RETRACTED: Ascertaining the Influence of Lacto-Fermentation on Changes in Bovine Colostrum Amino and Fatty Acid Profiles
Abstract
:Simple Summary
Abstract
1. Introduction
2. Materials and Methods
2.1. Materials
2.2. Fermentation of Bovine Colostrum (BCOL)
2.3. Determination of pH and Lactic Acid Bacteria (LAB) Viable Counts in Bovine Colostrum (BCOL) Samples
2.4. Analysis of Amino Acid (AA) Profile in Bovine Colostrum (BCOL) Samples
2.5. Analysis of Biogenic Amine (BA) Profile in Bovine Colostrum (BCOL) Samples
2.6. Analysis of Fatty Acid (FA) Profile in Bovine Colostrum (BCOL) Samples
2.7. Statistical Analysis
3. Results and Discussion
3.1. Influence of Fermentation on pH and Lactic Acid Bacteria (LAB) Viable Counts in Bovine Colostrum (BCOL)
3.2. Amino Acid (AA) and Gamma-Aminobutyric Acid (GABA) Content in Non-Fermented and Fermented Bovine Colostrum (BCOL)
3.2.1. Phenylalanine Content
—control group samples;
—samples fermented with Lp. plantarum strain 135;
—samples fermented with Lc. paracasei strain 244. Data were expressed as mean values ± SE. Different letters (a–e) indicate significant differences (p ≤ 0.05) among all treatments.
—control group samples;
—samples fermented with Lp. plantarum strain 135;
—samples fermented with Lc. paracasei strain 244. Data were expressed as mean values ± SE. Different letters (a–e) indicate significant differences (p ≤ 0.05) among all treatments.
3.2.2. Valine Content
—control group samples;
—samples fermented with Lp. plantarum strain 135;
—samples fermented with Lc. paracasei strain 244. Data were expressed as mean values ± SE. Different letters (a–f) indicate significant differences (p ≤ 0.05) among all treatments.
—control group samples;
—samples fermented with Lp. plantarum strain 135;
—samples fermented with Lc. paracasei strain 244. Data were expressed as mean values ± SE. Different letters (a–f) indicate significant differences (p ≤ 0.05) among all treatments.
3.2.3. Threonine Content
—control group samples;
—samples fermented with Lp. plantarum strain 135;
—samples fermented with Lc. paracasei strain 244. Data were expressed as mean values ± SE. Different letters (a–g) indicate significant differences (p ≤ 0.05) among all treatments.
—control group samples;
—samples fermented with Lp. plantarum strain 135;
—samples fermented with Lc. paracasei strain 244. Data were expressed as mean values ± SE. Different letters (a–g) indicate significant differences (p ≤ 0.05) among all treatments.
3.2.4. Methionine Content
—control group samples;
—samples fermented with Lp. plantarum strain 135;
—samples fermented with Lc. paracasei strain 244. Data were expressed as mean values ± SE. Different letters (a–c) indicate significant differences (p ≤ 0.05) among all treatments.
—control group samples;
—samples fermented with Lp. plantarum strain 135;
—samples fermented with Lc. paracasei strain 244. Data were expressed as mean values ± SE. Different letters (a–c) indicate significant differences (p ≤ 0.05) among all treatments.
3.2.5. Leucine and Isoleucine Content
—control group samples;
—samples fermented with Lp. plantarum strain 135;
—samples fermented with Lc. paracasei strain 244. Data were expressed as mean values ± SE. Different letters (a–f) indicate significant differences (p ≤ 0.05) among all treatments.
—control group samples;
—samples fermented with Lp. plantarum strain 135;
—samples fermented with Lc. paracasei strain 244. Data were expressed as mean values ± SE. Different letters (a–f) indicate significant differences (p ≤ 0.05) among all treatments.
3.2.6. Lysine Content
—control group samples;
—samples fermented with Lp. plantarum strain 135;
—samples fermented with Lc. paracasei strain 244. Data were expressed as mean values ± SE. Different letters (a–f) indicate significant differences (p ≤ 0.05) among all treatments.
—control group samples;
—samples fermented with Lp. plantarum strain 135;
—samples fermented with Lc. paracasei strain 244. Data were expressed as mean values ± SE. Different letters (a–f) indicate significant differences (p ≤ 0.05) among all treatments.
3.2.7. Histidine Content
—control group samples;
—samples fermented with Lp. plantarum strain 135;
—samples fermented with Lc. paracasei strain 244. Data were expressed as mean values ± SE. Different letters (a–e) indicate significant differences (p ≤ 0.05) among all treatments.
—control group samples;
—samples fermented with Lp. plantarum strain 135;
—samples fermented with Lc. paracasei strain 244. Data were expressed as mean values ± SE. Different letters (a–e) indicate significant differences (p ≤ 0.05) among all treatments.
3.2.8. Alanine Content
—control group samples;
—samples fermented with Lp. plantarum strain 135;
—samples fermented with Lc. paracasei strain 244. Data were expressed as mean values ± SE. Different letters (a–f) indicate significant differences (p ≤ 0.05) among all treatments.
—control group samples;
—samples fermented with Lp. plantarum strain 135;
—samples fermented with Lc. paracasei strain 244. Data were expressed as mean values ± SE. Different letters (a–f) indicate significant differences (p ≤ 0.05) among all treatments.
3.2.9. Arginine Content
—control group samples;
—samples fermented with Lp. plantarum strain 135;
—samples fermented with Lc. paracasei strain 244. Different letters (a–g) indicate significant differences (p ≤ 0.05) among all treatments.
—control group samples;
—samples fermented with Lp. plantarum strain 135;
—samples fermented with Lc. paracasei strain 244. Different letters (a–g) indicate significant differences (p ≤ 0.05) among all treatments.
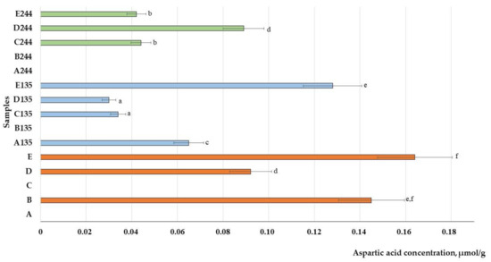
3.2.10. Aspartic Acid Content
—control group samples;
—samples fermented with Lp. plantarum strain 135;
—samples fermented with Lc. paracasei strain 244. Data were expressed as mean values ± SE. Different letters (a–f) indicate significant differences (p ≤ 0.05) among all treatments.
—control group samples;
—samples fermented with Lp. plantarum strain 135;
—samples fermented with Lc. paracasei strain 244. Data were expressed as mean values ± SE. Different letters (a–f) indicate significant differences (p ≤ 0.05) among all treatments.
3.2.11. Glutamic Acid Content
—control group samples;
—samples fermented with Lp. plantarum strain 135;
—samples fermented with Lc. paracasei strain 244. Data were expressed as mean values ± SE. Different letters (a–f) indicate significant differences (p ≤ 0.05) among all treatments.
—control group samples;
—samples fermented with Lp. plantarum strain 135;
—samples fermented with Lc. paracasei strain 244. Data were expressed as mean values ± SE. Different letters (a–f) indicate significant differences (p ≤ 0.05) among all treatments.
3.2.12. Glutamine Content
—control group samples;
—samples fermented with Lp. plantarum strain 135;
—samples fermented with Lc. paracasei strain 244. Data were expressed as mean values ± SE. Different letters (a–e) indicate significant differences (p ≤ 0.05) among all treatments.
—control group samples;
—samples fermented with Lp. plantarum strain 135;
—samples fermented with Lc. paracasei strain 244. Data were expressed as mean values ± SE. Different letters (a–e) indicate significant differences (p ≤ 0.05) among all treatments.
3.2.13. Glycine Content
—control group samples;
—samples fermented with Lp. plantarum strain 135;
—samples fermented with Lc. paracasei strain 244. Data were expressed as mean values ± SE. Different letters (a–g) indicate significant differences (p ≤ 0.05) among all treatments.
—control group samples;
—samples fermented with Lp. plantarum strain 135;
—samples fermented with Lc. paracasei strain 244. Data were expressed as mean values ± SE. Different letters (a–g) indicate significant differences (p ≤ 0.05) among all treatments.
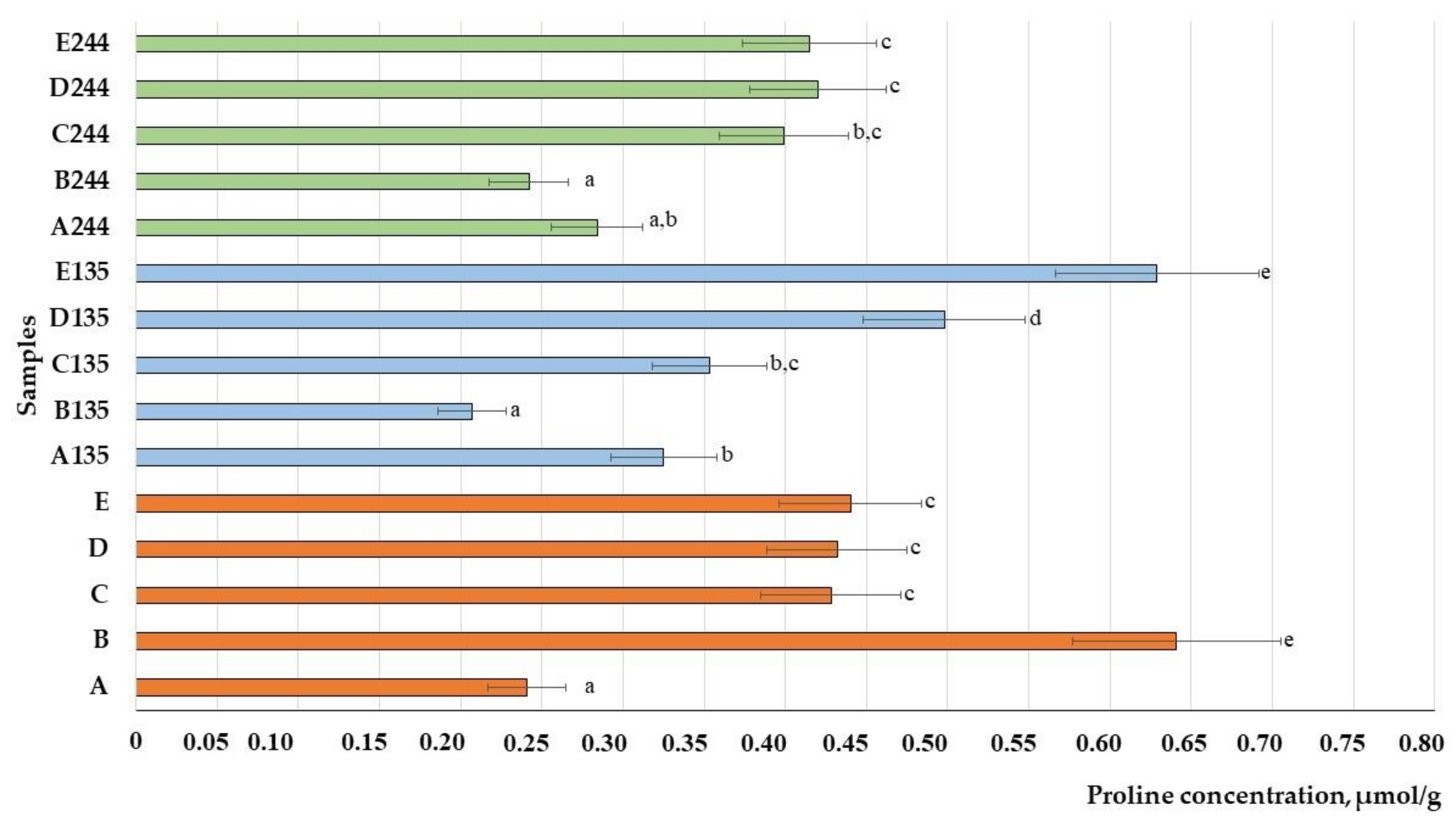
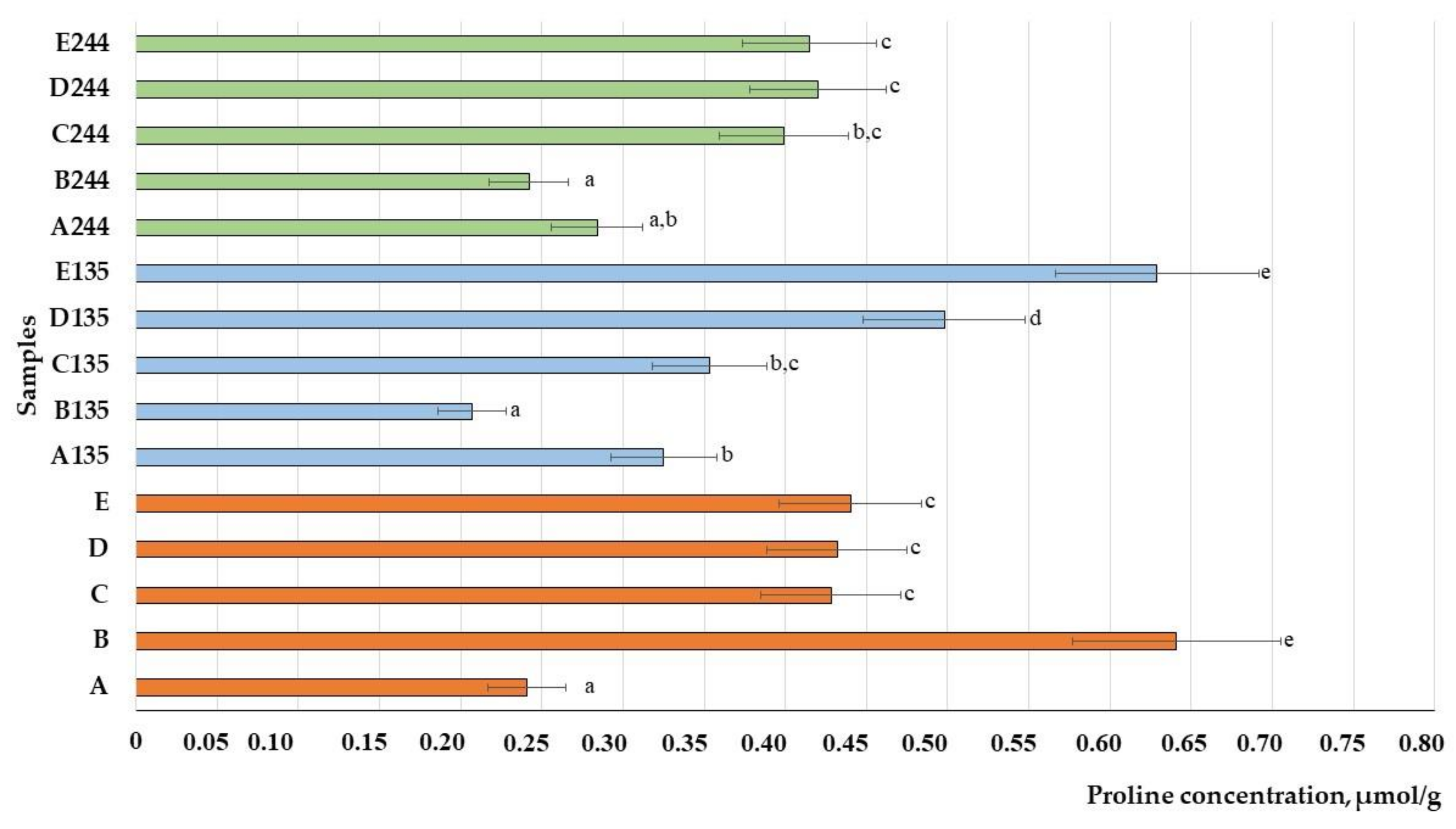
3.2.14. Proline Content
—control group samples;
—samples fermented with Lp. plantarum strain 135;
—samples fermented with Lc. paracasei strain 244. Data were expressed as mean values ± SE. Different letters (a–e) indicate significant differences (p ≤ 0.05) among all treatments.
—control group samples;
—samples fermented with Lp. plantarum strain 135;
—samples fermented with Lc. paracasei strain 244. Data were expressed as mean values ± SE. Different letters (a–e) indicate significant differences (p ≤ 0.05) among all treatments.
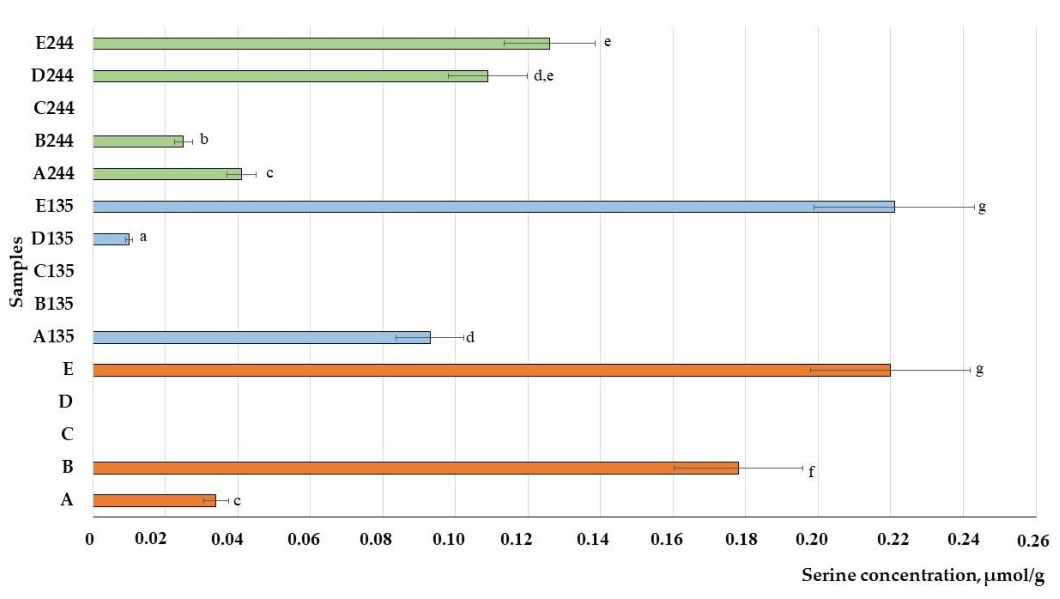
3.2.15. Serine Content
—control group samples;
—samples fermented with Lp. plantarum strain 135;
—samples fermented with Lc. paracasei strain 244. Data were expressed as mean values ± SE. Different letters (a–g) indicate significant differences (p ≤ 0.05) among all treatments.
—control group samples;
—samples fermented with Lp. plantarum strain 135;
—samples fermented with Lc. paracasei strain 244. Data were expressed as mean values ± SE. Different letters (a–g) indicate significant differences (p ≤ 0.05) among all treatments.
3.2.16. Tyrosine Content
—control group samples;
—samples fermented with Lp. plantarum strain 135;
—samples fermented with Lc. paracasei strain 244. Data were expressed as mean values ± SE. Different letters (a–f) indicate significant differences (p ≤ 0.05) among all treatments.
—control group samples;
—samples fermented with Lp. plantarum strain 135;
—samples fermented with Lc. paracasei strain 244. Data were expressed as mean values ± SE. Different letters (a–f) indicate significant differences (p ≤ 0.05) among all treatments.
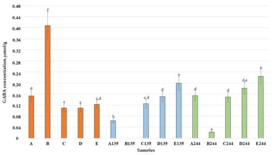
3.2.17. Gamma Amino-Butyric Acid (GABA) Content
—control group samples;
—samples fermented with Lp. plantarum strain 135;
—samples fermented with Lc. paracasei strain 244. Data were expressed as mean values ± SE. Different letters (a–f) indicate significant differences (p ≤ 0.05) among all treatments.
—control group samples;
—samples fermented with Lp. plantarum strain 135;
—samples fermented with Lc. paracasei strain 244. Data were expressed as mean values ± SE. Different letters (a–f) indicate significant differences (p ≤ 0.05) among all treatments.
3.3. Biogenic Amine (BA) Formation in Bovine Colostrum (BCOL) during the Fermentation Process
—control group samples;
—samples fermented with Lp. plantarum strain 135;
—samples fermented with Lc. paracasei strain 244. For each biogenic amine, different letters (a–j) indicate a significant difference (p ≤ 0.05) (Figure 19a) among all treatments. Different letters (a–f) indicate a significant difference (p ≤ 0.05) (Figure 19b) among all treatments.
—control group samples;
—samples fermented with Lp. plantarum strain 135;
—samples fermented with Lc. paracasei strain 244. For each biogenic amine, different letters (a–j) indicate a significant difference (p ≤ 0.05) (Figure 19a) among all treatments. Different letters (a–f) indicate a significant difference (p ≤ 0.05) (Figure 19b) among all treatments.
3.4. Influence of Fermentation on Fatty Acid (FA) Profile in Bovine Colostrum (BCOL) Samples


4. Conclusions
Supplementary Materials
Author Contributions
Funding
Institutional Review Board Statement
Informed Consent Statement
Data Availability Statement
Acknowledgments
Conflicts of Interest
References
- Manikant, K.; Sudhir, U. Bovine Colostrum: Neonate to Nutraceuticals. Res. J. Anim. Husb. Dairy Sci. 2014, 5, 23–29. [Google Scholar]
- Uruakpa, F.O.; Ismond, M.A.H.; Akobundu, E.N. Colostrum and Its Benefits: A Review. Nutr. Res. 2002, 22, 755–767. [Google Scholar] [CrossRef]
- Mehra, R.; Singh, R.; Nayan, V.; Buttar, H.S.; Kumar, N.; Kumar, S.; Bhardwaj, A.; Kaushik, R.; Kumar, H. Nutritional Attributes of Bovine Colostrum Components in Human Health and Disease: A Comprehensive Review. Food Biosci. 2021, 40, 100907. [Google Scholar] [CrossRef]
- Kovacs, D.; Maresca, V.; Flori, E.; Mastrofrancesco, A.; Picardo, M.; Cardinali, G. Bovine Colostrum Induces the Differentiation of Human Primary Keratinocytes. FASEB J. 2020, 34, 6302–6321. [Google Scholar] [CrossRef] [PubMed]
- Mehra, R.; Marnila, P.; Korhonen, H. Milk Immunoglobulins for Health Promotion. Int. Dairy J. 2006, 16, 1262–1271. [Google Scholar] [CrossRef] [PubMed]
- Stelwagen, K.; Carpenter, E.; Haigh, B.; Hodgkinson, A.; Wheeler, T.T. Immune Components of Bovine Colostrum and Milk. J. Anim. Sci. 2009, 87, 3–9. [Google Scholar] [CrossRef] [PubMed]
- Tsioulpas, A.; Grandison, A.S.; Lewis, M.J. Changes in Physical Properties of Bovine Milk from the Colostrum Period to Early Lactation. J. Dairy Sci. 2007, 90, 5012–5017. [Google Scholar] [CrossRef]
- Bernabucci, U.; Basiricò, L.; Morera, P. Impact of Hot Environment on Colostrum and Milk Composition. Cell. Mol. Biol. 2013, 59, 67–83. [Google Scholar]
- Denholm, K. A Review of Bovine Colostrum Preservation Techniques. J. Dairy Res. 2022, 89, 345–354. [Google Scholar] [CrossRef]
- Pragna, P.; Archana, P.R.; Aleena, J.; Sejian, V.; Krishnan, G.; Bagath, M.; Manimaran, A.; Beena, V.; Kurien, E.K.; Varma, G. Heat Stress and Dairy Cow: Impact on Both Milk Yield and Composition. J. Dairy Sci. 2017, 12, 1–11. [Google Scholar] [CrossRef]
- Puppel, K.; Gołębiewski, M.; Grodkowski, G.; Slósarz, J.; Kunowska-Slósarz, M.; Solarczyk, P.; Łukasiewicz, M.; Balcerak, M.; Przysucha, T. Composition and Factors Affecting Quality of Bovine Colostrum: A Review. Animals 2019, 9, 1070. [Google Scholar] [CrossRef] [PubMed]
- West, J.W. Effects of Heat-Stress on Production in Dairy Cattle. J. Dairy Sci. 2003, 86, 2131–2144. [Google Scholar] [CrossRef] [PubMed]
- Arslan, A.; Kaplan, M.; Duman, H.; Bayraktar, A.; Ertürk, M.; Henrick, B.M.; Frese, S.A.; Karav, S. Bovine Colostrum and Its Potential for Human Health and Nutrition. Front. Nutr. 2021, 8, 651721. [Google Scholar] [CrossRef] [PubMed]
- Bartkiene, E.; Bartkevics, V.; Ikkere, L.E.; Pugajeva, I.; Zavistanaviciute, P.; Lele, V.; Ruzauskas, M.; Bernatoniene, J.; Jakstas, V.; Klupsaite, D.; et al. The Effects of Ultrasonication, Fermentation with Lactobacillus Sp., and Dehydration on the Chemical Composition and Microbial Contamination of Bovine Colostrum. J. Dairy Sci. 2018, 101, 6787–6798. [Google Scholar] [CrossRef] [PubMed]
- Bartkiene, E.; Lele, V.; Sakiene, V.; Zavistanaviciute, P.; Ruzauskas, M.; Stankevicius, A.; Grigas, J.; Pautienius, A.; Bernatoniene, J.; Jakstas, V.; et al. Fermented, Ultrasonicated, and Dehydrated Bovine Colostrum: Changes in Antimicrobial Properties and Immunoglobulin Content. J. Dairy Sci. 2020, 103, 1315–1323. [Google Scholar] [CrossRef] [PubMed]
- Bartkiene, E.; Ruzauskas, M.; Lele, V.; Zavistanaviciute, P.; Bernatoniene, J.; Jakstas, V.; Ivanauskas, L.; Zadeike, D.; Klupsaite, D.; Viskelis, P.; et al. Development of Antimicrobial Gummy Candies with Addition of Bovine Colostrum, Essential Oils and Probiotics. Int. J. Food Sci. Technol. 2018, 53, 1227–1235. [Google Scholar] [CrossRef]
- Grigas, J.; Ruzauskas, M.; Pautienius, A.; Bartkiene, E.; Lele, V.; Starkute, V.; Zavistanaviciute, P.; Zokaityte, E.; Bernatoniene, J.; Ivanauskas, L.; et al. Investigation of Immunomodulatory and Gut Microbiota-Altering Properties of Multicomponent Nutraceutical Prepared from Lactic Acid Bacteria, Bovine Colostrum, Apple Production By-Products and Essential Oils. Foods 2021, 10, 1313. [Google Scholar] [CrossRef]
- Bartkiene, E.; Starkute, V.; Jomantaite, I.; Zokaityte, E.; Mockus, E.; Tolpeznikaite, E.; Zokaityte, G.; Petrova, P.; Santini, A.; Rocha, J.M.; et al. Multifunctional Nutraceutical Composition Based on Fermented Spirulina, Apple Cider Vinegar, Jerusalem Artichoke, and Bovine Colostrum. Foods 2023, 12, 1690. [Google Scholar] [CrossRef]
- Wójcik, W.; Łukasiewicz, M.; Puppel, K. Biogenic Amines: Formation, Action and Toxicity—A Review. J. Sci. Food Agric. 2021, 101, 2634–2640. [Google Scholar] [CrossRef]
- Playford, R.J.; Weiser, M.J. Bovine Colostrum: Its Constituents and Uses. Nutrients 2021, 13, 265. [Google Scholar] [CrossRef]
- Yang, M.; Cong, M.; Peng, X.; Wu, J.; Wu, R.; Liu, B.; Ye, W.; Yue, X. Quantitative Proteomic Analysis of Milk Fat Globule Membrane (MFGM) Proteins in Human and Bovine Colostrum and Mature Milk Samples through iTRAQ Labeling. Food Funct. 2016, 7, 2438–2450. [Google Scholar] [CrossRef] [PubMed]
- Yang, M.; Cao, X.; Wu, R.; Liu, B.; Ye, W.; Yue, X.; Wu, J. Comparative Proteomic Exploration of Whey Proteins in Human and Bovine Colostrum and Mature Milk Using iTRAQ-Coupled LC-MS/MS. Int. J. Food Sci. Nutr. 2017, 68, 671–681. [Google Scholar] [CrossRef] [PubMed]
- Yang, M.; Peng, X.; Wu, J.; Wu, R.; Liu, B.; Ye, W.; Xu, X.; Yue, X. Differential Proteomic Analysis of Milk Fat Globule Membrane Proteins in Human and Bovine Colostrum by iTRAQ-Coupled LC-MS/MS. Eur. Food Res. Technol. 2017, 243, 901–912. [Google Scholar] [CrossRef]
- Yang, M.; Song, D.; Cao, X.; Wu, R.; Liu, B.; Ye, W.; Wu, J.; Yue, X. Comparative Proteomic Analysis of Milk-Derived Exosomes in Human and Bovine Colostrum and Mature Milk Samples by iTRAQ-Coupled LC-MS/MS. Food Res. Int. 2017, 92, 17–25. [Google Scholar] [CrossRef] [PubMed]
- Cao, X.; Kang, S.; Yang, M.; Li, W.; Wu, S.; Han, H.; Meng, L.; Wu, R.; Yue, X. Quantitative N-Glycoproteomics of Milk Fat Globule Membrane in Human Colostrum and Mature Milk Reveals Changes in Protein Glycosylation during Lactation. Food Funct. 2018, 9, 1163–1172. [Google Scholar] [CrossRef] [PubMed]
- Li, M.; Li, W.; Kong, F.; Kang, S.; Liang, X.; Han, H.; Wu, J.; Zheng, Y.; Li, Q.; Yue, X.; et al. Metabolomics Methods to Analyze Full Spectrum of Amino Acids in Different Domains of Bovine Colostrum and Mature Milk. Eur. Food Res. Technol. 2020, 246, 213–224. [Google Scholar] [CrossRef]
- Czerniewicz, M.; Kielczewska, K.; Kruk, A. Comparison of Some Physicochemical Properties of Milk from Holstein-Friesian and Jersey Cows. Pol. J. Food Nutr. Sci. 2006, 15, 61. [Google Scholar]
- O’Callaghan, T.F.; O’Donovan, M.; Murphy, J.P.; Sugrue, K.; Mannion, D.; McCarthy, W.P.; Timlin, M.; Kilcawley, K.N.; Hickey, R.M.; Tobin, J.T. Evolution of the Bovine Milk Fatty Acid Profile—From Colostrum to Milk Five Days Post Parturition. Int. Dairy J. 2020, 104, 104655. [Google Scholar] [CrossRef]
- Bartkiene, E.; Lele, V.; Ruzauskas, M.; Domig, K.J.; Starkute, V.; Zavistanaviciute, P.; Bartkevics, V.; Pugajeva, I.; Klupsaite, D.; Juodeikiene, G.; et al. Lactic Acid Bacteria Isolation from Spontaneous Sourdough and Their Characterization Including Antimicrobial and Antifungal Properties Evaluation. Microorganisms 2020, 8, 64. [Google Scholar] [CrossRef]
- Bartkiene, E.; Gruzauskas, R.; Ruzauskas, M.; Zokaityte, E.; Starkute, V.; Klupsaite, D.; Vadopalas, L.; Badaras, S.; Özogul, F. Changes in the Microbial Community and Biogenic Amine Content in Rapeseed Meal during Fermentation with an Antimicrobial Combination of Lactic Acid Bacteria Strains. Fermentation 2022, 8, 136. [Google Scholar] [CrossRef]
- Ben-gigirey, B.; De Sousa, J.M.V.B.; Villa, T.G.; Barros-velazquez, J. Chemical Changes and Visual Appearance of Albacore Tuna as Related to Frozen Storage. J. Food Sci. 1999, 64, 20–24. [Google Scholar] [CrossRef]
- Ben-Gigirey, B.; Vieites Baaptista de Sousa, J.M.; Villa, T.G.; Barros-Velazquez, J. Histamine and Cadaverine Production by Bacteria Isolated from Fresh and Frozen Albacore (Thunnus Alalunga). J. Food Prot. 1999, 62, 933–939. [Google Scholar] [CrossRef] [PubMed]
- Pérez-Palacios, T.; Ruiz-Carrascal, J.; Solomando, J.C.; Antequera, T. Strategies for Enrichment in ω-3 Fatty Acids Aiming for Healthier Meat Products. Food Rev. Int. 2019, 35, 485–503. [Google Scholar] [CrossRef]
- Evans, J.D. Straightforward Statistics for the Behavioral Sciences; Thomson Brooks/Cole Publishing Co.: Belmont, CA, USA, 1996; pp. xxii, 600. ISBN 0-534-23100-4. [Google Scholar]
- McCarthy, O.J.; Singh, H. Physico-Chemical Properties of Milk. In Advanced Dairy Chemistry: Volume 3: Lactose, Water, Salts and Minor Constituents; McSweeney, P., Fox, P.F., Eds.; Springer: New York, NY, USA, 2009; pp. 691–758. ISBN 978-0-387-84865-5. [Google Scholar]
- McIntyre, R.T.; Parrish, D.B.; Fountaine, F.C. Properties of the Colostrum of the Dairy Cow. VII. pH, Buffer Capacity and Osmotic Pressure1. J. Dairy Sci. 1952, 35, 356–362. [Google Scholar] [CrossRef]
- Klimeš, J.; Jagoš, P.; Bouda, J.; Gajdůšek, S. Basic Qualitative Parameters of Cow Colostrum and Their Dependence on Season and Post Partum Time. Acta Vet. Brno 1986, 55, 23–39. [Google Scholar] [CrossRef]
- Madsen, B.D.; Rasmussen, M.D.; Nielsen, M.O.; Wiking, L.; Larsen, L.B. Physical Properties of Mammary Secretions in Relation to Chemical Changes during Transition from Colostrum to Milk. J. Dairy Res. 2004, 71, 263–272. [Google Scholar] [CrossRef] [PubMed]
- Jeong, S.-G.; Ham, J.-S.; Kim, D.-H.; Ahn, C.-N.; Chae, H.-S.; You, Y.-M.; Jang, A.-R.; Kwon, I.-K.; Lee, S.-G. Physicochemical Properties of Colostrum by Milking Time of Gyeonggi Province. Food Sci. Anim. Resour. 2009, 29, 445–456. [Google Scholar] [CrossRef]
- McGrath, B.A.; Fox, P.F.; McSweeney, P.L.; Kelly, A.L. Composition and Properties of Bovine Colostrum: A Review. Dairy Sci. Technol. 2016, 96, 133–158. [Google Scholar] [CrossRef]
- Sebela, F.; Klicnik, V. The Relationship between Milk Acidity after Milking and Cow’s Age. Zivocisna Vyroba Czech. J. Anim. Sci. 1977, 22, 161–170. [Google Scholar]
- Cummins, C.; Lorenz, I.; Kennedy, E. Short Communication: The Effect of Storage Conditions over Time on Bovine Colostral Immunoglobulin G Concentration, Bacteria, and pH. J. Dairy Sci. 2016, 99, 4857–4863. [Google Scholar] [CrossRef]
- Fasse, S.; Alarinta, J.; Frahm, B.; Wirtanen, G. Bovine Colostrum for Human Consumption—Improving Microbial Quality and Maintaining Bioactive Characteristics through Processing. Dairy 2021, 2, 556–575. [Google Scholar] [CrossRef]
- Oehmigen, K.; Hähnel, M.; Brandenburg, R.; Wilke, C.; Weltmann, K.-D.; von Woedtke, T. The Role of Acidification for Antimicrobial Activity of Atmospheric Pressure Plasma in Liquids. Plasma Process. Polym. 2010, 7, 250–257. [Google Scholar] [CrossRef]
- Traylor, M.J.; Pavlovich, M.J.; Karim, S.; Hait, P.; Sakiyama, Y.; Clark, D.S.; Graves, D.B. Long-Term Antibacterial Efficacy of Air Plasma-Activated Water. J. Phys. Appl. Phys. 2011, 44, 472001. [Google Scholar] [CrossRef]
- Kehoe, S.I.; Jayarao, B.M.; Heinrichs, A.J. A Survey of Bovine Colostrum Composition and Colostrum Management Practices on Pennsylvania Dairy Farms1. J. Dairy Sci. 2007, 90, 4108–4116. [Google Scholar] [CrossRef] [PubMed]
- Morrill, K.M.; Conrad, E.; Lago, A.; Campbell, J.; Quigley, J.; Tyler, H. Nationwide Evaluation of Quality and Composition of Colostrum on Dairy Farms in the United States. J. Dairy Sci. 2012, 95, 3997–4005. [Google Scholar] [CrossRef] [PubMed]
- Nakamura, T.; Kawase, H.; Kimura, K.; Watanabe, Y.; Ohtani, M.; Arai, I.; Urashima, T. Concentrations of Sialyloligosaccharides in Bovine Colostrum and Milk during the Prepartum and Early Lactation. J. Dairy Sci. 2003, 86, 1315–1320. [Google Scholar] [CrossRef] [PubMed]
- Gopal, P.K.; Gill, H.S. Oligosaccharides and Glycoconjugates in Bovine Milk and Colostrum. Br. J. Nutr. 2000, 84, 69–74. [Google Scholar] [CrossRef]
- Tao, N.; DePeters, E.J.; German, J.B.; Grimm, R.; Lebrilla, C.B. Variations in Bovine Milk Oligosaccharides during Early and Middle Lactation Stages Analyzed by High-Performance Liquid Chromatography-Chip/Mass Spectrometry. J. Dairy Sci. 2009, 92, 2991–3001. [Google Scholar] [CrossRef]
- Barile, D.; Marotta, M.; Chu, C.; Mehra, R.; Grimm, R.; Lebrilla, C.B.; German, J.B. Neutral and Acidic Oligosaccharides in Holstein-Friesian Colostrum during the First 3 Days of Lactation Measured by High Performance Liquid Chromatography on a Microfluidic Chip and Time-of-Flight Mass Spectrometry. J. Dairy Sci. 2010, 93, 3940–3949. [Google Scholar] [CrossRef]
- McJarrow, P.; van Amelsfort-Schoonbeek, J. Bovine Sialyl Oligosaccharides: Seasonal Variations in Their Concentrations in Milk, and a Comparison of the Colostrums of Jersey and Friesian Cows. Int. Dairy J. 2004, 14, 571–579. [Google Scholar] [CrossRef]
- Urashima, T.; Kitaoka, M.; Asakuma, S.; Messer, M. Milk Oligosaccharides. In Advanced Dairy Chemistry: Volume 3: Lactose, Water, Salts and Minor Constituents; McSweeney, P., Fox, P.F., Eds.; Springer: New York, NY, USA, 2009; pp. 295–349. ISBN 978-0-387-84865-5. [Google Scholar]
- Harper, A.E. Phenylalanine Metabolism. In Aspartame; CRC Press: Boca Raton, FL, USA, 1984; ISBN 978-1-00-306528-9. [Google Scholar]
- Flydal, M.I.; Martinez, A. Phenylalanine Hydroxylase: Function, Structure, and Regulation. IUBMB Life 2013, 65, 341–349. [Google Scholar] [CrossRef] [PubMed]
- Gupta, S.K. Multifunction “Crown Complexes” from Amino Acids and Peptides for Skin and Hair Restoration. U.S. Patent 7427690, 23 September 2008. [Google Scholar]
- Han, S.-W.; Shin, J.-S. Aromatic L-Amino Acid Decarboxylases: Mechanistic Features and Microbial Applications. Appl. Microbiol. Biotechnol. 2022, 106, 4445–4458. [Google Scholar] [CrossRef] [PubMed]
- Oldiges, M.; Eikmanns, B.J.; Blombach, B. Application of Metabolic Engineering for the Biotechnological Production of L-Valine. Appl. Microbiol. Biotechnol. 2014, 98, 5859–5870. [Google Scholar] [CrossRef] [PubMed]
- Karau, A.; Grayson, I. Amino Acids in Human and Animal Nutrition. In Biotechnology of Food and Feed Additives; Zorn, H., Czermak, P., Eds.; Advances in Biochemical Engineering/Biotechnology; Springer: Berlin/Heidelberg, Germany, 2014; pp. 189–228. ISBN 978-3-662-43761-2. [Google Scholar]
- Kawaguchi, T.; Izumi, N.; Charlton, M.R.; Sata, M. Branched-Chain Amino Acids as Pharmacological Nutrients in Chronic Liver Disease. Hepatology 2011, 54, 1063–1070. [Google Scholar] [CrossRef] [PubMed]
- Eggeling, L.; Pfefferle, W.; Sahm, H. Amino Acids. In Basic Biotechnology; Kristiansen, B., Ratledge, C., Eds.; Cambridge University Press: Cambridge, UK, 2006; pp. 335–358. ISBN 978-0-511-80240-9. [Google Scholar]
- Stoner, E.J.; Cooper, A.J.; Dickman, D.A.; Kolaczkowski, L.; Lallaman, J.E.; Liu, J.-H.; Oliver-Shaffer, P.A.; Patel, K.M.; Paterson, J.B.; Plata, D.J.; et al. Synthesis of HIV Protease Inhibitor ABT-378 (Lopinavir). Org. Process Res. Dev. 2000, 4, 264–269. [Google Scholar] [CrossRef]
- Leuchtenberger, W.; Huthmacher, K.; Drauz, K. Biotechnological Production of Amino Acids and Derivatives: Current Status and Prospects. Appl. Microbiol. Biotechnol. 2005, 69, 1–8. [Google Scholar] [CrossRef] [PubMed]
- Paul, P.E.V.; Sangeetha, V.; Deepika, R.G. Chapter 9—Emerging Trends in the Industrial Production of Chemical Products by Microorganisms. In Recent Developments in Applied Microbiology and Biochemistry; Buddolla, V., Ed.; Academic Press: Cambridge, MA, USA, 2019; pp. 107–125. ISBN 978-0-12-816328-3. [Google Scholar]
- Mathews, C.K.; van Holde, K.E.; Ahern, K.G. Biochemistry, 3rd ed.; Pearson: San Francisco, CA, USA, 1999; ISBN 978-0-8053-3066-3. [Google Scholar]
- Yin, J.; Ma, J.; Li, Y.; Ma, X.; Chen, J.; Zhang, H.; Wu, X.; Li, F.; Liu, Z.; Li, T.; et al. Branched-Chain Amino Acids, Especially of Leucine and Valine, Mediate the Protein Restricted Response in a Piglet Model. Food Funct. 2020, 11, 1304–1311. [Google Scholar] [CrossRef]
- Kidd, M.T.; Kerr, B.J. L-Threonine for Poultry: A Review. J. Appl. Poult. Res. 1996, 5, 358–367. [Google Scholar] [CrossRef]
- Chen, Y.P.; Cheng, Y.F.; Li, X.H.; Yang, W.L.; Wen, C.; Zhuang, S.; Zhou, Y.M. Effects of Threonine Supplementation on the Growth Performance, Immunity, Oxidative Status, Intestinal Integrity, and Barrier Function of Broilers at the Early Age. Poult. Sci. 2017, 96, 405–413. [Google Scholar] [CrossRef]
- Kheiri, F.; Alibeyghi, M. Effect of Different Levels of Lysine and Threonine on Carcass Characteristics, Intestinal Microflora and Growth Performance of Broiler Chicks. Ital. J. Anim. Sci. 2017, 16, 580–587. [Google Scholar] [CrossRef]
- Tang, Q.; Tan, P.; Ma, N.; Ma, X. Physiological Functions of Threonine in Animals: Beyond Nutrition Metabolism. Nutrients 2021, 13, 2592. [Google Scholar] [CrossRef] [PubMed]
- Chen, Y.; Zhang, H.; Cheng, Y.; Li, Y.; Wen, C.; Zhou, Y. Dietary L-Threonine Supplementation Attenuates Lipopolysaccharide-Induced Inflammatory Responses and Intestinal Barrier Damage of Broiler Chickens at an Early Age. Br. J. Nutr. 2018, 119, 1254–1262. [Google Scholar] [CrossRef] [PubMed]
- Wang, W.; Zeng, X.; Mao, X.; Wu, G.; Qiao, S. Optimal Dietary True Ileal Digestible Threonine for Supporting the Mucosal Barrier in Small Intestine of Weanling Pigs. J. Nutr. 2010, 140, 981–986. [Google Scholar] [CrossRef] [PubMed]
- Dong, X.; Quinn, P.J.; Wang, X. Microbial Metabolic Engineering for L-Threonine Production. In Reprogramming Microbial Metabolic Pathways; Wang, X., Chen, J., Quinn, P., Eds.; Subcellular Biochemistry; Springer: Dordrecht, The Netherlands, 2012; pp. 283–302. ISBN 978-94-007-5055-5. [Google Scholar]
- Neubauer, C.; Landecker, H. A Planetary Health Perspective on Synthetic Methionine. Lancet Planet. Health 2021, 5, e560–e569. [Google Scholar] [CrossRef]
- Ferla, M.P.; Patrick, W.M. Bacterial Methionine Biosynthesis. Microbiology 2014, 160, 1571–1584. [Google Scholar] [CrossRef] [PubMed]
- Bonnarme, P.; Lapadatescu, C.; Yvon, M.; Spinnler, H.E. L-Methionine Degradation Potentialities of Cheese-Ripening Microorganisms. J. Dairy Res. 2001, 68, 663–674. [Google Scholar] [CrossRef] [PubMed]
- Herrera Moro Chao, D.; Argmann, C.; Van Eijk, M.; Boot, R.G.; Ottenhoff, R.; Van Roomen, C.; Foppen, E.; Siljee, J.E.; Unmehopa, U.A.; Kalsbeek, A.; et al. Impact of Obesity on Taste Receptor Expression in Extra-Oral Tissues: Emphasis on Hypothalamus and Brainstem. Sci. Rep. 2016, 6, 29094. [Google Scholar] [CrossRef]
- Lee, A.A.; Owyang, C. Chapter 16—Sugars, Sweet Taste Receptors, and Brain Responses. In Molecular Nutrition: Carbohydrates; Patel, V.B., Ed.; Academic Press: Cambridge, MA, USA, 2019; pp. 265–283. ISBN 978-0-12-849886-6. [Google Scholar]
- Comesaña, S.; Velasco, C.; Conde-Sieira, M.; Míguez, J.M.; Soengas, J.L.; Morais, S. Feeding Stimulation Ability and Central Effects of Intraperitoneal Treatment of L-Leucine, L-Valine, and L-Proline on Amino Acid Sensing Systems in Rainbow Trout: Implication in Food Intake Control. Front. Physiol. 2018, 9, 1209. [Google Scholar] [CrossRef]
- Gorissen, S.H.M.; Phillips, S.M. Chapter 17—Branched-Chain Amino Acids (Leucine, Isoleucine, and Valine) and Skeletal Muscle. In Nutrition and Skeletal Muscle; Walrand, S., Ed.; Academic Press: Cambridge, MA, USA, 2019; pp. 283–298. ISBN 978-0-12-810422-4. [Google Scholar]
- Yoshizawa, F. Effects of Leucine and Isoleucine on Glucose Metabolism. In Branched Chain Amino Acids in Clinical Nutrition: Volume 1; Rajendram, R., Preedy, V.R., Patel, V.B., Eds.; Nutrition and Health; Springer: New York, NY, USA, 2015; pp. 63–73. ISBN 978-1-4939-1923-9. [Google Scholar]
- Díaz-Pérez, A.L.; Díaz-Pérez, C.; Campos-García, J. Bacterial L-Leucine Catabolism as a Source of Secondary Metabolites. Rev. Environ. Sci. Biotechnol. 2016, 15, 1–29. [Google Scholar] [CrossRef]
- Amorim Franco, T.M.; Blanchard, J.S. Bacterial Branched-Chain Amino Acid Biosynthesis: Structures, Mechanisms, and Drugability. Biochemistry 2017, 56, 5849–5865. [Google Scholar] [CrossRef]
- Moughan, P.J.; Rutherfurd, S.M. Available Lysine in Foods: A Brief Historical Overview. J. AOAC Int. 2008, 91, 901–906. [Google Scholar] [CrossRef] [PubMed]
- Sabo, D.L.; Boeker, E.A.; Byers, B.; Waron, H.; Fischer, E.H. Purification and Physical Properties of Inducible Escherichia Coli Lysine Decarboxylase. Available online: https://pubs.acs.org/doi/pdf/10.1021/bi00701a005 (accessed on 14 August 2023).
- Lemonnier, M.; Lane, D. Expression of the Second Lysine Decarboxylase Gene of Escherichia Coli. Microbiology 1998, 144, 751–760. [Google Scholar] [CrossRef] [PubMed]
- Tadepally, H.D. Chapter 8—Recent Advances in the Industrial Production of l-Lysine by Bacteria. In Recent Developments in Applied Microbiology and Biochemistry; Buddolla, V., Ed.; Academic Press: Cambridge, MA, USA, 2019; pp. 97–106. ISBN 978-0-12-816328-3. [Google Scholar]
- Rose, W.C. The Amino Acid Requirements of Adult Man. Nutr. Abstr. Rev. 1957, 27, 631–647. [Google Scholar] [PubMed]
- Wu, G. Amino Acids: Metabolism, Functions, and Nutrition. Amino Acids 2009, 37, 1–17. [Google Scholar] [CrossRef] [PubMed]
- Moro, J.; Tomé, D.; Schmidely, P.; Demersay, T.-C.; Azzout-Marniche, D. Histidine: A Systematic Review on Metabolism and Physiological Effects in Human and Different Animal Species. Nutrients 2020, 12, 1414. [Google Scholar] [CrossRef] [PubMed]
- Onodera, R. Essentiality of Histidine in Ruminant and Other Animals Including Human Beings. Asian-Australas. J. Anim. Sci. 2003, 16, 445–454. [Google Scholar] [CrossRef]
- Asahi, R.; Tanaka, K.; Fujimi, T.J.; Kanzawa, N.; Nakajima, S. Proline Decreases the Suppressive Effect of Histidine on Food Intake and Fat Accumulation. J. Nutr. Sci. Vitaminol. 2016, 62, 277–280. [Google Scholar] [CrossRef]
- Barbieri, F.; Montanari, C.; Gardini, F.; Tabanelli, G. Biogenic Amine Production by Lactic Acid Bacteria: A Review. Foods 2019, 8, 17. [Google Scholar] [CrossRef]
- Hols, P.; Kleerebezem, M.; Schanck, A.N.; Ferain, T.; Hugenholtz, J.; Delcour, J.; de Vos, W.M. Conversion of Lactococcus Lactis from Homolactic to Homoalanine Fermentation through Metabolic Engineering. Nat. Biotechnol. 1999, 17, 588–592. [Google Scholar] [CrossRef]
- Lee, M.; Smith, G.M.; Eiteman, M.A.; Altman, E. Aerobic Production of Alanine by Escherichia Coli aceF ldhA Mutants Expressing the Bacillus Sphaericus alaD Gene. Appl. Microbiol. Biotechnol. 2004, 65, 56–60. [Google Scholar] [CrossRef]
- Brennan, L.; Shine, A.; Hewage, C.; Malthouse, J.P.G.; Brindle, K.M.; McClenaghan, N.; Flatt, P.R.; Newsholme, P. A Nuclear Magnetic Resonance-Based Demonstration of Substantial Oxidative l-Alanine Metabolism and l-Alanine-Enhanced Glucose Metabolism in a Clonal Pancreatic β-Cell Line: Metabolism of l-Alanine Is Important to the Regulation of Insulin Secretion. Diabetes 2002, 51, 1714–1721. [Google Scholar] [CrossRef]
- Tessem, M.-B.; Swanson, M.G.; Keshari, K.R.; Albers, M.J.; Joun, D.; Tabatabai, Z.L.; Simko, J.P.; Shinohara, K.; Nelson, S.J.; Vigneron, D.B.; et al. Evaluation of Lactate and Alanine as Metabolic Biomarkers of Prostate Cancer Using 1H HR-MAS Spectroscopy of Biopsy Tissues. Magn. Reson. Med. 2008, 60, 510–516. [Google Scholar] [CrossRef] [PubMed]
- Dave, U.C.; Kadeppagari, R.-K. Alanine Dehydrogenase and Its Applications—A Review. Crit. Rev. Biotechnol. 2019, 39, 648–664. [Google Scholar] [CrossRef] [PubMed]
- Mallakpour, S.; Dinari, M. Progress in Synthetic Polymers Based on Natural Amino Acids. J. Macromol. Sci. Part A 2011, 48, 644–679. [Google Scholar] [CrossRef]
- Hashimoto, S.-I.; Katsumata, R. L-Alanine Fermentation by an Alanine Racemase-Deficient Mutant of the Dl-Alanine Hyperproducing Bacterium Arthrobacter Oxydans HAP-1. J. Ferment. Bioeng. 1998, 86, 385–390. [Google Scholar] [CrossRef]
- Ohashima, T.; Soda, K. Purification and Properties of Alanine Dehydrogenase from Bacillus Sphaericus. Eur. J. Biochem. 1979, 100, 29–30. [Google Scholar] [CrossRef] [PubMed]
- Örlygsson, J.; Anderson, R.; Svensson, B.H. Alanine as an End Product during Fermentation of Monosaccharides byClostridium Strain P2. Antonie Van Leeuwenhoek 1995, 68, 273–280. [Google Scholar] [CrossRef]
- Yamamoto, S.; Gunji, W.; Suzuki, H.; Toda, H.; Suda, M.; Jojima, T.; Inui, M.; Yukawa, H. Overexpression of Genes Encoding Glycolytic Enzymes in Corynebacterium Glutamicum Enhances Glucose Metabolism and Alanine Production under Oxygen Deprivation Conditions. Appl. Environ. Microbiol. 2012, 78, 4447–4457. [Google Scholar] [CrossRef]
- Uhlenbusch, I.; Sahm, H.; Sprenger, G.A. Expression of an L-Alanine Dehydrogenase Gene in Zymomonas Mobilis and Excretion of L-Alanine. Appl. Environ. Microbiol. 1991, 57, 1360–1366. [Google Scholar] [CrossRef]
- Sharma, A.; Noda, M.; Sugiyama, M.; Kaur, B.; Ahmad, A. Metabolic Engineering of Pediococcus Acidilactici BD16 for Heterologous Expression of Synthetic alaD Gene Cassette and L-Alanine Production in the Recombinant Strain Using Fed-Batch Fermentation. Foods 2021, 10, 1964. [Google Scholar] [CrossRef]
- Nakae, T.; Elliott, J.A. Production of Volatile Fatty Acids by Some Lactic Acid Bacteria. II. Selective Formation of Volatile FattyAcids by Degradation of Amino Acids. J. Dairy Sci. 1965, 48, 293–299. [Google Scholar] [CrossRef] [PubMed]
- Cynober, L.; Boucher, J.L.; Vasson, M.-P. Arginine Metabolism in Mammals. J. Nutr. Biochem. 1995, 6, 402–413. [Google Scholar] [CrossRef]
- Morris, S.M. Enzymes of Arginine Metabolism. J. Nutr. 2004, 134, 2743S–2747S. [Google Scholar] [CrossRef] [PubMed]
- Del Rio, B.; Alvarez-Sieiro, P.; Redruello, B.; Martin, M.C.; Fernandez, M.; Ladero, V.; Alvarez, M.A. Lactobacillus Rossiae Strain Isolated from Sourdough Produces Putrescine from Arginine. Sci. Rep. 2018, 8, 3989. [Google Scholar] [CrossRef] [PubMed]
- Szlas, A.; Kurek, J.M.; Krejpcio, Z. The Potential of L-Arginine in Prevention and Treatment of Disturbed Carbohydrate and Lipid Metabolism—A Review. Nutrients 2022, 14, 961. [Google Scholar] [CrossRef] [PubMed]
- Blantz, R.C.; Satriano, J.; Gabbai, F.; Kelly, C. Biological Effects of Arginine Metabolites. Acta Physiol. Scand. 2000, 168, 21–25. [Google Scholar] [CrossRef] [PubMed]
- Flynn, N.E.; Meininger, C.J.; Haynes, T.E.; Wu, G. The Metabolic Basis of Arginine Nutrition and Pharmacotherapy. Biomed. Pharmacother. 2002, 56, 427–438. [Google Scholar] [CrossRef]
- Morris, S.M. Regulation of Enzymes of the Urea Cycle and Arginine Metabolism. Annu. Rev. Nutr. 2002, 22, 87–105. [Google Scholar] [CrossRef]
- Tapiero, H.; Mathé, G.; Couvreur, P.; Tew, K.D.I. Arginine. Biomed. Pharmacother. 2002, 56, 439–445. [Google Scholar] [CrossRef]
- Garlichs, C.D.; Beyer, J.; Zhang, H.; Schmeisser, A.; Plötze, K.; Mügge, A.; Schellong, S.; Daniel, W.G. Decreased Plasma Concentrations of l -Hydroxy-Arginine as a Marker of Reduced NO Formation in Patients with Combined Cardiovascular Risk Factors. J. Lab. Clin. Med. 2000, 135, 419–425. [Google Scholar] [CrossRef]
- Wu, G.; Morris, S.M., Jr. Arginine Metabolism: Nitric Oxide and Beyond. Biochem. J. 1998, 336, 1–17. [Google Scholar] [CrossRef] [PubMed]
- Devés, R.; Boyd, C.a.R. Transporters for Cationic Amino Acids in Animal Cells: Discovery, Structure, and Function. Physiol. Rev. 1998, 78, 487–545. [Google Scholar] [CrossRef] [PubMed]
- Böger, R.H.; Bode-Böger, S.M. The Clinical Pharmacology of L-Arginine. Annu. Rev. Pharmacol. Toxicol. 2001, 41, 79–99. [Google Scholar] [CrossRef]
- Schwedhelm, E.; Maas, R.; Freese, R.; Jung, D.; Lukacs, Z.; Jambrecina, A.; Spickler, W.; Schulze, F.; Böger, R.H. Pharmacokinetic and Pharmacodynamic Properties of Oral L-Citrulline and L-Arginine: Impact on Nitric Oxide Metabolism. Br. J. Clin. Pharmacol. 2008, 65, 51–59. [Google Scholar] [CrossRef] [PubMed]
- Nakaki, T.; Hishikawa, K. The arginine paradox. Nihon Yakurigaku Zasshi Folia Pharmacol. Jpn. 2002, 119, 7–14. [Google Scholar] [CrossRef] [PubMed]
- Li, C.; Huang, W.; Harris, M.B.; Goolsby, J.M.; Venema, R.C. Interaction of the Endothelial Nitric Oxide Synthase with the CAT-1 Arginine Transporter Enhances NO Release by a Mechanism Not Involving Arginine Transport. Biochem. J. 2005, 386, 567–574. [Google Scholar] [CrossRef] [PubMed]
- Shin, S.; Mohan, S.; Fung, H.-L. Intracellular L-Arginine Concentration Does Not Determine NO Production in Endothelial Cells: Implications on the “l-Arginine Paradox”. Biochem. Biophys. Res. Commun. 2011, 414, 660–663. [Google Scholar] [CrossRef]
- Aoyagi, K. Inhibition of Arginine Synthesis by Urea: A Mechanism for Arginine Deficiency in Renal Failure Which Leads to Increased Hydroxyl Radical Generation. In Guanidino Compounds in Biology and Medicine; Clark, J.F., Ed.; Springer: Boston, MA, USA, 2003; pp. 11–15. ISBN 978-1-4613-4985-3. [Google Scholar]
- Hwang, H.; Lee, J.-H. Characterization of Arginine Catabolism by Lactic Acid Bacteria Isolated from Kimchi. Molecules 2018, 23, 3049. [Google Scholar] [CrossRef]
- Mavon, A. Acetyl aspartic acid, a novel active ingredient, demonstrates potential to improve signs of skin ageing: From consumer need to clinical proof. Int. J. Cosmet. Sci. 2015, 37, 1–2. [Google Scholar] [CrossRef]
- Meng, H.; Zhang, X.; Chen, Q.; Wei, J.; Wang, Y.; Dong, A.; Yang, H.; Tan, T.; Cao, H. Preparation of Poly(Aspartic Acid) Superabsorbent Hydrogels by Solvent-Free Processes. J. Polym. Eng. 2015, 35, 647–655. [Google Scholar] [CrossRef]
- Yukawa, H.; Ookino, S.; Inui, M. L-Aspartic Acid, Production Processes. In Encyclopedia of Industrial Biotechnology; John Wiley & Sons, Ltd.: Hoboken, NJ, USA, 2010; pp. 1–3. ISBN 978-0-470-05458-1. [Google Scholar]
- Appleton, H.; Rosentrater, K.A. Sweet Dreams (Are Made of This): A Review and Perspectives on Aspartic Acid Production. Fermentation 2021, 7, 49. [Google Scholar] [CrossRef]
- Li, Y.; Wei, H.; Wang, T.; Xu, Q.; Zhang, C.; Fan, X.; Ma, Q.; Chen, N.; Xie, X. Current Status on Metabolic Engineering for the Production of L-Aspartate Family Amino Acids and Derivatives. Bioresour. Technol. 2017, 245, 1588–1602. [Google Scholar] [CrossRef] [PubMed]
- Zhang, R.; Wang, F.; Chu, W.; Fang, C.; Wang, H.; Hou, M.; Xiao, R.; Ji, G. Microbial Degradation of Typical Amino Acids and Its Impact on the Formation of Trihalomethanes, Haloacetonitriles and Haloacetamides during Chlor(Am)Ination. Water Res. 2019, 159, 55–64. [Google Scholar] [CrossRef] [PubMed]
- Li, D.; Hou, L.; Gao, Y.; Tian, Z.; Fan, B.; Wang, F.; Li, S. Recent Advances in Microbial Synthesis of Poly-γ-Glutamic Acid: A Review. Foods 2022, 11, 739. [Google Scholar] [CrossRef] [PubMed]
- Ashiuchi, M. Occurrence and Biosynthetic Mechanism of Poly-Gamma-Glutamic Acid. In Amino-Acid Homopolymers Occurring in Nature; Hamano, Y., Ed.; Microbiology Monographs; Springer: Berlin/Heidelberg, Germany, 2010; pp. 77–93. ISBN 978-3-642-12453-2. [Google Scholar]
- Candela, T.; Moya, M.; Haustant, M.; Fouet, A. Fusobacterium Nucleatum, the First Gram-Negative Bacterium Demonstrated to Produce Polyglutamate. Can. J. Microbiol. 2009, 55, 627–632. [Google Scholar] [CrossRef] [PubMed]
- Hezayen, F.F.; Rehm, B.H.; Tindall, B.J.; Steinbüchel, A. Transfer of Natrialba Asiatica B1T to Natrialba Taiwanensis Sp. Nov. and Description of Natrialba Aegyptiaca Sp. Nov., a Novel Extremely Halophilic, Aerobic, Non-Pigmented Member of the Archaea from Egypt That Produces Extracellular Poly (Glutamic Acid). Int. J. Syst. Evol. Microbiol. 2001, 51, 1133–1142. [Google Scholar] [CrossRef] [PubMed]
- Tamang, J.P.; Shin, D.-H.; Jung, S.-J.; Chae, S.-W. Functional Properties of Microorganisms in Fermented Foods. Front. Microbiol. 2016, 7, 578. [Google Scholar] [CrossRef] [PubMed]
- Hirasawa, T.; Shimizu, H. Glutamic Acid Fermentation: Discovery of Glutamic Acid-Producing Microorganisms, Analysis of the Production Mechanism, Metabolic Engineering, and Industrial Production Process. In Industrial Biotechnology; John Wiley & Sons, Ltd.: Hoboken, NJ, USA, 2017; pp. 339–360. ISBN 978-3-527-80783-3. [Google Scholar]
- Wakisaka, Y.; Segawa, T.; Imamura, K.; Sakiyama, T.; Nakanishi, K. Development of a Cylindrical Apparatus for Membrane-Surface Liquid Culture and Production of Kojic Acid Using Aspergillus Oryzae NRRL484. J. Ferment. Bioeng. 1998, 85, 488–494. [Google Scholar] [CrossRef]
- Nabe, K.; Ujimaru, T.; Izuo, N.; Yamada, S.; Chibata, I. Production of L-Glutamine by a Penicillin-Resistant Mutant of Flavobacterium Rigense. Appl. Environ. Microbiol. 1980, 40, 19–24. [Google Scholar] [CrossRef]
- Nakanishi, N. Indefinite-Metric Quantum Field Theory of General Relativity. Prog. Theor. Phys. 1978, 59, 972–985. [Google Scholar] [CrossRef]
- Warner, A.C.I. The breakdown of asparagine, glutamine, and other amides by microorganisms from sheep’s rumen. J. Biol. Sci. 1963, 17, 170–182. [Google Scholar] [CrossRef]
- Fung Kin Yuen, V.; Tan Zhi Jun, D.; Zhou, K. Improving Glycine Utilization in Escherichia Coli. Biochem. Eng. J. 2023, 193, 108834. [Google Scholar] [CrossRef]
- Wang, W.; Wu, Z.; Dai, Z.; Yang, Y.; Wang, J.; Wu, G. Glycine Metabolism in Animals and Humans: Implications for Nutrition and Health. Amino Acids 2013, 45, 463–477. [Google Scholar] [CrossRef] [PubMed]
- Xu, Y.; Ren, J.; Wang, W.; Zeng, A.-P. Improvement of Glycine Biosynthesis from One-Carbon Compounds and Ammonia Catalyzed by the Glycine Cleavage System in Vitro. Eng. Life Sci. 2022, 22, 40–53. [Google Scholar] [CrossRef] [PubMed]
- Mayneris-Perxachs, J.; Castells-Nobau, A.; Arnoriaga-Rodríguez, M.; Martin, M.; de la Vega-Correa, L.; Zapata, C.; Burokas, A.; Blasco, G.; Coll, C.; Escrichs, A.; et al. Microbiota Alterations in Proline Metabolism Impact Depression. Cell Metab. 2022, 34, 681–701. [Google Scholar] [CrossRef] [PubMed]
- Tanahashi, R.; Nishimura, A.; Nguyen, M.; Sitepu, I.; Fox, G.; Boundy-Mills, K.; Takagi, H. Large-Scale Screening of Yeast Strains That Can Utilize Proline. Biosci. Biotechnol. Biochem. 2023, 87, 358–362. [Google Scholar] [CrossRef]
- Vettore, L.A.; Westbrook, R.L.; Tennant, D.A. Proline Metabolism and Redox; Maintaining a Balance in Health and Disease. Amino Acids 2021, 53, 1779–1788. [Google Scholar] [CrossRef]
- Suh, J.-K.; Nejad, J.G.; Lee, Y.-S.; Kong, H.-S.; Lee, J.-S.; Lee, H.-G. Effects of L-Glutamine Supplementation on Degradation Rate and Rumen Fermentation Characteristics in Vitro. Anim. Biosci. 2022, 35, 422–433. [Google Scholar] [CrossRef]
- Erwin, E.S.; Marco, G.J.; Emery, E.M. Volatile Fatty Acid Analyses of Blood and Rumen Fluid by Gas Chromatography. J. Dairy Sci. 1961, 44, 1768–1771. [Google Scholar] [CrossRef]
- Holeček, M. Serine Metabolism in Health and Disease and as a Conditionally Essential Amino Acid. Nutrients 2022, 14, 1987. [Google Scholar] [CrossRef]
- Chen, Z.; Li, Q.; Zhou, P.; Li, B.; Zhao, Z. Transcriptome Sequencing Reveals Key Metabolic Pathways for the Synthesis of L-Serine from Glycerol and Glucose in Escherichia Coli. Biochem. Eng. J. 2023, 191, 108804. [Google Scholar] [CrossRef]
- Da, Y.-Y.; Liu, Z.-H.; Zhu, R.; Li, Z.-J. Coutilization of Glucose and Acetate for the Production of Pyruvate by Engineered Escherichia Coli. Biochem. Eng. J. 2021, 170, 107990. [Google Scholar] [CrossRef]
- Chaleewong, T.; Khunnonkwao, P.; Puchongkawarin, C.; Jantama, K. Kinetic Modeling of Succinate Production from Glucose and Xylose by Metabolically Engineered Escherichia Coli KJ12201. Biochem. Eng. J. 2022, 185, 108487. [Google Scholar] [CrossRef]
- Li, G.; Chen, Z.; Chen, N.; Xu, Q. Enhancing the Efficiency of L-Tyrosine by Repeated Batch Fermentation. Bioengineered 2020, 11, 852–861. [Google Scholar] [CrossRef] [PubMed]
- Huang, Q.; Zhu, C.; Liu, C.; Xie, F.; Zhu, K.; Hu, S. Gamma-Aminobutyric Acid Binds to GABAB Receptor to Inhibit Cholangiocarcinoma Cells Growth via the JAK/STAT3 Pathway. Dig. Dis. Sci. 2013, 58, 734–743. [Google Scholar] [CrossRef] [PubMed]
- Abdou, A.M.; Higashiguchi, S.; Horie, K.; Kim, M.; Hatta, H.; Yokogoshi, H. Relaxation and Immunity Enhancement Effects of γ-Aminobutyric Acid (GABA) Administration in Humans. BioFactors 2006, 26, 201–208. [Google Scholar] [CrossRef] [PubMed]
- Hayakawa, K.; Kimura, M.; Kasaha, K.; Matsumoto, K.; Sansawa, H.; Yamori, Y. Effect of a γ-Aminobutyric Acid-Enriched Dairy Product on the Blood Pressure of Spontaneously Hypertensive and Normotensive Wistar–Kyoto Rats. Br. J. Nutr. 2004, 92, 411–417. [Google Scholar] [CrossRef] [PubMed]
- Pouliot-Mathieu, K.; Gardner-Fortier, C.; Lemieux, S.; St-Gelais, D.; Champagne, C.P.; Vuillemard, J.-C. Effect of Cheese Containing Gamma-Aminobutyric Acid-Producing Lactic Acid Bacteria on Blood Pressure in Men. PharmaNutrition 2013, 1, 141–148. [Google Scholar] [CrossRef]
- Schuller, H.M.; Al-Wadei, H.A.N.; Majidi, M. Gamma-Aminobutyric Acid, a Potential Tumor Suppressor for Small Airway-Derived Lung Adenocarcinoma. Carcinogenesis 2008, 29, 1979–1985. [Google Scholar] [CrossRef]
- Adeghate, E.; Ponery, A.S. GABA in the Endocrine Pancreas: Cellular Localization and Function in Normal and Diabetic Rats. Tissue Cell 2002, 34, 1–6. [Google Scholar] [CrossRef]
- Dhakal, R.; Bajpai, V.K.; Baek, K.-H. Production of Gaba (γ-Aminobutyric Acid) by Microorganisms: A Review. Braz. J. Microbiol. 2012, 43, 1230–1241. [Google Scholar] [CrossRef] [PubMed]
- Wu, C.-H.; Hsueh, Y.-H.; Kuo, J.-M.; Liu, S.-J. Characterization of a Potential Probiotic Lactobacillus Brevis RK03 and Efficient Production of γ-Aminobutyric Acid in Batch Fermentation. Int. J. Mol. Sci. 2018, 19, 143. [Google Scholar] [CrossRef] [PubMed]
- Diana, M.; Quílez, J.; Rafecas, M. Gamma-Aminobutyric Acid as a Bioactive Compound in Foods: A Review. J. Funct. Foods 2014, 10, 407–420. [Google Scholar] [CrossRef]
- Liao, W.-C.; Wang, C.-Y.; Shyu, Y.-T.; Yu, R.-C.; Ho, K.-C. Influence of Preprocessing Methods and Fermentation of Adzuki Beans on γ-Aminobutyric Acid (GABA) Accumulation by Lactic Acid Bacteria. J. Funct. Foods 2013, 5, 1108–1115. [Google Scholar] [CrossRef]
- Zhao, M.; Ma, Y.; Wei, Z.; Yuan, W.; Li, Y.; Zhang, C.; Xue, X.; Zhou, H. Determination and Comparison of γ-Aminobutyric Acid (GABA) Content in Pu-Erh and Other Types of Chinese Tea. J. Agric. Food Chem. 2011, 59, 3641–3648. [Google Scholar] [CrossRef] [PubMed]
- Yang, N.-C.; Jhou, K.-Y.; Tseng, C.-Y. Antihypertensive Effect of Mulberry Leaf Aqueous Extract Containing γ-Aminobutyric Acid in Spontaneously Hypertensive Rats. Food Chem. 2012, 132, 1796–1801. [Google Scholar] [CrossRef]
- Zhong, Y.; Wu, S.; Chen, F.; He, M.; Lin, J. Isolation of High Γ-aminobutyric Acid-producing Lactic Acid Bacteria and Fermentation in Mulberry Leaf Powders. Exp. Ther. Med. 2019, 18, 147–153. [Google Scholar] [CrossRef] [PubMed]
- Rashmi, D.; Zanan, R.; John, S.; Khandagale, K.; Nadaf, A. Chapter 13—γ-Aminobutyric Acid (GABA): Biosynthesis, Role, Commercial Production, and Applications. In Studies in Natural Products Chemistry; Atta-ur-Rahman, Ed.; Elsevier: Amsterdam, The Netherlands, 2018; Volume 57, pp. 413–452. [Google Scholar]
- Sokovic Bajic, S.; Djokic, J.; Dinic, M.; Veljovic, K.; Golic, N.; Mihajlovic, S.; Tolinacki, M. GABA-Producing Natural Dairy Isolate From Artisanal Zlatar Cheese Attenuates Gut Inflammation and Strengthens Gut Epithelial Barrier in Vitro. Front. Microbiol. 2019, 10, 527. [Google Scholar] [CrossRef]
- Barrett, E.; Ross, R.P.; O’Toole, P.W.; Fitzgerald, G.F.; Stanton, C. γ-Aminobutyric Acid Production by Culturable Bacteria from the Human Intestine. J. Appl. Microbiol. 2012, 113, 411–417. [Google Scholar] [CrossRef]
- Kim, M.-J.; Kim, K.-S. Isolation and Identification of γ-Aminobutyric Acid (GABA)-Producing Lactic Acid Bacteria from Kimchi. J. Korean Soc. Appl. Biol. Chem. 2012, 55, 777–785. [Google Scholar] [CrossRef]
- Yokoyama, S.; Hiramatsu, J.; Hayakawa, K. Production of γ-Aminobutyric Acid from Alcohol Distillery Lees by Lactobacillus Brevis IFO-12005. J. Biosci. Bioeng. 2002, 93, 95–97. [Google Scholar] [CrossRef] [PubMed]
- Ko, C.Y.; Lin, H.-T.V.; Tsai, G.J. Gamma-Aminobutyric Acid Production in Black Soybean Milk by Lactobacillus Brevis FPA 3709 and the Antidepressant Effect of the Fermented Product on a Forced Swimming Rat Model. Process Biochem. 2013, 48, 559–568. [Google Scholar] [CrossRef]
- Han, S.-M.; Jeon, S.-J.; Lee, H.-B.; Lee, J.-S. Screening of γ-Aminobutyric Acid (GABA)-Producing Wild Yeasts and Their Microbiological Characteristics. Korean J. Mycol. 2016, 44, 87–93. [Google Scholar] [CrossRef]
- Zhang, Q.; Sun, Q.; Tan, X.; Zhang, S.; Zeng, L.; Tang, J.; Xiang, W. Characterization of γ-Aminobutyric Acid (GABA)-Producing Saccharomyces Cerevisiae and Coculture with Lactobacillus Plantarum for Mulberry Beverage Brewing. J. Biosci. Bioeng. 2020, 129, 447–453. [Google Scholar] [CrossRef]
- Yoshimura, M.; Toyoshi, T.; Sano, A.; Izumi, T.; Fujii, T.; Konishi, C.; Inai, S.; Matsukura, C.; Fukuda, N.; Ezura, H.; et al. Antihypertensive Effect of a γ-Aminobutyric Acid Rich Tomato Cultivar ‘DG03-9’ in Spontaneously Hypertensive Rats. J. Agric. Food Chem. 2010, 58, 615–619. [Google Scholar] [CrossRef] [PubMed]
- Ando, A.; Nakamura, T. Prevention of GABA Reduction during Dough Fermentation Using a Baker’s Yeast Dal81 Mutant. J. Biosci. Bioeng. 2016, 122, 441–445. [Google Scholar] [CrossRef] [PubMed]
- Aoki, H.; Uda, I.; Tagami, K.; Furya, Y.; Endo, Y.; Fujimoto, K. The Production of a New Tempeh-like Fermented Soybean Containing a High Level of γ-Aminobutyric Acid by Anaerobic Incubation with Rhizopus. Biosci. Biotechnol. Biochem. 2003, 67, 1018–1023. [Google Scholar] [CrossRef] [PubMed]
- Rai, A.K.; Pandey, A.; Sahoo, D. Biotechnological Potential of Yeasts in Functional Food Industry. Trends Food Sci. Technol. 2019, 83, 129–137. [Google Scholar] [CrossRef]
- Kim, D.-H.; Dasagrandhi, C.; Park, S.-K.; Eom, S.-H.; Huh, M.-K.; Mok, J.-S.; Kim, Y.-M. Optimization of Gamma-Aminobutyric Acid Production Using Sea Tangle Extract by Lactic Acid Bacterial Fermentation. Lwt 2018, 90, 636–642. [Google Scholar] [CrossRef]
- Kumar, S.; Punekar, N.S. The Metabolism of 4-Aminobutyrate (GABA) in Fungi. Mycol. Res. 1997, 101, 403–409. [Google Scholar] [CrossRef]
- Han, S.-M.; Lee, J.-S. Production and Its Anti-Hyperglycemic Effects of γ-Aminobutyric Acid from the Wild Yeast Strain Pichia Silvicola UL6-1 and Sporobolomyces Carnicolor 402-JB-1. Mycobiology 2017, 45, 199–203. [Google Scholar] [CrossRef] [PubMed]
- Perpetuini, G.; Tittarelli, F.; Battistelli, N.; Suzzi, G.; Tofalo, R. Γ-aminobutyric Acid Production by Kluyveromyces Marxianus Strains. J. Appl. Microbiol. 2020, 129, 1609–1619. [Google Scholar] [CrossRef] [PubMed]
- Coda, R.; Kärki, I.; Nordlund, E.; Heiniö, R.-L.; Poutanen, K.; Katina, K. Influence of Particle Size on Bioprocess Induced Changes on Technological Functionality of Wheat Bran. Food Microbiol. 2014, 37, 69–77. [Google Scholar] [CrossRef] [PubMed]
- Ohmori, T.; Tahara, M.; Ohshima, T. Mechanism of Gamma-Aminobutyric Acid (GABA) Production by a Lactic Acid Bacterium in Yogurt-Sake. Process Biochem. 2018, 74, 21–27. [Google Scholar] [CrossRef]
- Coda, R.; Rizzello, C.G.; Gobbetti, M. Use of Sourdough Fermentation and Pseudo-Cereals and Leguminous Flours for the Making of a Functional Bread Enriched of γ-Aminobutyric Acid (GABA). Int. J. Food Microbiol. 2010, 137, 236–245. [Google Scholar] [CrossRef] [PubMed]
- Sahab, N.R.M.; Subroto, E.; Balia, R.L.; Utama, G.L. γ-Aminobutyric Acid Found in Fermented Foods and Beverages: Current Trends. Heliyon 2020, 6, e05526. [Google Scholar] [CrossRef] [PubMed]
- Harnentis, H.; Nurmiati, N.; Marlida, Y.; Adzitey, F.; Huda, N. γ-Aminobutyric Acid Production by Selected Lactic Acid Bacteria Isolate of an Indonesian Indigenous Fermented Buffalo Milk (Dadih) Origin. Vet. World 2019, 12, 1352–1357. [Google Scholar] [CrossRef]
- Wu, Q.; Shah, N.P. Restoration of GABA Production Machinery in Lactobacillus Brevis by Accessible Carbohydrates, Anaerobiosis and Early Acidification. Food Microbiol. 2018, 69, 151–158. [Google Scholar] [CrossRef]
- Choi, J.; Hwang, C.; Do, H.; Kwon, G.; Kang, S. Anti-Oxidizing Functional Effect of Polyamine as a Bioconversion Starter Using Microbes Isolated from Fluke Babsikhae. J. Korean Soc. Appl. Biol. Chem. 2013, 56, 83–86. [Google Scholar] [CrossRef]
- Sahay, N.; Chaudhari, N.; Trivedi, R.; Patel, T.; Kommu, S. Spirulina the Super Food; Regulation of Foul-Fishy Smell. Acad. Lett. 2022, 2. [Google Scholar] [CrossRef]
- Kivirand, K.; Sõmerik, H.; Oldekop, M.-L.; Rebane, R.; Rinken, T. Effect of Spermidine and Its Metabolites on the Activity of Pea Seedlings Diamine Oxidase and the Problems of Biosensing of Biogenic Amines with This Enzyme. Enzyme Microb. Technol. 2016, 82, 133–137. [Google Scholar] [CrossRef] [PubMed]
- Glória, M.B.A.; Tavares-Neto, J.; Labanca, R.A.; Carvalho, M.S. Influence of Cultivar and Germination on Bioactive Amines in Soybeans (Glycine Max L. Merril). J. Agric. Food Chem. 2005, 53, 7480–7485. [Google Scholar] [CrossRef] [PubMed]
- Müller, D.; Oreste, E.; Heinemann, M.; Dias, D.; Kessler, F. Biogenic Amine Sensors and Its Building Materials: A Review. Eur. Polym. J. 2022, 175, 111221. [Google Scholar] [CrossRef]
- Wang, L.; Xin, S.; Zhang, C.; Ran, X.; Tang, H.; Cao, D. Development of a Novel Chromophore Reaction-Based Fluorescent Probe for Biogenic Amines Detection. J. Mater. Chem. B 2021, 9, 9383–9394. [Google Scholar] [CrossRef] [PubMed]
- Contarini, G.; Povolo, M.; Pelizzola, V.; Monti, L.; Bruni, A.; Passolungo, L.; Abeni, F.; Degano, L. Bovine Colostrum: Changes in Lipid Constituents in the First 5 Days after Parturition. J. Dairy Sci. 2014, 97, 5065–5072. [Google Scholar] [CrossRef]
- Laakso, P.; Manninen, P.; Mäkinen, J.; Kallio, H. Postparturition Changes in the Triacylglycerols of Cow Colostrum. Lipids 1996, 31, 937–943. [Google Scholar] [CrossRef]
- Sats, A.; Yurchenko, S.; Kaart, T.; Tatar, V.; Lutter, L.; Jõudu, I. Bovine Colostrum: Postpartum Changes in Fat Globule Size Distribution and Fatty Acid Profile. J. Dairy Sci. 2022, 105, 3846–3860. [Google Scholar] [CrossRef]
- Baum, S.J.; Kris-Etherton, P.M.; Willett, W.C.; Lichtenstein, A.H.; Rudel, L.L.; Maki, K.C.; Whelan, J.; Ramsden, C.E.; Block, R.C. Fatty Acids in Cardiovascular Health and Disease: A Comprehensive Update. J. Clin. Lipidol. 2012, 6, 216–234. [Google Scholar] [CrossRef]
- Palmquist, D.L.; Denise Beaulieu, A.; Barbano, D.M. Feed and Animal Factors Influencing Milk Fat Composition1. J. Dairy Sci. 1993, 76, 1753–1771. [Google Scholar] [CrossRef]
- Lynch, J.M.; Barbano, D.M.; Bauman, D.E.; Hartnell, G.F.; Nemeth, M.A. Effect of a Prolonged-Release Formulation of N-Methionyl Bovine Somatotropin (Sometribove) on Milk Fat1. J. Dairy Sci. 1992, 75, 1794–1809. [Google Scholar] [CrossRef]
- Vieira, C.P.; Álvares, T.S.; Gomes, L.S.; Torres, A.G.; Paschoalin, V.M.F.; Conte-Junior, C.A. Kefir Grains Change Fatty Acid Profile of Milk during Fermentation and Storage. PLoS ONE 2015, 10, e0139910. [Google Scholar] [CrossRef]
- Filannino, P.; Di Cagno, R.; Gobbetti, M. Metabolic and Functional Paths of Lactic Acid Bacteria in Plant Foods: Get out of the Labyrinth. Curr. Opin. Biotechnol. 2018, 49, 64–72. [Google Scholar] [CrossRef]
- Khubber, S.; Marti-Quijal, F.J.; Tomasevic, I.; Remize, F.; Barba, F.J. Lactic Acid Fermentation as a Useful Strategy to Recover Antimicrobial and Antioxidant Compounds from Food and By-Products. Curr. Opin. Food Sci. 2022, 43, 189–198. [Google Scholar] [CrossRef]
- Sharma, H.; Ozogul, F.; Bartkiene, E.; Rocha, J.M. Impact of Lactic Acid Bacteria and Their Metabolites on the Techno-Functional Properties and Health Benefits of Fermented Dairy Products. Crit. Rev. Food Sci. Nutr. 2023, 63, 4819–4841. [Google Scholar] [CrossRef]
- Kishino, S.; Ogawa, J.; Ando, A.; Yokozeki, K.; Shimizu, S. Microbial Production of Conjugated Gamma-Linolenic Acid from Gamma-Linolenic Acid by Lactobacillus Plantarum AKU 1009a. J. Appl. Microbiol. 2010, 108, 2012–2018. [Google Scholar] [CrossRef]

| BSC | pH | LAB Viable Counts, log10 CFU/mL |
|---|---|---|
| Non-fermented bovine colostrum samples | ||
| A | 6.41 ± 0.34 a,B | 7.89 ± 0.35 a,A |
| B | 6.22 ± 0.39 a,B | 8.01 ± 0.36 a,A |
| C | 6.32 ± 0.42 a,B | 8.04 ± 0.80 a,A |
| D | 6.32 ± 0.35 a,B | 7.92 ± 0.66 a,A |
| E | 6.25 ± 0.32 a,B | 7.92 ± 0.33 a,A |
| Overall mean | 6.30 ± 0.03 | 7.96 ± 0.03 |
| Fermented with LAB strain 135 bovine colostrum samples | ||
| A135 | 4.67 ± 0.28 a,A | 8.37 ± 0.57 a,A |
| B135 | 4.52 ± 0.35 a,A | 8.33 ± 0.27 a,A |
| C135 | 4.22 ± 0.31 a,A | 8.37 ± 0.28 a,A |
| D135 | 4.40 ± 0.37 a,A | 8.37 ± 0.79 a,A |
| E135 | 4.18 ± 0.32 a,A | 8.38 ± 0.39 a,A |
| Overall mean | 4.40 ± 0.09 | 8.36 ± 0.01 |
| Fermented with LAB strain 244 bovine colostrum samples | ||
| A244 | 4.61 ± 0.27 a,A | 8.31 ± 0.26 a,A |
| B244 | 4.58 ± 0.44 a,A | 8.29 ± 0.82 a,A |
| C244 | 4.35 ± 0.39 a,A | 8.34 ± 0.57 a,A |
| D244 | 4.21 ± 0.30 a,A | 8.33 ± 0.59 a,A |
| E244 | 4.10 ± 0.31 a,A | 8.26 ± 0.43 a,A |
| Overall mean | 4.37 ± 0.10 | 8.31 ± 0.01 |
Disclaimer/Publisher’s Note: The statements, opinions and data contained in all publications are solely those of the individual author(s) and contributor(s) and not of MDPI and/or the editor(s). MDPI and/or the editor(s) disclaim responsibility for any injury to people or property resulting from any ideas, methods, instructions or products referred to in the content. |
© 2023 by the authors. Licensee MDPI, Basel, Switzerland. This article is an open access article distributed under the terms and conditions of the Creative Commons Attribution (CC BY) license (https://creativecommons.org/licenses/by/4.0/).
Share and Cite
Starkutė, V.; Mockus, E.; Klupšaitė, D.; Zokaitytė, E.; Tušas, S.; Mišeikienė, R.; Stankevičius, R.; Rocha, J.M.; Bartkienė, E. RETRACTED: Ascertaining the Influence of Lacto-Fermentation on Changes in Bovine Colostrum Amino and Fatty Acid Profiles. Animals 2023, 13, 3154. https://doi.org/10.3390/ani13193154
Starkutė V, Mockus E, Klupšaitė D, Zokaitytė E, Tušas S, Mišeikienė R, Stankevičius R, Rocha JM, Bartkienė E. RETRACTED: Ascertaining the Influence of Lacto-Fermentation on Changes in Bovine Colostrum Amino and Fatty Acid Profiles. Animals. 2023; 13(19):3154. https://doi.org/10.3390/ani13193154
Chicago/Turabian StyleStarkutė, Vytautė, Ernestas Mockus, Dovilė Klupšaitė, Eglė Zokaitytė, Saulius Tušas, Ramutė Mišeikienė, Rolandas Stankevičius, João Miguel Rocha, and Elena Bartkienė. 2023. "RETRACTED: Ascertaining the Influence of Lacto-Fermentation on Changes in Bovine Colostrum Amino and Fatty Acid Profiles" Animals 13, no. 19: 3154. https://doi.org/10.3390/ani13193154
APA StyleStarkutė, V., Mockus, E., Klupšaitė, D., Zokaitytė, E., Tušas, S., Mišeikienė, R., Stankevičius, R., Rocha, J. M., & Bartkienė, E. (2023). RETRACTED: Ascertaining the Influence of Lacto-Fermentation on Changes in Bovine Colostrum Amino and Fatty Acid Profiles. Animals, 13(19), 3154. https://doi.org/10.3390/ani13193154

