HLA Genetic Diversity and Chronic Hepatitis B Virus Infection: Effect of Heterozygosity Advantage
Abstract
1. Introduction
2. Materials and Methods
2.1. Patients and Controls
2.2. Biochemical and Viral Marker Analysis
2.3. DNA Extraction
2.4. HLA Genotyping
2.5. Statistical Analysis
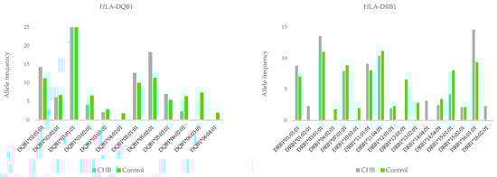
3. Results
4. Discussion
5. Conclusions
Author Contributions
Funding
Institutional Review Board Statement
Informed Consent Statement
Data Availability Statement
Conflicts of Interest
References
- European Association for the Study of the Liver. EASL 2017 Clinical Practice Guidelines on the management of hepatitis B virus infection. J. Hepatol. 2017, 67, 370–398. [Google Scholar] [CrossRef]
- Li, X.; Liu, W.; Wang, H.; Jin, X.; Fang, S.; Shi, Y.; Liu, Z.; Zhang, S.; Yang, S. The influence of HLA alleles and HBV subgenotyes on the outcomes of HBV infections in Northeast China. Virus Res. 2012, 163, 328–333. [Google Scholar] [CrossRef] [PubMed]
- Jiang, Y.G.; Wang, Y.M.; Liu, T.H.; Liu, J. Association between HLA class II gene and susceptibility or resistance to chronic hepatitis B. World J. Gastroenterol. 2003, 9, 2221–2225. [Google Scholar] [CrossRef] [PubMed]
- Höhler, T.; Gerken, G.; Notghi, A.; Lubjuhn, R.; Taheri, H.; Protzer, U.; Löhr, H.F.; Schneider, P.M.; Büschenfelde, K.-H.M.Z.; Rittner, C. HLA-DRB1*1301 AND *1302 protect against chronic hepatitis B. J. Hepatol. 1997, 26, 503–507. [Google Scholar] [CrossRef] [PubMed]
- Nishida, N.; Sawai, H.; Kashiwase, K.; Minami, M.; Sugiyama, M.; Seto, W.-K.; Yuen, M.-F.; Posuwan, N.; Poovorawan, Y.; Ahn, S.H.; et al. New Susceptibility and Resistance HLA-DP Alleles to HBV-Related Diseases Identified by a Trans-Ethnic Association Study in Asia. PLoS ONE 2014, 9, e86449. [Google Scholar] [CrossRef] [PubMed]
- Mbarek, H.; Ochi, H.; Urabe, Y.; Kumar, V.; Kubo, M.; Hosono, N.; Takahashi, A.; Kamatani, Y.; Miki, D.; Abe, H.; et al. A genome-wide association study of chronic hepatitis B identified novel risk locus in a Japanese population. Hum. Mol. Genet. 2011, 20, 3884–3892. [Google Scholar] [CrossRef]
- Thio, C.L.; Thomas, D.L.; Karacki, P.; Gao, X.; Marti, D.; Kaslow, R.A.; Goedert, J.J.; Hilgartner, M.; Strathdee, S.A.; Duggal, P.; et al. Comprehensive analysis of class I and class II HLA antigens and chronic hepatitis B virus infection. J. Virol. 2003, 77, 12083–12087. [Google Scholar] [CrossRef]
- Seshasubramanian, V.; Soundararajan, G.; Ramasamy, P. Human leukocyte antigen A, B and Hepatitis B infection outcome: A meta-analysis. Infect. Genet. Evol. 2018, 66, 392–398. [Google Scholar] [CrossRef]
- Albayrak, A.; Ertek, M.; Tasyaran, M.A.; Pirim, I. Role of HLA allele polymorphism in chronic hepatitis B virus infection and HBV vaccine sensitivity in patients from eastern Turkey. Biochem. Genet. 2011, 49, 258–269. [Google Scholar] [CrossRef]
- Thursz, M.R.; Kwiatkowski, D.; Allsopp, C.E.; Greenwood, B.M.; Thomas, H.C.; Hill, A.V. Association between an MHC class II allele and clearance of hepatitis B virus in the Gambia. N. Engl. J. Med. 1995, 332, 1065–1069. [Google Scholar] [CrossRef]
- Tălăngescu, A.; Calenic, B.; Mihăilescu, D.F.; Tizu, M.; Marunțelu, I.; Constantinescu, A.E.; Constantinescu, I. Molecular Analysis of HLA Genes in Romanian Patients with Chronic Hepatitis B Virus Infection. Curr. Issues Mol. Biol. 2024, 46, 1064–1077. [Google Scholar] [CrossRef] [PubMed]
- Doherty, P.C.; Zinkernagel, R.M. Enhanced immunological surveillance in mice heterozygous at the H-2 gene complex. Nature 1975, 256, 50–52. [Google Scholar] [CrossRef] [PubMed]
- Tsai, Y.Y.; Qu, C.; Bonner, J.D.; Sanz-Pamplona, R.; Lindsey, S.S.; Melas, M.; McDonnell, K.J.; Idos, G.E.; Walker, C.P.; Tsang, K.K.; et al. Heterozygote advantage at HLA class I and II loci and reduced risk of colorectal cancer. Front. Immunol. 2023, 14, 1268117. [Google Scholar] [CrossRef] [PubMed]
- Tang, J.; Costello, C.; Keet, I.P.; Rivers, C.; Leblanc, S.; Karita, E.; Allen, S.; Kaslow, R.A. HLA class I homozygosity accelerates disease progression in human immunodeficiency virus type 1 infection. AIDS Res. Hum. Retroviruses 1999, 15, 317–324. [Google Scholar] [CrossRef]
- Goyette, P.; Boucher, G.; Mallon, D.; Ellinghaus, E.; Jostins, L.; Huang, H.; Ripke, S.; Gusareva, E.S.; Annese, V.; Hauser, S.L.; et al. High-density mapping of the MHC identifies a shared role for HLA-DRB1*01:03 in inflammatory bowel diseases and heterozygous advantage in ulcerative colitis. Nat. Genet. 2015, 47, 172–179. [Google Scholar] [CrossRef]
- Migdal, M.; Ruan, D.F.; Forrest, W.F.; Horowitz, A.; Hammer, C. MiDAS—Meaningful Immunogenetic Data at Scale. PLoS Comput. Biol. 2021, 17, e1009131. [Google Scholar] [CrossRef]
- Benjamini, Y.; Hochberg, Y. Controlling the False Discovery Rate: A Practical and Powerful Approach to Multiple Testing. J. R. Stat. Soc. Ser. B 1995, 57, 289–300. [Google Scholar] [CrossRef]
- Pierini, F.; Lenz, T.L. Divergent allele advantage at human MHC genes: Signatures of past and ongoing selection. Mol. Biol. Evol. 2018, 35, 2145–2158. [Google Scholar] [CrossRef]
- Constantinescu, I.; Dinu, A.A.; Boscaiu, V.; Niculescu, M. Hepatitis B virus core promoter mutations in patients with chronic hepatitis B and hepatocellular carcinoma in Bucharest, Romania. Hepat. Mon. 2014, 14, e22072. [Google Scholar] [CrossRef]
- Neefjes, J.; Ovaa, H. A peptide’s perspective on antigen presentation to the immune system. Nat. Chem. Biol. 2013, 9, 769–775. [Google Scholar] [CrossRef]
- Vandiedonck, C.; Knight, J.C. The human Major Histocompatibility Complex as a paradigm in genomics research. Brief. Funct. Genom. Proteom. 2009, 8, 379–394. [Google Scholar] [CrossRef] [PubMed]
- Takahata, N.; Nei, M. Allelic genealogy under overdominant and frequency-dependent selection and polymorphism of major histocompatibility complex loci. Genetics 1990, 124, 967–978. [Google Scholar] [CrossRef] [PubMed]
- Doherty, P.C.; Zinkernagel, R.M. A biological role for the major histocompatibility antigens. Lancet 1975, 305, 1406–1409. [Google Scholar] [CrossRef] [PubMed]
- Chowell, D.; Krishna, C.; Pierini, F.; Makarov, V.; Rizvi, N.A.; Kuo, F.; Morris, L.G.T.; Riaz, N.; Lenz, T.L.; Chan, T.A. Evolutionary divergence of HLA class I genotype impacts efficacy of cancer immunotherapy. Nat. Med. 2019, 25, 1715–1720. [Google Scholar] [CrossRef]
- Merli, P.; Crivello, P.; Strocchio, L.; Pinto, R.M.; Algeri, M.; Del Bufalo, F.; Pagliara, D.; Becilli, M.; Carta, R.; Gaspari, S.; et al. Human leukocyte antigen evolutionary divergence influences outcomes of paediatric patients and young adults affected by malignant disorders given allogeneic haematopoietic stem cell transplantation from unrelated donors. Br. J. Haematol. 2023, 200, 622–632. [Google Scholar] [CrossRef] [PubMed]
- Bitarello, B.D.; Francisco, R.S.; Meyer, D. Heterogeneity of dN/dS Ratios at the Classical HLA Class I Genes over Divergence Time and Across the Allelic Phylogeny. J. Mol. Evol. 2016, 82, 38–50. [Google Scholar] [CrossRef]
- Alter, I.; Gragert, L.; Fingerson, S.; Maiers, M.; Louzoun, Y. HLA class I haplotype diversity is consistent with selection for frequent existing haplotypes. PLoS Comput. Biol. 2017, 13, e1005693. [Google Scholar] [CrossRef]
- Roerden, M.; Nelde, A.; Heitmann, J.S.; Klein, R.; Rammensee, H.G.; Bethge, W.A.; Walz, J.S. HLA Evolutionary Divergence as a Prognostic Marker for AML Patients Undergoing Allogeneic Stem Cell Transplantation. Cancers 2020, 12, 1835. [Google Scholar] [CrossRef]
- Asti, M.; Martinetti, M.; Zavaglia, C.; Cuccia, M.C.; Gusberti, L.; Tinelli, C.; Cividini, A.; Bruno, S.; Salvaneschi, L.; Ideo, G.; et al. Human leukocyte antigen class II and III alleles and severity of hepatitis C virus-related chronic liver disease. Hepatology 1999, 29, 1272–1279. [Google Scholar] [CrossRef]
- Hraber, P.; Kuiken, C.; Yusim, K. Evidence for human leukocyte antigen heterozygote advantage against hepatitis C virus infection. Hepatology 2007, 46, 1713–1721. [Google Scholar] [CrossRef]
- Liu, Z.; Huang, C.J.; Huang, Y.H.; Pan, M.H.; Lee, M.H.; Yu, K.J.; Pfeiffer, R.M.; Viard, M.; Yuki, Y.; Gao, X.; et al. HLA Zygosity Increases Risk of Hepatitis B Virus-Associated Hepatocellular Carcinoma. J. Infect. Dis. 2021, 224, 1796–1805. [Google Scholar] [CrossRef]
- Arora, J.; Pierini, F.; McLaren, P.J.; Carrington, M.; Fellay, J.; Lenz, T.L. HLA heterozygote advantage against HIV-1 is driven by quantitative and qualitative differences in HLA allele-specific peptide presentation. Mol. Biol. Evol. 2020, 37, 639–650. [Google Scholar] [CrossRef]
- Zijenah, L.S.; Hartogensis, W.E.; Katzenstein, D.A.; Tobaiwa, O.; Mutswangwa, J.; Mason, P.R.; Louie, L.G. Association of high HIV-1 RNA levels and homozygosity at HLA class II DRB1 in adults coinfected with Mycobacterium tuberculosis in Harare, Zimbabwe. Hum. Immunol. 2002, 63, 1026–1032. [Google Scholar] [CrossRef] [PubMed]
- Khan, T.; Rahman, M.; Ahmed, I.; Al Ali, F.; Jithesh, P.V.; Marr, N. Human leukocyte antigen class II gene diversity tunes antibody repertoires to common pathogens. Front. Immunol. 2022, 13, 856497. [Google Scholar] [CrossRef]
- Jeffery, K.J.; Siddiqui, A.A.; Bunce, M.; Lloyd, A.L.; Vine, A.M.; Witkover, A.D.; Izumo, S.; Usuku, K.; Welsh, K.I.; Osame, M.; et al. The influence of HLA class I alleles and heterozygosity on the outcome of human T cell lymphotropic virus type infection. J. Immunol. 2000, 165, 7278–7284. [Google Scholar] [CrossRef]
- Jean, S.; Quelvennec, E.; Alizadeh, M.; Guggenbuhl, P.; Birebent, B.; Perdriger, A.; Grosbois, B.; Pawlotsky, P.Y.; Semana, G. DRB1*15 and DRB1*03 extended haplotype interaction in primary Sjogren’s syndrome genetic susceptibility. Clin. Exp. Rheumatol. 1998, 16, 725–728. [Google Scholar] [PubMed]
- Wang, S.S.; Carrington, M.; Berndt, S.I.; Slager, S.L.; Bracci, P.M.; Voutsinas, J.; Cerhan, J.R.; Smedby, K.E.; Hjalgrim, H.; Vijai, J.; et al. HLA class I and II diversity contributes to the etiologic heterogeneity of non-hodgkin lymphoma subtypes. Cancer Res. 2018, 78, 4086–4096. [Google Scholar] [CrossRef] [PubMed]
- Wang, Q.L.; Wang, T.M.; Deng, C.M.; Zhang, W.L.; He, Y.Q.; Xue, W.Q.; Liao, Y.; Yang, D.W.; Zheng, M.Q.; Jia, W.H. Association of HLA diversity with the risk of 25 cancers in the UK Biobank. EBioMedicine 2023, 92, 104588. [Google Scholar] [CrossRef]
- Liu, Z.; Hildesheim, A. Association between human leukocyte antigen class I and II diversity and non-virus-associated solid tumors. Front. Genet. 2021, 12, 675860. [Google Scholar] [CrossRef]


| Variables | CHB Group | LC Group | Control Group | p-Value | p-Value | p-Value |
|---|---|---|---|---|---|---|
| Number (%) | Number (%) | Number (%) | CHB vs. LC | CHB vs. Control | LC vs. Control | |
| (n = 284) | (n = 43) | (n = 304) | ||||
| Gender | ||||||
| Male | 140 (49.30) | 20 (46.51) | 186 (61.18) | 0.734 | 0.004 | 0.067 |
| Female | 144 (50.70) | 23 (53.49) | 118 (38.82) | |||
| Age (years) | ||||||
| <40 | 110 (38.73) | 10 (23.26) | 234 (76.97) | 0.071 | <0.001 | <0.001 |
| 40–49 | 42 (14.79) | 5 (11.63) | 63 (20.72) | |||
| 50–59 | 55 (19.37) | 15 (34.88) | 7 (2.30) | |||
| ≥60 | 77 (27.11) | 13 (30.23) | 0 (0.00) | |||
| Region of residence | ||||||
| Muntenia | 183 (64.44) | 26 (60.47) | 151 (49.67) | <0.001 | <0.001 | <0.001 |
| Oltenia | 84 (29.58) | 4 (9.30) | 116 (38.16) | |||
| Moldavia | 11 (3.87) | 7 (16.28) | 4 (1.32) | |||
| Dobrogea | 3 (1.06) | 3 (6.98) | 0 (0.00) | |||
| Crisana | 1 (0.35) | 1 (2.33) | 0 (0.00) | |||
| Transylvania | 2 (0.70) | 2 (4.65) | 33 (10.86) | |||
| Area of residence | ||||||
| Urban | 135 (38.03) | 26 (60.47) | 162 (53.29) | 0.005 | <0.001 | 0.377 |
| Rural | 149 (61.97) | 17 (39.53) | 142 (46.71) | |||
| Alcohol consumption | ||||||
| Yes | 14 (4.93) | 4 (9.30) | 9 (2.96) | 0.241 | 0.218 | 0.040 |
| No | 270 (95.07) | 39 (90.70) | 295 (97.04) | |||
| Cigarette smoking | ||||||
| Yes | 39 (13.73) | 6 (13.95) | 18 (5.92) | 0.969 | 0.001 | 0.052 |
| No | 245 (86.27) | 37 (86.05) | 286 (94.08) |
| HLA Status | Estimate OR, (95% CI) | Adjusted p-Value (BH) with Significance | Total | Total Percentage | Control Group | Control Group Percentage | HBV Group | HBV Group Percentage |
|---|---|---|---|---|---|---|---|---|
| DQB1 heterozygote | 0.49 (0.31–0.76) | 0.01277 | 538 | 83.93% | 270 | 88.82% | 268 | 79.53% |
| DRB1 heterozygote | 0.42 (0.24–0.77) | 0.01855 | 583 | 90.95% | 287 | 94.41% | 296 | 87.83% |
Disclaimer/Publisher’s Note: The statements, opinions and data contained in all publications are solely those of the individual author(s) and contributor(s) and not of MDPI and/or the editor(s). MDPI and/or the editor(s) disclaim responsibility for any injury to people or property resulting from any ideas, methods, instructions or products referred to in the content. |
© 2024 by the authors. Licensee MDPI, Basel, Switzerland. This article is an open access article distributed under the terms and conditions of the Creative Commons Attribution (CC BY) license (https://creativecommons.org/licenses/by/4.0/).
Share and Cite
Tălăngescu, A.; Tizu, M.; Calenic, B.; Mihăilescu, D.F.; Constantinescu, A.E.; Constantinescu, I. HLA Genetic Diversity and Chronic Hepatitis B Virus Infection: Effect of Heterozygosity Advantage. Med. Sci. 2024, 12, 44. https://doi.org/10.3390/medsci12030044
Tălăngescu A, Tizu M, Calenic B, Mihăilescu DF, Constantinescu AE, Constantinescu I. HLA Genetic Diversity and Chronic Hepatitis B Virus Infection: Effect of Heterozygosity Advantage. Medical Sciences. 2024; 12(3):44. https://doi.org/10.3390/medsci12030044
Chicago/Turabian StyleTălăngescu, Adriana, Maria Tizu, Bogdan Calenic, Dan Florin Mihăilescu, Alexandra Elena Constantinescu, and Ileana Constantinescu. 2024. "HLA Genetic Diversity and Chronic Hepatitis B Virus Infection: Effect of Heterozygosity Advantage" Medical Sciences 12, no. 3: 44. https://doi.org/10.3390/medsci12030044
APA StyleTălăngescu, A., Tizu, M., Calenic, B., Mihăilescu, D. F., Constantinescu, A. E., & Constantinescu, I. (2024). HLA Genetic Diversity and Chronic Hepatitis B Virus Infection: Effect of Heterozygosity Advantage. Medical Sciences, 12(3), 44. https://doi.org/10.3390/medsci12030044

