Abstract
Although bamboo holds great promise as a sustainable construction material in industry, its susceptibility to cracking during drying compromises its mechanical performance and limits its structural applications. This study aims to develop a predictive model for bamboo cracking and investigate effective mitigation strategies. A crack evaluation model for round bamboo was established based on an analysis of tangential stress and validated experimentally in a climate chamber. The model demonstrated a prediction accuracy of 75–80% with a built-in safety margin, while analysis revealed that outer surface strain, inner surface strain, radial elastic modulus, and culm outer diameter all positively correlated with tangential stress, highlighting the importance of controlling these factors to prevent cracking. Moreover, a surface-bonded palm fiber wrapping method was proposed and tested, which significantly enhanced the crack resistance and delayed crack initiation. The effect was most pronounced in 1-year-old bamboo, while culms aged 3, 5, and 7 years remained crack-free until moisture content fell below 5%. The proposed model accurately predicts cracking behavior in bamboo, offering theoretical support for its structural use and practical insights for crack prevention.
1. Introduction
Given the growing urgency of the climate crisis, as highlighted by experts such as Professor Pierrehumbert from Oxford, it is clear that actions must be swiftly taken to address environmental damage. In this context, the need for better resource efficiency has never been more critical [1]. The economic and environmental performance of a building is central to its designed service life. As a promising renewable construction material, the durability of bamboo is crucial. The drying process induces shrinkage in the culm wall of bamboo, generating circumferential tensile stresses that can lead to cracking upon exceeding the material’s strength. These cracks not only accelerate fungal degradation but also weaken tensile, compressive, and bending strength, thereby limiting the safe structural application of bamboo. Hence, a thorough evaluation of cracking behavior and the development of robust prevention methods are indispensable.
The drying and subsequent cracking of bamboo culms present a complex challenge governed by the interplay of hygro-mechanical properties and anatomical heterogeneity. Previous studies have elucidated that the anisotropic shrinkage behavior is the primary driver of failure; specifically, tangential shrinkage rates (typically 8–10%) are significantly higher than radial shrinkage (3–5%) and longitudinal shrinkage (<1%), resulting in substantial differential strain during moisture loss [2,3]. This cracking behavior is rooted in the culm’s anatomical design. The gradient in vascular bundle density (outer layers dense, inner layers sparse) creates trapped internal stress during shrinkage. This stress forces cracks to initiate at the weak junction between the parenchyma cells and the tougher conductive tissues [4]. To predict these failure modes, Finite Element Method (FEM) models have been increasingly employed. Recent simulations coupling heat and mass transfer reveal that drying-induced tangential tensile stresses can rapidly exceed the bamboo’s transverse tensile strength (approximately 3–5 MPa) when the moisture content drops below the fiber saturation point [5,6]. In response to these challenges, traditional modification methods such as oil curing, smoke drying, and thermal modification have been re-evaluated quantitatively. Studies indicate that heat treatment at temperatures between 160 °C and 180 °C can degrade hydrophilic hemicellulose, thereby reducing equilibrium moisture content by 20–30% and improving dimensional stability (anti-shrinkage efficiency) by up to 50%, although often at the cost of mechanical strength [7,8]. Furthermore, comparative analyses among species demonstrate distinct variations; for instance, thick-walled species like Dendrocalamus asper exhibit higher susceptibility to surface checking compared to Phyllostachys edulis (Moso bamboo) due to larger moisture gradients developed across their denser culm walls [9].
Recent studies have investigated bamboo properties and potential engineering applications. Shu et al. [10,11] produced biomass composites from steam-exploded bamboo fibers. During steam explosion pretreatment, bamboo demonstrated distinct degradation behavior, with its cellulose degrading more than poplar’s, while its hemicellulose degraded more slowly. Optimal processing parameters were identified at 2.5–3.0 MPa for 180 s. Huang et al. [12] employed digital image correlation to analyze bamboo’s drying shrinkage, revealing that the nodal regions, particularly their external layers, experience the most significant deformation due to moisture loss. The findings showed the structural vulnerability of nodes to cracking, providing critical insight for developing effective mitigation strategies. Yan [13] suggested that cracking could be alleviated through rational raw material selection, controlled drying, and stress modification. Zhong [14] showed that crack severity increases with culm diameter, wall thickness, and reduced length. Haque et al. [15] identified moisture gradients and anatomical structure as the primary causes of drying stress. Xie et al. [16] revealed that the bamboo’s epidermis and pith ring significantly inhibited radial and tangential shrinkage while promoting longitudinal shrinkage. Their constraining effect overrides the influence of vascular bundle content, localizing maximum shrinkage strain and crack formation in areas with medium VB content, which provided a theoretical basis for designing low-shrinkage bamboo materials. Cui et al. [17] demonstrated that high-voltage electrostatic copper particles enhance hydrophobicity and reduce surface strain variation. Our previous research [18] has also developed and validated a predictive model for stress of bamboo by introducing a correction factor via finite element analysis and establishing a functional relationship through experiments, providing a theoretical and engineering basis for crack prevention.
Despite these advances, no predictive model has yet been reported for cracking in raw bamboo, defined here as cylindrical bamboo that has not undergone any treatment [19]. Existing crack-prevention methods, such as surface coatings, electrostatic metal particle treatment, and fiber wrapping, have shown potential, but their mechanisms and effectiveness remain insufficiently validated, particularly with respect to mitigating outer surface strain in structural applications.
This study aims to establish a novel theoretical model for evaluating crack formation in raw bamboo by integrating theoretical analysis with experimental validation, and to investigate a palm-fiber surface-bonding strategy for mitigating the adverse stresses identified. While previous research has addressed bamboo drying, moisture gradients, and cracking, a predictive model specifically targeting raw bamboo has not been reported. Our work fills this gap by providing a quantitative framework to evaluate cracking risk under controlled drying conditions. By examining the cracking behavior of palm-fiber-reinforced bamboo, the effectiveness of this reinforcement method is evaluated in reducing outer surface strain and mitigating crack initiation. The findings not only provide validation of the proposed model but also offer new insights into practical crack-prevention strategies, with potential applications in guiding bamboo preservation, optimizing drying processes, and informing the design of engineered bamboo products, thereby extending the study’s relevance to both research and industrial practices.
2. Materials and Methods
2.1. Materials
The Moso bamboo (Phyllostachys edulis) culms were harvested from Liyang District, Changzhou City, Jiangsu Province, China. The distance between the bamboo joints at 1.3 m height was 228.57 ± 21.81 mm, with an average outer diameter of 89.32 ± 9.19 mm, and the average wall thickness was 8.95 ± 0.74 mm. According to the Chinese standard GB/T 15780 [20], each group has 100 replications, where the average moisture content was 17.35 ± 5.17%, the volume shrinkage coefficient was 0.84 ± 0.46%, the air-dry density at 12% moisture content was 0.81 ± 0.07 g/cm3, and the total dry density was 0.76 ± 0.08 g/cm3.
Four age groups (1-, 3-, 5-, and 7-year-old bamboo) with an average diameter of approximately 90 mm were selected, with 20 segments for each age group. The harvested bamboo culms were cut into specimens of 200 mm in length (without nodes). Bamboo segments were all selected from the culm at approximately 1.3 m above ground level (breast height) and were required to be free of nodes, visible cracks, insect damage, fungal decay, or other macroscopic defects. The cutting direction was perpendicular to the longitudinal fiber direction of the bamboo.
The palm fiber ropes were impregnated with a resin system prior to surface bonding. The adhesive mixture was prepared using E44 epoxy resin, 650 polyamide curing agent, and acetone as solvent, with a mass ratio of palm fiber rope: epoxy resin: polyamide resin: acetone = 1:1:1:1.2. The components were thoroughly mixed until a homogeneous solution was obtained. The palm fiber ropes, with a nominal diameter of 1 mm, were fully immersed in the adhesive mixture at room temperature for 10 min to ensure sufficient resin penetration into the fiber bundles. After impregnation, the ropes were manually squeezed using a rubber roller to remove excess resin and to achieve a uniform resin distribution along the fiber surface. The impregnated palm fiber ropes were then immediately used for wrapping and bonding onto the bamboo surface.
For surface treatment, 10 segments were selected from each bamboo age group and polished with 80-mesh sandpaper. The impregnated palm fiber ropes were then wrapped around the sanded outer surface of the bamboo specimens, sealed with silicone paper, and fixed with copper wires. The specimens were cured for two days under controlled conditions (relative humidity: 65 ± 5%, temperature: 20 ± 2 °C). After curing, the copper wires and silicone paper were removed to complete specimen preparation.
2.2. Experimental Apparatus and Protocol
The main instruments and equipment employed in this study for specimen preparation and measurement included a D-54518 Niersbach sliding table saw (PROXXON, Würzburg, Germany) for cutting bamboo culms, an MF70 desktop micro milling and drilling machine for precise shaping, an LUXTER-MM491G disc sander (Maituo Electric Tools Co., Ltd., Jinhua, China) for surface polishing, and a 150T vernier caliper (Shanghai Menet Industrial Co., Ltd., China) for dimensional measurements. The specimens were placed in a custom-designed climate chamber, maintained at a temperature of 45 °C and a relative humidity of 30%.
The validation of the crack evaluation model for raw bamboo was conducted under four selected conditions, as presented in Table 1. A total of 20 specimens were prepared for each validation condition.
Table 1.
Experimental conditions for validation of the bamboo cracking evaluation model.
The prepared specimens for cracking tests were placed in a climate chamber set at 45 °C and 30% relative humidity. The cracking behavior of the specimens was observed every 12 h.
2.3. Establishment of the Crack Evaluation Model
According to our previous work [18], the circumferential stress in an orthotropic thick-walled cylindrical bamboo culm subjected to differential shrinkage can be expressed as:
where is the tangential stress at inner/outer surfaces (MPa); K1 is the composite correction coefficient; K2 is the buttress adjustment coefficient; is the radial elastic modulus of bamboo (MPa); is the tangential elastic modulus of bamboo (MPa); k is the ratio of tangential to radial elastic modulus of bamboo (); a is the inner radius of the cylinder (mm); b is the outer radius of the cylinder (mm); c is the ratio of the inner to outer radius of the cylinder (c = a/b); εw is the strain at the outer surface of bamboo (calculated according to Equation (2) in Reference [18]); εn is the strain at the inner surface of bamboo.
According to our previous work [18], the strains on the outer and inner surfaces were calculated using the following formulas:
where s/h is the surface-area/wall-thickness ratio (mm); is the time increment (12 h); T is the temperature (°C); RN is the relative humidity (%); N is the culm age (years).
Cracking of raw bamboo culms generally occurs at the outer surface (bamboo green) or the inner surface (bamboo yellow). Referring to our previous research, by substituting ρ (the radius at the stress point of the culm) in Equation (1) with b (outer radius of the culm) or a (inner radius of the culm), the calculation formulas for the outer and inner surface stresses of bamboo are obtained.
When the tangential stress on the inner or outer surface of the culm exceeds its tangential tensile strength, cracking will occur. Accordingly, the crack evaluation model for bamboo is defined as follows (Equations (4) and (5)):
where represents the circumferential stress at the outer surface (negative = tensile, MPa); represents the circumferential stress at the inner surface (negative = tensile, MPa); K1w is the ovality coefficients for outer surfaces; K1n is the ovality coefficients for inner surfaces; K2w is the node coefficients for outer surfaces; K2n is the node coefficients for inner surfaces; is the tensile strength in the circumferential direction at the outer surface (MPa); is the tensile strength in the circumferential direction at the inner surface (MPa).
Based on Equations (4) and (5), if:
- (i)
- Both conditions are satisfied, no cracking occurs.
- (ii)
- Equation (4) is not satisfied, outer-surface cracks appear.
- (iii)
- If Equation (5) is not satisfied, inner-surface cracks appear.
2.4. Measurements and Methods
Wall thickness, major outer diameter, minor outer diameter, average outer diameter, and average inner diameter of the specimens were measured with a vernier caliper to an accuracy of 0.001 mm (Repeated measurements and taking the average). Based on these measurements, the ratio of minor-to-major axis, the ratio of external surface area to wall thickness (s/h), and the ratio of inner-to-outer diameter (c) were calculated. The ovality coefficients for outer and inner surfaces (K1w and K1n) were further obtained by interpolation, using the minor-to-major axis ratio as input.
Tangential strain in raw bamboo was measured using electrical resistance strain gauges. Four strain gauges were bonded to the inner and outer surfaces as shown in Figure 1. Two perpendicular datum lines were marked on specimen end faces: one aligned with the major axis orientation and the other with the minor axis orientation.
Figure 1.
Schematic diagram of the strain gauge sticking position.
Reference marks were made on the cross-section of each specimen along two perpendicular directions, with one corresponding to the maximum outer diameter and the other oriented orthogonally. Internal diameters (a1, a2) and external diameters (b1, b2) were measured orthogonally using vernier calipers. The arithmetic mean of these measurements was recorded as the specimen’s effective internal diameter (an) and external diameter (bn), as shown in Figure 2.
Figure 2.
Specimen inner and outer diameter measurement.
3. Results and Discussion
3.1. Experimental Validation of the Crack Evaluation Model
The bamboo wall was divided into three equal layers. Based on the study of Shu et al. [21], tangential elastic modulus values were adopted, while other material parameters were obtained from Askarinejad et al. [22]. The modulus of the middle layer was taken as the average of the inner (yellow) and outer (green) layers. The material parameters are listed in Table 2.
Table 2.
Bamboo material parameters.
The ratio of tangential to radial elastic modulus of bamboo was taken as 1 ( = 1). The strains εw and εn were calculated according to Equations (2) and (3), respectively, and then substituted into Equations (4) and (5) in this study to calculate the theoretical tangential stress of bamboo.
The relevant parameters for the theoretical tangential stress under Condition 1 were calculated according to Equations (1)–(5) and are summarized in Table 3.
Table 3.
Bamboo theoretical tangential stress calculation under condition 1.
The relevant parameters for the theoretical tangential stress calculation under Condition 2 are summarized in Table 4.
Table 4.
Bamboo theoretical tangential stress calculation under condition 2.
The relevant parameters for the theoretical tangential stress calculation under Condition 3 are summarized in Table 5.
Table 5.
Bamboo theoretical tangential stress calculation under condition 3.
The relevant parameters for the theoretical tangential stress calculation under Condition 4 are summarized in Table 6.
Table 6.
Bamboo theoretical tangential stress calculation under condition 4.
The measured tangential strain from strain gauges at the corresponding time points for each specimen under the four conditions (Table 3, Table 4, Table 5 and Table 6) was first averaged and then multiplied by the elastic modulus to obtain the measured tangential stress.
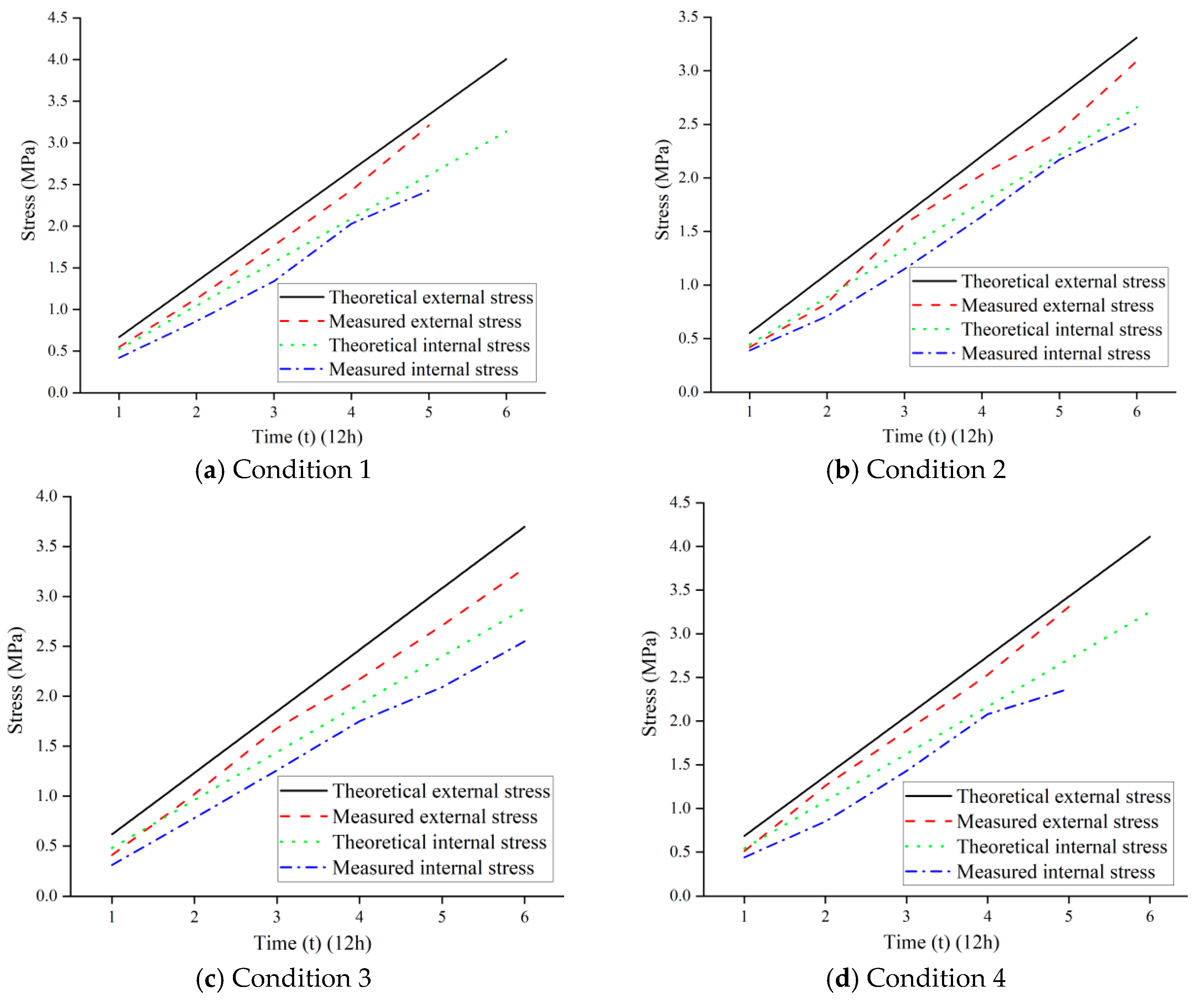
The tangential stress was plotted against time, with the tangential stress on the y-axis and time on the x-axis. The theoretical and measured values were compared in a graph plotted in Figure 3.
Figure 3.
Comparison chart of theoretical stress and measured stress.
As shown in Figure 3, the temporal variation in the measured tangential stress was generally consistent with that predicted by the bamboo cracking evaluation model, indicating that the model provided a reasonable representation of the cracking behavior.
The measured values were slightly lower than the theoretical predictions, suggesting that the stresses calculated using the model were slightly overestimated. This provided a certain safety margin when applying the model in engineering assessments of bamboo cracking. It should be noted that the theoretical values in this study are higher than the experimental values, which is normal, as the theoretical model was based on idealized assumptions. In experiments, test specimens might be influenced by material imperfections, inherent variability, and instability in experimental conditions, and consequently tend to fall short of the ideal results.
Under Condition 1, when the time reached 5 × 12 h, the theoretical tangential stress on the outer surface exceeded the tangential tensile strength of green bamboo, indicating that cracking should occur; however, only four specimens exhibited cracks. When the time reached 6 × 12 h, 15 specimens had cracked. The model exhibited an accuracy of 75%, with cracking lagging approximately 12 h.
Under Condition 2, the theoretical stress did not reach the tangential tensile strength, and no specimens cracked during the test. The measured cracking behavior agrees well with the theoretical predictions.
Under Condition 3, when the time reached 6 × 12 h, the theoretical tangential stress on the outer surface slightly exceeded the tangential tensile strength of green bamboo, but only 2 specimens cracked, indicating that the model includes a safety margin. Under Condition 4, at the time of 5 × 12 h, the theoretical tangential stress exceeded the tangential tensile strength, but only six specimens cracked. When the time reached 6 × 12 h, 16 specimens exhibited cracking. The model accuracy reached 80%, with a cracking lag of approximately 12 h.
In summary, the evaluation model of bamboo cracking achieved an accuracy of 75–80%. It predicted that cracking typically manifested with a delay of approximately 12 h after the theoretical tangential stress exceeded the material’s tensile strength.
To further relate the theoretical model to practical drying conditions, we analyzed the tangential stresses predicted by the model in real-world scenarios. During actual bamboo drying, moisture gradients develop within the culm due to changes in ambient humidity and temperature, generating internal stresses. Our model calculations indicated that tangential stresses on the inner and outer surfaces reached relatively high levels during the early and middle stages of drying, particularly in thin-walled and low-density regions, which were prone to crack initiation and propagation. Comparison with experimentally observed crack locations showed a strong correlation between predicted high-stress regions and actual cracking sites. This demonstrated that the model can effectively reflect the risk of cracking under realistic drying conditions and provides a theoretical basis for optimizing bamboo drying processes and protective strategies.
3.2. Factors Influencing Tangential Stress
3.2.1. Outer Surface Strain
Based on the bamboo crack evaluation model, and neglecting defects without affecting the validity of the study, the bamboo was assumed to have a , 228 MPa, , b = 45 mm, a = 35 mm, c = 0.78, 0. By substituting these assumptions into Equations (4) and (5), the relationship between the tangential stress and the outer surface strain of raw bamboo is shown in Figure 4. Both the tangential outer and inner stresses of bamboo were proportional to the outer surface strain. As the outer surface strain decreased, the tangential outer and inner stresses gradually decreased.
Figure 4.
The relationship between stress and external strain.
3.2.2. Inner Surface Strain
Based on the bamboo crack evaluation model, and neglecting defects without affecting the validity of the study, the bamboo was assumed to have a , 228 MPa, , b = 45 mm, a = 35 mm, c = 0.78, 0. By substituting these assumptions into Equations (4) and (5), the relationship between the tangential stress and the inner surface strain of raw bamboo is shown in Figure 5. Both the tangential outer and inner stresses of bamboo were proportional to the inner surface strain. As the inner surface strain decreased, the tangential outer and inner stresses gradually decreased.
Figure 5.
The relationship between stress and internal strain.
3.2.3. Radial Elastic Modulus
Based on the bamboo crack evaluation model, and neglecting defects without affecting the validity of the study, the bamboo was assumed to have a , , b = 45 mm, a = 35 mm, c = 0.78, 0.005.
By substituting these assumptions into Equations (4) and (5), the relationship between tangential stress and radial elastic modulus of raw bamboo is shown in Figure 6. Under a fixed inner and outer surface strain, the tangential outer and inner stresses of bamboo were proportional to the radial elastic modulus. As the radial elastic modulus decreased, both the tangential outer and inner stresses gradually decreased.
Figure 6.
The relationship between stress and radial modulus of elasticity.
3.2.4. Outer Diameter of Bamboo
Based on the bamboo crack evaluation model, and neglecting defects without affecting the validity of the study, the bamboo was assumed to have a , 228 MPa, , h = 10 mm, 0.005.
By substituting these assumptions into Equations (4) and (5), the relationship between tangential stress and outer diameter of raw bamboo is shown in Figure 7. As shown, both the tangential outer and inner stresses gradually decreased with decreasing outer diameter. From Figure 7a, when the outer diameter ranged from 80 to 100 mm, the rate of increase in outer surface stress was elevated. Therefore, for bamboo with outer diameters above or below 80 mm, different protective measures can be applied to prevent cracking.
Figure 7.
The relationship between stress and outer diameter.
3.3. Assessing Crack Behavior in Bamboo with Palm-Fiber Reinforcement
In the climate chamber test, the cracking time of bamboo was recorded, and the test was terminated when the moisture content of the untreated specimens decreased below 5%. The appearance of the bamboo specimens after the test is shown in Figure 8.
Figure 8.
Bamboo after the test.
The specific cracking times are summarized in Table 7.
Table 7.
Bamboo cracking time.
As shown in Table 7, under identical conditions, the 5-year-old bamboo exhibited the highest cracking resistance. The cracking resistance of 3- and 7-year-old bamboo was comparable to that of the 5-year-old specimens, whereas the 1-year-old bamboo demonstrated the poorest performance.
When the surface wrapping method with palm fiber reinforcement was applied, the cracking resistance of bamboo was significantly improved. In particular, the cracking time of the 1-year-old bamboo was markedly prolonged. Moreover, the 3-, 5-, and 7-year-old bamboo specimens exhibited no cracking until the moisture content dropped below 5%.
It should be pointed out that bamboo comprises more than 1600 species, which exhibit significant differences in anatomical structure and mechanical properties. This study focuses solely on a specific species from a specific region used in our experiments (Phyllostachys edulis from Liyang, Changzhou, Jiangsu Province). Although the proposed method may be applicable to other species and regions, further calibration and validation are required to account for inter-species differences.
4. Conclusions
This study developed a cracking evaluation model for round bamboo and validated its accuracy through experimental testing. Based on an analysis of the factors influencing tangential stress, the effectiveness of a surface-bonded wrapping method for mitigating cracks was experimentally confirmed. The main conclusions are as follows:
- (1)
- The developed crack evaluation model effectively predicts tangential stress and crack initiation under varying environmental conditions, with an experimental accuracy of 75–80% and a built-in safety margin.
- (2)
- Tangential stress is positively correlated with outer and inner surface strains, radial elastic modulus, and outer diameter, indicating the importance of controlling these factors to prevent cracking.
- (3)
- Palm-fiber surface bonding significantly enhances crack resistance and delays crack initiation, with the most pronounced effect observed in 1-year-old bamboo; 3-, 5-, and 7-year-old specimens exhibited no cracking until moisture content fell below 5%.
The findings validate the bamboo cracking mechanism and provide both theoretical and practical guidance for crack-prevention in structural applications.
Author Contributions
B.S.: Conceptualization, Methodology, Formal Analysis, Investigation, Writing—Original Draft, Project Administration, Funding Acquisition; J.Y.: Methodology, Investigation; Y.T.: Methodology; Investigation; C.L.: Data curation, Investigation; J.S.: Data curation Investigation; T.Y.: Writing—Review and Editing, Visualization; Q.H.: Methodology, Funding Acquisition; Z.J.: Data curation, Investigation; Z.W.: Funding Acquisition, Writing—Review and Editing, Supervision. All authors have read and agreed to the published version of the manuscript.
Funding
This research was funded by the Sixth “333 High level Talent Training Project” of Jiangsu Province, Jiangsu Province Higher Education Basic Science (Natural Science) Research Major Project (grant number 24KJA220004 and 25KJA560006), Jiangsu Province Higher Education Basic Science (Natural Science) Research General Project (grant number 23KJB220010), Jiangsu Province Housing and Construction System Technology Project (grant number 2024ZD054 and 2023ZD046), Yangzhou Housing and Construction System Technology Project (grant number 2023JH04) for their funding. The APC was funded by Jiangsu Province Higher Education Basic Science (Natural Science) Research Major Project (grant number 24KJA220004).
Data Availability Statement
The original contributions presented in this study are included in the article. Further inquiries can be directed to the corresponding author.
Conflicts of Interest
The authors declare no conflicts of interest.
References
- Pierrehumbert, R. There is no Plan B for dealing with the climate crisis. Bull. At. Sci. 2019, 75, 215–221. [Google Scholar] [CrossRef]
- Liese, W.; Tang, T.K.H. Properties of the Bamboo Culm. In Bamboo: The Plant and Its Uses; Springer: Cham, Switzerland, 2015; pp. 227–256. [Google Scholar] [CrossRef]
- Huang, Y.; Ji, Y.; Yu, W. Development of bamboo scrimber: A literature review. J. Wood Sci. 2019, 65, 25. [Google Scholar] [CrossRef]
- Habibi, M.K.; Lu, Y. Crack propagation in bamboo’s hierarchical cellular structure. Sci. Rep. 2014, 4, 5598. [Google Scholar] [CrossRef] [PubMed]
- Zhu, J.; Yang, L. Progress in the Study of Dry Shrinkage Deformation and Drying Stress of Raw Bamboo. Bioresources 2025, 20, 2304–2320. [Google Scholar] [CrossRef]
- Ramful, R.; Sakuma, A. Investigation of the effect of inhomogeneous material on the fracture mechanisms of bamboo by finite element method. Materials 2020, 13, 5039. [Google Scholar] [CrossRef] [PubMed]
- Li, D.; Yang, S.; Liu, Z.; Wang, Z.; Ji, N.; Liu, J. Effects of heat treatment under different pressures on the properties of bamboo. Polymers 2023, 15, 3074. [Google Scholar] [CrossRef] [PubMed]
- Fang, H.; Wu, Q.; Hu, Y.; Wang, Y.; Yan, X. Effects of thermal treatment on durability of short bamboo-fibers and its reinforced composites. Fiber Polym. 2013, 14, 436–440. [Google Scholar] [CrossRef]
- Kadivar, M.; Gauss, C.; Stanislas, T.T.; Ahrar, A.J.; Charca, S.; Savastano, H. Effect of bamboo species and pre-treatment method on physical and mechanical properties of bamboo processed by flattening-densification. Mater. Chem. Phys. 2022, 291, 126746. [Google Scholar] [CrossRef]
- Shu, B.; Ren, Q.; He, Q.; Ju, Z.; Zhan, T.; Chen, Z.; Lu, X. Study on mixed biomass binderless composite based on simulated wood. Wood Res. 2019, 64, 1023–1034. [Google Scholar]
- Shu, B.; Ren, Q.; Hong, L.; Xiao, Z.; Lu, X.; Wang, W.; Yu, J.; Fu, N.; Gu, Y.; Zheng, J. Effect of steam explosion technology main parameters on Moso bamboo and poplar fiber. J. Renew. Mater. 2021, 9, 585–597. [Google Scholar] [CrossRef]
- Huang, C.; Bao, Y.; Li, N.; Hou, J. A multiscale investigation of cross-sectional shrinkage in bamboo culms using natural-speckle digital image correlation during drying. Forests 2025, 16, 1444. [Google Scholar] [CrossRef]
- Yan, Y.; Fei, B.; Liu, S. The relationship between moisture content and shrinkage strain in the process of bamboo air seasoning and cracking. Dry. Technol. 2020, 40, 571–580. [Google Scholar] [CrossRef]
- Zhong, S. Preliminary Study on Principle and Protection of Moso Bamboo Tubes’ Splitting. Master’s Thesis, Beijing Forestry University, Beijing, China, 2011. [Google Scholar]
- Haque, M.N.; Langrish, T.; Keep, L.B.; Keey, R.B. Model fitting for visco-elastic creep of Pinus radiata during kiln drying. Wood Sci. Technol. 2000, 34, 447–457. [Google Scholar] [CrossRef]
- Xie, T.; He, Y.; Yuan, Y.; Huang, S.; Chen, Q. Effect of epidermis and pith ring presence on bamboo shrinkage behaviors. Eur. J. Wood Wood Prod. 2025, 83, 174. [Google Scholar] [CrossRef]
- Cui, J.; Ju, Z.; Hong, L.; Shu, B.; Lu, X. Hydrophobic Poplar prepared via high voltage electric field (HVEF) with copper as electrode plate. J. Renew. Mater. 2022, 10, 2907–2919. [Google Scholar] [CrossRef]
- Shu, B.; Yu, J.; Li, C.; Shen, J.; Ju, Z.; Yin, T.; Wang, Z. Analytical study on the transverse stress model and its influencing factors on Moso bamboo. Buildings 2025, 15, 3740. [Google Scholar] [CrossRef]
- Shu, B.; Xiao, Z.; Hong, L.; Zhang, S.; Li, C.; Fu, N.; Lu, X. Review on the application of bamboo-based materials in construction engineering. J. Renew. Mater. 2020, 8, 1215–1242. [Google Scholar] [CrossRef]
- GB/T 15780; Testing Methods for Physical and Mechanical Properties of Bamboos. State Bureau of Technical Supervision: Beijing, China, 1995.
- Shu, B.; Hong, L.; Li, S.; Tao, Y.; Cui, J.; Fu, N.; Yu, J.; Li, C.; Lu, X. Study on the tangential tensile mechanical properties of Moso bamboo. J. Renew. Mater. 2022, 10, 2203–2216. [Google Scholar] [CrossRef]
- Askarinejad, S.; Kotowski, P.; Shalchy, F.; Rahbar, N. Effects of humidity on shear behavior of bamboo. Theor. Appl. Mech. Lett. 2015, 5, 236–243. [Google Scholar] [CrossRef]
Disclaimer/Publisher’s Note: The statements, opinions and data contained in all publications are solely those of the individual author(s) and contributor(s) and not of MDPI and/or the editor(s). MDPI and/or the editor(s) disclaim responsibility for any injury to people or property resulting from any ideas, methods, instructions or products referred to in the content. |
© 2026 by the authors. Licensee MDPI, Basel, Switzerland. This article is an open access article distributed under the terms and conditions of the Creative Commons Attribution (CC BY) license.







