ initial entrepreneurial predispositions.
The last research hypothesis refers to whether students’ professional intentions are more influenced by psychological characteristics such as self-confidence and the need for achievement, compared to demographic factors. Specifically:
H4:
Students’ professional intentions are more influenced by psychological characteristics such as self-confidence and need for achievement than by demographic factors.
To evaluate H4, an initial multiple regression model was estimated with entrepreneurial intention as the dependent variable. The explanatory variables included three demographic factors (Gender, Age and Level of Education) and five psychological characteristics (Openness to Experience, Conscientiousness, Extraversion, Agreeableness and Neuroticism). This model allowed for a direct assessment of the relative predictive contribution of demographic versus psychological variables. The results of this model are presented in Table 7.
Table 7.
Full multiple regression including demographic and psychological predictors of entrepreneurial intention, with coefficients, p-values, and model fit statistics.
The initial model explained 23.6% of the variance in entrepreneurial intention (R2 = 0.2361; adjusted R2 = 0.183) and was statistically significant overall (F(10,144) = 4.45, p = 1.824 × 10−5), indicating that the full predictor set contributed meaningfully to explaining entrepreneurial intention differences among students. Examination of individual coefficients revealed that two psychological characteristics (Openness to Experience (p = 0.0214) and Extraversion (p < 0.001)) were statistically significant predictors in the initial model. By contrast, Conscientiousness, Agreeableness, and Neuroticism were not significant (all p > 0.05). Among the demographic variables, none reached conventional significance levels (Gender (p = 0.144), Age (p = 0.256), and the three education-level categories (all p > 0.05)). These findings suggest that psychological characteristics, rather than demographic attributes, play a stronger role in shaping entrepreneurial intention. This reinforces theoretical findings that emphasize the importance of internal motivations and cognitive perceptions for the development of entrepreneurial intentions (Ajzen, 1991; Zhao et al., 2005).
To identify the most parsimonious and better-fitting model, a backward stepwise regression was performed using Akaike’s Information Criterion (AIC) as the elimination criterion. The stepwise elimination process is detailed in Table 8. At each step, the algorithm removed the predictor whose exclusion produced the largest improvement (reduction) in AIC. This approach prioritizes global model fit rather than the statistical significance of individual coefficients. During the stepwise process, Level of Education (df = 3) was removed first, producing a notable improvement in AIC. Subsequent steps eliminated Agreeableness, Age, Conscientiousness, and Neuroticism, each removal further reducing AIC. Across these steps, demographic variables and the weaker psychological traits were systematically eliminated, reflecting their limited predictive power once the stronger psychological characteristics were accounted for.
Table 8.
Summary of the AIC-based backward elimination steps, showing the sequence of removed variables and corresponding changes in model fit.
The final model (Table 9) retained only Gender, Openness to Experience, and Extraversion, indicating that these variables provided the strongest explanatory contribution among the predictors considered. This reduced specification explained 21.5% of the variance in entrepreneurial intention (R2 = 0.215; adjusted R2 = 0.1994) and remained highly statistically significant (F(3,151) = 13.79, p = 5.379 × 10−8). Within this final specification, Openness to Experience (p = 0.008) and Extraversion (p < 0.001) were both individually significant predictors, confirming their strong and independent contribution to entrepreneurial intentions. Gender approached but did not reach conventional significance (p = 0.075), suggesting a marginal trend but not strong evidence for gender effects.
Table 9.
Reduced regression model after stepwise selection, reporting retained predictors, coefficients, p-values, and overall model performance.
Overall, the regression results consistently support H4. Psychological characteristics, particularly Openness to Experience and Extraversion, emerged as the primary drivers of entrepreneurial intention, while demographic factors did not exert significant explanatory power in either the full or reduced models. The backward elimination procedure further confirmed the robustness of this pattern, with psychological traits retained as core predictors and demographic variables systematically removed.
Completing the analysis of the quantitative research results, the main findings highlight the complex effect of cognitive, demographic and family factors on students’ entrepreneurial intention.
First, participation in entrepreneurship courses is associated with a statistically significant increase in entrepreneurial intention, with an average change of 0.21 points (p = 0.0016), which demonstrates the positive effect of educational intervention on the intention to become self-employed. Second, there is a statistically significant difference between the sexes, with men showing higher intentions than women, with an average difference of approximately 0.6 points (p = 0.03947). Thirdly, regarding the professional status of parents, it is observed that having a father or both parents as entrepreneurs is associated with a statistically significantly higher intention among students to pursue an entrepreneurial career, while the professional status of the mother, although showing a positive trend, is not statistically significant.
Finally, the findings related to personality are particularly interesting: both openness to experience and conscientiousness emerged as strong predictors of entrepreneurial intention. In fact, multiple regression showed that personal characteristics play a more decisive role than demographic factors or family influences in predicting entrepreneurial intention. In summary, the findings confirm a statistically significant enhancement of entrepreneurial intention following the entrepreneurship course, driven primarily by improvements in students’ self-confidence and perceived behavioral control. Although not all dimensions of EI increased uniformly, the overall pattern indicates that structured educational experiences can strengthen students’ readiness to engage in entrepreneurial activity. These results provide empirical support for the effectiveness of entrepreneurship education in narrowing the intention–action gap, setting the ground for further discussion in the next section.
5. Discussion
It is widely accepted that social welfare and economic progress are facilitated by entrepreneurship. Determining an individual’s predisposition to start new businesses requires an understanding of the factors that influence their entrepreneurial aspirations.
The existing literature has contributed significantly to understanding the relationship between entrepreneurship education and entrepreneurial intention, but there are still significant theoretical gaps regarding the transition from intention to entrepreneurial action. Responding to this gap, the present study adopts a quasi-longitudinal approach and explicitly focuses on the intention-action gap, exploring the dynamic evolution of entrepreneurial intention at different stages of students’ academic careers. At the same time, it integrates psychological factors, family background, and external constraints into a unified interpretive framework, contributing to the theoretical shift in entrepreneurial intention from a static outcome to a dynamic and vulnerable process, as called for by contemporary literature.
According to the quantitative findings of this study, there was a statistically significant increase in students’ entrepreneurial intentions after attending entrepreneurship courses, confirming previous research on the effect of education on strengthening entrepreneurial intentions (Gieure et al., 2020; Xanthopoulou & Sahinidis, 2022). Specifically, the 0.21-point increase in entrepreneurial intention indicates the effectiveness of educational interventions, in line with the theoretical framework of the Theory of Planned Behaviour (Ajzen, 1991). Furthermore, the findings demonstrate that gender is an important differentiating factor, with men exhibiting higher levels of intention, as documented in the international literature (Zampetakis et al., 2009). The influence of family business background is also interesting, as students with entrepreneurial parents show a statistically significant increase in entrepreneurial intention, especially when both parents have entrepreneurial experience. This finding is consistent with studies highlighting the role of observation and imitation of entrepreneurial role models in the family environment (Carr & Sequeira, 2007). Finally, the results of multiple regression indicate that personality traits, specifically openness to experience and conscientiousness, play a more decisive role in predicting entrepreneurial intention than demographic factors. This finding reinforces the conclusions of Gorgievski et al. (2018) and Kerr et al. (2018), who argue that entrepreneurship is more related to intellectual and psychological characteristics than to external socioeconomic variables. Therefore, this research reinforces the position that interventions to enhance entrepreneurship should focus not only on providing knowledge but also on developing intrapersonal skills and achievement motivation.
This study contributes to the literature in three ways. First, on a theoretical level, it extends the Theory of Planned Behaviour (TPB) model by examining not only the formation of entrepreneurial intentions, but also their dynamic evolution following an educational intervention, an element that has rarely been studied. Second, the methodological contribution concerns the use of a quantitative pre-post research design with real students in real learning conditions, rather than hypothetical scenarios, allowing for the recording of real changes over time rather than mere expectations, thus providing more reliable data for predicting entrepreneurial action. Third, this study contributes practically to the field of business education by demonstrating specific factors (e.g., self-confidence, need for achievement, and family business experience) that reinforce the conversion of intention into action, which is useful for redesigning programs aimed at reducing the intention–action gap. Appendix B presents a comparison table with prior studies. The following paragraphs present the answers to the specific research questions.
RQ1. What changes were observed in students’ intentions to start their own business over time?
Statistical analysis using a paired t-test revealed that there was a statistically significant increase in students’ entrepreneurial intention after completing the entrepreneurship courses (p = 0.0016). The mean difference (pre-post) was approximately 0.21 points on a scale of 1–7. This finding is consistent with international literature, which argues that entrepreneurship education, when experiential and interactive, positively enhances students’ intentions to start entrepreneurial activities (Fayolle & Gailly, 2015; Nabi et al., 2017). The upward trends in the graphs (see Figure 2, Figure 3, Figure 5 and Figure 6) further support the interpretation that exposure to entrepreneurial stimuli and simulations contributed to strengthening the intention to become self-employed. Therefore, there is a quantitative increase in the entrepreneurial intention of participants over time and, in particular, after the course intervention.
However, the aggregate increase in entrepreneurial intention masks important subdimensional variation that provides pedagogical insights. Notably, while three dimensions of entrepreneurial intention increased (professional goal orientation, determination to start, and future intention), the dimension related to effort commitment and business management (EI-2) declined slightly. This divergence reveals a theoretically and practically significant pattern: entrepreneurship education appears to simultaneously strengthen aspirational entrepreneurial identity while tempering unrealistic commitment to immediate action.
From a pedagogical perspective, this pattern may reflect the development of what Pittaway and Cope (2007) termed “informed intention”, where students’ entrepreneurial goals become more sophisticated and reality-grounded rather than purely aspirational. The course content likely exposed students to the substantial resources, skills, and sustained effort required for successful venture creation and management. This exposure may have prompted more cautious self-assessment regarding their current readiness to “make every effort” to create and manage a business, even as their general entrepreneurial identity and future orientation strengthened.
This finding has important implications for entrepreneurship education design. Rather than viewing the decline in EI-2 as a failure of the educational intervention, it may represent a valuable recalibration. Students maintain strong entrepreneurial aspirations while developing more realistic timelines and preparation strategies. This interpretation is consistent with calls by Nabi et al. (2017) for entrepreneurship education that balances inspiration with critical thinking about entrepreneurial realities. Educational programs should therefore aim not merely to maximize all dimensions of entrepreneurial intention uniformly, but to cultivate what might be termed “calibrated entrepreneurial intention”—high aspirational commitment combined with realistic self-assessment of current readiness and required preparation.
RQ2. Why do students’ intentions to start their own business change?
Multiple regression, optimized through stepwise regression, showed that the main determinants of the change in intentions are not demographic but psychological. Characteristics such as Openness and Conscientiousness emerged as stronger predictors of intention (see R2 = 0.215, F = 13.79, p < 0.001). In contrast, the gender and professional background of parents appeared to have less influence when psychological characteristics were introduced into the model. This finding is consistent with the Theory of Planned Behaviour (Ajzen, 1991), according to which individual characteristics influence entrepreneurial intention through attitude, perceived behavioral control and social norms. Therefore, the change in intention is explained mainly through the activation of internal factors (e.g., achievement motivation, self-confidence) that are reinforced during the course, and less through external factors (e.g., gender, parental background).
In conclusion, universities should not limit themselves to merely encouraging students’ entrepreneurial intentions but should adopt structured practices that support the transition from intention to action. Strategies such as strengthening incubators, mentoring by experienced entrepreneurs, providing or publicizing channels of access to financing, and creating synergies between the university and the local business ecosystem can reduce perceived barriers and boost students’ confidence to take entrepreneurial action. Similarly, at the policy level, reducing bureaucracy and creating incentives for student start-ups can facilitate this transition.
It should also be mentioned that these findings should be interpreted in the context of the Greek reality, where entrepreneurship is associated with high levels of bureaucracy and instability in the business environment, as well as strong family support for entrepreneurial activity. Overall, although students’ entrepreneurial intentions are reinforced through education, the Greek institutional and cultural context plays a decisive role in widening the gap between intention and action. At the level of national culture, the preference for stable forms of employment and the social acceptance of the public or salaried sector act as deterrents to the transition to entrepreneurial activity, especially at a young age. At the same time, prolonged economic instability and even past or current experiences of crisis have reinforced the perception of entrepreneurial risk, limiting the willingness to take risks even among students with a positive attitude towards entrepreneurship. Furthermore, the structure of Greek universities, which focuses mainly on theoretical training and less on systematic support for start-ups, limits the possibility of turning intention into action. The intention–action gap is further reinforced by the absence of stable mechanisms for guidance, funding, and market linkage after graduation, which reminds us that strengthening entrepreneurship cannot be based solely on educational intervention but requires coordinated institutional and political action. Nevertheless, these conclusions should be interpreted in light of certain methodological constraints and interpretive boundaries.
While this study provides valuable insights into the evolution of entrepreneurial intentions following educational intervention, it is important to acknowledge how the methodological approach shapes the interpretive scope of our findings. The reliance on paired-samples t-tests, independent-samples t-tests, and multiple linear regression, while appropriate for the research design and sample characteristics, imposes certain boundaries on causal interpretation and the exploration of complex relationships.
First, the use of simple parametric tests limits our ability to examine interaction effects between variables. For instance, while we demonstrate that both gender and personality traits independently influence entrepreneurial intention, we cannot definitively establish whether personality traits moderate the gender effect, or whether the impact of entrepreneurship education varies systematically across different personality profiles. Moderation analysis would require larger sample sizes and the application of hierarchical regression or moderated multiple regression techniques that test interaction terms explicitly.
Second, the absence of mediation analysis prevents us from establishing psychological mechanisms through which entrepreneurship education influences intention. Although we observe that intention increases following course participation and that certain personality traits predict intention levels, we cannot confirm whether the educational intervention operates by enhancing self-efficacy, altering perceived behavioral control, or shifting subjective norms, constructs central to the Theory of Planned Behaviour. Structural equation modeling (SEM) or path analysis would be necessary to test these mediating pathways rigorously.
Third, the two-wave design, while enabling pre–post comparison, does not capture the longitudinal dynamics of intention stability or decay. Repeated-measures ANOVA with three or more measurement points would allow for the examination of trajectory patterns, identifying whether intentions plateau, decline, or continue to grow after the immediate post-intervention period. Such analysis would also enable the detection of time × group interactions, revealing whether certain subgroups (e.g., students with entrepreneurial family backgrounds) maintain intention gains more effectively than others.
Fourth, the cross-sectional nature of some predictor variables (e.g., family background, personality traits) means that, while we can identify associations with entrepreneurial intention, we cannot establish temporal precedence or rule out reverse causality entirely. For example, students with higher initial intentions may retrospectively evaluate their personality traits more favorably or may be more likely to recall family business exposure. Panel data with time-lagged predictors would strengthen causal inference.
Finally, the modest sample size (n = 114) restricts statistical power for detecting small-to-moderate effects and limits the feasibility of subgroup analyses or multi-level modeling. Larger samples would enable more granular exploration of how contextual factors (e.g., course instructor, peer composition, institutional support) interact with individual characteristics to shape intention change.
These constraints do not invalidate the findings but rather define their interpretive boundaries. Our results demonstrate that entrepreneurship education produces measurable short-term increases in entrepreneurial intention and that psychological characteristics are stronger predictors of intention than demographic factors. However, claims regarding the mechanisms underlying these effects, the stability of intention over extended periods, and the conditional nature of these relationships across contexts must remain tentative pending replication with more sophisticated analytical approaches and richer longitudinal data. Moreover, the aggregate measurement approach for entrepreneurial intention, while validated and widely used, may obscure meaningful within-construct variation. The divergent patterns across EI subdimensions—particularly the decline in EI-2 while other dimensions increased—suggest that entrepreneurial intention is not uniformly affected by educational interventions. Future research employing dimension-specific analysis, potentially through item response theory or latent profile analysis, could better capture how different facets of entrepreneurial intention respond differentially to pedagogical stimuli and identify profiles of intention change that predict distinct entrepreneurial pathways.
6. Limitations and Suggestions for Future Research
At this point, it is appropriate to mention some limitations of qualitative research. First, the study was mainly based on self-reported data, which are subject to various biases and limitations. Self-reported measures can be influenced by social desirability bias, where participants may respond in a way they consider more favorable or acceptable. In addition, memory recall problems can lead to inaccuracies in the participants’ responses.
Furthermore, the voluntary nature of participation may introduce selection bias, as individuals who choose to participate may be more motivated or have greater interest in entrepreneurship than the general student population. This could lead to an overrepresentation of motivated individuals, potentially distorting the study’s findings. To mitigate these biases, we ensured the anonymity and confidentiality of the participants and recommend that future studies consider using additional data collection methods for validation.
Despite the statistical power and internal validity of the quantitative findings, this study has some limitations that should be considered when interpreting the results. First, the sample consisted of students from a specific academic environment and age group, which limits the generalizability of the findings to a wider population. Age homogeneity and shared educational experiences may influence entrepreneurial intentions uniformly, limiting opinion diversity. Second, the use of self-reported measures may have led to a bias towards socially desirable responses. Participants may have overestimated their entrepreneurial intentions or avoided expressing hesitations that are considered unacceptable, especially in an educational environment that promotes entrepreneurship.
Another limitation of this study is its duration. Although the pre-post approach recorded the evolution of intentions after the educational intervention, the time interval between the two measurements was relatively short. Both assessments were conducted within the same academic semester. Therefore, the design is more accurately characterized as quasi-longitudinal. It reflects short-term shifts but cannot capture long-term developmental trajectories or fluctuations in entrepreneurial intentions. Multi-wave longitudinal studies conducted across several semesters or academic years would enable future research to examine the stability, evolution, and potential attenuation of entrepreneurial intention over time, thereby offering a stronger temporal validity. Entrepreneurial intention is a dynamic phenomenon and is influenced by several exogenous factors that cannot be identified or controlled in short time intervals (Krueger et al., 2000). Finally, the multifactorial nature of entrepreneurial intention, as described in theoretical models such as TPB (Ajzen, 1991) and SEE (Shapero & Sokol, 1982/2002), does not allow for complete interpretation through linear statistical methods alone. Despite the use of multiple regression, important interactions between variables or non-linear relationships may have been overlooked.
Qualitative research was limited to a small group of Greek participants. This recognition paves the way for further research to confirm the results in multiple educational and cultural contexts, thereby increasing our understanding of how entrepreneurial goals manifest in different scenarios. The first application of this study to students from a single Greek institution and the distinctions between scientific subjects related to entrepreneurship and non-entrepreneurship are among its limitations.
Further studies with larger sample sizes are needed to determine the techniques. Another methodological issue is that the interviews were conducted more than three years after the end of the entrepreneurship course; therefore, the results depend on the participants’ memories of the past. Conducting many interviews regularly—for example, using video diaries throughout and after the entrepreneurship course—may ultimately provide more meaningful information about students’ intentions to pursue entrepreneurship. Regular interviews using techniques such as video diaries, both during and after the entrepreneurship course, may provide a deeper understanding of how students’ expectations of entrepreneurship have changed over time. The main source of data used in this study was self-reported information, which has various biases and limitations. Social desirability bias may lead participants to respond in a way they believe is more positive or acceptable, which may affect the measures they report. Furthermore, problems with memory recall may have caused participants to provide inaccurate responses. To increase the relevance of the findings, future research could build on this work by investigating comparable approaches in different cultural and educational contexts. Diverse cultural and educational backgrounds can provide distinct perspectives on the factors that influence entrepreneurial intentions, strengthen entrepreneurship education, and provide a comprehensive understanding of the factors that drive entrepreneurial ambition. Future studies should consider using mixed-method techniques to validate self-reported data and ensure accuracy to reduce these limitations. The findings would be more widely applicable if the demographic field of participants were broadened to include a wider range of backgrounds. Furthermore, by separating the specific effects of the entrepreneurship course from other variables using a control group in the research design, the impact of the course can be examined more thoroughly. Future research should employ dimension-specific analyses to understand how different components of entrepreneurial intention (aspirational vs. action-oriented) respond to educational interventions. Longitudinal qualitative research could examine whether students showing this “calibrated intention” pattern ultimately demonstrate more sustainable entrepreneurial careers than those with uniformly high intention across all dimensions. Finally, future research could also investigate the actual entrepreneurial activities that students engage in after graduation. This would help to better understand the intention-action gap.
Comparative research between different countries can also shed light on the role of cultural and institutional factors, while exploring the influence of gender, personality, and the digital business environment can offer important additional insights into the mechanisms that reinforce or inhibit the transition to action.
Overall, future research could build on the present findings and promote a more comprehensive understanding of the variables that influence entrepreneurial tendencies in different situations and demographics, addressing these limitations.
Author Contributions
Conceptualization, P.X., A.S. and E.E.V.; Methodology, P.X. and E.E.V.; Software, E.E.V.; Validation, P.X. and A.K.; Formal analysis, E.E.V.; Investigation, P.X.; Resources, P.X. and A.S.; Data curation, E.E.V., A.S. and A.K.; Writing—original draft preparation, P.X.; Writing—review and editing, A.S., E.E.V. and A.K.; Supervision, A.S.; Project administration, P.X. All authors have read and agreed to the published version of the manuscript.
Funding
This research received no external funding.
Institutional Review Board Statement
I confirm that the study was conducted in accordance with the Declaration of Helsinki (1975, revised in 2013). Approval was obtained within the framework of my postdoctoral research at the University of West Attica. The details are as follows: Ethics Committee Name: Department of Business Administration Assembly, University of West Attica, Approval Code: [16/20.07.2022], Approval Date: [21 July 2022].
Informed Consent Statement
Informed consent was obtained from all subjects involved in the study. Participation was voluntary, data were collected anonymously, and no identifying or sensi-tive personal data were recorded.
Data Availability Statement
The data presented in this study are available on request from the corresponding author. The data are not publicly available due to privacy and ethical restrictions.
Conflicts of Interest
The authors declare no conflicts of interest.
Abbreviations
The following abbreviations are used in this manuscript:
| Abbreviation | Definition |
| EI | Entrepreneurial Intention |
| TPB | Theory of Planned Behaviour |
| EE | Entrepreneurship Education |
| SPSS | Statistical Package for the Social Sciences |
| VIF | Variance Inflation Factor |
| R2 | Coefficient of Determination |
| SD | Standard Deviation |
| CI | Confidence Interval |
| α (Cronbach’s α) | Internal Consistency Coefficient |
| d (Cohen’s d) | Effect Size (Standardized Mean Difference) |
| SME | Small and Medium-sized Enterprise |
| HEI | Higher Education Institution |
Appendix A
Figure A1.
Business Plan Templates for the Purposes of the Diary Study.
Figure A1.
Business Plan Templates for the Purposes of the Diary Study.

Appendix B
Table A1.
Entrepreneurial Intention and the Intention–Action Gap.
Table A1.
Entrepreneurial Intention and the Intention–Action Gap.
| Study | Sample & Context | Research Design | Theoretical Framework | Main Variables Examined | Key Findings | Limitations Identified in Original Study | What the Present Study Adds (Novelty) |
|---|---|---|---|---|---|---|---|
| Souitaris et al. (2007) | University students attending an entrepreneurship program (EU) | Pre–post quantitative design | EE theories, Attitude–Intention logic | Entrepreneurial intention; attitudinal changes | EE increases intention but not linked to real behavior | No follow-up; no behavioral indicators; no personality variables | Provides updated empirical evidence with real-course context and integrates personality moderators |
| Shirokova et al. (2016) | 17,000+ students in 21 countries | Cross-sectional + multi-level | Institutional theory | University environment; family background; uncertainty avoidance | Institutional factors shape intention–action conversion | No pre–post design; country-level confounds | Uses controlled pre–post measurement in a single institutional context to isolate educational impact |
| Nabi et al. (2017) (Systematic Review) | 159 EE studies | Systematic literature review | EE evaluation frameworks | EE outcomes, intentions, long-term effects | Highlights lack of behavioral evidence and long-term tracking | No primary data; calls for real-course empirical evidence | Responds directly to review’s call by providing real student data + intention evolution analysis |
| Bae et al. (2014) | Meta-analysis of 73 studies | Meta-analytic | TPB, EE theories | EE → EI relationship | Small positive effect; large heterogeneity | No dynamics; no intention–action measurement | Adds dynamic perspective (pre–post change) and investigates drivers of intention shifts |
| Present Study (Your Study) | University students in Greece in a real entrepreneurship course | Pre–post quantitative design | TPB + personality + contextual factors | Attitude, SN, PBC, personality, gender, family business background | identifies key drivers of intention change and practical determinants of intention–action transition | Addresses gaps: lack of dynamic empirical designs, lack of intention-change predictors, absence of integrated TPB-personality-context models | Unique integrated model; dynamic evidence of intention evolution; practical insights for designing EE that reduces the intention–action gap; first study in Greece combining TPB, personality, and contextual moderators in a pre–post real-course context. |
| Santos et al. (2019) | University students | Qualitative | Socio-cultural lens | Identity, self-discovery, social norms | Universities shape identity formation | Qualitative only; no outcome measures | Combines psychological, contextual, and identity-related influences into a quantitative model |
| Ferreira et al. (2023) | Young adults | Quantitative | TPB | Attitudes, SN, PBC | TPB explains intention variance | No educational context; no dynamic design | Integrates TPB in an educational intervention context and examines intention evolution |
| Asenkerschbaumer et al. (2024) | Student entrepreneurs | Survey + ecosystem focus | Ecosystem theory | Social support; networks; self-efficacy | Social support enhances intentions | No temporal dimension | Shows how such factors influence pre–post intention changes during a course |
| Haddad et al. (2022) | University students | Survey | Cultural dimensions + TPB | Cultural traits; risk propensity; EI | Cultural traits and risk affect EI | No intervention; no behavior link | Adds educational intervention + intention-shift analysis within TPB framework |
| Botezat et al. (2022) | Longitudinal student data | Multi-wave | TPB + contextual | EI over time; pandemic effects | EI changes during crisis | External shock context; limited generalizability | Measures intention change under normal educational conditions |
| Xanthopoulou & Sahinidis (2025) | Greek students (pre–post) | Mixed-methods; longitudinal components | EE + intention evolution | EI dynamics, teaching methods, support | Significant EI changes across semesters | Mixed-method but not fully TPB integrated | Expands with broader set of predictors (personality, context, family background) |
References
- Abbasianchavari, A., & Moritz, A. (2021). The impact of role models on entrepreneurial intentions and behaviour: A review of the literature. Management Review Quarterly, 71(1), 1–40. [Google Scholar] [CrossRef]
- Adetola, V., Lin, F., Yuan, S., & Reeve, H. (2018). Building flexibility estimation and control for grid ancillary services. Energy Procedia, 150(1), 289–296. [Google Scholar]
- Ahmed, T., Chandran, V. G. R., Klobas, J. E., Liñán, F., & Kokkalis, P. (2020). Entrepreneurship education programmes: How learning, inspiration and resources affect intentions for new venture creation in a developing economy. The International Journal of Management Education, 18(1), 100327. [Google Scholar] [CrossRef]
- Ajzen, I. (1991). The theory of planned behaviour. Organizational Behavior and Human Decision Processes, 50(2), 179–211. [Google Scholar] [CrossRef]
- Al-Jubari, I., Hassan, A., & Hashim, J. (2017). The role of autonomy as a predictor of entrepreneurial intention among university students in Yemen. International Journal of Entrepreneurship and Small Business, 30(3), 325–340. [Google Scholar] [CrossRef]
- Al-Mamary, Y. H., & Alshallaqi, M. (2022). Impact of autonomy, innovativeness, risk-taking, proactiveness, and competitive aggressiveness on students’ intention to start a new venture. Journal of Innovation & Knowledge, 7(4), 100239. [Google Scholar] [CrossRef]
- Almeida, A., & Garrod, B. (2024). Drivers and inhibitors of entrepreneurship in Europe’s Outermost Regions: Implications for entrepreneurship education. The International Journal of Management Education, 22(2), 100975. [Google Scholar] [CrossRef]
- Alsyouf, A., Ishak, A. K., Lutfi, A., Alhazmi, F. N., & Al-Okaily, M. (2022). The role of personality and top management support in continuance intention to use electronic health record systems among nurses. International Journal of Environmental Research and Public Health, 19(17), 11125. [Google Scholar] [CrossRef]
- Anjum, T., Díaz Tautiva, J. A., Zaheer, M. A., & Heidler, P. (2024). Entrepreneurial intentions: Entrepreneurship education programs, cognitive motivational factors of planned behaviour, and business incubation centres. Education Sciences, 14(9), 983. [Google Scholar] [CrossRef]
- Anwar, M., Clauss, T., & Issah, W. B. (2022). Entrepreneurial orientation and new venture performance in emerging markets: The mediating role of opportunity recognition. Review of Managerial Science, 16(3), 769–796. [Google Scholar] [CrossRef]
- Aparicio, S., Turro, A., & Noguera, M. (2020). Entrepreneurship and intrapreneurship in social, sustainable, and economic development: Opportunities and challenges for future research. Sustainability, 12(21), 8958. [Google Scholar] [CrossRef]
- Asenkerschbaumer, M., Greven, A., & Brettel, M. (2024). The role of entrepreneurial imaginativeness for implementation intentions in new venture creation. International Entrepreneurship and Management Journal, 20(1), 55–88. [Google Scholar] [CrossRef]
- Ayob, A. H. (2021). Institutions and student entrepreneurship: The effects of economic conditions, culture and education. Educational Studies, 47(6), 661–679. [Google Scholar] [CrossRef]
- Bae, T. J., Qian, S., Miao, C., & Fiet, J. O. (2014). The relationship between entrepreneurship education and entrepreneurial intentions: A meta-analytic review. Entrepreneurship Theory and Practice, 38(2), 217–254. [Google Scholar] [CrossRef]
- Barba-Sánchez, V., & Atienza-Sahuquillo, C. (2017). Entrepreneurial motivation and self-employment: Evidence from expectancy theory. International Entrepreneurship and Management Journal, 13(1), 1097–1115. [Google Scholar] [CrossRef]
- Barba-Sánchez, V., & Atienza-Sahuquillo, C. (2018). Entrepreneurial intention among engineering students: The role of entrepreneurship education. European Research on Management and Business Economics, 24(1), 53–61. [Google Scholar] [CrossRef]
- Barba-Sánchez, V., Mitre-Aranda, M., & del Brío-González, J. (2022). The entrepreneurial intention of university students: An environmental perspective. European Research on Management and Business Economics, 28(2), 100184. [Google Scholar] [CrossRef]
- Barbero, J., Diukanova, O., Gianelle, C., Salotti, S., & Santoalha, A. (2024). Technologically related diversification: One size does not fit all European regions. Research Policy, 53(3), 104973. [Google Scholar] [CrossRef]
- Beyhan, B., & Findik, D. (2018). Student and graduate entrepreneurship: Ambidextrous universities create more nascent entrepreneurs. The Journal of Technology Transfer, 43(5), 1346–1374. [Google Scholar] [CrossRef]
- Bogatyreva, K., & Shirokova, G. (2017). From entrepreneurial aspirations to founding a business: The case of Russian students. Foresight and STI Governance, 11(3), 25–37. [Google Scholar] [CrossRef]
- Botezat, E. A., Constăngioară, A., Dodescu, A. O., & Pop-Cohuţ, I. C. (2022). How stable are students’ entrepreneurial intentions in the COVID-19 pandemic context? Sustainability, 14(9), 5690. [Google Scholar] [CrossRef]
- Carr, J. C., & Sequeira, J. M. (2007). Prior family business exposure as intergenerational influence and entrepreneurial intent: A theory of planned behaviour approach. Journal of Business Research, 60(10), 1090–1098. [Google Scholar] [CrossRef]
- Contreras-Barraza, N., Espinosa-Cristia, J. F., Salazar-Sepulveda, G., & Vega-Muñoz, A. (2021). Entrepreneurial intention: A gender study in business and economics students from Chile. Sustainability, 13(9), 4693. [Google Scholar] [CrossRef]
- Davidsson, P., & Honig, B. (2003). The role of social and human capital among nascent entrepreneurs. Journal of Business Venturing, 18(3), 301–331. [Google Scholar] [CrossRef]
- Debarliev, S., Janeska-Iliev, A., Stripeikis, O., & Zupan, B. (2022). What can education bring to entrepreneurship? Formal versus non-formal education. Journal of Small Business Management, 60(1), 219–252. [Google Scholar] [CrossRef]
- de Sousa-Filho, J. M., Matos, S., da Silva Trajano, S., & de Souza Lessa, B. (2020). Determinants of social entrepreneurial intentions in a developing country context. Journal of Business Venturing Insights, 14(1), e00207. [Google Scholar] [CrossRef]
- Do, B. R., & Dadvari, A. (2017). The influence of the dark triad on the relationship between entrepreneurial attitude orientation and entrepreneurial intention: A study among students in Taiwan University. Asia Pacific Management Review, 22(4), 185–191. [Google Scholar] [CrossRef]
- Dong, Y., Pang, L., & Fu, L. (2019). Research on the influencing factors of entrepreneurial intentions based on the mediating effect of self-actualisation. International Journal of Innovation Science, 11(3), 388–401. [Google Scholar] [CrossRef]
- Douglas, H. (2013). The value of cognitive values. Philosophy of Science, 80(5), 796–806. [Google Scholar] [CrossRef]
- Dvouletý, O., Mühlböck, M., Warmuth, J., & Kittel, B. (2018). ‘Scarred’ young entrepreneurs: Exploring young adults’ transition from former unemployment to self-employment. Journal of Youth Studies, 21(9), 1159–1181. [Google Scholar] [CrossRef]
- Farooq, M. S., Salam, M., ur Rehman, S., Fayolle, A., Jaafar, N., & Ayupp, K. (2018). Impact of support from social network on entrepreneurial intention of fresh business graduates: A structural equation modelling approach. Education + Training, 60(4), 335–353. [Google Scholar] [CrossRef]
- Fayolle, A., & Gailly, B. (2015). The impact of entrepreneurship education on entrepreneurial attitudes and intention: Hysteresis and persistence. Journal of Small Business Management, 53(1), 75–93. [Google Scholar] [CrossRef]
- Ferreira, J. J., Fernandes, C. I., & Veiga, P. M. (2023). The role of entrepreneurial ecosystems in SME internationalisation. Journal of Business Research, 157(1), 113603. [Google Scholar] [CrossRef]
- Georgescu, M. A., & Herman, E. (2020). The impact of the family background on students’ entrepreneurial intentions: An empirical analysis. Sustainability, 12(11), 4775. [Google Scholar] [CrossRef]
- Gielnik, M. M., Zacher, H., & Wang, M. (2018). Age in the entrepreneurial process: The role of future time perspective and prior entrepreneurial experience. Journal of Applied Psychology, 103(10), 1067–1085. [Google Scholar] [CrossRef]
- Gieure, C., del Mar Benavides-Espinosa, M., & Roig-Dobón, S. (2020). The entrepreneurial process: The link between intentions and behavior. Journal of Business Research, 112(1), 541–548. [Google Scholar] [CrossRef]
- Gorgievski, M. J., Stephan, U., Laguna, M., & Moriano, J. A. (2018). Predicting entrepreneurial career intentions: Values and the theory of planned behaviour. Journal of Career Assessment, 26(3), 457–475. [Google Scholar] [CrossRef] [PubMed]
- Haddad, C. R., Nakić, V., Bergek, A., & Hellsmark, H. (2022). Transformative innovation policy: A systematic review. Environmental Innovation and Societal Transitions, 43, 14–40. [Google Scholar] [CrossRef]
- Hanage, R., Davies, M. A. P., Stenholm, P., & Scott, J. M. (2024). Extending the theory of planned behaviour—A longitudinal study of entrepreneurial intentions. Entrepreneurship Research Journal, 14(3), 1223–1258. [Google Scholar] [CrossRef]
- Haus, I., Steinmetz, H., Isidor, R., & Kabst, R. (2013). Gender effects on entrepreneurial intention: A meta-analytical structural equation model. International Journal of Gender and Entrepreneurship, 5(2), 130–156. [Google Scholar] [CrossRef]
- Hägg, G., & Kurczewska, A. (2019). Who is the student entrepreneur? Understanding the emergent adult through the pedagogy and andragogy interplay. Journal of Small Business Management, 57(1), 130–147. [Google Scholar] [CrossRef]
- Henrekson, M., & Stenkula, M. (2010). Entrepreneurship and public policy. In Handbook of entrepreneurship research: An interdisciplinary survey and introduction (pp. 595–637). Springer. [Google Scholar]
- Hsu, D. K., Burmeister-Lamp, K., Simmons, S. A., Foo, M. D., Hong, M. C., & Pipes, J. D. (2019). “I know I can, but I don’t fit”: Perceived fit, self-efficacy, and entrepreneurial intention. Journal of Business Venturing, 34(2), 311–326. [Google Scholar] [CrossRef]
- Inoubli, C. E., & Gharbi, L. (2024). Investigating how social context moderates the relationship between intentions and behaviours in student entrepreneurship: Case of Tunisian students. The International Journal of Management Education, 22(1), 100918. [Google Scholar] [CrossRef]
- Jansen, M., Scherer, R., & Schroeders, U. (2015). Students’ self-concept and self-efficacy in the sciences: Differential relations to antecedents and educational outcomes. Contemporary Educational Psychology, 41(1), 13–24. [Google Scholar] [CrossRef]
- Jiang, X., & Sun, Y. (2015). Research article study on constructing an education platform for innovation and entrepreneurship of university students. Research Journal of Applied Sciences, Engineering and Technology, 9(10), 824–829. [Google Scholar] [CrossRef]
- Kanwal, S., Pitafi, A. H., Pitafi, A., Nadeem, M. A., Younis, A., & Chong, R. (2019). China–Pakistan Economic Corridor (CPEC) development projects and entrepreneurial potential of locals. Journal of Public Affairs, 19(4), e1954. [Google Scholar] [CrossRef]
- Kautonen, T., Van Gelderen, M., & Fink, M. (2015). Robustness of the theory of planned behaviour in predicting entrepreneurial intentions and actions. Entrepreneurship Theory and Practice, 39(3), 655–674. [Google Scholar] [CrossRef]
- Kefis, V., & Xanthopoulou, P. (2015). Teaching entrepreneurship through e-learning: The implementation in schools of social sciences and humanities in Greece. International Journal of Sciences, 4(8), 17–23. [Google Scholar] [CrossRef][Green Version]
- Kerr, S. P., Kerr, W. R., & Xu, T. (2018). Personality traits of entrepreneurs: A review of recent literature. Foundations and Trends® in Entrepreneurship, 14(3), 279–356. [Google Scholar] [CrossRef]
- Kobylińska, U. (2022). Attitudes, subjective norms, and perceived control versus contextual factors influencing the entrepreneurial intentions of students from Poland. WSEAS Transactions on Business and Economics, 19(1), 94–106. [Google Scholar] [CrossRef]
- Koe, W. L., Krishnan, R., & Alias, N. E. (2021). The influence of self-efficacy and individual entrepreneurial orientation on technopreneurial intention among Bumiputra undergraduate students. Asian Journal of University Education, 17(4), 490–497. [Google Scholar] [CrossRef]
- Koe, W. L., Sa’ari, J. R., Majid, I. A., & Ismail, K. (2012). Determinants of entrepreneurial intention among millennial generation. Procedia—Social and Behavioral Sciences, 40(1), 197–208. [Google Scholar] [CrossRef]
- Krueger, N. F. (1993). The impact of prior entrepreneurial exposure on perceptions of new venture feasibility and desirability. Entrepreneurship Theory and Practice, 18(1), 5–21. [Google Scholar] [CrossRef]
- Krueger, N. F., Mestwerdt, S., & Kickul, J. (2024). Entrepreneurial thinking: Rational vs. intuitive. Journal of Intellectual Capital, 25(5/6), 942–962. [Google Scholar] [CrossRef]
- Krueger, N. F., Jr., Reilly, M. D., & Carsrud, A. L. (2000). Competing models of entrepreneurial intentions. Journal of Business Venturing, 15(5–6), 411–432. [Google Scholar] [CrossRef]
- Küttim, M., Kallaste, M., Venesaar, U., & Kiis, A. (2014). Entrepreneurship education at university level and students’ entrepreneurial intentions. Procedia—Social and Behavioral Sciences, 110(1), 658–668. [Google Scholar] [CrossRef]
- Le, T. T., Nguyen, T. H., Ha, S. T., Nguyen, Q. K., Tran, N. M., & Duong, C. D. (2023). The effect of entrepreneurial education on entrepreneurial intention among master students: Prior self-employment experience as a moderator. Central European Management Journal, 31(1), 30–47. [Google Scholar] [CrossRef]
- Liñán, F., & Chen, Y. W. (2009). Development and cross-cultural application of a specific instrument to measure entrepreneurial intentions. Entrepreneurship Theory and Practice, 33(3), 593–617. [Google Scholar] [CrossRef]
- Liñán, F., & Fayolle, A. (2015). A systematic literature review on entrepreneurial intentions: Citation, thematic analyses, and research agenda. International Entrepreneurship and Management Journal, 11(1), 907–933. [Google Scholar] [CrossRef]
- Liñán, F., Rodríguez-Cohard, J. C., & Rueda-Cantuche, J. M. (2011). Factors affecting entrepreneurial intention levels: A role for education. International Entrepreneurship and Management Journal, 7(1), 195–218. [Google Scholar] [CrossRef]
- Lortie, J., & Castogiovanni, G. (2015). The Theory of Planned Behaviour in entrepreneurship research: What we know and future directions. International Entrepreneurship and Management Journal, 11(1), 935–957. [Google Scholar] [CrossRef]
- Lu, G., Song, Y., & Pan, B. (2021). How university entrepreneurship support affects college students’ entrepreneurial intentions: An empirical analysis from China. Sustainability, 13(6), 3224. [Google Scholar] [CrossRef]
- Luc, P. T. (2020). The influence of personality traits on social entrepreneurial intention among owners of civil society organisations in Vietnam. International Journal of Entrepreneurship and Small Business, 40(3), 291–308. [Google Scholar] [CrossRef]
- Lungu, A. E. (2022). Comparative analysis of entrepreneurial innovation factors in 25 national states. ANDULI. Revista Andaluza de Ciencias Sociales, 21(1), 55–73. [Google Scholar] [CrossRef]
- Maes, J., Leroy, H., & Sels, L. (2014). Gender differences in entrepreneurial intentions: A TPB multi-group analysis at factor and indicator level. European Management Journal, 32(5), 784–794. [Google Scholar] [CrossRef]
- Maheshwari, G., Kha, K. L., & Arokiasamy, A. R. A. (2023). Factors affecting students’ entrepreneurial intentions: A systematic review (2005–2022) for future directions in theory and practice. Management Review Quarterly, 73(4), 1903–1970. [Google Scholar] [CrossRef]
- Mahfud, T., Triyono, M. B., Sudira, P., & Mulyani, Y. (2020). The influence of social capital and entrepreneurial attitude orientation on entrepreneurial intentions: The mediating role of psychological capital. European Research on Management and Business Economics, 26(1), 33–39. [Google Scholar] [CrossRef]
- Mamun, A. A., Nawi, N. B. C., Mohiuddin, M., Shamsudin, S. F. F. B., & Fazal, S. A. (2017). Entrepreneurial intention and startup preparation: A study among business students in Malaysia. Journal of Education for Business, 92(6), 296–314. [Google Scholar] [CrossRef]
- Maresch, D., Harms, R., Kailer, N., & Wimmer-Wurm, B. (2016). The impact of entrepreneurship education on the entrepreneurial intention of students in science and engineering versus business studies university programmes. Technological Forecasting and Social Change, 104(1), 172–179. [Google Scholar] [CrossRef]
- Maslow, A. H. (1943). A theory of human motivation. Psychological Review, 50(4), 370–396. [Google Scholar] [CrossRef]
- Meoli, A., Fini, R., Sobrero, M., & Wiklund, J. (2020). How entrepreneurial intentions influence entrepreneurial career choices: The moderating influence of social context. Journal of Business Venturing, 35(3), 105982. [Google Scholar] [CrossRef]
- Molino, M., Dolce, V., Cortese, C. G., & Ghislieri, C. (2018). Personality and social support as determinants of entrepreneurial intention: Gender differences in Italy. PLoS ONE, 13(6), e0199924. [Google Scholar] [CrossRef]
- Morris, D. B., Usher, E. L., & Chen, J. A. (2017). Reconceptualising the sources of teaching self-efficacy: A critical review of emerging literature. Educational Psychology Review, 29(1), 795–833. [Google Scholar] [CrossRef]
- Nabi, G., Liñán, F., Fayolle, A., Krueger, N., & Walmsley, A. (2017). The impact of entrepreneurship education in higher education: A systematic review and research agenda. Academy of Management Learning & Education, 16(2), 277–299. [Google Scholar] [CrossRef]
- Neneh, B. N. (2014). An assessment of entrepreneurial intention among university students in Cameroon. Mediterranean Journal of Social Sciences, 5(20), 542–552. [Google Scholar] [CrossRef]
- Neumann, T. (2022). The impact of green entrepreneurship on economic, social, and environmental development [Doctoral dissertation, Zentrale Hochschulbibliothek]. Available online: https://www.eksh.org/fileadmin/redakteure/downloads/publikationen/dissertation-neumann-kumulativ-2023.pdf (accessed on 27 October 2025).
- Nowiński, W., & Haddoud, M. Y. (2019). The role of inspiring role models in enhancing entrepreneurial intention. Journal of Business Research, 96(1), 183–193. [Google Scholar] [CrossRef]
- Omar, N. A., Shah, N. U., Hasan, N. A., & Ali, M. H. (2019). The influence of self-efficacy, motivation, and independence on students’ entrepreneurial intentions. Journal of Nusantara Studies, 4(2), 1–28. [Google Scholar] [CrossRef]
- Otache, I., Umar, K., Audu, Y., & Onalo, U. (2021). The effects of entrepreneurship education on students’ entrepreneurial intentions: A longitudinal approach. Education + Training, 63(7/8), 967–991. [Google Scholar] [CrossRef]
- Ozaralli, N., & Rivenburgh, N. K. (2016). Entrepreneurial intention: Antecedents to entrepreneurial behaviour in the USA and Turkey. Journal of Global Entrepreneurship Research, 6(1), 3. [Google Scholar] [CrossRef]
- Pérez-Macías, N., Fernández-Fernández, J. L., & Vieites, A. R. (2022). Analyzing the past to prepare for the future: A review of literature on factors with influence on entrepreneurial intentions. Journal of International Entrepreneurship, 20(1), 52–114. [Google Scholar] [CrossRef]
- Pittaway, L., & Cope, J. (2007). Entrepreneurship education: A systematic review of the evidence. International Small Business Journal, 25(5), 479–510. [Google Scholar] [CrossRef]
- Polit, D. F., & Beck, C. T. (2010). Generalisation in quantitative and qualitative research: Myths and strategies. International Journal of Nursing Studies, 47(11), 1451–1458. [Google Scholar] [CrossRef]
- Politis, D., Winborg, J., & Dahlstrand, Å. L. (2012). Exploring the resource logic of student entrepreneurs. International Small Business Journal, 30(6), 659–683. [Google Scholar] [CrossRef]
- Pornsakulvanich, V. (2017). Personality, attitudes, social influences, and social networking site usage predicting online social support. Computers in Human Behavior, 76(1), 255–262. [Google Scholar] [CrossRef]
- Ramoglou, S., Gartner, W. B., & Tsang, E. W. (2020). Who is an entrepreneur? is (still) the wrong question. Journal of Business Venturing Insights, 13(1), e00168. [Google Scholar] [CrossRef]
- Rauch, A., & Frese, M. (2007). Let’s put the person back into entrepreneurship research: A meta-analysis on the relationship between business owners’ personality traits, business creation, and success. European Journal of work and organizational psychology, 16(4), 353–385. [Google Scholar] [CrossRef]
- Reuel Johnmark, D., Munene, J. C., & Balunywa, W. (2016). Robustness of personal initiative in moderating entrepreneurial intentions and actions of disabled students. Cogent Business & Management, 3(1), 1169575. [Google Scholar] [CrossRef]
- Robson, G. D. (2010). Continuous process improvement. Simon & Schuster. [Google Scholar]
- Roos, A. (2021). Reproducing gender—The spatial context of gender in entrepreneurship. Acta Universitatis Agriculturae Sueciae, 2021(8). Available online: https://publications.slu.se/?file=publ/show&id=109896 (accessed on 13 June 2025).
- Ruiz-Rosa, I., Gutiérrez-Taño, D., & García-Rodríguez, F. J. (2020). Social entrepreneurial intention and the impact of COVID-19 pandemic: A structural model. Sustainability, 12(17), 6970. [Google Scholar] [CrossRef]
- Rusu, V. D., Roman, A., & Tudose, M. B. (2022). Determinants of entrepreneurial intentions of youth: The role of access to finance. Engineering Economics, 33(1), 86–102. [Google Scholar] [CrossRef]
- Santos, S. C., Costa, S. F., Neumeyer, X., & Caetano, A. (2016). Bridging entrepreneurial cognition research and entrepreneurship education: What and how. In Annals of entrepreneurship education and pedagogy—2016 (pp. 83–108). Edward Elgar Publishing. [Google Scholar] [CrossRef]
- Santos, S. C., Neumeyer, X., & Morris, M. H. (2019). Entrepreneurship education in a poverty context: An empowerment perspective. Journal of Small Business Management, 57(1), 6–32. [Google Scholar] [CrossRef]
- Saptono, A., Wibowo, A., Widyastuti, U., Narmaditya, B. S., & Yanto, H. (2021). Entrepreneurial self-efficacy among elementary students: The role of entrepreneurship education. Heliyon, 7(9), e07995. [Google Scholar] [CrossRef]
- Shapero, A., & Sokol, L. (2002). Some social dimensions of entrepreneurship. In Entrepreneurship: Critical perspectives on business and management (Vol. 4, pp. 83–111). Routledge. (Original work published 1982). [Google Scholar] [CrossRef]
- Sherkat, A., & Chenari, A. (2022). Assessing the effectiveness of entrepreneurship education in the universities of Tehran province based on an entrepreneurial intention model. Studies in Higher Education, 47(1), 97–115. [Google Scholar] [CrossRef]
- Shirokova, G., Osiyevskyy, O., & Bogatyreva, K. (2016). Exploring the intention–behavior link in student entrepreneurship: Moderating effects of individual and environmental characteristics. European Management Journal, 34(4), 386–399. [Google Scholar] [CrossRef]
- Solomon, C., & Schell, M. S. (2009). Managing across cultures: The 7 keys to doing business with a global mindset. McGraw-Hill. [Google Scholar]
- Soria-Barreto, K., Honores-Marin, G., Gutiérrez-Zepeda, P., & Gutiérrez-Rodríguez, J. (2017). Prior exposure and educational environment towards entrepreneurial intention. Journal of Technology Management & Innovation, 12(2), 45–58. [Google Scholar] [CrossRef]
- Souitaris, V., Zerbinati, S., & Al-Laham, A. (2007). Do entrepreneurship programmes raise entrepreneurial intention of science and engineering students? The effect of learning, inspiration and resources. Journal of Business Venturing, 22(4), 566–591. [Google Scholar] [CrossRef]
- Stephan, U., Uhlaner, L. M., & Stride, C. (2015). Institutions and social entrepreneurship: The role of institutional voids, institutional support, and institutional configurations. Journal of International Business Studies, 46(3), 308–331. [Google Scholar] [CrossRef]
- Sullivan, D. M., & Meek, W. R. (2012). Gender and entrepreneurship: A review and process model. Journal of Managerial Psychology, 27(5), 428–458. [Google Scholar] [CrossRef]
- Tan, C. S., Lau, X. S., Kung, Y. T., & Kailsan, R. A. L. (2019). Openness to experience enhances creativity: The mediating role of intrinsic motivation and the creative process engagement. The Journal of Creative Behavior, 53(1), 109–119. [Google Scholar] [CrossRef]
- Thompson, E. R. (2009). Individual entrepreneurial intent: Construct clarification and development of an internationally reliable metric. Entrepreneurship Theory and Practice, 33(3), 669–694. [Google Scholar] [CrossRef]
- Tucker, J. S., Elliott, M. N., & Klein, D. J. (2006). Social control of health behavior: Associations with conscientiousness and neuroticism. Personality and Social Psychology Bulletin, 32(9), 1143–1152. [Google Scholar] [CrossRef]
- Turgunpulatovich, A. O. (2022). Formation of financing technology and communication relations in increasing the competitiveness of small business entities. International Journal of Social Science & Interdisciplinary Research, 11(1), 49–58. [Google Scholar]
- van Ewijk, A. R., Cheng, J., & Chang, F. Y. (2023). Why is changing students’ entrepreneurial intentions so hard? On dissonance reduction and the self-imposed self-fulfilling prophecy. The International Journal of Management Education, 21(3), 100896. [Google Scholar] [CrossRef]
- Verheul, I., Thurik, R., Grilo, I., & Van der Zwan, P. (2012). Explaining preferences and actual involvement in self-employment: Gender and the entrepreneurial personality. Journal of Economic Psychology, 33(2), 325–341. [Google Scholar] [CrossRef]
- Wang, X. H., You, X., Wang, H. P., Wang, B., Lai, W. Y., & Su, N. (2023). The effect of entrepreneurship education on entrepreneurial intention: Mediation of entrepreneurial self-efficacy and moderating model of psychological capital. Sustainability, 15(3), 2562. [Google Scholar] [CrossRef]
- Wiklund, J., Nikolaev, B., Shir, N., Foo, M. D., & Bradley, S. (2019). Entrepreneurship and well-being: Past, present, and future. Journal of Business Venturing, 34(4), 579–588. [Google Scholar] [CrossRef]
- Xanthopoulou, P., & Sahinidis, A. (2022). Shaping entrepreneurial intentions: The moderating role of entrepreneurship education. Balkan & Near Eastern Journal of Social Sciences (BNEJSS), 8, 116–121. [Google Scholar]
- Xanthopoulou, P., & Sahinidis, A. (2025). Exploring the impact of entrepreneurship education on social entrepreneurial intentions: A diary study of tourism students. Administrative Sciences, 15(3), 111. [Google Scholar] [CrossRef]
- Xanthopoulou, P., Sahinidis, A., & Paganou, S. (2024, September). Inside the Entrepreneurial Mind: A Diary Research on the Evolution of Students’ Entrepreneurial Intentions. In European Conference on Innovation and Entrepreneurship (pp. 845–852). Academic Conferences International Limited. [Google Scholar]
- Yukongdi, V., & Lopa, N. Z. (2017). Entrepreneurial intention: A study of individual, situational and gender differences. Journal of Small Business and Enterprise Development, 24(2), 333–352. [Google Scholar] [CrossRef]
- Zampetakis, L. A., Kafetsios, K., Bouranta, N., Dewett, T., & Moustakis, V. S. (2009). On the relationship between emotional intelligence and entrepreneurial attitudes and intentions. International Journal of Entrepreneurial Behaviour & Research, 15(6), 595–618. [Google Scholar] [CrossRef]
- Zhao, H., Seibert, S. E., & Hills, G. E. (2005). The mediating role of self-efficacy in the development of entrepreneurial intentions. Journal of Applied Psychology, 90(6), 1265–1272. [Google Scholar] [CrossRef]
- Zisser, M. R., Johnson, S. L., Freeman, M. A., & Staudenmaier, P. J. (2019). The relationship between entrepreneurial intent, gender and personality. Gender in Management: An International Journal, 34(8), 665–684. [Google Scholar] [CrossRef] [PubMed]
Disclaimer/Publisher’s Note: The statements, opinions and data contained in all publications are solely those of the individual author(s) and contributor(s) and not of MDPI and/or the editor(s). MDPI and/or the editor(s) disclaim responsibility for any injury to people or property resulting from any ideas, methods, instructions or products referred to in the content. |
© 2025 by the authors. Licensee MDPI, Basel, Switzerland. This article is an open access article distributed under the terms and conditions of the Creative Commons Attribution (CC BY) license.










