Abstract
Considering the increasing requirements for the recovery of different natural and industrial waste materials, the application of volcanic ash as an alternative sustainable binder to traditionally employed lime and cement is proposed for soil stabilization for geotechnical engineering purposes, thus providing a reduction in carbon emissions. Soil stabilization was performed on natural clays with very high swelling potential, i.e. those classified as inadequate for reuse as a building material for geotechnical purposes. A mineralogical and chemical characterization of raw materials was carried out prior to the performance of different geotechnical laboratory tests, i.e., testing Atterberg limits, compaction, swelling potential, compressibility and resistance parameters over naturally remolded clay and soil mixtures with different binders. The swelling potential was reduced with an increase in the amount of applied binder, necessitating the addition of 10, 20, and 30% of volcanic ash compared to 3% lime, 3% cement and 5% lime, respectively, for a similar reduction in swelling potential. An investigation of the resistance parameters for soil mixture specimens that provided a suitable reduction in swelling potential for their reuse was performed, and a comparison to the parameters of naturally remolded clay was made.
1. Introduction
Due to the numerous problems associated with the construction of foundations over problematic soils (considering their high compressibility and volumetric change through swelling, as well as collapsibility potential, low shear strength, etc.), the necessity for soil stabilization and improvement in its geotechnical characteristics has arisen with a focus on the reuse of materials that are considered unsuitable for geotechnical construction purposes. Soil stabilization is generally very effective in cases with challenging soils in civil engineering construction projects, such as infrastructure, embankments, foundations, etc., providing adequate geotechnical properties to deficient natural soils. Soil stabilization can be achieved through the application of different cementitious, non-cementitious, and chemical binders, such as the increasingly widely employed lime and cement, leading to an increase in adverse environmental effects such as the emission of CO2. For soil stabilization, the application of locally available waste materials, i.e., both natural and industrial secondary by-products, is of great interest in efforts to eliminate their deposition in landfills. Different waste materials, such as industrial by-products and natural pozzolans, are under continuous research as alternative low-carbonate material additives to the traditionally used Portland cement and hydraulic natural lime in geotechnical engineering projects. Examples of alternative materials are fly ash [1,2,3], rice husk ash, silica fume, cement kiln dust (CKD) [4], ground granulated blast furnace slag (GGBFS) [5,6], etc.
Numerous case studies on foundation problems on expansive soils have been reported worldwide [7,8,9]. These soils tend to experience volumetric changes related to their composition of expansive clay minerals or water content variations that can result in either swelling or shrinkage. In general, water content changes originating from seasonal rainfall variations, local site leakages, etc., can cause significant hazards in geotechnical engineering projects. Expansive soils are traditionally stabilized using lime, which is an economically viable additive, although researchers have indicated its limitations in terms of the introduction of chemical additives such as NaCl, KCl, MgCl2, CaCl2, etc., which is considered economically unjustifiable [10]. For this reason, alternative waste materials, such as industry by-products and natural pozzolans like fly ash [10,11,12,13,14], bagasse ash [15], CKD [16,17,18,19], GGBFS [20], wood ash [21], etc., are proposed for the stabilization of expansive soils.
In this study, the application of volcanic ash (VA) is considered, due to its increasing availability worldwide. In general, the application of VA as a natural material for soil stabilization has not yet gained extensive international acceptance, despite its wide availability. VA is part of the pyroclastic material group and is associated with volcanic activity. The magma from the interior of the Earth rises to the crust, where it seeks a way to the surface through fissures, ultimately rising and forming a chimney-shaped structure. Once such a chimney is active, it expels magma in the form of lava and a pyroclastic material, combined with gases. The ejected pyroclastic materials have different granulometries, varying between fine dust and metric fragments. VA comes from this material, with the characteristic that its particle grain size is less than 2 mm (sand size) [22]. VA is very diverse in terms of its composition, because the magma from which it comes can be acidic magma or basic magma; therefore, characterization of pyroclastic material is necessary prior to its application. In general, over 0.84% of the world’s land surface is covered with VA deposits, making it an easily accessible material. An extensive review of its chemical and mineral composition, physical properties, different applications as a binder material, etc., was conducted in [23].
The application of VA for soil stabilization has been performed by different authors, confirming its influence on the enhancement of different geotechnical parameters. The stabilization of clay material of both low (CL) and high (CH) plasticity was studied [24] under different dosages and combinations of VA, cement, and natural lime, using uniaxial compressive tests (UCS) under different curing times, the CBR test, and durability tests to study the influence of water immersion. The stabilization of CL using different dosages and combinations of VA and CKD was attempted to determine its influence on UCS, CBR, and durability tests, as well as to study the influence of water immersion on UCS, water absorption by capillarity, and the linear shrinkage of specimens [25]. The stabilization of CH with VA through the addition of lime for the enhancement in pozzolanic activity to study its influence on CBR was shown in [26]. Sandy soil was stabilized using VA and GGBFS for the improvement of UCS in [27]. CL stabilization using VA alkali activated by NaOH under different curing conditions to determine UCS was described in [28]. CL stabilization using three different types of VA to define UCS under different curing conditions was described in [29]. CL stabilized using a combination of VA and alkali-activated GGBS to study UCS under different curing times and durability tests (freezing–thawing (FT) and drying–wetting (DW)) was demonstrated in [30]. CL stabilized using different dosages of VA alkali activated by NaOH to study its influence on UCS under different curing conditions and resistance parameters by direct shear tests was described in [31].
In this study, VA, which is abundantly available after the Tajogaite volcano activity of 2021 at La Palma Island, Canary Island, Spain, was applied [32]. The dispersal of VA during the eruption of Tajogaite in 2021 provided additional available material that could be recovered for different innovative applications, including geotechnical construction, thereby avoiding its deposition in landfills. This VA was previously studied to evaluate its environmental impact and its potential for reuse in the production of zeolitic material [33], as an alkali-activated binder [34], as a Portland cement constituent [32,35], and for the evaluation of its chemical, mineralogical, and geotechnical properties under static conditions [36]
In this work, the stabilization of the natural clayey gypsum soil, containing the highly expansive clay mineral smectite, from the south-east region of Spain was studied. Its characteristics in a remolded state were compared to those obtained by the addition of different binders, such as VA, hydraulic natural lime, and ordinary Portland cement. The identification criteria for the swelling potential characterization comprised both indirect, physical and mineralogical properties, as well as direct properties, assessed by the measurement of free swelling in oedometer tests. Different criteria for expansive soil characterization are described in the literature, e.g., free swell, heave potential, degree of expansiveness, etc. [7,37,38,39]. The analysis of the resistance parameters by direct shear test was also performed on naturally remolded clay and soil mixture specimens that provided suitable reductions in the swelling potential.
2. Materials and Test Methods
The soil used throughout this study was the clay of the Murcia (Spain) region, obtained from the excavation of a tunnel for road construction. This material was oven dried to establish its physical, chemical and geotechnical characteristics. The following tests were performed to define the natural clay material: mineralogical and chemical characterization by X-ray diffraction (XRD) [40], X-ray fluorescence (XRF) [41], Oriented Aggregates (AO) (see Section 3.1); sieve and laser analysis to determine grain size distribution curve (as described in [42,43], see Section 3.3); plasticity parameters (as described in [44], see Section 3.4); specific gravity test of soil solids (as described in [45], see Section 3.5); modified Proctor test for compaction analysis (as described in [46], see Section 3.6); consolidation test (as described in [47], see Section 3.7); and direct shear test (as described in [48], see Section 3.8).
The VA used in this study as a binder for the stabilization and improvement of the geotechnical properties of swelling clays was obtained from La Palma Island, Canary Islands, Spain, during the last days of the Tajogaite eruption in 2021 [36]. In general, VA materials have lower reactivity than other mineral additives, such as fly ash, granulated blast furnace slag, metakaolin. Thus, VA is usually alkaline activated by the addition of NaOH or KOH, and additives such as GGBFS, burnt lime, metakaolin, kaolinite, etc. [23]. In this case, the addition of lime was considered for activation, although other additives could have been applied as well.
Besides VA, the traditionally used lime and cement were also added as a binder to this natural clay to compare their effects. The lime used in this study was natural hydraulic lime, and the cement was commercial Portland cement; both were characterized by XRD and XRF (see Section 3.1).
The performed tests on the studied raw materials and soil mixtures are summarized in Table 1, as are the applied standards for each test. The characterization of the VA used in this study, denominated as VA-C3, is described in detail in [36].
Table 1.
The identification, mineralogical and geotechnical tests carried out in this study.
Table 2 summarizes the nomenclature of the samples used in the laboratory tests, that are further used throughout this paper due to its simplicity: T for soil, V for volcanic ash, C for lime, and CEM for cement. The percentage of additives indicated is with respect to the dry weight of the sample. It should be noted that the samples that contained VA (TV10C5, TV20C5, TV30C5) also had added lime (abbreviation C) to enhance the VA’s pozzolanic activity; in such cases, a small amount of lime was added, i.e., 5% C with respect to the dry VA weight as opposed to the total dry weight of the sample, such as for the samples that only contained lime (TV0C1, TV0C3, TV0C5) or cement (TV0CEM1, TV0CEM3). Images of the raw materials are shown in Figure 1.
Table 2.
Definitions of abbreviations for the samples used throughout the study.
Figure 1.
Images of the raw materials used in this study: (a) TV0C0, (b) VA-C3, (c) Cement and (d) Lime.
According to the Unified Soil Classification System [49], the natural soil used in this study could be is classified as high plasticity clay (CH), according to plasticity parameters, i.e., for TV0C0 and TV0C0-2, the values obtained for the liquid limit (LL), plastic limit (PL), and plasticity index (PI), corresponded to 51 and 47%, 18%, and 33 and 29, respectively (see Figure 5). Once remolded, the natural clayey soil was classified as inadequate for further reuse in construction engineering according to the Spanish Standard PG-3 classification [50] based on the following characteristics: free swelling up to 12%; gypsum content greater than 3%; approximately 95% of the material was silt/clay size; and the liquid limit (LL) and the plasticity index (PI) were >50% and >30, respectively. For these reasons, it was decided to stabilize it by the addition of different binders to improve its geotechnical characteristics for possible reuse. Additionally, according to the activity index (AI = PI/%clay) of TV0C0 as defined in [51], i.e., ranging from 1.3 to 1.8, it was also defined as high expansive clayey soil being AI > 1.25.
The mineralogical and chemical composition of the natural soil, VA, lime and cement were determined through X-ray diffraction (XRD) by the disoriented polycrystalline powder method and X-ray fluorescence (XRF), respectively. Diffractograms were obtained using a BRUKER D8 Advance diffractometer using CuKα radiation, in an angular range of 2θ from 10 to 60°, with a step size of 0.02° and a time per step of 1s. The diagrams were interpreted with the EVA DIFFRACplus 13.0 software by comparison with the PDF2 (Powder Diffraction File) database of the International Center for Diffraction Data. Chemical analyses were carried out using a BRUKER S2 Ranger for major and minor elements, expressed as % by weight (wt %) of oxides. “Loss On Ignition” (LOI) was previously determined for the fitting of the chemical analysis.
The XRD and XRF results are summarized in Table 3 and Table 5. In the natural remolded clay sample (TV0C0), considering its high content of phyllosilicates in the crystalline phase (see Table 3), the identification of these based on AO (oriented aggregates), using the method described in [52], was necessary. The AO patterns are represented in Figure 3 and the quantification of clay minerals in Table 4.
The soil mixture specimen preparation comprised thorough manual mixing of the dry materials, i.e., both soil and additives, until a uniform color was observed, before water addition and further mixing for 10 minutes [53]. The soil mixtures were placed in plastic bags for the next 45 minutes as rest time prior to molding for tests, such as Atterberg limits, compaction, oedometer and direct shear tests.
The compaction tests were performed under modified energy [46] to determine the conditions of compaction regarding the optimum moisture content and dry specific unit weight of the naturally remolded clay and different mixtures of the natural clay with binders. For this test, a soil sample with a specific moisture content was compacted in five layers in a standard mold with a standard weight under modified effort. The test was repeated for different moisture contents for each soil mixture, to determine the correlation between unit dry weight and moisture content.
The oedometer tests were performed, using the method described in [47], on the soil mixture specimens in a circular mold with a 70 mm internal diameter and 20 mm height. The soil mixture specimens for the oedometer analysis were compacted in the consolidometer ring in three layers under the same compaction energy as the one obtained in the compaction test on the natural remolded clay soil to obtain comparable values for the moisture content and specific unit dry weight for all samples. The specimens were installed between porous stones to permit drainage on both sides of the specimen, before being inundated with distilled water. The free swelling of all specimens was determined at the beginning of the test. Constant values were reached after approximately 3 days. After this, the conventional oedometer test was performed under gradual loading and unloading stages (loading steps under vertical compressive load at 20, 40, 80, 150, 300, 600, 1000, and 1500 kPa, and unloading steps at 600, 150, 40, 10 and 5 kPa). The loading stages were each maintained for 24 h, except the maximum loading and the final two unloading stages, which were maintained for 48 h. The free swelling, sample deformation, and deformational modulus were determined to compare the influence of different binders. A consolidation analysis of VA-C3 is presented in [36], i.e., material poured in a dry state into a consolidometer ring mold through a funnel to simulate a loose state, before being inundated prior to the application of different constant vertical loads until consolidation concluded (considered load stages 10, 20, 40, 80, 150, 300, 600, 1000, and 1500 kPa every 24 h), and unloading, which took place in four stages (1000, 300, 40, and 10 kPa, every 24 h).
Direct shear tests were performed, using the method described in [48], on the soil mixtures in circular shear boxes with 50 × 25 mm dimensions under four different vertical confinements, i.e., 50, 100, 200, and 400 kPa, while for VA-C3, a square mold of 60 × 60 mm was used with a vertical confinement of 50, 100, 200, and 300 kPa. The soil mixture specimens were compacted directly in the circular shear box in three layers under the same compaction energy as the one obtained in the compaction test on the natural remolded clay soil to obtain comparable values of moisture content and specific unit dry weight for all samples. The VA-C3 was poured into the square shear box through a funnel to simulate a dry loose state. The saturation and consolidation stages were maintained for all soil mixtures for 24 h, prior to the application of the failure stage. The shear rates applied during the failure stage were 0.003 mm/min and 0.03 mm/min for soil mixtures and VA-C3, respectively, considered as slow velocities in order to simulate consolidated drained conditions. The peak and residual shear strength parameters were determined, i.e., apparent cohesion (c) and friction angle (φ), using the Mohr-Coulomb criterion.
There were two base soils, that were similar in their chemical and mineralogical compositions. The samples of soil mixtures prepared for the Atterberg limits, specific gravity, and compaction tests with the addition of lime (TV0C1, TV0C3, TV0C5) and cement (TV0CEM1, TV0CEM3) were prepared with base soil sample TV0C0, while samples with VA-C3 (TV10C5, TV20C5, TV30C5) were prepared based on TV0C0-2. The specimens of different soil mixtures for the study by oedometer and direct shear tests are all prepared with the base soil TV0C0.
Throughout this report, the results of the laboratory tests corroborating the information cited above are presented. Additionally, the improvement of different geotechnical properties of the swelling clayey soil was effected by the addition of different binders in different proportions.
3. Results and Discussion
The results are presented following the order of the performed tests, as given in Table 2.
3.1. Chemical and Mineralogical Characterization
Figure 2 shows diffractograms of all raw materials, i.e., natural remolded clay samples TV0C0 and TV0C0-2 with the three binders (VA, lime and cement) used in this study, while Table 3 summarizes the quantification of crystalline phases.
Figure 2.
Diffraction patterns of raw materials with the main diffraction peak labelled: (a) TV0C0, (b) TV0C0-2, (c) VA-C3, (d) Cement, and (e) Lime.
In Figure 2, the most intense diffraction maxima of the minerals found in the highest proportion in each of the raw materials are marked. The abbreviations are: Quartz (Qz), Plagioclase (Pl), Clay Minerals (Ilt), Olivine (Ol), Pyroxene (Px), Alite (C3S), Belite (C2S), Gypsum (Gp), Calcite (Cal), Dolomite (Dol), Portlandite (Por), and Ti-Magnetite (Ti-Mag) [54].
Table 3.
Quantification of crystalline phases, as determined by XRD of raw materials.
Table 3.
Quantification of crystalline phases, as determined by XRD of raw materials.
| Crystalline Phases | Formula | TV0C0 | TV0C0-2 | VA-C3 | C | CEM |
|---|---|---|---|---|---|---|
| Quartz | SiO2 | 15 | 21 | 5 | ||
| Plagioclase | (NaCa)Al2Si2O8 | 6 | 4 | 34 | ||
| Potassium Feldspar | K(AlSi3)O8 | 5 | 2 | |||
| Clay Minerals | KAl2(AlSi3O10)(OH)2 | 38 | 30 | 12 | ||
| Olivine | (Mg,Fe)2SiO4 | 19 | ||||
| Pyroxene (Diopside) | MgCaSi2O6 | 36 | ||||
| Amphibole (Kaerstutite) | {Na}{Ca2}{Mg3AlTi}(Al2Si6O22)O2 | 4 | ||||
| Hatrurite/Alite (C3S) | Ca3SiO5 | 18 | 67 | |||
| Larnite/Belite (C2S) | Ca2(SiO4) | 33 | 29 | |||
| Brownmillerite/Ferrite (C4AF) | Ca2(Al,Fe)2O5 | 4 | ||||
| Gypsum | CaSO4·2H2O | 3 | 2 | |||
| Calcite | CaCO3 | 29 | 39 | 25 | ||
| Dolomite | CaMg(CO3)2 | 4 | 2 | |||
| Portlandite | Ca(OH)2 | 7 | ||||
| Ti-Magnetite | Fe3O4 | 5 | ||||
| Ilmenite | FeTiO3 | 1 | ||||
| Hematite | Fe2O3 | 1 |
As shown in Table 3, the majority of the crystalline phases in the natural remolded clay samples (TV0C0 and TV0C0-2) were phyllosilicates (clay minerals), in the range of 30 to 38%. Thus, due to their high content, the identification of these was performed using oriented aggregates (AO). Figure 3 shows the diffractograms of (a) untreated, (b) ethylene glycol solvated, and (c) 550 °C heated oriented aggregates. The quantification of clay minerals in the natural soil is given in Table 4. Note that, smectite was the most abundant phase of the clay fraction, with a percentage in the range of 48 to 55%, followed by mica/illite (42–48%), and chlorite (3–4%). VA-C3 had a low content of only 13% of amorphous phase and a high content of crystalline phases (87%), in the following order of abundance: diopside, plagioclase, olivine, ti-magnetite, kaerstutite and traces of ilmentite and hematite. The quantification is summarized in Table 3 [36].
Figure 3.
Diffractograms of oriented aggregates of the soil samples TV0C0: (a) AOST Untreated; (b) AOEG Glycolated; (c) AOTT Heat treatment.
Figure 3.
Diffractograms of oriented aggregates of the soil samples TV0C0: (a) AOST Untreated; (b) AOEG Glycolated; (c) AOTT Heat treatment.

Table 4.
Quantification of clay minerals in TV0C0.
Table 4.
Quantification of clay minerals in TV0C0.
| Clay Minerals | TV0C0 (%) |
|---|---|
| Smectite | 55 |
| Mica/illite | 42 |
| Chlorite | 3 |
XRF chemical analysis of the raw materials is shown in the Table 5.
Table 5.
X-ray fluorescence analysis results of raw materials.
As can be seen in Table 5, the most abundant elements in two samples of the natural clay soils, lime, and cement was calcium, which constituted 28, 27, 54, and 68%, respectively. The other major elements present in the three materials were silicon in all samples and aluminum, magnesium, and iron in clay and lime samples. In volcanic ash (VA-C3), the most abundant elements were silica, which constituted 41% of the sample, and iron and aluminum with 29%, providing pozzolanic content. Other significant elements were calcium (providing the alkaline content), magnesium, potassium, and sodium. VA-C3 contained up to 70% SiO2, Al2O3, and Fe2O3 and was thus defined as Class N according to the classification of materials regarding their pozzolanic properties [55]. Besides this criteria, it also presented the relation of SiO2/Al2O3 < 3.9, indicating its suitability as a geopolymer, but with a low amorphous phase, i.e., <36%, contraindicating its suitability for geopolymer alkali-activation production [23]. Therefore, this material would require activation through mineral addition for the development of its pozzolanic characteristics, i.e., in this case, the addition of lime, in the order of 5% with respect to the dry weight of the VA [36].
3.2. pH and Conductivity
The pH and Electrical Conductivity (EC) of the natural remolded sample TV0C0 and VA-C3 were measured with a pH-Meter Crison Basic 20 and a Crison Micro CM 2200 conductimeter, according to the standards described in [56] and [57], reaching values of 7.67 and 6.84 for pH, and 2.7 and 68.0 mS/cm (25 °C) for EC, respectively.
3.3. Gradation Curve
Figure 4 summarizes the gradation curves obtained for the raw materials used in this study (TV0C0, TV0C0-2, VA-C3, lime, and cement). Two gradation distribution curves of the analyzed natural soil material are presented, denominated as TV0C0 and TV0C0-2, consisting of 95 to 99% of fine material (<0.075 mm) and 18 to 22% clayey material (<0.002 mm). Also, two gradation curves of VA-C3 are presented (namely VA-C3-1 and VA-C3-2, obtained on the sample under undisturbed conditions and after the performance of the direct shear test, respectively), defined as poorly graded sand (SP) according to USCS classification [49] summarized in Table 6. It can be observed that the gradation curves of VA showed poorly graded sandy material, with percentages of fines ranging from 0.2 to 1.3%. The grading parameters considered the value of the uniformity coefficient (Cu) varying from 2.7 to 2.8, while the value of the coefficient of gradation (Cz) ranged from 1.0 to 0.8. The gradation curves of lime and cement presented, respectively, 92 and 90% fine materials, and 15 and 8% clay, i.e., being considered as the silty size material.
Figure 4.
Grain size distribution curve of raw materials.
Table 6.
Grading and soil classification of VA-C3 according to USCS.
3.4. Atterberg Limits
Figure 5 summarizes the liquid limit (LL), plastic limit (PL) and plasticity index (PI) obtained for different soil mixtures for comparisons with those of natural soil. The samples with the addition of lime (TV0C1, TV0C3, TV0C5) and cement (TV0CEM1, TV0CEM3) were prepared with the base soil sample TV0C0, while samples with VA-C3 addition (TV10C5, TV20C5, TV30C5) were prepared on the basis of TV0C0-2.
Figure 5.
Plasticity parameters of different soil mixtures with addition of: (a) Lime, (b) Cement, and (c) VA.
In general, it was observed that the greater the addition of binder, the greater the reduction in the plasticity parameters, thereby reducing the swelling potential and increasing the load bearing capacity due to the modification of the granulometry, considering the reduction of fine content due to the flocculation of soil particles in cases of using traditional binders or, on the other hand, due to introduction of VA, which is a granular material.
The reduction of LL was greater with the addition of VA as a binder than with the addition of solely lime and cement, with VA being of sandy nature, thus reducing the fraction of clay in the soil mixture, i.e., reducing the soil mixture’s capacity to retain water and slightly reducing the PL, thereby modifying the soil’s plasticity properties. With an increase in VA as additive, the difference observed in the reduction of LL was quantified in the range of 5 to 27%, while the reduction in PI varied from 16 to 40% with respect to TV0C0-2. With increases of lime as an additive by 1 to 5%, LL showed minor differences, i.e., ranging from 7 to 10%, due to the reduction of the clayey soil’s water-retaining capacity via calcium cations displacing monovalent cations on the clay surface. By increasing ionic bonds (particle flocculation), the soil-mixture could withstand greater deformation without breaking, increasing PL and decreasing PI to the range of 14 to 32%. Meanwhile, with the addition of cement in the range of 1 to 3%, a reduction of PI (14 to 24%) was observed due to the decrease in LL (6 to 11%) and, to a lesser extent, due to the hydration of the cement, consuming water in the formation of hydrated calcium silicates and/or calcium hydroxide, in addition to the calcium ions neutralizing the negative charges of the clayey soil. Meanwhile, PL increased. Thereby increasing the cohesion of the soil-mixture by forming a rigid matrix between the clay particles.
According to the indirect classification of the swelling potential based on the LL and PI values (see Table 7), the natural soil was defined as having high swelling potential, while the soil mixtures could be defined as having high or medium swelling potentials [7,37,39]. It was observed that soil mixtures with VA achieved greater decreases in the plasticity parameters.
Table 7.
Classification of the swelling potential by indirect parameters.
3.5. Specific Gravity
Figure 6 summarizes the specific gravity values of the soil solids obtained by the pycnometer bottle water method [45] for all raw materials and different soil mixtures. Negligible differences were observed with the addition of lime and cement with respect to the values for the natural sample. The specific weight values of solids for the soil mixtures with the addition of VA-C3 increased slightly, considering their corresponding high value of Gs, i.e., 2.98, and the greater amount of its incorporation as a binder.
Figure 6.
Specific gravity for different raw materials and soil mixtures.
3.6. Compaction Tests
The optimum water content and maximum dry density of the soil and soil mixtures were determined via a modified Proctor test [46] for the natural remolded soil, as well as for all soil remolded mixtures. Figure 7 summarizes the compaction test curves and zero void full saturation curve of TV0C0 based on its Gs value. The full saturation curves are not presented for different soil mixtures, as the differences in the value of Gs for the treated samples (see Figure 6) were considered to be negligible. Also, the compaction curve for VA-C3 is also presented in the graph; its zero-void curve, showing its poor compactibility with a low amplitude in dry unit weight for the range of moisture content, confirmed its classification as poorly graded uniform sand soil [36].
Figure 7.
Compaction test curves for different raw materials and soil mixtures.
With the addition of lime as a binder in the range of 1 to 5%, the compaction curves, as expected [58], showed an increase in optimum water content ranging from 1.5 to 4.3% and a decrease in dry specific unit weight ranging from 0.2 to 1%, with respect to the compaction curve for TV0C0. These samples therefore exhibited favorable workability characteristics due to the immediate flocculation reactions of the lime with the soil, making it easier to reach the maximum specific unit dry weight under a greater soil moisture content. With the addition of cement in the range of 1%, considering the flocculating effect of cement and its influence on the reduction of the optimum moisture content, estimated to be 2.6%, an increase of 2.7% in the maximum specific unit dry weight was observed in comparison to TV0C0. Nevertheless, for clayey soil types, in general, the variation could be considered low, both in the value of maximum specific dry weight as well as in the optimum moisture content [58]. With the introduction of VA-C3 as a binder (with greater size particles and tending to form a less plastic mixture that retains less water), the compaction curve was displaced to the left with respect to that of the original soil TV0C0-2, resulting in an increase in the specific dry unit weight, i.e., in the range of 0.5 to 3.5%, and a decrease in the optimum water content from 5 to 14%.
The specimens for further study by oedometer and direct shear testing were prepared under the modified Proctor compaction energy corresponding to the optimum water content and dry unit weight of natural remolded sample TV0C0 for comparison purposes. Additionally, all soil mixture specimens were prepared with the same initial moisture content.
3.7. Oedometer Tests
The principal objective of the present study was to reduce the swelling potential of soil by adding different binders (see Figure 8). Therefore, free swelling was directly measured through oedometer tests. All specimens consisting of different mixtures were prepared under the same compaction conditions as those defined for TV0C0 (see Figure 7), using this soil as the base soil. The results obtained concerning free swelling developed over time, as summarized in Figure 8; the criteria for the classification of the swelling potential according to different authors are presented in Table 8. The natural remolded soil (TV0C0) presented very high swelling potential according to different classifications, being reduced to a medium or low degree depending on the type and amount of binder applied. It could be concluded that a greater reduction of the swelling potential was obtained with an increase in the content of binder applied. For the application of lime, it was observed that with the addition of 1, 3, and 5% lime, the swelling potential reduction of TV0C0, estimated at 11.9%, corresponded to 7.9, 3.5, and 0.8%. Oedometer tests were performed on two specimens with 3 and 5% lime as a binder (TV0C3 and TV0C5) to confirm the results. The application of cement also reduced the swelling potential, i.e., this was estimated to be 2.6 and 1.7% with the addition of 1 to 3% of cement. The addition of VA-C3 showed a gradual decrease in the swelling potential with an increase in the amount of VA, allowing us to estimate the swelling potential at 3.4, 1.5, and 0.5% with the addition of 10, 20, and 30% of VA-C3. The lowest reduction in swelling potential was obtained for TV30C5 and TV0C5, while similar reductions were observed for the pair of values for TV20C5 and TV0CEM3, and for TV10C5 and TV0C3.
Figure 8.
(a) Evolution of the swelling potential over time, determined with an oedometer; (b) Summary of free swelling for different specimens.
Table 8.
Classification of the swelling potential by direct measurement in oedometer test.
Figure 9 presents the relation between specimen vertical deformation and time based on comparison of different consolidation stages for the range of studied soil mixtures and their comparison to the natural soils, TV0C0 and VA-C3, representing the total loading and unloading stages after resetting the free swelling stage. All specimens studied were prepared based on soil TV0C0, which presented a maximum deformation up to approximately 17.5%, while specimen VA-C3 showed lower maximum deformation, i.e., in the order of 2.5%. A gradual decrease in specimen deformations could be observed, estimated to be in the range of maximum values from 16.5 to 10%, as well as an increase in the deformation modulus with an increase in the binder amount. With the increase of the amount of VA-C3 as a binder, a reduction in the total sample deformation was observed, presenting similarities in the rate of settlement reduction for the following pairs of soil mixtures, as stated previously for the analysis of free swelling: TV10C5 and TV0C3, TV20C5 and TV0CEM3, and TV30C5 and TV0C5. The unloading stages for soil mixture samples with VA-C3 showed lower recovery of deformation, i.e., a negligible elastic part of vertical displacements and greater unloading modules, representing a more appropriate curve for sandy materials. With the increase in the amount of VA-C3, the more horizontal line represented the unloading curve.
Figure 9.
Specimen deformation over time for raw materials and different soil mixtures.
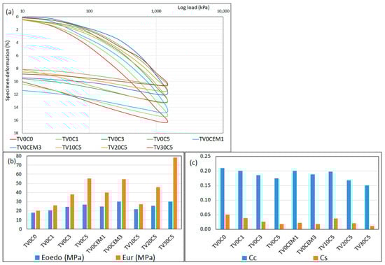
Figure 10a presents the variations of specimen deformation with the applied load; Figure 10b presents a summary of the deformation moduli for the final loading stage (Eoedo) and the unloading (Eur) moduli; and Figure 10c summarizes the compression (Cc) and swelling (Cs) indexes obtained during the oedometer test on a remolded soil specimen and soil mixtures. An increase in deformation modules both under loading and unloading was achieved, as well as a decrease in Cc and Cs, with an increase of the amount of binder applied.
Figure 10.
(a) Specimen deformation (%) vs. applied load for different samples; (b) Deformation modulus; (c) Compression and swelling indexes under maximum applied load stage and unloading in oedometer test for different soil mixtures.
3.8. Direct Shear Test
Based on oedometer test results, for further analysis of shear resistance by direct shear test, additions of 5% lime (TV0C5) and two different quantities of VA-C3 binders were considered (TV20C5 and TV30C5) for comparison with the naturally remolded soil (TV0C0).
All soil specimens were prepared under the same moisture conditions obtained by compaction tests under modified effort for the remolded natural clay material (TV0C0, see Figure 7) to have comparable initial conditions for all tested specimens.
Figure 11 presents the relation between vertical and horizontal deformation during failure stage of specimens of different soil mixtures and remolded soil specimens. In general, dilatant behavior was observed under low vertical confinement conditions.
Figure 11.
Correlation of vertical and horizontal deformation during the failure stage for different consolidation stresses for different soil mixtures.
Figure 12 summarizes the shear strengths of the remolded natural soil and three different soil mixtures under four different confinement pressures (50, 100, 200, and 400 kPa), i.e., compacted remolded clay (TV0C0) and different soil mixture specimens prepared based on TV0C0 (TV0C5, TV20C5, TV30C5); the greater the confinement pressure, the greater the shear resistance obtained. Figure 13 presents the behavior of volcanic ash (VA-C3) under different confinement pressures (50, 100, 200, and 300 kPa) [36], presenting, as expected for sandy nature material, greater values of the resistance parameters, i.e., greater friction angle and lower cohesion values compared to different soil mixtures.
Figure 12.
Correlation of shear strength and horizontal deformation during the failure stage for different consolidation stresses for different soil mixtures: (a) TV0C0, (b) TV0C5, (c) TV20C5, and (d) TV30C5.
Figure 13.
Correlation of shear strength and horizontal deformation during the failure stage for different consolidation stresses for VA-C3 [36].
Figure 14 presents the correlation between the shear and normal consolidation stresses applied for different samples studied, a summary of which is given in Table 9. For VA, similar behavior regarding peak and residual conditions was observed. A slight increase in shear strength with the application of different binders was concluded (Table 9); the application of lime as a binder yielded greater values of cohesion and friction angle. As expected, with a higher VA-C3 content, a greater shear strength was observed (TV20C5 and TV30C5). The overall behavior of different samples of soil mixtures was found to be similar, with the resistance envelope being parallelly displaced to the original clay remolded sample, resulting in a general increase in the resistance parameters, i.e., friction angle and cohesion.
Figure 14.
Correlation of shear and normal stress for different raw materials and soil mixtures: (a) peak and (b) residual shear strength.
Table 9.
Summary of the resistance parameters obtained from direct shear tests for different raw materials and soil mixtures.
4. Conclusions
Based on the present study, regarding the effect of the application of VA on the geotechnical properties of a stabilized expansive clayey soil in comparison to stabilization using traditional binders, such as lime and cement, the following conclusions can be drawn:
- A solution for the recovery and reutilization of both swelling soils and VA was provided to reduce the deposition of VA in landfills. VA is considered a suitable binder for sustainable reutilization for geotechnical constructions; it is widely available worldwide. The present study focused on highly expansive soil in Spain and VA from Canary Island. Its findings could be further extended to other applications in similar soils worldwide, where abundant amounts of these materials are encountered.
- Natural pozzolans such as VA, which may be found worldwide in huge amounts, could present alternatives to traditionally used ordinary Portland cement and natural hydraulic lime. In such a case, the pozzolanic activity of the VA used in this study was enhanced by the addition of lime. The chemical composition of this VA-C3 regarding the criteria for the classification of the material with pozzolanic properties was at the limit; meanwhile, the criteria for the relationship of SiO2/Al2O3 < 3.9 was fulfilled, indicating its suitability as geopolymer. Considering the low content of amorphous phase, its suitability for geopolymer production could be enhanced, in this case by the addition of 5% of lime to the dry weight of the VA.
- This study presented a solution for the reduction of the swelling potential and subsequent increase in load bearing capacity due to the modification of the granulometry, considering also the reduction of fine content due to the flocculation of soil particles in the case of the introduction of traditional binders, and, on the other hand, due to the introduction of VA, which is a granular material.
- The compaction tests performed on the natural soil and soil mixtures with lime and cement indicated reductions in the maximum dry unit weights and increases in the optimum water content for the addition of lime, while for the addition of cement, a slight decrease in the optimum water content and a slight increase in the maximum dry unit weight was observed. On the other hand, through the addition of VA (consisting of dense particles with high Gs), it tended to form a less plastic mixture that retained less water, resulting in a decrease in the optimum water content and an increase in the maximum dry unit weight. This could be understood as favorable, considering that a reduction in the water content in dry seasons would reduce production costs.
- The performance of Atterberg limit tests indicated that the addition of different binders reduced the liquid limit and increased the plasticity limit, thus reducing the plasticity index. Nevertheless, these tests, as an indirect evaluation of the swelling potential based on the index properties, such as LL and PI, were less indicative than the direct measurement of the swelling potential using an oedometer.
- The effectiveness of the reduction of the swelling potential by the addition of VA was described and compared with those of lime and cement, as evaluated directly in the oedometer apparatus. The swelling characteristics of this expansive clayey soil decreased with an increase in the amount of the applied binder, i.e., the addition of 10, 20, and 30% of VA, compared to 3% of lime, 3% of cement, and 5% of lime, was necessary to achieve a similar reduction in swelling potential. The addition of VA optimized the efficiency of lime by reducing the required dosage. In practice, this reduced the volume of lime needed to stabilize expansive soils. As such, VA presented itself as an alternative to cement for the volumetric stabilization of potentially expansive soils.
- A decrease of compressibility was observed by a comparison of the relationship between specimen deformation and time of soil mixtures in comparison to a natural remolded soil specimen. The compressibility reduction was confirmed by the analysis of deformation modules under loading and unloading, observing its increase with an increasing amount of binders; the greater the amount of binder applied, the lower the observed settlement. A comparison of VA addition to cement and lime addition indicated the same reductions of settlement as follows: the addition of 10, 20, and 30% VA corresponded to 3% lime, 3% cement, and 5% of lime, respectively. This can be explained by the high content of silica (SiO2) and alumina (Al2O3) in VA that, upon contact with water and lime, generate pozzolanic reactivity, reducing porosity and generating a more rigid matrix in the mixture which is more volumetrically stable during loading and unloading cycles.
- Direct shear tests were performed on specimens of soil mixtures that provided suitable reductions of the swelling potential for application in geotechnical construction, i.e., with the addition of 20 and 30% of VA, or with the addition of 5% lime to the dry weight of VA. In general, an increase in the resistance parameters of the natural remolded clayey soil was observed after the addition of different binders.
- The incorporation of VA into the highly expansive soil in the south-east region of Spain (Murcia) should comprise up to 20–30% of the dry weight of the soil, with the addition of 5% lime based on the dry weight of VA. This amount could be reduced depending on the soil mineralogical and chemical composition, influencing initial geotechnical properties.
Author Contributions
S.M.: Writing—original draft, Resources, Methodology, Investigation, Visualization, Conceptualization, Project administration, Funding acquisition. A.L.M.: Formal analysis, Data curation, Visualization. R.P.: Formal analysis, Data curation, Validation, Supervision. S.L.-A.: Writing—review & editing, Resources, Formal analysis, Investigation, Data curation, Validation, Project administration, Funding acquisition. All authors have read and agreed to the published version of the manuscript.
Funding
This research was funded by Acciones Especiales de Investigación of UCM under grant number 2022/00306/001 and the UCM research project 2024/00469/001 (Pr12/24-31573).
Data Availability Statement
Data will be made available on request.
Acknowledgments
The provision of the natural clay material by José Pablo Castro Martín of Acciona Construcción, and of the Natural Hydrated Lime denominated as NHL-5 Tigre by José Toldrá from TIGRE 1845 is appreciated. The authors are grateful to the students and Professors of the Master of Environmental Geology at UCM for collecting and shipping volcanic ash to the Faculty of Geology (UCM). Also, the Research Group UCM 910386 Crystallographic and Geological Techniques: Non-conventional Applications is also acknowledged. The support for the performance of different tests by technicians from the Geological Techniques Unit of CAI and the Geotechnical Laboratory, UCM, is highly appreciated.
Conflicts of Interest
The authors declare that they have no known competing financial interests or personal relationships that could have appeared to influence the work reported in this paper.
References
- Thiha, S.; Lertsuriyakul, C.; Phueakphum, D. Shear strength enhancement of compacted soils using high-calcium fly ash-based geopolymer. Int. J. Geomate 2018, 15, 1–9. [Google Scholar] [CrossRef]
- Rivera, J.F.; Orobio, A.; Cristelo, N.; Mejia, R. Fly ash-based geopolymer as A4 type soil stabiliser. Transp. Geotech. 2020, 25, 100409. [Google Scholar] [CrossRef]
- Suksiripattanapong, C.; Horpibulsuk, S.; Yeanyong, C.; Arulrajah, A. Evaluation of polyvinyl alcohol and high calcium fly ash based geopolymer for the improvement of soft Bangkok clay. Transp. Geotech. 2021, 27, 100476. [Google Scholar] [CrossRef]
- Salahudeen, A.B.; Eberemu, A.O.; Osinubi, K.J. Assessment of Cement Kiln Dust-Treated Expansive Soil for the Construction of Flexible Pavements. Geotech. Geol. Eng. 2014, 32, 923–931. [Google Scholar] [CrossRef]
- Abdullah, H.H.; Shahin, M.; Walske, M.L.; Karrech, A. Cyclic behaviour of clay stabilised with fly-ash based geopolymer incorporating ground granulated slag. Transp. Geotech. 2021, 26, 100430. [Google Scholar] [CrossRef]
- Wattez, T.; Patapy, C.; Frouin, L.; Waligora, J.; Cyr, M. Interactions between alkali-activated ground granulated blastfurnace slag and organic matter in soil stabilization/solidification. Transp. Geotech. 2021, 26, 100412. [Google Scholar] [CrossRef]
- Chen, F.H. Foundations on Expansive Soils; American Elsevier Science Publication: New York, NY, USA, 1988. [Google Scholar]
- Burland, J.; Chapman, T.; Skinner, H.; Brown, M. ICE Manual of Geotechnical Engineering; ICE Publishing: Reino Unido, UK, 2012. [Google Scholar]
- Nelson, J.; Kuo Chieh, C.; Overton, D.; Nelson, E. Foundation Engineering for Expansive Soils; Wiley: Hoboken, NJ, USA, 2015. [Google Scholar]
- Reddy, N.G.; Tahasildar, J.; Rao, B.H. Evaluating the Influence of Additives on Swelling Characteristics of Expansive Soils. Int. J. Geosynth. Ground Eng. 2015, 1, 7. [Google Scholar] [CrossRef]
- Cokca, E.; Yazic, E.V.; Ozaydi, E.V. Stabilization of expansive clays using granulated blast furnace slag (GBFS) and GBFS cement. Geotech. Geol. Eng. 2009, 27, 489–499. [Google Scholar] [CrossRef]
- Pandian, N.S.; Krishna, K.C. The pozzolanic effect of fly ash on the California bearing ratio behavior of black cotton soil. J. Test. Eval. 2003, 31, 479–485. [Google Scholar] [CrossRef]
- Phani Kumar, B.R.; Sharma, R.S. Effect of fly ash on engineering properties of expansive soils. J. Geotech. Geoenviron. Eng. 2004, 130, 764–767. [Google Scholar] [CrossRef]
- Bhuvaneshwari, S.; Robinson, R.G.; Gandhi, S.R. Stabilisation of expansive soil using fly ash. Fly Ash India 2005, 8, 1–10. [Google Scholar]
- Surjandari, N.S.; Djarwanti, N.; Ukoi, N.U. Enhancing the engineering properties of expansive soil using bagasse ash. J. Phys. Conf. Ser. 2017, 909, 012068. [Google Scholar] [CrossRef]
- Metwaly Ogila, W.A. Effectiveness of fresh cement kiln dust as a soil stabilizer and stabilization mechanism of high swelling clays. Environ. Earth Sci. 2021, 80, 283. [Google Scholar] [CrossRef]
- Alhassani, A.M.J.; Kadhim, S.M.; Fattah, A.A. Stabilization of Clayey Soil Using Cement Kiln Dust as Sustainable Material. IOP Conf. Ser. Earth Environ. Sci. 2021, 856, 012038. [Google Scholar] [CrossRef]
- Ghavami, S.; Rajabi, M. Investigating the Influence of the Combination of Cement Kiln Dust and Fly Ash on Compaction and Strength Characteristics of High-Plasticity Clays. J. Civ. Eng. Mater. Appl. 2021, 5, 9–16. [Google Scholar] [CrossRef]
- Al-Khafaji, R.; Dulaimi, A.; Jafer, H.; Mashaan, N.S.; Qaidi, S.; Salam Obaid, Z.; Jwaida, Z. Stabilization of Soft Soil by a Sustainable Binder Comprises Ground Granulated Blast Slag (GGBS) and Cement Kiln Dust (CKD). Recycling 2023, 8, 10. [Google Scholar] [CrossRef]
- Cokca, E. Use of class C fly ashes for the stabilization of an expansive soil. J Geotech. Geoenviron. Eng. 2001, 127, 568–573. [Google Scholar] [CrossRef]
- Emeh, C.; Igwe, O. The combined effect of wood ash and lime on the engineering properties of expansive soils. Int. J. Geotech. Eng. 2016, 10, 246–256. [Google Scholar] [CrossRef]
- Tarbuck, E.; Lutgens, F.; Tasa, D. Ciencias de la Tierra, Una Introducción a la Geología Física; Pearson Educación, S.A.: Madrid, Spain, 2015; 736p. [Google Scholar]
- Jativa, A.; Ruales, E.; Etxeberria, M. Volcanic Ash as a Sustainable Binder Material: An Extensive Review. Materials 2021, 14, 1302. [Google Scholar] [CrossRef]
- Hossain, K.M.A.; Mol, L. Some engineering properties of stabilized clayey soils incorporating natural pozzolans and industrial wastes. Constr. Build. Mater. 2011, 25, 3495–3501. [Google Scholar] [CrossRef]
- Hossain, K.M.A.; Lachemi, M.; Easa, S. Characteristics of volcanic ash and natural lime based stabilized clayey soils. Can. J. Civ. Eng. 2006, 33, 1455–1458. [Google Scholar] [CrossRef]
- Rifa, A.; Yasufuku, N. Effect of volcanic ash as substitution material for soil stabilization in view point of geo-environment. In Ground Improvement and Geosynthetics; GSP 238; ASCE: Reston, VA, USA, 2014; pp. 138–147. [Google Scholar] [CrossRef]
- Shariatmadari, N.; Hasanzadehshooiili, H.; Ghadir, P.; Saeidi, F.; Moharami, F. Compressive Strength of Sandy Soils Stabilized with Alkali-Activated Volcanic Ash and Slag. J. Mater. Civ. Eng. 2017, 33, 11. [Google Scholar] [CrossRef]
- Ghadir, P.; Ranjbar, N. Clayey soil stabilization using geopolymer and Portland cement. Constr. Build. Mater. 2018, 188, 361–371. [Google Scholar] [CrossRef]
- Bahadori, H.; Hasheminezhad, A.; Taghizadeh, F. Experimental study on marl soil stabilization using natural pozzolans. J. Mater. Civ. Eng. ASCE 2019, 31, 04018363. [Google Scholar] [CrossRef]
- Miraki, H.; Shariatmadari, N.; Ghadir, P.; Jahandari, S.; Siddique, R. Clayey soil stabilization using alkali-activated volcanic ash and slag. J. Rock Mech. Geotech. Eng. 2021, 14, 576–591. [Google Scholar] [CrossRef]
- Ghadir, P.; Zamanian, M.; Mahbubi-Motlagh, N.; Saberian, M.; Li, J.; Ranjbar, N. Shear strength and life cycle assessment of volcanic ash-based geopolymer and cement stabilized soil: A comparative study. Transp. Geotech. 2021, 31, 100639. [Google Scholar] [CrossRef]
- Sanjuan, M.A.; Frias, M.; Monasterio, M.; Garcia-Gimenez, R.; Vigil de la Villa, R.; Alamo, M. Volcanic ash from La Palma (Canary Islands, Spain) as Portland cement constituent. J. Build. Eng. 2023, 78, 107641. [Google Scholar] [CrossRef]
- Martínez-del-Pozo, I.; Esbrí, J.M.; García-Lorenzo, L.; López-Andrés, S. Synthesis of zeolites from volcanic ash (Tajogaite, Spain) for the remediation of waters contaminated by fluoride. Environ. Sci. Pollut. Res. 2024, 31, 7058–7072. [Google Scholar] [CrossRef]
- Mañosa, J.; Serrano-Conte, J.; Maldonado-Alameda, A.; Aulinas, M.; Chimenos, J.M. Pyroclastic volcanic ash as a potential precursor of alkali-activated binders—A case study from Tajogaite (La Palma, Canary Islands) volcano eruption. J. Build. Eng. 2023, 72, 106623. [Google Scholar] [CrossRef]
- Presa, L.; Rosado, S.; Peña, C.; Martín, D.A.; Costafreda, J.L.; Astudillo, B.; Parra, J.L. Volcanic Ash from the Island of La Palma, Spain: An Experimental Study to Establish Their Properties as Pozzolans. Processes 2023, 11, 657. [Google Scholar] [CrossRef]
- Melentijevic, S.; López-Andrés, S.; Estaire, S. Chemical, mineralogical and geotechnical properties of volcanic ash of Tajogaite (La Palma, Canary Islands, Spain). Transp. Geotech. 2024, 48, 101326. [Google Scholar] [CrossRef]
- Holtz, W.G.; Gibbs, H.J. Engineering properties of expansive clays. Trans. ASCE 1956, 121, 641–677. [Google Scholar] [CrossRef]
- Vijayvergiya, V.N.; Ghazzaly, O.I. Prediction of swelling potential for natural clays. In Proceedings of the 3rd International Conference on Expansive Soils, Haifa, Israel, 30 July–1 August 1973; Volume I, pp. 227–236. [Google Scholar]
- González de Vallejo, L.; Ferrer, M.; Ortuño, L. Ingeniería Geológica; Pearson Educación: Prentice Hall, Madrid, 2002; 715p. [Google Scholar]
- ASTM D4452-14; Standard Practice for X-Ray Radiography of Soil Samples. ASTM: West Conshohocken, PA, USA, 2014.
- ASTM D8064-16; Standard Test Method for Elemental Analysis of Soil and Solid Waste by Monochromatic Energy Dispersive X-Ray Fluorescence Spectrometry Using Multiple Monochromatic Excitation Beams. ASTM: West Conshohocken, PA, USA, 2016.
- ASTM D6913-04e1; Standard Test Methods for Particle-Size Distribution (Gradation) of Soils Using Sieve Analysis. ASTM: West Conshohocken, PA, USA, 2004.
- ISO 13320:2020(E); Particle Size Analysis—Laser Diffraction Methods. ISO: Geneva, Switzerland, 2020.
- ASTM D4318-17e1; Standard Test Methods for Liquid Limit, Plastic Limit, and Plasticity Index of Soils. ASTM: West Conshohocken, PA, USA, 2017.
- ASTM D854-14; Standard Test Methods for Specific Gravity of Soil Solids by Water Pycnometer. ASTM: West Conshohocken, PA, USA, 2014.
- ASTM D1557-09; Standard Test Methods for Laboratory Compaction Characteristics of Soil Using Modified Effort. ASTM: West Conshohocken, PA, USA, 2009.
- ASTM D2435-11; Standard Test Methods for One-Dimensional Consolidation Properties of Soils Using Incremental Loading. ASTM: West Conshohocken, PA, USA, 2011.
- ASTM D3080M-11; Standard Test Method for Direct Shear Test of Soils Under Consolidated Drained Conditions. ASTM: West Conshohocken, PA, USA, 2011.
- ASTM D2487-11; Standard Practice for Classification of Soils for Engineering Purposes (Unified Soil Classification System). ASTM: West Conshohocken, PA, USA, 2011.
- PG-3. Pliego de Prescripciones Técnicas Generales para Obras de Carreteras y Puentes; Ministerio de Transportes y Movilidad Sostenible: Madrid, Spain, 2019. [Google Scholar]
- Skempton, A.W. The Colloidal Activity of Clays. In Proceedings of the 3rd International Conference Soil Mech Foundation Engineering, Zurich, Switzerland, 16–27 August 1953; pp. 57–61. [Google Scholar]
- Moore, D.M.; Reynolds, R.C., Jr. X-Ray Diffraction and the Identification and Analysis of Clay Minerals, 2nd ed.; Oxford University Press: Oxford, UK, 1997; 400p. [Google Scholar]
- Kitazume, M.; Terashi, M. The Deep Mixing Method; CRC Press Taylor & Francis Group: Boca Raton, FL, USA, 2013; 405p. [Google Scholar]
- Whitney, D.L.; Evans, B.W. Abbreviations for names of rock-forming minerals. Am. Mineral. 2010, 95, 185–187. [Google Scholar] [CrossRef]
- ASTM C618-22; Standard Specification for Coal Fly Ash and Raw or Calcined Natural Pozzolan for Use in Concrete. ASTM: West Conshohocken, PA, USA, 2022.
- ASTM D4972-19; Standard Test Methods for pH of Soils. ASTM: West Conshohocken, PA, USA, 2019.
- UNE-EN 13038:2012; Soil Improvers and Growing Media - Determination of Electrical Conductivity. AENOR: Madrid, Spain, 2012.
- IECA (Instituto Español del Cemento y sus Aplicaciones). Manual de Estabilización de Suelos con Cemento o Cal; IECA: Madrid, Spain, 2012; ISBN 978-84-89702-23-3. [Google Scholar]
Disclaimer/Publisher’s Note: The statements, opinions and data contained in all publications are solely those of the individual author(s) and contributor(s) and not of MDPI and/or the editor(s). MDPI and/or the editor(s) disclaim responsibility for any injury to people or property resulting from any ideas, methods, instructions or products referred to in the content. |
© 2025 by the authors. Licensee MDPI, Basel, Switzerland. This article is an open access article distributed under the terms and conditions of the Creative Commons Attribution (CC BY) license (https://creativecommons.org/licenses/by/4.0/).












