Abstract
In this study, we investigated the impact of a 10-week free weight resistance training (RT) program on cognitive function in healthy young adults. In this randomized controlled trial, 18 participants were assigned to either an experimental or control group. We assessed cognitive function by using eye-tracking (ET) technology during text processing tasks. First-pass reading times (FPRTs) and total reading times (TRTs) were measured. Results revealed a significant three-way interaction between group, moment, and syntactic complexity in FPRTs, demonstrating training effects on cognitive processing. The experimental group showed a distinctive shift in processing patterns: from longer times in low complexity pre-intervention to increased times in high complexity post-intervention, particularly in early processing measures (FPRTs). Complementary analyses of strength improvements showed that increased strength was associated with enhanced attention allocation to complex structures and improved processing efficiency for simpler texts, suggesting RT’s potential to modulate cognitive function.
1. Introduction
Neuromuscular function is one of the most important and determining factors in athletic performance (Cormie et al., 2011; Mateluna-Núñez et al., 2022) and a key objective of resistance training (RT), such as weightlifting; however, RT, defined as a physical exercise program designed to maintain and improve muscular strength, endurance, and lean muscle mass (Ratamess et al., 2009; Liguori & ACSM, 2021), is also vital for maintaining health and enhancing functional capacity in both young and older populations (Hillman et al., 2008; Guizelini et al., 2018). In this regard, RT has been associated with a reduction in all-cause mortality, decreased cardiovascular risk and blood pressure (El-Kotob et al., 2020), improvements in glucose metabolism (Colberg et al., 2016), benefits to bone, tendon health, and cartilage loss prevention (Maestroni et al., 2020), cancer treatment (Hojman et al., 2018), the prevention of muscle loss, and reductions in obesity by promoting fat loss (Westcott, 2012). Alongside physical benefits, there is also evidence suggesting that RT can prevent cognitive and neuronal declines (Chow et al., 2021; Landrigan et al., 2020). The physiological explanation for this cognitive improvement considers the reduction in inflammation (Chupel et al., 2017) and the increase in blood flow to the brain (Barnes, 2015; Wilke et al., 2019). Another reason is that RT enhances the availability of various growth factors on the brain, such as insulin-like growth factor-1 (IGF-1) (El-Kotob et al., 2020) and vascular endothelial growth factor (VEGF) (Chow et al., 2021), which regulate exercise-induced angiogenesis and neurogenesis in the hippocampus. RT also increases the production of brain-derived neurotrophic factor (BDNF), which is involved in neuroplasticity and learning (Cotman et al., 2007).
While the existing literature presents encouraging potential regarding the use of RT as a tool to enhance cognitive function, it also reveals specific aspects within the research domain that warrant further exploration. These aspects include populations, programming parameters, and outcome measures. Most studies have concentrated on populations experiencing age-related or disease-related cognitive decline (Chow et al., 2021), but there are relatively few studies that have specifically targeted healthy young adults and demonstrated a positive impact of RT (Brush et al., 2016; Cassilhas et al., 2007). Regarding programming parameters, existing studies have mainly used exercises with machine weights, or a combination of machine and free weights (FWs), revealing improvements in attention, short- and long-term memory (Cassilhas et al., 2007), inhibitory control (Nagamatsu et al., 2012; Wilke et al., 2020), and general cognitive function (Fiatarone Singh et al., 2014); however, very few have explored the exclusive use of free weights (Chow et al., 2021). With regard to outcome measures, they have frequently been associated with executive functions (EFs) like inhibitory control, working memory, attention, and cognitive flexibility (Coetsee & Terblanche, 2017; Hsieh et al., 2016). These measures have been assessed using various tests, such as the Montreal Cognitive Assessment (MoCA) (Smolarek et al., 2016), the Alzheimer’s Disease Assessment Scale–Cognitive Subscale (ADASCog) (Fiatarone Singh et al., 2014), the Wechsler Adult Intelligence Scale (WAIS) (Cassilhas et al., 2007), the Toulouse–Pieron’s Concentration Attention Test (Cassilhas et al., 2007), the Rey–Osterrieth Complex Figure (ROCF) (Cassilhas et al., 2007), the Stroop test (Coetsee & Terblanche, 2017), or the Modified Sternberg Task (Hsieh et al., 2016).
In this scenario, it may be worthwhile to explore the potential benefits of chronic RT in healthy young adults, considering the use of a methodology that enables the online evaluation of cognitive performance in higher-order cognitive tasks, such as written-text processing, a multifaceted cognitive process that requires sustained attention, working memory, and the integration of information into a coherent mental representation (Kintsch, 1998; Van den Broek & Kendeou, 2022). One of these methodologies is eye tracking (ET), a device that allows for the measurement of eye movement, gaze behavior, and pupil dilation. ET allows for assessing performance based on various saccadic movements during information processing, assuming that longer fixation and regression times indicate higher processing costs. Eye movement research in the context of reading is grounded in the eye–mind hypothesis (Just & Carpenter, 1980), which posits a strong relation between eye gaze and cognitive processes and assumes that longer fixation times indicate a higher cognitive load imposed by a task. Studies employing this methodology have uncovered important aspects of the interaction between vision and cognition in the reading process, such as the amount of information gathered during a single fixation, the time required for different types of information extraction from words, and the challenges readers encounter in comprehending textual material (Hyönä & Kaakinen, 2019).
Given that at present there is no evidence regarding the impact of RT on the cognitive function of healthy young adults engaged in higher-order processing tasks, the aim of this study is to determine the impact of RT with FWs on written-text processing, utilizing eye-tracking technology. Our methodology relies on the well-established eye–mind hypothesis (Hyönä & Kaakinen, 2019), which directly links eye fixations to cognitive processing. Eye movements during reading provide real-time indicators of cognitive processing effort, as fixation duration reflects the cognitive effort required for information processing. Since readers typically fixate on most words in texts (Hyönä & Kaakinen, 2019), these fixation patterns offer reliable data about the cognitive demands of text processing. Thus, rather than measuring post hoc comprehension, our study focused on the more immediate and objective measures of cognitive processing through eye tracking, following current trends in reading cognition research (Conklin et al., 2018).
2. Materials and Methods
2.1. Experimental Approach to the Problem
To assess the impact of an RT intervention on text processing, we conducted a clinical trial employing an experimental design including both experimental and control groups. Participants were randomly assigned to either group using concealed allocation, facilitated by Excel’s randomization function. Moreover, the assessor remained blinded throughout the study, ensuring unbiased evaluation. Cognitive function, assessed through ET metrics (including FPRTs and TRTs), was evaluated at the study’s outset and again after 10 weeks of the training intervention in both groups. The experimental group engaged in a 10-week program of free-weight strength training, which encompassed push, pull, and leg exercises. In the second week, the experimental group determined their indirect one-repetition maximum (RM) values as part of a technical learning phase for the exercises and underwent a re-evaluation in the tenth week.
2.2. Participants
Twenty-two students from Pontificia Universidad Católica de Valparaíso (PUCV) participated in this study, consisting of seventeen women and five untrained men aged between 19 and 28. All participants were Chilean, native Spanish speakers, and fourth-year students in the Translation and Interpreting program at PUCV. As fourth-year students, all had achieved a certified B2 English proficiency level and corresponding reading skills. Given that they were all in the same year and program, their academic workload and formal reading hours were similar. As exclusion criteria for the subjects, we considered individuals with health issues that could interfere with training, individuals who had participated in any training programs in the six months prior to the study, and those with abnormal or uncorrected vision that could interfere with eye tracking. This information was collected through a registration form completed by the participants themselves (Table A1).
This study is registered at ClinicalTrials.gov (identifier: NCT06662487). Additionally, the study received ethical approval from the Bioethics and Biosafety Committee at PUCV (BIOEPUCV-HB 546-2022, 8th September 2022), and written consent was obtained from each participant. All participants were randomized after signing the consent form to maintain blinding (Smart et al., 2015). Additionally, the evaluator was also blinded to the group to which the participants belonged. This ensured that the study followed a double-blind design (Smart et al., 2015).
This study represents a first step in exploring the impact of free-weight training on written-text processing, a higher-order cognitive measure. As no prior studies directly comparable to ours are available, and no effect sizes were found in the literature, we followed the recommendations of Beck (2013), who discusses sample size requirements for exercise-based interventions, particularly in studies with strength as a primary outcome, and Faul et al. (2009), who provide guidance on selecting the appropriate method for sample size calculation based on the statistical test. Following these recommendations, we used an effect size (f) of 0.80, an alpha value of 0.05, and a statistical power of 0.80, configured for a repeated-measure ANOVA with two groups and two time points for evaluation, based on the characteristics of our data. Based on this calculation, 12 participants were required. While this approach has limitations, we consider it a useful starting point for this study and an initial guide for future research in this emerging area. Figure 1 shows the distribution of the participants and the blinding of the study design.
Figure 1.
Consort flow chart of the study.
A total of 18 young adult university students completed their participation in this study; overall, significant differences in terms of age were only found between the experimental and control groups. Table 1 shows a description of the baseline values of the participants.
Table 1.
Participants’ baseline values. p-value of t-test for independent samples for continuous variables and chi-square for category variables. (cm): centimeters; (kg): kilograms. p-value < 0.005 in bold.
2.3. Materials
2.3.1. RT Program
The program lasted 10 weeks, including 2 weeks prior to the intervention, which aimed at learning the exercises and evaluating the maximum strength. The training frequency consisted of 3 sessions per week, with each session comprising 5 exercises (Fiatarone Singh et al., 2014) organized around push, pull, and leg movement patterns. Free weights targeting large muscle groups were utilized for the exercises (Chow et al., 2021). Specific exercises included bench press, close-grip bench press, military press, dumbbell bench press, dumbbell shoulder press, bar bent-over row, T-grip row, close-grip row, meadow row, dumbbell single-arm row, high-bar squat, deadlift bar, Bulgarian squat, dumbbell lunges, and hip thrust. The program incorporated moderate intensities (Chow et al., 2021), ranging from 60% to 80% of the 1RM (Schoenfeld et al., 2021), with a focus on progressive overload. Additionally, there was an increase in volume from week 5, reaching 2–3 sets per exercise. Table 2 shows a description of the RT program that was implemented with the participants.
Table 2.
Resistance training (RT) program.
2.3.2. Processing
Six expository texts written in Spanish on general knowledge topics of language, history, and science were utilized (two for each topic). To ensure the suitability of the texts for the readers’ characteristics, they were extracted from school textbooks. The length of the texts ranged between 110 and 112 words. Each text had two versions, based on their syntactic complexity (high/low). Syntactic complexity was operationalized based on dependency locality, which refers to the distance between syntactically related elements. In local conditions (low syntactic complexity), syntactically related elements (subject–verb–object) appeared adjacently in the sentence, as in “The student completed the assignment before the end of the semester.” In non-local conditions (high syntactic complexity), these elements were separated by an adverbial phrase, increasing processing demands, as in “The student, before the end of the semester, completed the assignment.” This manipulation was systematically applied across all experimental texts, maintaining consistent syntactic relationships while varying their locality. The areas of interest where the effects of syntactic complexity were examined correspond to full sentences. This division in terms of syntactic complexity is due to the fact that complex syntactic structures impose greater cognitive demands on the part of the reader, especially in processing and reading comprehension (Kleijn, 2018), which has been supported by different theories (e.g., active filler hypothesis (Clifton & Frazier, 1989); dependency locality theory (Gibson, 1998; Gibson, 2000); and surprisal (Hale, 2001)). Table A2 shows a sample of text in both conditions. Additionally, to ensure that participants were reading attentively, each text was followed by a verification question. Texts were distributed in lists that contained three texts each and were randomly assigned to each participant, ensuring that they did not read the same texts before and after the intervention.
2.4. Procedures
2.4.1. Recording 1RM Procedures
To measure an indirect 1RM, the experimental group performed a general warm-up that included low-intensity aerobic work and joint mobility exercises of the muscle groups involved (Liguori & ACSM, 2021). Subsequently, a specific warm-up was performed with 10 repetitions of the exercises to be performed, with several repetitions in reserve. Finally, the number of repetitions achieved in the last series with the best possible technical execution (less than 10 repetitions) was recorded. The repetitions achieved with each weight were entered into Brzycki’s formula to obtain the 1RM for each exercise. These baseline values were then used to schedule the remaining 8 weeks of training, ranging from 60% to 80% intensities. In the tenth week, indirect 1RM measurements were recorded again to assess strength gains.
2.4.2. Training Session Procedures
Each training session was supervised by two certified physical trainers and included both a warm-up and conditioning phase (Liguori & ACSM, 2021). The warm-up consisted of light aerobic activity and joint mobility work aimed at the main muscle groups to be worked on in the session. Three sessions were carried out per week, incorporating different exercises organized by movement patterns. Consequently, each day was composed of five exercises corresponding to specific movement patterns (push–pull and legs).
2.4.3. Eye-Tracking Task
Participants were tested individually and were informed that the task involved reading with eye-tracking equipment. Prior to commencing the experiment, each participant signed an informed consent form. Following this, the eye tracker was set up, and a nine-point calibration screen was carried out for each participant. The participants were instructed to read and comprehend each text, silently, at their own pace, and indicate their readiness to proceed to the (verification) questions by pressing a keyboard button. To prevent the latent learning effect from the first test, before and after the tests the participants read different texts, but care was taken to ensure that they were of the same length in terms of the number of words and syntactic complexity. In addition, in both instances the eye-tracking measurement was performed between 9 and 11 am. Participants were seated 70 cm from the screen, and a chin rest was used to stabilize the head. Eye movements were recorded monocularly by using an EyeLink Portable Duo (SR Research Ltd., Ottawa, ON, Canada) at a sampling frequency of 500 Hz. The stimuli were presented on a 16” ROG Zephyrus M16 notebook with a refresh rate of 100 Hz and a resolution of 1920 × 1080 pixels.
2.5. Data Preparation
For strength-associated measures, the data preparation procedure encompassed an initial phase of cleaning, involving the identification and removal of outliers. Missing data were managed to ensure the dataset’s integrity. Subsequently, variables were transformed, with measurements normalized and adjustments applied to meet the necessary statistical assumptions. The data distribution was checked with the Shapiro–Wilk test and with the visual analysis of residuals and Q-Q plots. Following the recommended procedures for data cleaning in reading experiments with eye tracking (Eskenazi, 2024), fixations shorter than 80 ms were either merged with a nearby fixation (if the distance between the fixations was <1°) or removed from the data. Two eye movement measures associated with particular patterns of text processing were used: FPRTs, which correspond to the sum of the duration of all fixations on the first pass within an area of interest, and TRTs, the sum of the duration of all fixations that fall within an area of interest (Conklin et al., 2018). The reading time measures were skewed and consequently transformed. The best-fitting transformation was selected to normalize the measures; FPRTs were square root transformed and TRTs were logarithmically transformed. A total of 216 eye-tracking observations were analyzed, comprising 108 from before the test, conducted prior to the training, and 108 from after the test, conducted afterward. The dataset included 117 observations from the control group and 99 from the experimental group.
2.6. Data Analysis
To observe the expected differences in reading performance between the experimental and control groups after the intervention period, data were analyzed with linear mixed models (LMMs) by using the lme4 package (Bates et al., 2015) in R statistical software (Version 4.0.1; R Core Team, 2021). Several models were constructed, each focusing on a specific eye movement measure corresponding to individual target sentences within the texts. Variables such as moment (pre vs. post), group (control vs. experimental), and syntactic complexity (low vs. high) were incorporated into these models as fixed effects. Random intercepts for both participants and items were included in the models (Baayen et al., 2008). The models were constructed with a maximal random structure (Barr et al., 2013). In instances where the full random structure led to convergence issues, a top-down trimming process was applied to the random structure, initially considering correlations between factors (Brauer & Curtin, 2018). For two models that failed to converge when using only random intercepts for participants and items, non-significant interaction terms among fixed effects were progressively removed, starting with those associated with the smallest t or z values. Due to difficulties in precisely determining degrees of freedom for statistics estimated by linear mixed models (LMMs), exact p-values or degrees of freedom were not ascertainable. Hence, instead of reporting specific p-values, statistical significance at the 0.05 level was inferred based on |t or z| values exceeding 1.96 (Baayen et al., 2008). Given the observed differences between groups and time, subsequent analysis of variance (ANOVA) tests were conducted to confirm that such differences were due to increased strength. This time, strength was categorized into pre–post values in order to compare whether higher levels of post-intervention strength are associated with improvements in eye-tracker measures. The p-value and effect size were computed for each comparison (Hedges’ G). The G of edges was used to adjust the effect size to the sample size.
3. Results
To examine the effect of RT on text processing patterns, we conducted a linear mixed model analysis evaluating the effects of group (control vs. experimental), moment (pre vs. post), and syntactic complexity (low vs. high) on FPRTs. The main effect of group was significant, with the experimental group showing higher FPRTs compared to the control group (β = 17.80, SE = 5.38, t = 3.31, CI = [7.19, 28.42]); however, the main effects of moment (β = −1.70, SE = 5.12, t = −0.33, CI = [−11.79, 8.38]) and syntactic complexity (β = 3.12, SE = 5.53, t = 0.56, CI = [−7.79, 14.02]) were not significant. Interaction effects provided further insights into the relationships between factors. The interaction between group and syntactic complexity was significant (β = −27.68, SE = 7.12, t = −3.89, CI = [−41.72, −13.64]), suggesting that the experimental group exhibited reduced FPRTs under high syntactic complexity compared to the control group. Additionally, the three-way interaction among group, moment, and syntactic complexity was significant (β = 25.52, SE = 10.25, t = 2.49, CI = [5.31, 45.73]), highlighting a nuanced relationship among these factors (see Figure 2 and Table A1).
Figure 2.
FPRTs (square-rooted) for the control (blue line) and experimental (red line) groups across two moments (pre and post) and two levels of syntactic complexity (low and high). Error bars represent 95% confidence intervals for the mean estimates.
In addition to the linear mixed model analysis, Type III Wald chi-square tests were performed to confirm the significance of main effects and interactions. The main effect of group was significant (χ2(1) = 10.93, p < 0.001), whereas moment (χ2(1) = 0.11, p = 0.739) and syntactic complexity (χ2(1) = 0.32, p = 0.573) were not. A significant interaction was observed between group and syntactic complexity (χ2(1) = 15.10, p < 0.001), and the three-way interaction among group, moment, and syntactic complexity was also significant (χ2(1) = 6.20, p = 0.013).
We conducted a second linear mixed model analysis to assess the effects of group (control vs. experimental), moment (pre vs. post), and syntactic complexity (low vs. high) on TRTs. The main effect of the group was significant, with the experimental group showing longer TRTs compared to the control group (β = 0.41, SE = 0.13, t = 3.14, CI = [0.15, 0.67]). In contrast, the main effects of moment (β = −0.10, SE = 0.12, t = −0.86, CI = [−0.34, 0.13]) and syntactic complexity (β = 0.12, SE = 0.19, t = 0.62, CI = [−0.26, 0.50]) were not significant. Interaction effects provided additional insights into how these factors interacted. A significant group in terms of syntactic complexity interaction (β = −0.36, SE = 0.16, t = −2.26, CI = [−0.68, −0.05]) suggested that participants in the experimental group demonstrated reduced TRTs under conditions of high syntactic complexity compared to the control group; however, the three-way interaction among group, moment, and syntactic complexity was not significant (β = 0.35, SE = 0.23, t = 1.49, CI = [−0.11, 0.81]), indicating no additional complexity in the relationship among these factors (see Figure 3 and Table A3).
Figure 3.
TRTs (log-transformed) for the control (blue line) and experimental (red line) groups across two moments (pre and post) and two levels of syntactic complexity (low and high). Error bars represent 95% confidence intervals for the mean estimates.
To complement the mixed model results, Type III Wald chi-square tests were conducted to evaluate the significance of the main effects and interactions. The main effect of group was confirmed to be significant (χ2(1) = 9.85, p = 0.002), whereas moment (χ2(1) = 0.75, p = 0.387) and syntactic complexity (χ2(1) = 0.38, p = 0.538) were not. The interaction between group and syntactic complexity was significant (χ2(1) = 5.12, p = 0.024), further supporting the reduction in reading times for the experimental group under high syntactic complexity; however, the three-way interaction among group, moment, and syntactic complexity did not reach significance (χ2(1) = 2.22, p = 0.137).
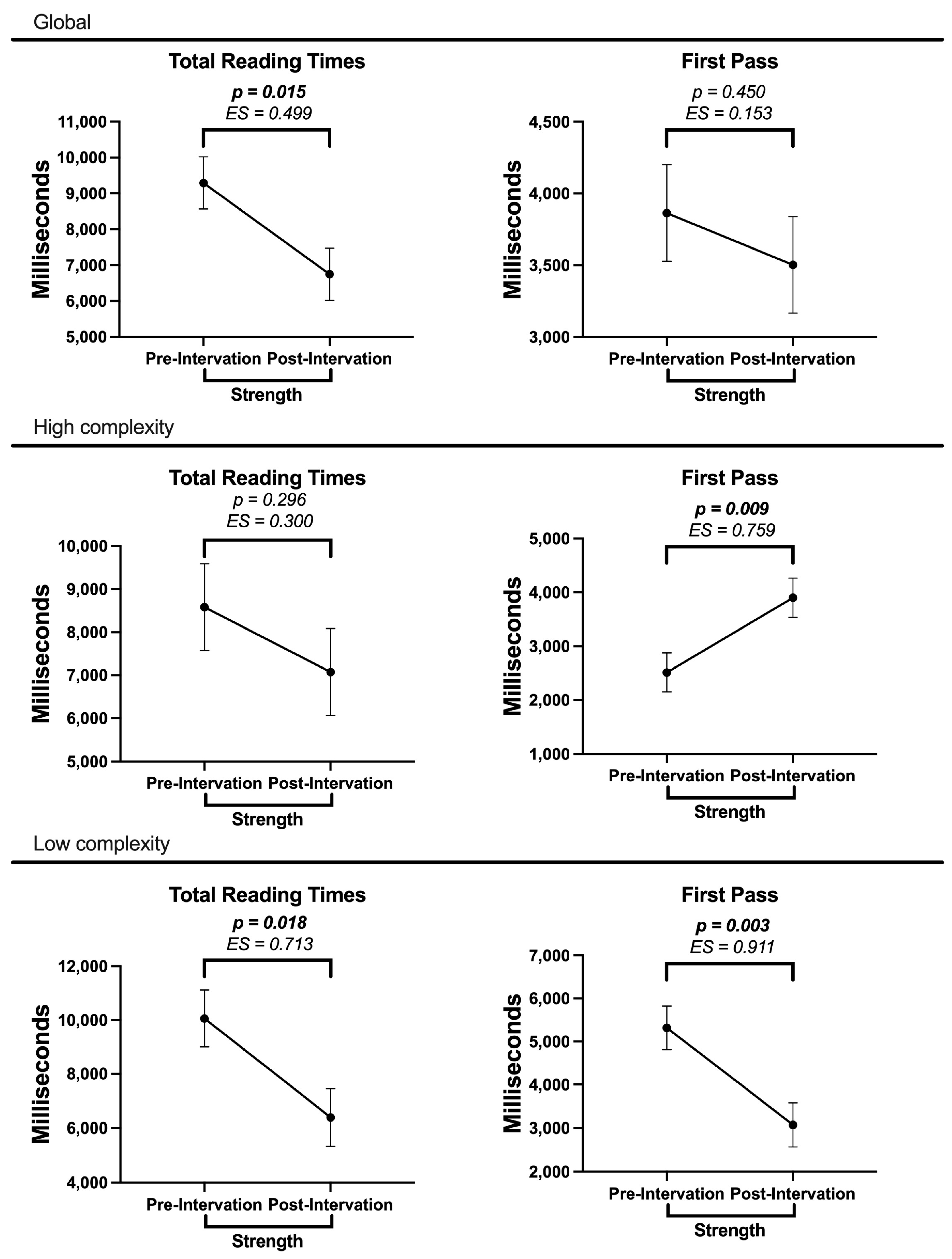
Given our aim to investigate the effect of strength training on participants’ cognitive performance, we conducted additional analyses in the experimental group. Specifically, ANOVAs were conducted according to the average strength levels of the pre–post-intervention maximal tests (mean pre = 31.5 ± 9.50; mean post = 42.7 ± 11.1). Figure 4 shows the comparison of the eye-tracker measurements obtained with the pre–post-intervention strength levels globally and separated by syntactic complexity. Overall, in TRTs and FPRTs we found significant differences attributed to the increase in strength after the intervention. In particular, there were significant differences in favor of increased strength in overall reading times and at low syntactic complexity. Similarly, in FPRTs we found significant differences in high and low syntactic complexity.
Figure 4.
ANOVA results between pre–post-intervention strength values and eye-tracker measurements. In bold, significant p-values (<0.05) are presented. ES = effect size (Hedges’ g).
4. Discussion
Our analysis of eye movement data revealed distinct patterns of interaction between RT and text processing. For FPRTs, the linear mixed model analysis showed a significant main effect of group, with the experimental group exhibiting higher FPRTs compared to the control group. Neither moment nor syntactic complexity showed significant main effects. The control group maintained consistent processing patterns across pre and post measurements, showing longer processing times in high-complexity conditions compared to low-complexity conditions. Interestingly, the experimental group demonstrated an inverse pattern. Prior to the intervention, they showed longer processing times for low-complexity compared to high-complexity conditions; however, post-intervention, this pattern reversed, with increased processing times in high-complexity conditions. This shift suggests enhanced attention to complex syntactic structures following the training period, particularly as the effect manifests in early processing measures (FPRTs), indicating increased processing focus. Notably, the three-way interaction between group, moment, and syntactic complexity in FPRTs provided compelling evidence of training-induced effects on cognitive processing.
Regarding TRTs, while not showing a significant three-way interaction, the analysis revealed the experimental group’s general trend toward decreased reading times between pre and post measurements, particularly in low-complexity conditions, suggesting improved processing efficiency in conditions of no syntactic difficulties, following the resistance training intervention.
Given our aim to investigate the effect of strength training on participants’ cognitive performance, we conducted additional analyses in the experimental group. Specifically, ANOVAs were performed according to the average strength levels of the pre–post-intervention maximal tests. The data revealed decreased reading times post-intervention across syntactic complexity levels, suggesting a general improvement in processing efficiency associated with increased strength. Notably, FPRTs increased significantly post-intervention under high-complexity conditions, indicating enhanced attention allocation to complex structures. Additionally, in low-complexity conditions, both TRTs and FPRTs decreased, demonstrating improved processing efficiency for simpler syntactic structures.
One of the findings that encourages further exploration of this relationship is the contrast in FPRTs within the experimental group under the high-syntactic-complexity condition. This condition inherently imposes a higher cognitive load due to the intricate nature of the syntactic structures, which typically require greater cognitive resources and lead to extended reading times compared to low-complexity conditions. While we expected RT to reduce processing times across all complexity conditions, our findings revealed an unexpected pattern: increased early processing times (FPRTs) specifically for high-complexity texts in the experimental group post-intervention. Although seemingly counterintuitive, this pattern likely reflects complex interactions between cognitive mechanisms and training intervention effects.
The increased focus and attentional demands inherent in RT with free weights (FWs) may have selectively enhanced participants’ capacity to allocate attentional resources to more-demanding cognitive tasks, such as processing complex syntactic structures. This improvement in high-complexity conditions during early processing suggests that the intervention might have facilitated more effective engagement with intricate structures, potentially mediated by enhancements in EFs like working memory and attentional control. These findings align with prior research indicating that strength training can improve selective attention and inhibitory control, both of which are critical for managing cognitive load during challenging tasks (Nagamatsu et al., 2012; Wilke et al., 2020). The unexpected augmentation of fixation durations following the intervention challenges the expectation of decreased reading times, presumed due to the cognitive advantages gained from strength training. This deviation prompts a critical inquiry into the relationship between strength training and cognitive function, particularly their intricate interplay with discourse processing.
The effects of apparently increased focus on processing texts with high syntactic complexity, reflected in the increased FPRTs found in both the mixed model analysis and ANOVA, along with the decreased reading times of the experimental group in TRTs and FPRTs for texts with low syntactic complexity (ANOVA), could be explained by the positive effects of RT on EFs. Regarding the relationship between RT and EFs, Nagamatsu et al. (2012)’s study, conducted on older adults, showed positive effects on inhibitory control as a result of a chronic RT intervention; however, our results may be more directly associated with findings in young adults, such as those obtained by Wilke et al. (2020), which showed that improvements in inhibitory control are more pronounced in RT with FWs interventions compared to machine-based RT, with the caveat that this study measured acute effects. Another EFs that improves as a result of RT, which could potentially enhance reading and writing performance, is memory, as evidenced by Cassilhas et al. (2007), who reported significant improvements in both short-term and long-term memory in healthy older adults. The same was observed in the study by Nagamatsu et al. (2012), which revealed enhancements in associative memory.
Regarding the relationship between EFs and reading performance, it has been observed (Orozco & Pineda, 2019; Nouwens et al., 2021) that EFs plays a fundamental role in processing and comprehending written texts by orchestrating specific processes, such as information integration, retrieval from the mental lexicon, strategy utilization, and simultaneous engagement in multiple reading tasks. Studies have also demonstrated that updating working memory aids processing by maintaining the activation of relevant information during reading; inhibitory control aids processing by restricting the activation of irrelevant text details and preventing unwanted memory intrusions; and shifting attention supports processing by integrating different types of information and focusing on various text features and situational contexts (Gazzaniga et al., 2014). Therefore, the potential impact of RT on EFs could explain why participants in the experimental group demonstrate greater efficiency as readers, particularly in terms of TRTs and FPRTs under low-syntactic-complexity conditions (ANOVA). Thus, the potential impact of RT on EFs could be related to improvements in reading ability.
Another possible explanation for the positive effects of increased focus on texts with high syntactic complexity and shorter TRTs and FPRTs in low syntactic complexity as a result of RT with FWs refers to the fact that this type of intervention selectively improves aspects of cognition due to differential demands. For example, individuals participating in RT with FWs need to pay constant attention to what they are doing to avoid injuring themselves or those around them. In this sense, these periods of vigilance could act as a form of attentional training and explain why there was an improvement in performance on EFs tests, as many of these tasks assess an individual’s ability to attend to specific stimuli (Landrigan et al., 2020). Although significant differences between the effects of RT with FWs and machine-based lifting on athletic performance and muscular architecture have not been found (Hernández-Belmonte et al., 2023), it is evident that attentional demands differ between these two modalities of RT. Exercises using machines isolate muscles and follow predetermined paths; in contrast, FW exercises used in our intervention require individuals to pay attention to a greater number of variables related to coordination and balance to maintain control over the movement of the weights (Liguori & ACSM, 2021). These more complex execution conditions could impact attentional improvement, potentially explaining the effects of the intervention on reading times; however, it would be interesting to evaluate this hypothesis in future studies that directly compare these two forms of RT.
From another perspective, it is plausible that the effects of RT on EFs, and consequently its positive impact on text processing, may be mediated by neurobiological mechanisms unrelated to the specific cognitive demands of the exercise. These mechanisms include increases in molecules such as brain-derived neurotrophic factor (BDNF) and proteins like insulin-like growth factor 1 (IGF-1), which are associated with exercise’s effects on learning and depression, as well as the combined action of IGF-1 and vascular endothelial growth factor (VEGF) on hippocampal angiogenesis and neurogenesis (Brush et al., 2016). These molecular changes are thought to induce structural alterations, such as increased gray and white matter volume (Landrigan et al., 2020), which could also lead to cognitive changes, such as an impact on learning and memory, considering the highly plastic nature of the hippocampus (Cassilhas et al., 2016). It is also worth noting that exercise acts as a stimulus for new blood vessel formation, and increased cerebral blood flow correlates with cognitive enhancement (Cassilhas et al., 2007; Bullitt et al., 2009). In fact, Bullitt et al. (2009) demonstrated that physical fitness was positively associated with the number of small blood vessels in older individuals undergoing magnetic resonance angiography, indicating angiogenesis, a phenomenon not observed in sedentary individuals.
It is also possible that neurobiological and cognitive mechanisms work synergistically. For instance, neurobiological mechanisms may enhance neuroplasticity (Cotman et al., 2007; Cassilhas et al., 2016), which in turn might have an impact on EFs that are more consistently engaged during resistance exercises, such as attention (Landrigan et al., 2020), inhibitory control (Orozco & Pineda, 2019), and associative memory (Nagamatsu et al., 2012); however, clear connections between exercise, neurobiological mechanisms, and cognitive changes still need further investigation.
5. Conclusions
RT with FWs showed interesting results, considering the increase in FPRTs for texts with high complexity, which suggests a greater capacity for focus on more intricate texts and a decrease in TRTs and FPRTs for texts with lower complexity. These effects found in the various analyses could be explained by the proven improvements that RT generates in EFs, such as attention, inhibitory control, and memory. These, in turn, relate to improvements in text processing. From a neurobiological perspective, these positive effects could also stem from molecular adaptations and neuroplasticity, elements that should be considered and measured in future research efforts. It can be concluded that RT with free weights has a positive effect on text processing; however, it would be interesting to make a direct comparison between RT with machines to glimpse possible differences. Additionally, there is a small number of studies on the effects of RT on cognitive function in young adults, and even fewer on variables measured through eye tracking. Therefore, this scarcity opens a line of research in which these variables could even intersect with EFs, thus understanding RT as an enhancer of cognitive and academic performance in this age group.
Author Contributions
Conceptualization, C.M.-N. and R.I.-O.; methodology, C.M.-N., R.I.-O., A.S.-C., R.F.F., R.M.-F. and C.C.-R.; formal analysis, C.C.-R. and R.M.-F.; investigation, C.M.-N., R.I.-O., A.S.-C., R.F.F., R.M.-F. and C.C.-R.; data curation, C.C.-R.; writing—original draft, C.M.-N., R.I.-O., C.C.-R., A.S.-C. and R.M.-F.; writing—review and editing, C.M.-N., R.I.-O., A.S.-C., C.C.-R. and R.M.-F. All authors have read and agreed to the published version of the manuscript.
Funding
This work was supported by grants awarded by the National Research and Development Agency (ANID-CHILE). The second, third, and fourth authors were funded by the Fondecyt Regular Project 1240550. Finally, the second and third authors acknowledge the support of the Millennium Science Initiative through an ANID-MILENIO NCS2022_026 grant.
Institutional Review Board Statement
This study received ethical approval from the Bioethics and Biosafety Committee at PUCV (BIOEPUCV-HB 546-2022, on 8 September 2022).
Informed Consent Statement
All participants gave written informed consent.
Data Availability Statement
The data presented in this study are available upon request from the corresponding author.
Acknowledgments
The authors wish to express their gratitude to the administration of the GAF Gymnasium of Physical Conditioning of the School of Physical Education, PUCV, for providing their facilities for the application of the intervention.
Conflicts of Interest
There is no financial support or other benefit from commercial sources for the work reported on in the manuscript. There are no financial interests that any of the authors may have that could create a potential conflict of interest or the appearance of a conflict of interest with regard to the work.
Appendix A
Table A1.
Linear mixed model to evaluate the effects of group (control vs. experimental), moment (pre vs. post), and syntactic complexity (low vs. high) on first-pass reading times.
Table A1.
Linear mixed model to evaluate the effects of group (control vs. experimental), moment (pre vs. post), and syntactic complexity (low vs. high) on first-pass reading times.
| First-Pass Reading Times | |||||
|---|---|---|---|---|---|
| Predictor | Estimate | Std. Error | CI | Statistic | p |
| (Intercept) | 52.73 | 4.12 | 44.59–60.86 | 12.78 | <0.001 |
| Group [experimental] | 17.80 | 5.38 | 7.19–28.42 | 3.31 | 0.001 |
| Moment [post] | −1.70 | 5.12 | −11.79–8.38 | −0.33 | 0.739 |
| sdl [high] | 3.12 | 5.53 | −7.79–14.02 | 0.56 | 0.574 |
| Group [experimental] × moment [post] | −12.01 | 7.77 | −27.34–3.31 | −1.55 | 0.124 |
| Group [experimental] × sdl [high] | −27.68 | 7.12 | −41.72–−13.64 | −3.89 | <0.001 |
| Moment [post] × sdl [high] | 3.13 | 6.94 | −10.56–16.82 | 0.45 | 0.653 |
| (Group [experimental] × moment [post]) × sdl [high] | 25.52 | 10.25 | 5.31–45.73 | 2.49 | 0.014 |
Table A2.
Fragment of text in two conditions of syntactic complexity.
Table A2.
Fragment of text in two conditions of syntactic complexity.
| Low Syntactic Complexity | High Syntactic Complexity |
|---|---|
| With an immense variety of visual techniques, technology increased the spectacularity of images on the big screen. | Technology, with an immense variety of visual techniques, increased the spectacularity of images on the big screen. |
Table A3.
Linear mixed model to evaluate the effects of group (control vs. experimental), moment (pre vs. post), and syntactic complexity (low vs. high) on total reading times.
Table A3.
Linear mixed model to evaluate the effects of group (control vs. experimental), moment (pre vs. post), and syntactic complexity (low vs. high) on total reading times.
| Total Reading Times | |||||
|---|---|---|---|---|---|
| Predictors | Estimates | Std. Error | CI | Statistic | p |
| (Intercept) | 8.59 | 0.15 | 8.28–8.89 | 55.45 | <0.001 |
| Group [experimental] | 0.41 | 0.13 | 0.15–0.67 | 3.14 | 0.002 |
| Moment [post] | −0.10 | 0.12 | −0.34–0.13 | −0.86 | 0.388 |
| sdl [high] | 0.12 | 0.19 | −0.26–0.50 | 0.62 | 0.539 |
| Group [experimental] × moment [post] | −0.24 | 0.19 | −0.61–0.13 | −1.28 | 0.202 |
| Group [experimental] × sdl [high] | −0.36 | 0.16 | −0.68–−0.05 | −2.26 | 0.025 |
| Moment [post] × sdl [high] | −0.14 | 0.16 | −0.45–0.17 | −0.88 | 0.381 |
| (Group [experimental] × moment [post]) × sdl [high] | 0.35 | 0.23 | −0.11–0.81 | 1.49 | 0.138 |
References
- Baayen, R. H., Davidson, D. J., & Bates, D. M. (2008). Mixed-effects modeling with crossed random effects for subjects and items. Journal of Memory and Language, 59(4), 390–412. [Google Scholar] [CrossRef]
- Barnes, J. N. (2015). Exercise, cognitive function, and aging. Advances in Physiology Education, 39, 55–62. [Google Scholar] [CrossRef] [PubMed]
- Barr, D. J., Levy, R., Scheepers, C., & Tily, H. J. (2013). Random effects structure for confirmatory hypothesis testing: Keep it maximal. Journal of Memory and Language, 68(3), 255–278. [Google Scholar] [CrossRef]
- Bates, D., Mächler, M., Bolker, B. M., & Walker, S. C. (2015). Fitting linear mixed-effects models using lme4. Journal of Statistical Software, 67(1), 48. [Google Scholar] [CrossRef]
- Beck, T. W. (2013). The importance of a priori sample size estimation in strength and conditioning research. The Journal of Strength and Conditioning Research, 27(8), 2323–2337. Available online: www.nsca.com (accessed on 15 September 2024). [CrossRef]
- Brauer, M., & Curtin, J. J. (2018). Linear mixed-effects models and the analysis of nonindependent data: A unified framework to analyze categorical and continuous independent variables that vary within-subjects and/or within-items. Psychological Methods, 23(3), 389–411. [Google Scholar] [CrossRef] [PubMed]
- Brush, C. J., Olson, R. L., Ehmann, P. J., Osovsky, S., & Alderman, B. L. (2016). Dose-Response and time course effects of acute resistance exercise on executive function. Journal of Sport and Exercise Psychology, 38(4), 396–408. [Google Scholar] [CrossRef]
- Bullitt, E., Rahman, F. N., Smith, J. K., Kim, E., Zeng, D., Katz, L. M., & Marks, B. L. (2009). The effect of exercise on the cerebral vasculature of healthy aged subjects as visualized by MR angiography. American Journal of Neuroradiology, 30(10), 1857–1863. [Google Scholar] [CrossRef] [PubMed]
- Cassilhas, R. C., Tufik, S., & De Mello, M. T. (2016). Physical exercise, neuroplasticity, spatial learning and memory. Cellular and Molecular Life Sciences, 73(5), 975–983. [Google Scholar] [CrossRef]
- Cassilhas, R. C., Viana, V. A. R., Grassmann, V., Santos, R. T., Santos, R. F., Tufik, S., & Mello, M. T. (2007). The impact of resistance exercise on the cognitive function of the elderly. Medicine and Science in Sports and Exercise, 39(8), 1401–1407. [Google Scholar] [CrossRef] [PubMed]
- Chow, Z. S., Moreland, A. T., Macpherson, H., & Teo, W. P. (2021). The central mechanisms of resistance training and its effects on cognitive function. Sports Medicine, 51(12), 2483–2506. [Google Scholar] [CrossRef] [PubMed]
- Chupel, M. U., Direito, F., Furtado, G. E., Minuzzi, L. G., Pedrosa, F. M., Colado, J. C., Ferreira, J. P., Filaire, E., & Teixeira, A. M. (2017). Strength training decreases inflammation and increases cognition and physical fitness in older women with cognitive impairment. Frontiers in Physiology, 8, 377. [Google Scholar] [CrossRef] [PubMed]
- Clifton, C., & Frazier, L. (1989). Comprehending sentences with long-distance dependencies. In G. N. Carlson, & M. K. Tanenhaus (Eds.), Linguistic structure in language processing. Studies in theoretical psycholinguistics (Vol. 7, pp. 273–317). Springer. [Google Scholar]
- Coetsee, C., & Terblanche, E. (2017). The effect of three different exercise training modalities on cognitive and physical function in a healthy older population. European Review of Aging and Physical Activity, 14(1), 1–10. [Google Scholar] [CrossRef] [PubMed]
- Colberg, S. R., Sigal, R. J., Yardley, J. E., Riddell, M. C., Dunstan, D. W., Dempsey, P. C., Horton, E. S., Castorino, K., & Tate, D. F. (2016). Physical activity/exercise and diabetes: A position statement of the American Diabetes Association. Diabetes Care, 39(11), 2065–2079. [Google Scholar] [CrossRef]
- Conklin, K., Pellicer-Sánchez, A., & Carrol, G. (2018). Eye-tracking. A guide for applied linguistics research. Cambridge University Press. [Google Scholar] [CrossRef]
- Cormie, P., McGuigan, M., & Newton, R. (2011). Developing maximal neuromuscular power. Part 2—Training considerations for improving maximal power production. Sports Medicine, 41(2), 125–146. [Google Scholar] [CrossRef] [PubMed]
- Cotman, C. W., Berchtold, N. C., & Christie, L. A. (2007). Exercise builds brain health: Key roles of growth factor cascades and inflammation. Trends in Neurosciences, 30(9), 464–472. [Google Scholar] [CrossRef] [PubMed]
- El-Kotob, R., Ponzano, M., Chaput, J.-P., Janssen, I., Kho, M. E., Poitras, V. J., Ross, R., Ross-White, A., Saunders, T. J., & Giangregorio, L. M. (2020). Resistance training and health in adults: An overview of systematic reviews. Applied Physiology, Nutrition, and Metabolism, 45(10)(Suppl. S2), S165–S179. [Google Scholar] [CrossRef] [PubMed]
- Eskenazi, M. A. (2024). Best practices for cleaning eye movement data in reading research. Behavior Research Methods, 56(3), 2083–2093. [Google Scholar] [CrossRef] [PubMed]
- Faul, F., Edgar, E., Buchner, A., & Lang, A.-G. (2009). Statistical power analyses using G*Power 3.1: Tests for correlation and regression analyses. Behavior Research Methods, 41(4), 1149–1160. [Google Scholar] [CrossRef] [PubMed]
- Fiatarone Singh, M. A., Gates, N., Saigal, N., Wilson, G. C., Meiklejohn, J., Brodaty, H., Wen, W., Singh, N., Baune, B. T., Suo, C., Baker, M. K., Foroughi, N., Wang, Y., Sachdev, P. S., & Valenzuela, M. (2014). The Study of Mental and Resistance Training (SMART) study-resistance training and/or cognitive training in mild cognitive impairment: A randomized, double-blind, double-sham controlled trial. Journal of the American Medical Directors Association, 15(12), 873–880. [Google Scholar] [CrossRef] [PubMed]
- Gazzaniga, M. S., Ivry, R. B., & Mangun, G. R. (2014). Cognitive neuroscience. The biology of the mind (A. Javsicas, & S. Snavely, Eds.; 4th ed.). W. W. Norton. [Google Scholar]
- Gibson, E. (1998). Linguistic complexity: Locality of syntactic dependencies. Cognition, 68(1), 1–76. [Google Scholar] [CrossRef]
- Gibson, E. (2000). The dependency locality theory: A distance-based theory of linguistic complexity. In Y. Miyashita, A. Marantz, & W. O’Neil (Eds.), Image, language, brain (pp. 96–126). MIT Press. [Google Scholar]
- Guizelini, P. C., de Aguiar, R. A., Denadai, B. S., Caputo, F., & Greco, C. C. (2018). Effect of resistance training on muscle strength and rate of force development in healthy older adults: A systematic review and meta-analysis. Experimental Gerontology, 102, 51–58. [Google Scholar] [CrossRef] [PubMed]
- Hale, J. (2001, June 1–7). A probabilistic Earley parser as a psycholinguistic model. Second Meeting of the North American Chapter of the Association for Computational Linguistics (pp. 1–8), Stroudsburg, PA, USA. [Google Scholar]
- Hernández-Belmonte, A., Buendía-Romero, Á., Franco-López, F., Martínez-Cava, A., & Pallarés, J. G. (2023). Adaptations in athletic performance and muscle architecture are not meaningfully conditioned by training free-weight versus machine-based exercises: Challenging a traditional assumption using the velocity-based method. Scandinavian Journal of Medicine and Science in Sports, 33(10), 1948–1957. [Google Scholar] [CrossRef] [PubMed]
- Hillman, C., Erickson, K., & Kramer, A. (2008). Be smart, exercise your heart: Exercise effects on brain and cognition. Nature Reviews|Neuroscience, 9, 58–65. [Google Scholar] [CrossRef] [PubMed]
- Hojman, P., Gehl, J., Christensen, J. F., & Pedersen, B. K. (2018). Molecular mechanisms linking exercise to cancer prevention and treatment. Cell Metabolism, 27(1), 10–21. [Google Scholar] [CrossRef]
- Hsieh, S. S., Chang, Y. K., Hung, T. M., & Fang, C. L. (2016). The effects of acute resistance exercise on young and older males’ working memory. Psychology of Sport and Exercise, 22, 286–293. [Google Scholar] [CrossRef]
- Hyönä, J., & Kaakinen, J. K. (2019). Eye Movements During Reading. In C. Klein, & U. Ettinger (Eds.), Eye movement research an introduction to its scientific foundations and applications (pp. 239–274). Springer International Publishing. [Google Scholar] [CrossRef]
- Just, M. A., & Carpenter, P. A. (1980). A theory of reading: From eye fixations to comprehension. Psychological Review, 87(4), 329–354. [Google Scholar] [CrossRef]
- Kintsch, W. (1998). Comprehension: A paradigm for cognition. Cambridge University Press. [Google Scholar]
- Kleijn, S. (2018). Clozing in on readability: How linguistic features affect and predict text comprehension and on-line processing. Universiteit Utrecht. [Google Scholar]
- Landrigan, J. F., Bell, T., Crowe, M., Clay, O. J., & Mirman, D. (2020). Lifting cognition: A meta-analysis of effects of resistance exercise on cognition. Psychological Research, 84(5), 1167–1183. [Google Scholar] [CrossRef]
- Liguori, G., & ACSM. (2021). ACSM’s guidelines for exercise testing and prescription (11th ed.). ACSM. [Google Scholar]
- Maestroni, L., Read, P., Bishop, C., Papadopoulos, K., Suchomel, T. J., Comfort, P., & Turner, A. (2020). The benefits of strength training on musculoskeletal system health: Practical applications for interdisciplinary care. Sports Medicine, 50(8), 1431–1450. [Google Scholar] [CrossRef]
- Mateluna-Núñez, C., Zavala-Crichton, J. P., Monsalves-Álvarez, M., Olivares-Arancibia, J., & Yáñez-Sepúlveda, R. (2022). Effects of weightlifting training on sprint, jump and change of direction performance in athletes: A systematic review. Retos, 44, 464–476. [Google Scholar] [CrossRef]
- Nagamatsu, L. S., Handy, T. C., Hsu, C. L., Voss, M., & Liu-Ambrose, T. (2012). Resistance training promotes cognitive and functional brain plasticity in seniors with probable mild cognitive impairment. Archives of Internal Medicine, 172(8), 666–668. [Google Scholar] [CrossRef]
- Nouwens, S., Groen, M. A., Kleemans, T., & Verhoeven, L. (2021). How executive functions contribute to reading comprehension. British Journal of Educational Psychology, 91(1), 169–192. [Google Scholar] [CrossRef]
- Orozco, P., & Pineda, E. (2019). Evaluación de funciones ejecutivas en estudiantes de primer año universitario que presentan bajo y alto rendimiento en comunicación escrita y producción lectora. Revista de Lenguas Modernas, 31, 219–249. [Google Scholar] [CrossRef]
- Ratamess, N. A., Alvar, B. A., Evetoch, T. K., Housh, T. J., Kibler, B. W., Kraemer, W. J., & Triplett, T. N. (2009). Progression models in resistance training for healthy adults. Medicine and Science in Sports and Exercise, 41(3), 687–708. [Google Scholar] [CrossRef]
- R Core Team. (2021). R: A language and environment for statistical computing. R Foundation for Statistical Computing. Available online: https://www.R-project.org/ (accessed on 1 September 2024).
- Schoenfeld, B. J., Grgic, J., Van Every, D. W., & Plotkin, D. L. (2021). Loading recommendations for muscle strength, hypertrophy, and local endurance: A re-examination of the repetition continuum. Sports, 9(2), 32. [Google Scholar] [CrossRef] [PubMed]
- Smart, N. A., Waldron, M., Ismail, H., Giallauria, F., Vigorito, C., Cornelissen, V., & Dieberg, G. (2015). Validation of a new tool for the assessment of study quality and reporting in exercise training studies: TESTEX. International Journal of Evidence-Based Healthcare, 13(1), 9–18. [Google Scholar] [CrossRef] [PubMed]
- Smolarek, A. de C., Boiko Ferreira, L. H., Gomes Mascarenhas, L. P., McAnulty, S. R., Varela, K. D., Dangui, M. C., de Barros, M. P., Utter, A. C., & Souza-Junior, T. P. (2016). The effects of strength training on cognitive performance in elderly women. Clinical Interventions in Aging, 11, 749–754. [Google Scholar] [CrossRef]
- Van den Broek, P., & Kendeou, P. (2022). Reading Comprehension I. In The science of reading (pp. 239–260). Wiley. [Google Scholar] [CrossRef]
- Westcott, W. L. (2012). Resistance training is medicine: Effects of strength training on health. Current Sports Medicine Reports, 11(4), 209–216. [Google Scholar] [CrossRef] [PubMed]
- Wilke, J., Giesche, F., Klier, K., Vogt, L., Herrmann, E., & Banzer, W. (2019). Acute effects of resistance exercise on cognitive function in healthy adults: A systematic review with multilevel meta-analysis. Sports Medicine, 49(6), 905–916. [Google Scholar] [CrossRef]
- Wilke, J., Stricker, V., & Usedly, S. (2020). Free-weight resistance exercise is more effective in enhancing inhibitory control than machine-based training: A randomized, controlled trial. Brain Sciences, 10(10), 702. [Google Scholar] [CrossRef] [PubMed]
Disclaimer/Publisher’s Note: The statements, opinions and data contained in all publications are solely those of the individual author(s) and contributor(s) and not of MDPI and/or the editor(s). MDPI and/or the editor(s) disclaim responsibility for any injury to people or property resulting from any ideas, methods, instructions or products referred to in the content. |
© 2025 by the authors. Licensee MDPI, Basel, Switzerland. This article is an open access article distributed under the terms and conditions of the Creative Commons Attribution (CC BY) license (https://creativecommons.org/licenses/by/4.0/).



