Abstract
Microbial interactions play an important role in initial cell adhesion and the endurance of biofilm toward disinfectant stresses. The present study aimed to evaluate the effect of microbial interactions on biofilm formation and the disinfecting activity of an innovative photocatalytic surfactant based on TiO2 nanoparticles. Listeria monocytogenes, Salmonella Enteritidis, Escherichia coli, Leuconostoc spp., Latilactobacillus sakei, Serratia liquefaciens, Serratia proteomaculans, Citrobacter freundii, Hafnia alvei, Proteus vulgaris, Pseudomonas fragi, and Brochothrix thermosphacta left to form mono- or dual-species biofilms on stainless steel (SS) coupons. The effectiveness of the photocatalytic disinfectant after 2 h of exposure under UV light on biofilm decontamination was evaluated. The effect of one parameter i.e., exposure to UV or disinfectant, was also determined. According to the obtained results, the microbial load of a mature biofilm depended on the different species or dual species that had adhered to the surface, while the presence of other species could affect the biofilm population of a specific microbe (p < 0.05). The disinfectant strengthened the antimicrobial activity of UV, as, in most cases, the remaining biofilm population was below the detection limit of the method. Moreover, the presence of more than one species affected the resistance of the biofilm cells to UV and the disinfectant (p < 0.05). In conclusion, this study confirms that microbial interactions affected biofilm formation and decontamination, and it demonstrates the effectiveness of the surfactant with the photocatalytic TiO2 agent, suggesting that it could be an alternative agent with which to disinfect contaminated surfaces.
1. Introduction
The theory that microbes can adhere to a surface was proposed in the early 1930s [1,2]. The history of this phenomenon had been well reviewed earlier [3]. The formation of a biofilm, i.e., cells enclosed in an extracellular polymeric matrix, alters cellular metabolism and, subsequently, a cell’s phenotype [4,5,6,7,8,9]. Biofilms have been detected on various industrial and non-industrial surfaces, and their composition and structure are affected by the different microorganisms that comprise their community [4,10,11,12,13]. Data on microscopic observations presented in the late 1960s revealed that the stability of one microbe strengthens the stability of the other species within a biofilm [14]. Considering the ability of microbes to communicate and co-exist in an environment, researchers noted that microbial interactions led to the development of biofilm communities [6,15,16,17,18,19,20,21].
The formation of a biofilm is of high importance in food-related environments, as the transmission of microorganisms in food may cause foodborne illness or food losses [9,22,23,24]. Indeed, the removal of Escherichia coli, Listeria monocytogenes, Salmonella spp., and Campylobacter jejuni from the industry is crucial [25,26,27]. The concern in this regard is the effective removal of the persistent, i.e., the remaining, microbiota after cleaning/disinfection [8,28,29,30,31]. However, the presence of more than one remaining species must be considered, as single-culture biofilms have been found to be more sensitive to disinfectants including peracetic acid and benzalkonium chloride [32]. Nowadays, new strategies have been developed to prevent the colonization and inhibit the growth of microorganisms, including nanotechnology and the use of essential oils, anti-quorum compounds, enzymes, etc. [16,33]. From the perspective of nanotechnology, nanoparticles can exhibit antibiofilm activity because of their penetration through a matrix [34,35,36]. The food industry seems to prefer the use of titanium dioxide nanoparticles (TiO2) as disinfectants compared to other metal oxides [37,38]. So far, the results have highlighted the ability of these nanoparticles to inactivate various microorganisms [35,39,40,41,42]. The combined action of TiO2 with ultraviolet light (UV) has been shown previously [40,43,44]. Kim et al. [40] observed that UV irradiation increases the effects of nanoparticles on the survival of Listeria monocytogenes, Salmonella choleraesuis, and Vibrio parahaemolyticus planktonic cells, and these effects were dependent on the time of UV exposure.
To date, limited information has been provided in the literature regarding the effectiveness of this technology in more realistic environments where microbial interactions can occur. Thus, the aim of this study was to investigate the impact of microbial interactions on biofilm formation and the resistance of biofilm cells to an innovative photocatalytic surfactant based on TiO2 nanoparticles. Thus, various foodborne pathogens (e.g., Listeria monocytogenes, Salmonella enterica, and Escherichia coli) and food spoilage bacteria (e.g., Pseudomonas fragi, Enterobacteriaceae, Brochotrix thermosphacta, Leuconostoc spp., and Latilactobacillus sakei) were left to form mature biofilms (mono- or dual-species biofilms). These species/strains were selected as representative species that may pose threats of foodborne outbreaks or the spoilage of foods, while the inquiry into their combination was intended to better simulate the environment wherein a pathogen co-exists with other microorganisms. The impact of pathogen–pathogen and pathogen–spoilage bacteria interactions on biofilm formation and resistance to three disinfection strategies, namely, exposure to ultraviolet, an innovative surfactant based on TiO2 nanoparticles, and their combination (the photocatalytic application of the surfactant), was examined through a multifactorial experiment incorporating 196 cases (49 microbial combinations × 4 treatments, including a control). This experimental procedure was designed to obtain better insights into the adaptability of food-related microorganisms in industrial environment surfaces and their resistance to disinfectants in vitro, which, hopefully, will provide important data regarding biofilm disinfection within food-processing environments.
2. Materials and Methods
2.1. Bacterial Strains and Inocula Preparation
The bacterial strains used in the present study to create mono-species and dual-species biofilms have been deposited in the Food Microbiology Culture Collection (FMCC) of the Laboratory of Microbiology and Biotechnology of Foods at the Agricultural University of Athens. Each strain and source of isolation are listed in Table 1. All strains were stored at −80 °C in Tryptic Soy Broth (TSB) (LABM, Bury, UK) containing 20% (v/v) glycerol (APPLICHEM, Darmstadt, Germany) until further use.
Table 1.
Pathogenic and spoilage bacterial strains used in the present study.
Prior to each experiment, the cultures were activated by adding 10 μL stock culture (−80 °C) to 5 mL of TSB and incubated at temperatures, namely, 25 °C (Brochothrix thermosphacta and Pseudomonas fragi), 30 °C (Leuconostoc spp. and Latilactobacillus sakei), and 37 °C (L. monocytogenes, S. Enteritidis, E. coli, Serratia liquefaciens, Serratia proteomaculans, Citrobacter freundii, Hafnia alvei, and Proteus vulgaris), specifically applied for each groups of microorganisms (pre-culture). After 24 h, 10 μL of each pre-culture was transferred to 10 mL of TSB and incubated under the same conditions for 24 h, 18 h, or 16 h depending on the microorganism (Pseudomonas, lactic acid bacteria, and Br. thermosphacta or Enterobacteriaceae, or pathogens, respectively) in order to prepare the active cultures. To remove any residue of the growth medium, the active culture was centrifuged at 5000× g at 4 °C for 10 min (Thermo Fisher Scientific, Waltham, MA, USA). For the single-strain inocula, the cells were washed twice with 10 mL of ¼ strength Ringer solution and finally resuspended in ¼ strength Ringer solution so that they could be used as inocula for the biofilm development assays. To obtain mixed-strain inocula after the end of the second centrifugation procedure, the cells of different strains of each microorganism were mixed. Finally, successive decimal dilutions were made in ¼ strength Ringer sterile solution to create the final mixed-strain-cultured inocula (106 cfu/mL final population).
2.2. Biofilm Formation on Stainless-Steel Surface
Attachment of inocula on stainless-steel (SS) coupons (3 × 1 × 0.1 cm) was performed at 15 °C for 3 h after inoculation of bacterial suspensions on 4.5 mL ¼ strength Ringer’s solution (in the case of mono-species cultures) or 4 mL of ¼ strength Ringer’s solution (in the case of mixed-species cultures) according to the method reported by Giaouris et al. [48]. After this step, SS coupons were aseptically transferred into tubes containing 5 mL ¼ strength Ringer’s solution and shaken manually for a few seconds to remove the cells that were loosely attached on SS surface. Finally, the SS coupons were immersed in 5 mL of TSB medium and left to form biofilms at 20 °C for 6 days, for which the medium was renewed after every 48 h.
2.3. Disinfection of Stainless-Steel Surface
A ready-to-use titanium-dioxide (TiO2)-nanoparticle-based surfactant (Moulas Scientific, Attica, Greece) was used as a disinfectant of the SS coupons. According to the manufacturer, TiO2 powder was mixed with acetone (<1%), water, and Triton X-100 (2 drops) under continuous stirring to prepare a final solution of 59.58% (w/v) (according to the method reported by Tsoukleris et al. [49]). For disinfection procedure, each coupon was rinsed with 5 mL of sterile ¼ strength Ringer solution on each side in order to remove the cells that were loosely attached on SS surface (according to the method reported by Giaouris et al. [48]) and placed into a sterile petri dish. Prior to the application of UV irradiation, a volume of 500 μL TiO2 solution was spread with the use of a pipette on SS coupons’ surface. After 2 h of exposure to UV, the SS coupons were inverted, and the same procedure was followed to disinfect the other side of the SS coupon. In the case of control samples, the biofilm population of each microbial combination was estimated after removing the loosely attached cells [48] without any further treatment. Additionally, UV-treated samples, i.e., SS coupons exposed to UV treatment without the addition of TiO2 solution, and TiO2-treated samples, i.e., the coupons treated with TiO2 without exposure to UV, were also included in this study.
2.4. Quantitation of Viable Biofilm Cells Using the Bead-Vortexing Method
Determination of biofilm populations formed on the surface of SS coupons was performed before (control samples) and after disinfection according to the bead-votexing method [50,51]. The media PALCAM Agar (Palcam, Biokar Diagnostics, Allonne, France, with selective supplement BS00408); TBX (OXOID, Hampshire, UK); Xylose Lysine Deoxycholate (XLD, Oxoid); Streptomycin Thallous Acetate-Actidione Agar (STAA, Biolife, Milano, Italy); VRBGA (VRBGA, OXOID, Hampshire, UK); De Man, Rogosa, and Sharpe agar (MRS ISO, LABM, Bury, UK); and Pseudomonas Agar Base with selective supplement (PAB, Biolife, Milano, Italy) were used for the enumeration of L. monocytogenes, E. coli, S. enteritidis, Br. thermosphacta, Enterobacteriaceae, lactic acid bacteria (LAB), and Ps. fragi, respectively. The selectivity of the used growth media was examined via inoculation of the bacterial species tested in this study. The results were expressed (log CFU/cm2 ± SD) as mean values of the six replicates (at least), which were performed per case.
2.5. Statistical Analysis and Data Visualization
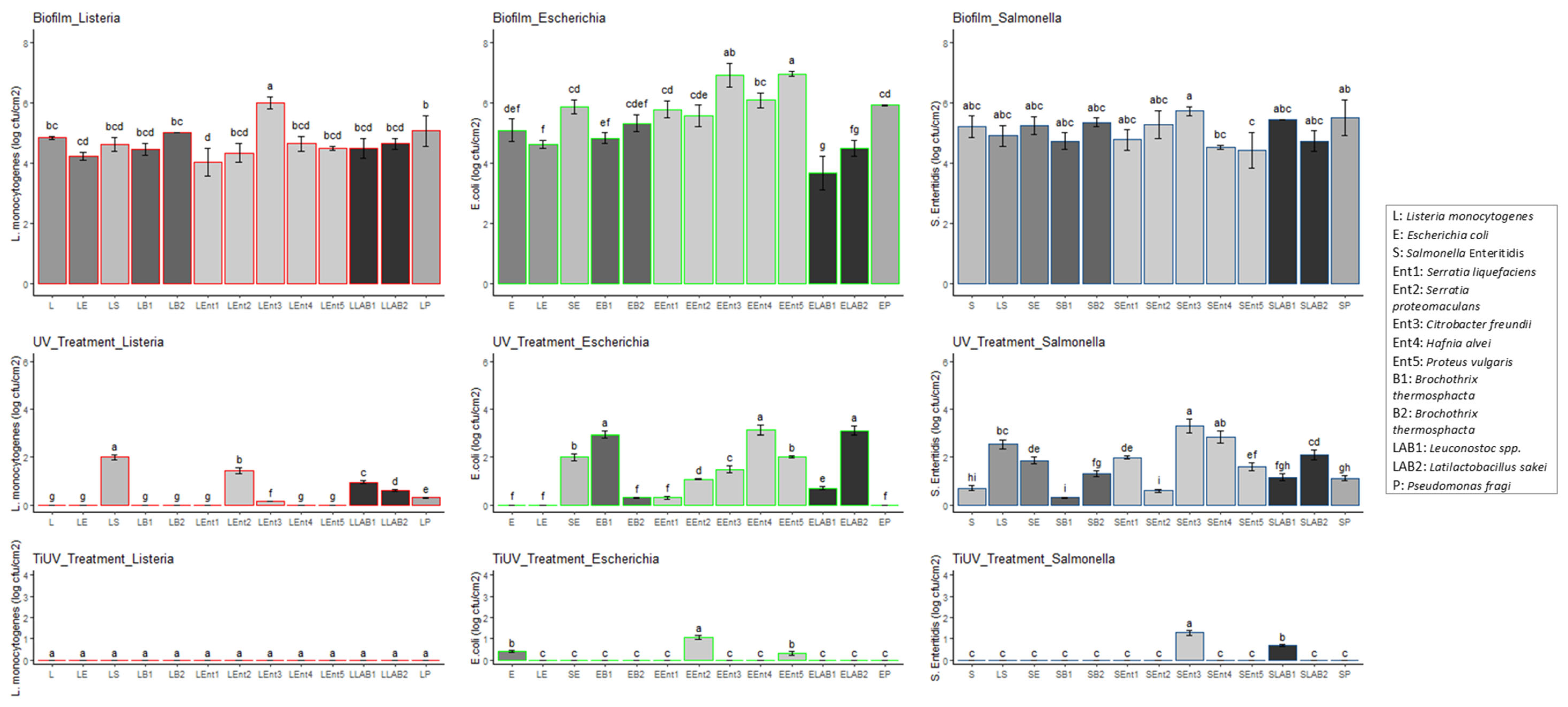
A total of 196 different cases were tested in this study by means of the exposure of 49 microbial combinations to 4 treatments (including a control). One- and two-way ANOVA tests were performed to estimate the significant differences (p < 0.05) between the populations of the different microbes under mono- and dual-species biofilms of each tested condition i.e., biofilm formation (Biofilm), exposure to TiO2-nanoparticle-based surfactant (TiO2 for 2 h—TiO2_Treatment), exposure to UV for 2 h (UV_Treatment), or exposure to the photocatalytic TiO2-nanoparticle-based surfactant (TiO2 plus UV for 2 h—TiUV_Treatment). The packages ggplot2, ggpubr, tidyverse, broom, AICcmodavg, and multcompView of R studio (2021.09.2 + 382) were used for the statistical analysis and visualization of the results. The significant differences between the population of each pathogen or spoilage microbial species under mono-species culturing and in different microbial combinations, i.e., dual-species cultures based on the specified tested condition (Biofilm, UV_Treatment, or TiUV_Treatment), were estimated and represented by different letters (i.e., a, b, c, d, e, f, g, h, and i) in Figure 1, Figure 2 and Figure 3.
Figure 1.
Dual-strain and dual-species biofilm populations (log cfu/cm2) of Listeria monocytogenes (Red), Escherichia coli (Green), and Salmonella Enteritidis (Βlue) without treatment (Biofilm) (Control), after exposure to UV for 2 h (UV_Treatment) and to the photocatalytic TiO2-nanoparticle-based surfactant (TiO2 plus UV for 2 h—TiUV_Treatment). The error bars represent the standard deviation of six replicates. The different letters (i.e., a, b, c, d, e, f, g, h, and i) represent the significant differences (p < 0.05) between the population of each pathogen under mono-species culture and different microbial combination cultures (dual-species) based on the specified tested condition (Biofilm or UV_Treatment or TiUV_Treatment).
Figure 2.
Mono- and dual-species biofilm populations (log cfu/cm2) of Brochothrix thermosphacta (purple), lactic acid bacteria (LAB) (coral), and Pseudomonas fragi (olivegreen) without treatment (Biofilm) (Control), after exposure to UV for 2 h (UV_Treatment) and to the photocatalytic TiO2-nanoparticle-based surfactant (TiO2 plus UV for 2 h—TiUV_Treatment). The error bars represent the standard deviation of six replicates. The different letters (i.e., a, b, c, and d) represent the significant differences (p < 0.05) between the population of each species under mono-species culture and different microbial combination cultures (dual-species) based on the specified tested condition (Biofilm or UV_Treatment or TiUV_Treatment).
Figure 3.
Mono- and dual-species biofilm populations (log cfu/cm2) of Enterobacteriaceae without treatment (Biofilm) (Control), after exposure to UV for 2 h (UV_Treatment) and to the photocatalytic TiO2-nanoparticle-based surfactant (TiO2 plus UV for 2 h—TiUV_Treatment). The error bars represent the standard deviation of six replicates. The different letters (i.e., a, b, c, d, e, f, and g) represent the significant differences (p < 0.05) between the population of each microbe under mono-species culture and different microbial combination cultures (dual-species) based on the specified tested condition (Biofilm or UV_Treatment or TiUV_Treatment).
3. Results and Discussion
The presence of microorganisms on food-processing surfaces and environments poses the risk of the contamination of products, which may lead to reductions in the shelf-life of products, food losses, and the presence of spoilage and/or pathogenic microorganisms in food [52,53]. It has been reported that different factors alone or synergistically affect the adherence of cells to and the formation of biofilms on a surface, including the surfaces’ material, the temperature, the availability of nutrients, and the presence of other microbial species [8,54,55,56,57,58]. The ability of microorganisms to form biofilms in these environments and the difficulties that may arise in removing these communities from industrial surfaces [27,59] are of great importance for the food industry. In the present study, the influence of the microbial interactions of pathogenic and spoilage bacteria on the population of biofilms and their decontamination by an innovative, TiO2-nanoparticle-based surfactant was evaluated. The species examined in this study (Table 1) were chosen as they represent commonly detected pathogenic and spoilage bacteria in industrial food ecosystems. These microbial species were left to form mature biofilms (6 days) on stainless-steel surfaces at 20 °C to better stimulate the conditions in an industrial environment, especially in cases where a surface is not properly disinfected. The occurrence of the latter concern can be attributed to the difficulty of reaching several spots with the disinfection procedure applied and the presence of scratches, fissures, and angles that enable the trapping of microorganisms [60].
Figure 1, Figure 2 and Figure 3 illustrate that all the microorganisms were able to form mature biofilms under mono- or dual-species conditions. Numerous studies have been conducted to describe the ability of pathogenic microorganisms, including L. monocytogenes, E. coli, and Salmonella, to adhere to food-processing surfaces [54,61,62,63,64,65,66,67]. According to the present study, the biofilm population enumerated on stainless steel surfaces was dependent on the strain or species left to form the biofilm on mono-species or dual species biofilm (p < 0.05). In Figure 1, it is shown that the L. monocytogenes dual-strain biofilm population was affected by the presence of Serratia liquefaciens and Citrobacter freundii. In the case of the E. coli biofilm, the presence of most of the Enterobacteriaceae and both strains of LAB was observed to affect the E. coli population (p < 0.05). The influence of the pathogens on the formation of biofilms by the rest of the tested microorganisms was also shown in this study. In brief, L. monocytogenes affected the biofilm population of Br. thermosphacta strain B-434, Ltb. sakei, and Ser. liquefaciens. Similarly, E. coli influenced the biofilm cell density of Br. thermosphacta strains. Moreover, the Br. thermosphacta B-434, Ltb. sakei, Ps. fragi, Serratia species, and Proteus vulgaris biofilm populations were affected by the presence of Salmonella Enteritidis. Interestingly enough, the biofilm population of Salmonella Enteritidis was not affected by the presence of other species (Figure 1). Similar results have been previously reported regarding the inability of Listeria to affect the biofilm population of Salmonella and vice versa [50], and no cause of bulk environmental samples on Salmonella biofilm cells [68]. The observation that microbial interactions may affect (increase or reduce) or fail to affect the biofilm formation of a specific microorganism has been reported previously [32,33,69,70,71,72,73,74]. Moreover, the role of microbial interactions in biofilms formed by food-related microorganisms has been shown [75,76,77,78]. Particularly, the biofilm cells of those pathogenic species were found to be reduced by the presence of Lactococcus lactis, Ltb. sakei, and Latilactobacillus curvatus [79], while Lactococcus lactis or Flavobacterium spp. affected the adhesion ability of L. monocytogenes [69,70]. In a recent study, a pseudomonads population was found to increase the cell density of Listeria biofilms [80], while the biofilm cell density of various Pseudomonas strains was increased when co-cultured with E. coli and differentially affected by the presence of Salmonella Typhimurium [81]. Furthermore, Habimana et al. [82] found that the presence of Acinetobacter calcoaceticus enhanced the biofilm capacity of E. coli. The observed inability of H. alvei to affect the biofilm formation of Salmonella has been reported previously [83].
Regarding the disinfection procedure, the resistance to all different disinfection treatments was dependent on the different tested microbial combinations (p < 0.05). The disinfection of biofilms with TiO2 for 2 h did not reduce the biofilm populations significantly (below the detection limit of the method); however, the remaining population was affected by the microbial combinations in most of the cases. On the contrary, exposure to UV reduced the populations of the biofilm cells in most cases, reducing such populations below the detection limit of the method in some cases. Moreover, the use of the disinfectant strengthened the antimicrobial activity of UV irradiation (Figure 1, Figure 2 and Figure 3). In brief, the exposure of biofilm communities for 2 h to TiO2 and UV was found to be an effective decontamination procedure in most cases (Figure 1 and Figure 3). The effectiveness of the use of TiO2 nanoparticles for microbial inactivation has also been previously reported [37,39,40,41,42,84,85,86,87,88,89,90,91,92,93]. The results of the present work complement the observations of a previous research study wherein the combined use of UV irradiation with TiO2 nanoparticles was found to be a promising procedure for the decontamination of biofilms formed by Listeria [84], as various pathogenic and spoilage bacteria were tested. It seems that the examined photocatalytic TiO2-nanoparticle-based surfactant could be a promising disinfectant with which to ensure not only food safety but also food quality by preventing its contamination by spoilage bacteria. It must be noted that the decontamination activity of the examined surfactant could be attributed to the photocatalysis of TiO2, as the exposure only to TiO2 for 2 h did not reduce the biofilm populations significantly. In addition, it could be hypothesized that the low concentration of the rest of the ingredients of the surfactant, i.e., acetone and Triton X-100, was not able to present or presented only weak antibacterial activity. The weak antimicrobial activity of the latter toward Bacillus and Escherichia has been observed before [94].
The increased resistance of species to different disinfectants as a result of the presence of other microorganisms [32,48,50,95,96,97] has to be taken into account. In the present study, the presence of Salmonella Enteritidis, Serratia proteomaculans, C. freundii, Leuconostoc spp., Ltb. sakei, and Ps. fragi was found to increase the resistance of Listeria biofilm cells to UV disinfection for 2 h, but none of the microbial combinations were found to affect the resistance of Listeria biofilm cells to exposure to TiO2 and UV for 2 h (Figure 1). A higher sensitivity of the single-species biofilms of the L. monocytogenes and L. plantarum cultures to disinfectants compared to the dual-species biofilm was mentioned before [32]. In another study, the resistance of L. monocytogenes to benzalkonium chloride was not affected by the presence of Pseudomonas putida cells [48]. In this study, the effect of microbial interactions on the resistance to the UV treatment (p < 0.05) of the E. coli biofilm was more obvious than on the effect induced by TiO2 and UV exposure for 2 h (p < 0.05). Moreover, the resistance of the Salmonella biofilm cells to UV treatment was affected by the presence of most of the tested species, while resistance to TiO2 and UV exposure for 2 h was affected by two species (C. freundii and Leuconostoc spp.) (Figure 1). In contrast to these results, the Listeria–Salmonella interactions did not influence the antimicrobial resistance of either species [50]. In Figure 2 and Figure 3, the effects of L. monocytogenes on the resistance of Br. thermosphacta strain B-432, Ltb. sakei, H. alvei, and Proteus vulgaris to UV exposure are shown. In brief, L. monocytogenes was found to increase the resistance of these microorganisms to UV exposure, although no significant differences were observed regarding the resistance of the rest of the tested microorganisms influenced by the presence of Listeria cells (Figure 2 and Figure 3). In a previous study, an increased level of resistance of Ps. putida to benzalkonium chloride was observed in a dual-species biofilm with L. monocytogenes [48]; however, the increased resistance Ps. fragi cells to different treatments in a dual-species biofilm was not observed in this study (Figure 2). In addition, E. coli influenced the resistance of Br. thermosphacta strain B-432, Ser. liquefaciens, Ser. proteomaculans, C. freundii, and H. alvei to UV exposure (Figure 2 and Figure 3). Similarly, an increased level of resistance of LAB and all spoilage Enterobacteriaceae to UV treatment was observed in the dual-species biofilm with Salmonella (Figure 2 and Figure 3). No biofilm cells of Brochothrix, LAB, Ps. fragi, or Enterobacteriaceae were enumerated after the single-species communities’ exposure to TiO2 and UV for 2 h (Figure 2 and Figure 3). Similarly, the presence of the three pathogens did not affect the resistance of Brochothrix, LAB, or Ps. fragi to TiO2 and UV after 2 h of exposure (Figure 2). However, L. monocytogenes was found to increase the resistance of C. freundii and H. alvei to exposure to TiO2 and UV for 2 h (Figure 3). Interestingly enough, Salmonella also increased the resistance of two strains, namely, C. freundii and H. alvei, to TiO2 and UV for the 2 h treatment (Figure 3). Moreover, the presence of E. coli cells was found to affect the resistance of Ser. Proteomaculans, H. alvei, and Proteus vulgaris to the TiO2 and UV treatments (Figure 3). In another study, the sensitivity of Proteus vulgaris, E. coli, and Pseudomonas aeruginosa, Streptococcus pneumonia, and Staphylococcus aureus to synthetic TiO2 nanoparticles was estimated [98]. The observation made by Fu et al. [99], wherein the sensitivity of Gram-positive microorganisms to exposure to TiO2 is more pronounced than in Gram-negative ones, was also confirmed in this study, as biofilm populations were only enumerated for Enterobacteriaceae members (pathogenic or non-pathogenic species) after treatment with TiO2 and UV for 2 h (Figure 1, Figure 2 and Figure 3). However, opposite results were reported in a recent study, wherein the antibiofilm activity of green-synthesized TiO2 nanoparticles was found to be more effective in C. freundii than in Streptococcus cells [100]. Moreover, the higher resistance of Listeria planktonic cells to a TiO2 photocatalyst compared to Salmonella cells [40] was not confirmed in this research.
4. Conclusions
From all the above, it seems that microbial species prefer to gather together on a surface than be found free in a natural environment. Moreover, it was highlighted once again that the presence of more than one species affected both cells’ biofilm formation ability and their resistance to ultraviolet radiation and a disinfectant. This information is of great importance, as mixed communities are present in the environment. In addition, the observation that the UV treatment was insufficient in terms of sanitizing the surfaces where a mature biofilm had been formed by pathogens, especially in mixed communities, must be taken into account. However, in this study, it was shown that the examined agent, i.e., the photocatalytic TiO2-nanoparticle-based surfactant, enhanced the effectiveness of UV with respect to the disinfection of biofilms formed by various microorganisms, suggesting that this could represent an alternative way of disinfecting contaminated surfaces. Further studies are needed to explore this phenomenon in depth (including gene expression studies, an analysis including real food or the food industry, etc.) as these results present an intriguing case that may provide powerful solutions regarding biofilm disinfection within food-processing environments.
Author Contributions
Conceptualization, A.I.D.; Methodology, A.I.D.; Validation, A.I.D.; Formal Analysis, A.I.D.; Investigation, A.I.D. and C.S.K.; Resources, A.I.D., G.-J.E.N., G.M. and N.C.; Data Curation, A.I.D.; Writing—Original Draft Preparation, A.I.D.; Writing—Review and Editing, A.I.D., C.S.K., G.-J.E.N., A.A.A., C.C.T. and N.C.; Visualization, A.I.D.; Supervision, A.I.D., G.-J.E.N. and N.C.; Project Administration, A.I.D.; Funding Acquisition, A.I.D., G.M. and N.C. All authors have read and agreed to the published version of the manuscript.
Funding
This research has been co-financed by the European Union and Greek national funds through the Operational Program Competitiveness, Entrepreneurship and Innovation, under the call RESEARCH-CREATE-INNOVATE (project code: T1EDK-03446).
Institutional Review Board Statement
Not applicable.
Data Availability Statement
Data is contained within the article.
Conflicts of Interest
The authors declare no conflict of interest.
References
- Henrici, A.T. Studies of Freshwater Bacteria. J. Bacteriol. 1933, 25, 277–287. [Google Scholar] [CrossRef]
- Zobell, C.E.; Allen, E.C. The Significance of Marine Bacteria in the Fouling of Submerged Surfaces. J. Bacteriol. 1935, 29, 239–251. [Google Scholar] [CrossRef] [PubMed]
- Høiby, N. A Short History of Microbial Biofilms and Biofilm Infections. APMIS 2017, 125, 272–275. [Google Scholar] [CrossRef]
- Donlan, R.M.; Costerton, J.W. Biofilms: Survival Mechanisms of Clinically Relevant Microorganisms. Clin. Microbiol. Rev. 2002, 15, 167–193. [Google Scholar] [CrossRef] [PubMed]
- Sauer, K.; Rickard, A.; Davies, D. Biofilms and Biocomplexity. Microbe Wash. DC 2007, 2, 347–353. [Google Scholar] [CrossRef]
- Subramani, R.; Jayaprakashvel, M. Bacterial Quorum Sensing: Biofilm Formation, Survival Behaviour and Antibiotic Resistance. In Implication of Quorum Sensing and Biofilm Formation in Medicine, Agriculture and Food Industry; Bramhachari, P.V., Ed.; Springer: Singapore, 2019; pp. 21–37. [Google Scholar] [CrossRef]
- Costerton, J.W.; Irvin, R.T.; Cheng, K.J. The Role of Bacterial Surface Structures in Pathogenesis. Crit. Rev. Microbiol. 1981, 8, 303–338. [Google Scholar] [CrossRef] [PubMed]
- Costerton, J.W.; Cheng, K.J.; Geesey, G.G.; Ladd, T.I.; Nickel, J.C.; Dasgupta, M.; Marrie, T.J. Bacterial Biofilms in Nature and Disease. Annu. Rev. Microbiol. 1987, 41, 435–464. [Google Scholar] [CrossRef]
- McEldowney, S.; Fletcher, M. Bacterial Desorption from Food Container and Food Processing Surfaces. Microb. Ecol. 1988, 15, 229–237. [Google Scholar] [CrossRef]
- James, G.A.; Beaudette, L.; Costerton, J.W. Interspecies Bacterial Interactions in Biofilms. J. Ind. Microbiol. 1995, 15, 257–262. [Google Scholar] [CrossRef]
- Azeredo, J.; Azevedo, N.F.; Briandet, R.; Cerca, N.; Coenye, T.; Costa, A.R.; Desvaux, M.; Di Bonaventura, G.; Hébraud, M.; Jaglic, Z.; et al. Critical Review on Biofilm Methods. Crit. Rev. Microbiol. 2017, 43, 313–351. [Google Scholar] [CrossRef]
- Fletcher, M. Adherence of Marine Micro-Organisms to Smooth Surfaces. In Bacterial Adherence; Beachey, E.H., Ed.; Receptors and Recognition; Springer: Dordrecht, The Netherlands, 1980; pp. 345–374. [Google Scholar] [CrossRef]
- Costerton, J.W.; Gessey, G.G. Microbial Contamination of Surfaces. In Surface Contamination: Genesis, Detection, and Control; Mittal, K.L., Ed.; Springer: Boston, MA, USA, 1979; pp. 211–221. [Google Scholar] [CrossRef]
- Jones, H.C.; Roth, I.L.; Sanders, W.M. Electron Microscopic Study of a Slime Layer. J. Bacteriol. 1969, 99, 316–325. [Google Scholar] [CrossRef]
- Bassler, B.L. How Bacteria Talk to Each Other: Regulation of Gene Expression by Quorum Sensing. Curr. Opin. Microbiol. 1999, 2, 582–587. [Google Scholar] [CrossRef]
- Falà, A.K.; Álvarez-Ordóñez, A.; Filloux, A.; Gahan, C.G.M.; Cotter, P.D. Quorum Sensing in Human Gut and Food Microbiomes: Significance and Potential for Therapeutic Targeting. Front. Microbiol. 2022, 13, 4389. [Google Scholar] [CrossRef]
- Giaouris, E.; Chorianopoulos, N.; Skandamis, P.; Nychas, G.J. Attachment and Biofilm Formation by Salmonella in Food Processing Environments. In Salmonella: A Dangerous Foodborne Pathogen; BoD–Books on Demand: London, UK, 2012. [Google Scholar] [CrossRef]
- Dalton, H.M.; Goodman, A.E.; Marshall, K.C. Diversity in Surface Colonization Behavior in Marine Bacteria. J. Ind. Microbiol. Biotechnol. 1996, 17, 228–234. [Google Scholar] [CrossRef]
- Shapiro, J.A.; Hsu, C. Escherichia Coli K-12 Cell-Cell Interactions Seen by Time-Lapse Video. J. Bacteriol. 1989, 171, 5963–5974. [Google Scholar] [CrossRef] [PubMed]
- Swift, S.; Bainton, N.J.; Winson, M.K. Gram-Negative Bacterial Communication by N-Acyl Homoserine Lactones: A Universal Language? Trends Microbiol. 1994, 2, 193–198. [Google Scholar] [CrossRef]
- Marshall, K.C.; Alexander, M. Competition between Soil Bacteria and Fusarium. Plant Soil 1960, 12, 143–153. [Google Scholar] [CrossRef]
- Barnes, L.-M.; Lo, M.F.; Adams, M.R.; Chamberlain, A.H.L. Effect of Milk Proteins on Adhesion of Bacteria to Stainless Steel Surfaces. Appl. Environ. Microbiol. 1999, 65, 4543–4548. [Google Scholar] [CrossRef] [PubMed]
- Kusumaningrum, H.D.; Riboldi, G.; Hazeleger, W.C.; Beumer, R.R. Survival of Foodborne Pathogens on Stainless Steel Surfaces and Cross-Contamination to Foods. Int. J. Food Microbiol. 2003, 85, 227–236. [Google Scholar] [CrossRef] [PubMed]
- Giaouris, E.; Chorianopoulos, N.; Nychas, G.-J.E. Effect of Temperature, PH, and Water Activity on Biofilm Formation by Salmonella enterica Enteritidis PT4 on Stainless Steel Surfaces as Indicated by the Bead Vortexing Method and Conductance Measurements. J. Food Prot. 2005, 68, 2149–2154. [Google Scholar] [CrossRef]
- Brandl, M.T. Fitness of Human Enteric Pathogens on Plants and Implications for Food Safety. Annu. Rev. Phytopathol. 2006, 44, 367–392. [Google Scholar] [CrossRef] [PubMed]
- Murphy, C.; Carroll, C.; Jordan, K.N. Environmental Survival Mechanisms of the Foodborne Pathogen Campylobacter jejuni. J. Appl. Microbiol. 2006, 100, 623–632. [Google Scholar] [CrossRef]
- Gandhi, M.; Chikindas, M.L. Listeria: A Foodborne Pathogen That Knows How to Survive. Int. J. Food Microbiol. 2007, 113, 1–15. [Google Scholar] [CrossRef] [PubMed]
- Dunsmore, D.G. Bacteriological Control of Food Equipment Surfaces by Cleaning Systems. I. Detergent Effects. J. Food Prot. 1981, 44, 15–20. [Google Scholar] [CrossRef]
- Sharma, M.; Anand, S.K. Characterization of Constitutive Microflora of Biofilms in Dairy Processing Lines. Food Microbiol. 2002, 19, 627–636. [Google Scholar] [CrossRef]
- Srinivasan, S.; Harrington, G.W.; Xagoraraki, I.; Goel, R. Factors Affecting Bulk to Total Bacteria Ratio in Drinking Water Distribution Systems. Water Res. 2008, 42, 3393–3404. [Google Scholar] [CrossRef] [PubMed]
- Yuan, L.; Sadiq, F.A.; Wang, N.; Yang, Z.; He, G. Recent Advances in Understanding the Control of Disinfectant-Resistant Biofilms by Hurdle Technology in the Food Industry. Crit. Rev. Food Sci. Nutr. 2021, 61, 3876–3891. [Google Scholar] [CrossRef] [PubMed]
- van der Veen, S.; Abee, T. Mixed Species Biofilms of Listeria monocytogenes and Lactobacillus Plantarum Show Enhanced Resistance to Benzalkonium Chloride and Peracetic Acid. Int. J. Food Microbiol. 2011, 144, 421–431. [Google Scholar] [CrossRef] [PubMed]
- Giaouris, E.; Heir, E.; Hébraud, M.; Chorianopoulos, N.; Langsrud, S.; Møretrø, T.; Habimana, O.; Desvaux, M.; Renier, S.; Nychas, G.-J. Attachment and Biofilm Formation by Foodborne Bacteria in Meat Processing Environments: Causes, Implications, Role of Bacterial Interactions and Control by Alternative Novel Methods. Meat Sci. 2014, 97, 298–309. [Google Scholar] [CrossRef]
- Morones, J.R.; Elechiguerra, J.L.; Camacho, A.; Holt, K.; Kouri, J.B.; Ramírez, J.T.; Yacaman, M.J. The Bactericidal Effect of Silver Nanoparticles. Nanotechnology 2005, 16, 2346. [Google Scholar] [CrossRef]
- Pal, S.; Tak, Y.K.; Song, J.M. Does the Antibacterial Activity of Silver Nanoparticles Depend on the Shape of the Nanoparticle? A Study of the Gram-Negative Bacterium Escherichia coli. Appl. Environ. Microbiol. 2007, 73, 1712–1720. [Google Scholar] [CrossRef] [PubMed]
- El Badawy, A.M.; Silva, R.G.; Morris, B.; Scheckel, K.G.; Suidan, M.T.; Tolaymat, T.M. Surface Charge-Dependent Toxicity of Silver Nanoparticles. Environ. Sci. Technol. 2011, 45, 283–287. [Google Scholar] [CrossRef]
- Fujishima, A.; Hashimoto, K.; Watanabe, T. TiO2 Photocatalysis: Fundamentals and Applications; Bkc: Tokyo, Japan, 1999; ISBN 9784939051036. [Google Scholar]
- Fujishima, A.; Rao, T.N.; Tryk, D.A. Titanium Dioxide Photocatalysis. J. Photochem. Photobiol. C Photochem. Rev. 2000, 1, 1–21. [Google Scholar] [CrossRef]
- Matsunaga, T.; Tomoda, R.; Nakajima, T.; Nakamura, N.; Komine, T. Continuous-Sterilization System That Uses Photosemiconductor Powders. Appl. Environ. Microbiol. 1988, 54, 1330–1333. [Google Scholar] [CrossRef] [PubMed]
- Kim, B.; Kim, D.; Cho, D.; Cho, S. Bactericidal Effect of TiO2 Photocatalyst on Selected Food-Borne Pathogenic Bacteria. Chemosphere 2003, 52, 277–281. [Google Scholar] [CrossRef]
- Maneerat, C.; Hayata, Y. Antifungal Activity of TiO2 Photocatalysis against Penicillium Expansum in Vitro and in Fruit Tests. Int. J. Food Microbiol. 2006, 107, 99–103. [Google Scholar] [CrossRef]
- Duffy, E.F.; Al Touati, F.; Kehoe, S.C.; McLoughlin, O.A.; Gill, L.W.; Gernjak, W.; Oller, I.; Maldonado, M.I.; Malato, S.; Cassidy, J.; et al. A Novel TiO2-Assisted Solar Photocatalytic Batch-Process Disinfection Reactor for the Treatment of Biological and Chemical Contaminants in Domestic Drinking Water in Developing Countries. Sol. Energy 2004, 77, 649–655. [Google Scholar] [CrossRef]
- Fujishima, A.; Honda, K. Electrochemical Photolysis of Water at a Semiconductor Electrode. Nature 1972, 238, 37–38. [Google Scholar] [CrossRef]
- Ireland, J.C.; Klostermann, P.; Rice, E.W.; Clark, R.M. Inactivation of Escherichia Coli by Titanium Dioxide Photocatalytic Oxidation. Appl. Environ. Microbiol. 1993, 59, 1668–1670. [Google Scholar] [CrossRef]
- Papadopoulou, O.S.; Doulgeraki, A.I.; Botta, C.; Cocolin, L.; Nychas, G.-J.E. Genotypic Characterization of Brochothrix Thermosphacta Isolated during Storage of Minced Pork under Aerobic or Modified Atmosphere Packaging Conditions. Meat Sci. 2012, 92, 735–738. [Google Scholar] [CrossRef]
- Doulgeraki, A.I.; Paramithiotis, S.; Nychas, G.-J.E. Characterization of the Enterobacteriaceae Community That Developed during Storage of Minced Beef under Aerobic or Modified Atmosphere Packaging Conditions. Int. J. Food Microbiol. 2011, 145, 77–83. [Google Scholar] [CrossRef] [PubMed]
- Doulgeraki, A.I.; Paramithiotis, S.; Kagkli, D.M.; Nychas, G.-J.E. Lactic Acid Bacteria Population Dynamics during Minced Beef Storage under Aerobic or Modified Atmosphere Packaging Conditions. Food Microbiol. 2010, 27, 1028–1034. [Google Scholar] [CrossRef]
- Giaouris, E.; Chorianopoulos, N.; Doulgeraki, A.; Nychas, G.-J. Co-Culture with Listeria Monocytogenes within a Dual-Species Biofilm Community Strongly Increases Resistance of Pseudomonas Putida to Benzalkonium Chloride. PLoS ONE 2013, 8, e77276. [Google Scholar] [CrossRef] [PubMed]
- Tsoukleris, D.S.; Maggos, T.; Vassilakos, C.; Falaras, P. Photocatalytic Degradation of Volatile Organics on TiO2 Embedded Glass Spherules. Catal. Today 2007, 129, 96–101. [Google Scholar] [CrossRef]
- Kostaki, M.; Chorianopoulos, N.; Braxou, E.; Nychas, G.-J.; Giaouris, E. Differential Biofilm Formation and Chemical Disinfection Resistance of Sessile Cells of Listeria Monocytogenes Strains under Monospecies and Dual-Species (with Salmonella enterica) Conditions. Appl. Environ. Microbiol. 2012, 78, 2586–2595. [Google Scholar] [CrossRef] [PubMed]
- Chorianopoulos, N.G.; Giaouris, E.D.; Skandamis, P.N.; Haroutounian, S.A.; Nychas, G.-J.E. Disinfectant Test against Monoculture and Mixed-Culture Biofilms Composed of Technological, Spoilage and Pathogenic Bacteria: Bactericidal Effect of Essential Oil and Hydrosol of Satureja Thymbra and Comparison with Standard Acid–Base Sanitizers. J. Appl. Microbiol. 2008, 104, 1586–1596. [Google Scholar] [CrossRef]
- Hall-Stoodley, L.; Costerton, J.W.; Stoodley, P. Bacterial Biofilms: From the Natural Environment to Infectious Diseases. Nat. Rev. Microbiol. 2004, 2, 95–108. [Google Scholar] [CrossRef] [PubMed]
- Jessen, B.; Lammert, L. Biofilm and Disinfection in Meat Processing Plants. Int. Biodeterior. Biodegrad. 2003, 51, 265–269. [Google Scholar] [CrossRef]
- Chmielewski, R.A.N.; Frank, J.F. Biofilm Formation and Control in Food Processing Facilities. Compr. Rev. Food Sci. Food Saf. 2003, 2, 22–32. [Google Scholar] [CrossRef]
- Rivas, L.; Dykes, G.A.; Fegan, N. A Comparative Study of Biofilm Formation by Shiga Toxigenic Escherichia Coli Using Epifluorescence Microscopy on Stainless Steel and a Microtitre Plate Method. J. Microbiol. Methods 2007, 69, 44–51. [Google Scholar] [CrossRef]
- Rode, T.M.; Langsrud, S.; Holck, A.; Møretrø, T. Different Patterns of Biofilm Formation in Staphylococcus Aureus under Food-Related Stress Conditions. Int. J. Food Microbiol. 2007, 116, 372–383. [Google Scholar] [CrossRef] [PubMed]
- Van Houdt, R.; Michiels, C.W. Biofilm Formation and the Food Industry, a Focus on the Bacterial Outer Surface. J. Appl. Microbiol. 2010, 109, 1117–1131. [Google Scholar] [CrossRef]
- Herrera, J.J.R.; Cabo, M.L.; González, A.; Pazos, I.; Pastoriza, L. Adhesion and Detachment Kinetics of Several Strains of Staphylococcus Aureus Subsp. Aureus under Three Different Experimental Conditions. Food Microbiol. 2007, 24, 585–591. [Google Scholar] [CrossRef]
- Gilbert, M.T.P.; Hansen, A.J.; Willerslev, E.; Rudbeck, L.; Barnes, I.; Lynnerup, N.; Cooper, A. Characterization of Genetic Miscoding Lesions Caused by Postmortem Damage. Am. J. Hum. Genet. 2003, 72, 48–61. [Google Scholar] [CrossRef]
- Kumar, C.G.; Anand, S.K. Significance of Microbial Biofilms in Food Industry: A Review. Int. J. Food Microbiol. 1998, 42, 9–27. [Google Scholar] [CrossRef] [PubMed]
- Mai, T.L.; Conner, D.E. Effect of Temperature and Growth Media on the Attachment of Listeria Monocytogenes to Stainless Steel. Int. J. Food Microbiol. 2007, 120, 282–286. [Google Scholar] [CrossRef]
- Frank, J.F.; Koffi, R.A. Surface-Adherent Growth of Listeria Monocytogenes Is Associated with Increased Resistance to Surfactant Sanitizers and Heat. J. Food Prot. 1990, 53, 550–554. [Google Scholar] [CrossRef]
- Herald, P.J.; Zottola, E.A. Attachment of Listeria Monocytogenes to Stainless Steel Surfaces at Various Temperatures and PH Values. J. Food Sci. 1988, 53, 1549–1562. [Google Scholar] [CrossRef]
- Mafu, A.A.; Roy, D.; Goulet, J.; Magny, P. Attachment of Listeria monocytogenes to Stainless Steel, Glass, Polypropylene, and Rubber Surfaces After Short Contact Times. J. Food Prot. 1990, 53, 742–746. [Google Scholar] [CrossRef] [PubMed]
- Dewanti, R.; Wong, A.C.L. Influence of Culture Conditions on Biofilm Formation by Escherichia Coli O157:H7. Int. J. Food Microbiol. 1995, 26, 147–164. [Google Scholar] [CrossRef] [PubMed]
- Joseph, B.; Otta, S.K.; Karunasagar, I.; Karunasagar, I. Biofilm Formation by Salmonella Spp. on Food Contact Surfaces and Their Sensitivity to Sanitizers. Int. J. Food Microbiol. 2001, 64, 367–372. [Google Scholar] [CrossRef] [PubMed]
- Kadam, S.R.; den Besten, H.M.W.; van der Veen, S.; Zwietering, M.H.; Moezelaar, R.; Abee, T. Diversity Assessment of Listeria monocytogenes Biofilm Formation: Impact of Growth Condition, Serotype and Strain Origin. Int. J. Food Microbiol. 2013, 165, 259–264. [Google Scholar] [CrossRef] [PubMed]
- Doulgeraki, A.I.; Papaioannou, M.; Nychas, G.-J.E. Targeted Gene Expression Study of Salmonella enterica during Biofilm Formation on Rocket Leaves. LWT-Food Sci. Technol. 2016, 65, 254–260. [Google Scholar] [CrossRef]
- Bremer, P.J.; Monk, I.; Osborne, C.M. Survival of Listeria monocytogenes Attached to Stainless Steel Surfaces in the Presence or Absence of Flavobacterium spp. J. Food Prot. 2001, 64, 1369–1376. [Google Scholar] [CrossRef]
- Habimana, O.; Meyrand, M.; Meylheuc, T.; Kulakauskas, S.; Briandet, R. Genetic Features of Resident Biofilms Determine Attachment of Listeria monocytogenes. Appl. Environ. Microbiol. 2009, 75, 7814–7821. [Google Scholar] [CrossRef] [PubMed]
- Zijnge, V.; van Leeuwen, M.B.M.; Degener, J.E.; Abbas, F.; Thurnheer, T.; Gmür, R.; Harmsen, H.J.M. Oral Biofilm Architecture on Natural Teeth. PLoS ONE 2010, 5, e9321. [Google Scholar] [CrossRef]
- Lyautey, E.; Lacoste, B.; Ten-Hage, L.; Rols, J.-L.; Garabetian, F. Analysis of Bacterial Diversity in River Biofilms Using 16S RDNA PCR-DGGE: Methodological Settings and Fingerprints Interpretation. Water Res. 2005, 39, 380–388. [Google Scholar] [CrossRef]
- Simões, M.; Simões, L.C.; Pereira, M.O.; Vieira, M.J. Antagonism between Bacillus cereus and Pseudomonas fluorescens in Planktonic Systems and in Biofilms. Biofouling 2008, 24, 339–349. [Google Scholar] [CrossRef] [PubMed]
- Burmølle, M.; Thomsen, T.R.; Fazli, M.; Dige, I.; Christensen, L.; Homøe, P.; Tvede, M.; Nyvad, B.; Tolker-Nielsen, T.; Givskov, M.; et al. Biofilms in Chronic Infections—A Matter of Opportunity—Monospecies Biofilms in Multispecies Infections. FEMS Immunol. Med. Microbiol. 2010, 59, 324–336. [Google Scholar] [CrossRef]
- Zhou, L.; Zhang, Y.; Ge, Y.; Zhu, X.; Pan, J. Regulatory Mechanisms and Promising Applications of Quorum Sensing-Inhibiting Agents in Control of Bacterial Biofilm Formation. Front. Microbiol. 2020, 11, 589640. [Google Scholar] [CrossRef]
- Machado, M.A.A.; Ribeiro, W.A.; Toledo, V.S.; Ramos, G.L.P.A.; Vigoder, H.C.; Nascimento, J.S. Antibiotic Resistance and Biofilm Production in Catalase-Positive Gram-Positive Cocci Isolated from Brazilian Pasteurized Milk. J. Food Qual. Hazards Control 2020, 7, 67–74. [Google Scholar] [CrossRef]
- Skandamis, P.N.; Nychas, G.-J.E. Quorum Sensing in the Context of Food Microbiology. Appl. Environ. Microbiol. 2012, 78, 5473–5482. [Google Scholar] [CrossRef]
- Giaouris, E.; Heir, E.; Desvaux, M.; Hébraud, M.; Møretrø, T.; Langsrud, S.; Doulgeraki, A.; Nychas, G.-J.; Kačániová, M.; Czaczyk, K.; et al. Intra- and Inter-Species Interactions within Biofilms of Important Foodborne Bacterial Pathogens. Front. Microbiol. 2015, 6, 841. [Google Scholar] [CrossRef]
- Gomez, G.F.; Huang, R.; MacPherson, M.; Ferreira Zandona, A.G.; Gregory, R.L. Photo Inactivation of Streptococcus Mutans Biofilm by Violet-Blue Light. Curr. Microbiol. 2016, 73, 426–433. [Google Scholar] [CrossRef]
- Papaioannou, E.; Giaouris, E.D.; Berillis, P.; Boziaris, I.S. Dynamics of Biofilm Formation by Listeria monocytogenes on Stainless Steel under Mono-Species and Mixed-Culture Simulated Fish Processing Conditions and Chemical Disinfection Challenges. Int. J. Food Microbiol. 2018, 267, 9–19. [Google Scholar] [CrossRef]
- Zarei, M.; Bahrami, S.; Liljebjelke, K. Biofilm Formation of Salmonella enterica Serovar Enteritidis Cocultured with Acanthamoeba Castellanii Responds to Nutrient Availability. Int. Microbiol. 2022, 25, 691–700. [Google Scholar] [CrossRef]
- Habimana, O.; Møretrø, T.; Langsrud, S.; Vestby, L.K.; Nesse, L.L.; Heir, E. Micro Ecosystems from Feed Industry Surfaces: A Survival and Biofilm Study of Salmonella versus Host Resident Flora Strains. BMC Vet. Res. 2010, 6, 48. [Google Scholar] [CrossRef] [PubMed]
- Blana, V.; Georgomanou, A.; Giaouris, E. Assessing Biofilm Formation by Salmonella enterica Serovar Typhimurium on Abiotic Substrata in the Presence of Quorum Sensing Signals Produced by Hafnia alvei. Food Control 2017, 80, 83–91. [Google Scholar] [CrossRef]
- Chorianopoulos, N.; Giaouris, E.; Grigoraki, I.; Skandamis, P.; Nychas, G.-J. Effect of Acid Tolerance Response (ATR) on Attachment of Listeria monocytogenes Scott A to Stainless Steel under Extended Exposure to Acid or/and Salt Stress and Resistance of Sessile Cells to Subsequent Strong Acid Challenge. Int. J. Food Microbiol. 2011, 145, 400–406. [Google Scholar] [CrossRef] [PubMed]
- Cho, M.; Chung, H.; Choi, W.; Yoon, J. Linear Correlation between Inactivation of E. Coli and OH Radical Concentration in TiO2 Photocatalytic Disinfection. Water Res. 2004, 38, 1069–1077. [Google Scholar] [CrossRef]
- Horie, Y.; Taya, M.; Tone, S. Effect of Cell Adsorption on Photosterilization of Escherichia Coli over Titanium Dioxide-Activated Charcoal Granules. J. Chem. Eng. Jpn. 1998, 31, 922–929. [Google Scholar] [CrossRef]
- Hur, J.-S.; Oh, S.-O.; Lim, K.-M.; Jung, J.S.; Kim, J.-W.; Koh, Y.J. Novel Effects of TiO2 Photocatalytic Ozonation on Control of Postharvest Fungal Spoilage of Kiwifruit. Postharvest Biol. Technol. 2005, 35, 109–113. [Google Scholar] [CrossRef]
- Kikuchi, Y.; Sunada, K.; Iyoda, T.; Hashimoto, K.; Fujishima, A. Photocatalytic Bactericidal Effect of TiO2 Thin Films: Dynamic View of the Active Oxygen Species Responsible for the Effect. J. Photochem. Photobiol. Chem. 1997, 106, 51–56. [Google Scholar] [CrossRef]
- Maness, P.-C.; Smolinski, S.; Blake, D.M.; Huang, Z.; Wolfrum, E.J.; Jacoby, W.A. Bactericidal Activity of Photocatalytic TiO2 Reaction: Toward an Understanding of Its Killing Mechanism. Appl. Environ. Microbiol. 1999, 65, 4094–4098. [Google Scholar] [CrossRef] [PubMed]
- Matsunaga, T.; Tomoda, R.; Nakajima, T.; Wake, H. Photoelectrochemical Sterilization of Microbial Cells by Semiconductor Powders. FEMS Microbiol. Lett. 1985, 29, 211–214. [Google Scholar] [CrossRef]
- Sunada, K.; Kikuchi, Y.; Hashimoto, K.; Fujishima, A. Bactericidal and Detoxification Effects of TiO2 Thin Film Photocatalysts. Environ. Sci. Technol. 1998, 32, 726–728. [Google Scholar] [CrossRef]
- Wei, C.; Lin, W.-Y.; Zainal, Z.; Zhu, K.; Smith, R.L.; Rajeshwar, K. Bactericidal Activity of TiO2 Photocatalyst in Aqueous Media: Toward a Solar-Assisted Water Disinfection System. Environ. Sci. Technol. 1994, 28, 934–938. [Google Scholar] [CrossRef] [PubMed]
- Wist, J.; Sanabria, J.; Dierolf, C.; Torres, W.; Pulgarin, C. Evaluation of Photocatalytic Disinfection of Crude Water for Drinking-Water Production. J. Photochem. Photobiol. Chem. 2002, 147, 241–246. [Google Scholar] [CrossRef]
- Cho, G.; Kwon, J.; Soh, S.M.; Jang, H.; Mitchell, R.J. Sensitivity of predatory bacteria to different surfactants and their application to check bacterial predation. Appl. Microbiol. Biotechnol. 2019, 103, 8169–8178. [Google Scholar] [CrossRef]
- Burmølle, M.; Webb, J.S.; Rao, D.; Hansen, L.H.; Sørensen, S.J.; Kjelleberg, S. Enhanced Biofilm Formation and Increased Resistance to Antimicrobial Agents and Bacterial Invasion Are Caused by Synergistic Interactions in Multispecies Biofilms. Appl. Environ. Microbiol. 2006, 72, 3916–3923. [Google Scholar] [CrossRef]
- Luppens, S.B.I.; Kara, D.; Bandounas, L.; Jonker, M.J.; Wittink, F.R.A.; Bruning, O.; Breit, T.M.; Ten Cate, J.M.; Crielaard, W. Effect of Veillonella Parvula on the Antimicrobial Resistance and Gene Expression of Streptococcus Mutans Grown in a Dual-Species Biofilm. Oral Microbiol. Immunol. 2008, 23, 183–189. [Google Scholar] [CrossRef] [PubMed]
- Simões, M.; Simões, L.C.; Vieira, M.J. Species Association Increases Biofilm Resistance to Chemical and Mechanical Treatments. Water Res. 2009, 43, 229–237. [Google Scholar] [CrossRef] [PubMed]
- Priyanka, B.; Patil, R.K.; Dwarakanath, S. A Review on Detection Methods Used for Foodborne Pathogens. Indian J. Med. Res. 2016, 144, 327–338. [Google Scholar] [CrossRef] [PubMed]
- Fu, G.; Vary, P.S.; Lin, C.-T. Anatase TiO2 Nanocomposites for Antimicrobial Coatings. J. Phys. Chem. B 2005, 109, 8889–8898. [Google Scholar] [CrossRef] [PubMed]
- Achudhan, D.; Vijayakumar, S.; Malaikozhundan, B.; Divya, M.; Jothirajan, M.; Subbian, K.; González-Sánchez, Z.I.; Mahboob, S.; Al-Ghanim, K.A.; Vaseeharan, B. The Antibacterial, Antibiofilm, Antifogging and Mosquitocidal Activities of Titanium Dioxide (TiO2) Nanoparticles Green-Synthesized Using Multiple Plants Extracts. J. Environ. Chem. Eng. 2020, 8, 104521. [Google Scholar] [CrossRef]
Disclaimer/Publisher’s Note: The statements, opinions and data contained in all publications are solely those of the individual author(s) and contributor(s) and not of MDPI and/or the editor(s). MDPI and/or the editor(s) disclaim responsibility for any injury to people or property resulting from any ideas, methods, instructions or products referred to in the content. |
© 2023 by the authors. Licensee MDPI, Basel, Switzerland. This article is an open access article distributed under the terms and conditions of the Creative Commons Attribution (CC BY) license (https://creativecommons.org/licenses/by/4.0/).


