Abstract
Early-age cracking limits the structural use of steel fiber-reinforced lightweight aggregate concrete (SFLWAC), and robust experimental evaluation methods are still needed. This study examines the influence of steel fiber volume fractions (i.e., 0%, 0.5%, 1.0%, and 2.0%) on the cracking performance of SFLWAC through mechanical testing, autogenous shrinkage measurements, and two types of partially restrained ring tests, with and without a clapboard. The performance of three crack resistance indices is compared: the strain-based ASTM C1581 index, a stress-based area index, and a newly proposed energy-based index defined as the strain energy accumulation degree (SEAD), i.e., the ratio between the accumulated and critical strain energy density. The 28-day splitting tensile strength was improved by 77.9% and autogenous shrinkage was diminished by 30.7% as steel fiber volume content increased from 0 to 2.0%, thereby improving the resistance to shrinkage-induced cracking. In the partially restrained ring tests, SEAD decreased with increasing fiber content, and crack initiation occurred when SEAD reached an approximately constant threshold, whereas ASTM C1581 and the area index could not consistently rank mixtures when some rings cracked and others remained intact. These results demonstrate that SEAD provides a physically meaningful and unified measure of cracking risk for SFLWAC under partially restrained shrinkage and has the potential to be extended to other fiber-reinforced concretes and shrinkage-related cracking problems.
1. Introduction
Owing to the poor deformation performance and low tensile performance of concrete, high crack sensitivity is the critical property of concrete. Study on the crack resistance of high-performance concrete has remained a longstanding research hotspot [1,2,3,4,5]. Prewetted lightweight aggregate significantly influences mechanical properties, shrinkage, and cracking performance, which stems from the aggregate characteristics and internal curing mechanism. Research has demonstrated that prewetted lightweight aggregates markedly increase the crack resistance of concrete [6,7,8,9]. The incorporation of steel fibers into concrete not only significantly enhances the material’s tensile strength but also diminishes its autogenous shrinkage [10,11,12]. Studies on steel fiber-reinforced normal aggregate concrete show that steel fiber content improves its cracking performance [13,14,15]. However, relatively few studies have focused on the crack resistance of SFLWAC [16,17].
Crack resistance of concrete is comprehensively determined by its mechanical properties, shrinkage and creep behavior, ambient temperature and humidity, and degree of restraint. The partially restrained ring test is one of the primary methods used to investigate the crack resistance of concrete. Two representative evaluation methodologies of concrete crack resistance based on partially restrained ring tests are compared in this paper. First, the ASTM C1581 standard test method depends on partially restrained ring tests, which evaluates cracking potential via two indicators, namely, the net time and average stress rate, and classifies the potential of a crack into four grades [18]. A comprehensive indicator is referred to as the ratio of average stress rate to net time for assessing the crack resistance; the larger the comprehensive indicator is, the greater the sensitivity to cracking [19]. In studies on the crack resistance of concrete, both ASTM C1581 and a comprehensive indicator are employed, with the latter providing a more explicit interpretation of the test results [20,21]. Second, based on the ratio of tensile stress to tensile strength, area method is employed to assess the crack resistance. And the ratio is defined as the area that varies with time. It thus incorporates the cumulative effect of stress duration [16,22,23].
There are few systematic analyses on crack resistance evaluation of SFLWAC, with a particular lack of analysis of different methods for evaluating crack resistance. When the SFLWAC ring samples exhibited mixed outcomes (i.e., some cracked while others did not), the ASTM C1581 and area methods had certain limitations in providing a consistent basis for comparing the crack resistance across all the tested mixtures. ASTM C1581 is a strain-based evaluation method, and the area method is a stress-based evaluation method. However, there is no comprehensive indicator based on both strain and stress, i.e., an energy-based indicator. In four-point shearing tests and three-point bending tests, crack initiation can be anticipated using the average strain energy density criterion in concrete [24,25]. However, it has not been used for crack resistance evaluation by partially restrained ring tests, and it involves both strain and stress.
The strain energy accumulation degree (SEAD) is referred to as the ratio of accumulated strain energy density to critical strain energy density. This value serves as a more appropriate indicator for evaluating the crack resistance of SFLWAC when the ring samples of some test groups crack while those of the other groups do not. On the basis of partially restrained ring tests, a comparison of the methods of ASTM C1581, the area method and the SEAD method is presented in this study. The effective mechanism of steel fiber volume content upon splitting tensile strength, autogenous shrinkage and SEAD was revealed. And the potential of SEAD as an energy-based crack resistance indicator in other concrete materials has been discussed.
2. Method for Crack Resistance Evaluation of SFLWAC
2.1. Method of Standard ASTM C1581
The standard ASTM C1581 defines two indicators for assessing cracking sensitivity: the net time to cracking in the partially restrained ring tests or the test termination time () and the stress rate (). The standard classifies cracking potential into four grades, which are presented in Table 1 [18]. Accordingly, a comprehensive index () is defined as the ratio of the stress rate to the net cracking time for evaluating the crack resistance of concrete in the tests. A higher value of the comprehensive index indicates a greater susceptibility to cracking in the concrete [19].
Table 1.
Grades of cracking potential.
When the concrete ring sample cracks during the test, the net time is defined as the period from initiation time (i.e., the time when the strain of interior steel ring returns to zero) to cracking time. If the ring sample did not crack, the net time was measured from the initiation time to the end of the test. The stress rate, which is the most critical parameter in this cracking evaluation method, can be calculated as follows:
where is the stress rate of the SFLWAC ring sample; is a constant dependent on the geometric parameters and material of apparatus, which can be obtained from Equation (2); and is the strain rate factor, which can be obtained as follows:
where is the elastic modulus of the interior steel ring; and are the thicknesses of the interior steel ring and the concrete ring, respectively; and are the inner radii of the concrete ring and the interior steel ring respectively; is the net strain of the interior steel ring; is the net age; and is a regression constant. The regression constant characterizes the deviation between the assumed linear relationship between and the square root of and the actual situation.
2.2. Area Method
The area method is employed to assess the cracking performance, wherein the area can be expressed by Equation (4) [22,23]. On the basis of the variation in the ratio of concrete’s actual stress to its tensile strength over time, the curve of the ratio versus time can be categorized into two types: ascending and descending. For the ascending curve, a larger value indicates poorer crack resistance, whereas for the descending curve, a larger value signifies better crack resistance.
where is the area surrounded by the ratio of to within the curing ages; denotes the stress in the concrete ring at time t; and represents the tensile strength at the same time instant.
In the partially restrained ring tests without a clapboard, the stress in the concrete ring can be obtained from Equation (5) as follows [26,27,28]. In the partially restrained ring tests with a clapboard, the clapboard causes differences in the stress distribution. For simplicity, this study analyzes the response using the average stress of the concrete at the clapboard, i.e., the stress in the concrete ring at the clapboard is twice that at other locations, which is equivalent to twice the result calculated as follows [22,23]:
where denotes the strain in the interior steel ring at time t; and are the outer radii of the interior steel ring and the concrete ring, respectively.
2.3. Method of Determining the Strain Energy Accumulation Degree
In the partially restrained ring tests, restrained shrinkage deformation induces stress and strain within the sample, which is essentially a process of strain energy accumulation. A novel crack resistance evaluation method based on the strain energy accumulation degree is proposed. The strain energy accumulation degree is designated as the ratio of the accumulated strain energy density to the critical average strain energy density, following Equation (6). A higher strain energy accumulation degree indicates a greater risk of cracking. When the degree reaches a specific critical value, cracking occurs in the ring sample. Conversely, a lower strain energy accumulation degree corresponds to a lower possibility of cracking.
where represents the strain energy accumulation degree at time t; represents the accumulated strain energy density at time t; represents the critical average strain energy density.
Equation (7) is employed to calculate the accumulated strain energy density. This parameter represents the amount of energy accumulated in the concrete due to restrained shrinkage deformation. A higher value indicates that more energy, which may eventually lead to concrete cracking, has been stored within the material. In the partially restrained ring tests without or with a clapboard, the strain in the concrete ring is determined as Equation (8). For cracking analysis of the concrete ring: during crack initiation, the difference between the critical average strain energy density obtained under mixed-mode conditions and that obtained under the pure Mode I fracture assumption is less than 2%; during crack propagation, the corresponding difference is less than 6% [24]. Moreover, circumferential tensile stress induced by the interior steel ring is the key driving stress for crack formation, and autogenous shrinkage under sealed conditions is closer to uniform volumetric shrinkage. Therefore, In the partially restrained ring tests, the cracking of the specimens can be approximated as Mode I fracture. The critical average strain energy density of the concrete is a constant value in the case of mode I fracture, and can be is obtained as Equation (9) [24]. This parameter represents the amount of energy that the concrete can absorb upon cracking. A higher value indicates a greater energy absorption capacity at the onset of cracking.
where is the strain in the concrete ring at time t; and are parameters; and can be calculated, as given in Equations (10) and (11); and is the Poisson’s ratio of the SFLWAC, which is approximately 0.19 [29].
In the partially restrained ring tests, for steel fiber-reinforced concrete, fiber crack-bridging provides resistance to crack opening and induces additional tensile stress in the uncracked part of the specimen. In this study, the critical average strain energy density is interpreted as an “equivalent critical average strain energy density that includes the fiber contribution.” The fiber-bridging effect is mainly reflected by the enhanced tensile performance of the material, which correspondingly increases the critical average strain energy density.
3. Experimental Methods
3.1. Materials and Mix Proportions
The cement in these experiments was P·O 42.5R, and the key physical properties are provided in Table 2. Lightweight aggregate selected was spherical high-strength shale ceramsite, and its physical properties are provided in Table 3. Natural river sand with a fineness modulus of 2.5 was adopted as the fine aggregate. A superplasticizer designated TW-JS was employed in these experiments at a dosage of 2.0%. Shear-type corrugated steel fibers were employed in these experiments, and their characteristic parameters are shown in Table 4.
Table 2.
Physical properties of Portland cement.
Table 3.
Physical properties of the lightweight aggregate.
Table 4.
Characteristic parameters of the steel fibers.
In this study, with a 1 h prewetting time of the lightweight aggregate, the mix proportion is shown in Table 5. Steel fiber volume fractions of 0%, 0.5%, 1% and 2% were adopted for four groups of steel fiber-reinforced lightweight aggregate concrete, which were sequentially labeled SF00, SF05, SF10, SF20 based on their mixture proportions.
Table 5.
Concrete mixture proportions.
3.2. Mechanical Property Tests
The splitting tensile strength test of steel fiber-reinforced lightweight aggregate concrete was designed in line with Chinese Standard GB/T 50081-2002, with three specimens (100 mm × 100 mm × 100 mm) assigned to each group [30]. After the concrete was cast, the surfaces of all specimens were protected by covering and cured at 20 ± 5 °C for 1 d, and then numbered and demolded. Under standard curing conditions (maintained at 20 ± 3 ℃ and relative humidity exceeding 90%), the specimens were maintained until they attained the predetermined test ages. When the test age was 1 d, the splitting tensile strength test started immediately after demolding.
The dynamic elastic modulus was measured by resonance method in the test. And it was determined using 100 mm × 100 mm × 400 mm samples, following Chinese Standard GB/T 50082-2009 [31]. After the samples were demolded, they were additionally subjected to standard curing conditions. The splitting tensile strength tests were conducted at the curing ages of 1, 2, 3, 5, 7, 14, and 28 d, and so were the dynamic elastic modulus tests [16,32].
3.3. Autogenous Shrinkage Tests
Autogenous shrinkage is defined as the microscopic volumetric deformation of concrete when no moisture exchange occurs with the external environment. In these experiments, a corrugated tube was used as the mold to form the autogenous shrinkage setup, which transforms the microscopic volumetric deformation of the concrete samples into measurable longitudinal deformation. All moisture exchange between the concrete samples and the external environment was prevented after casting [33,34,35]. The corrugated tube samples were horizontally suspended to minimize the effects of gravity and friction, enabling the measurement of autogenous shrinkage within 14 days. In Figure 1, a detailed schematic drawing of the test apparatus utilized in the study is presented. The diameter of corrugated tube specimens is 100 mm, and the length is 400 mm after casting. The setup primarily consists of two components: one for measuring the total strain and the other for collecting the thermal strain. The total strain can be calculated from the dial gauge readings at both ends of the sample. The variations in the internal temperature can be calculated from the average of the three values, which were measured by a Type T thermocouple located at the left, middle, and right positions along the axes of the corrugated tube samples.
Figure 1.
Schematic diagram of autogenous shrinkage test device (unit: mm): (a) plan view of schematic diagram; (b) schematic diagram of section 1-1.
For the autogenous shrinkage test, data were collected after 2 h when the concrete mixture was complete. The variations in internal temperature were collected every 0.5 h. The dial gauge readings were recorded while the variations in internal temperature were collected. Because autogenous shrinkage develops with age and its growth rate becomes slow, the values of the dial gauges were recorded at unequal intervals: the values were measured at intervals of 0.5 h within the first 24 h; 2 h between 1 d and 3 d; 6 h between 3 d and 7 d; and from 7 d to 14 d, daily.
The autogenous shrinkage of SFLWAC was obtained by subtracting the cumulative temperature deformation from the total deformation, as shown in Equation (12) [34].
where represents the autogenous shrinkage of the concrete at time t; represents the total strain of the concrete at time t; t0 represents the start time for autogenous shrinkage measurement, i.e., 2 h after the SFLWAC was mixed; represents the thermal expansion coefficient; and represents the temperature change in the SFLWAC over time .
The thermal expansion coefficient of SFLWAC was approximately °C at 1 day of age. Afterward, it was observed to increase approximately linearly, reaching °C at 2 days of age, after which it remained essentially constant [33,34]. In these experiments, the temperature variation in SFLWAC was less than 3 °C. Owing to the assumption that the thermal expansion coefficient has a minimal influence on the test results, its impact on the autogenous shrinkage of SFLWAC was not considered herein.
3.4. Partially Restrained Ring Tests
The experiments first utilized a partially restrained ring test setup without a clapboard (designated Setup A), the schematic of which is illustrated in Figure 2 [36], and the dimensions are shown in Table 6 [16]. To accelerate cracking, a clapboard was introduced into the ring setup, which was designated setup B. A schematic of this modified setup is presented in Figure 3. While all other parameters were held constant, the height (h) and thickness (t) of the clapboard are listed in Table 6 [22,23]. In the tests, we used the DH3816N static strain test system to collect the strain data of the interior steel ring. The strain gauge model employed was BX120-5BA, configured in a full-bridge connection. Strain gauges were positioned at the mid-height on the inner side of the interior steel ring, and the strain gauge 2 was mounted at the position directly opposite to the strain gauge 1 with a 180° spacing. The laboratory temperature was 20 °C throughout all partially restrained ring tests. The data were also collected after 2 h. The interior steel ring strains were measured every 0.5 h. The exterior steel rings were demolded after 24 h when the concrete mixture was complete. A layer of paraffin was evenly applied to the upper, lower, and outer surfaces of the ring samples to seal the samples.
Figure 2.
Partially restrained ring test without a clapboard: (a) plan schematic diagram; (b) schematic diagram of section 1-1; (c) physical image; (d) concrete ring specimen after demolding.
Table 6.
Dimensions of the partially restrained ring test device.
Figure 3.
Partially restrained ring test with a clapboard: (a) plan schematic diagram; (b) schematic diagram of section 1-1.
4. Results and Discussion
4.1. Mechanical Properties of SFLWAC
Figure 4 presents the mechanical properties of SFLWAC across seven critical curing stages: 1, 2, 3, 5, 7, 14, and 28 d [16,32]. Alongside the elevation of steel fiber content from 0 to 2.0%, the splitting tensile strength of SFLWAC at 28 d surged from 2.85 MPa to 5.07 MPa, with the growth percentage reaching 77.9% [37]. When microcracks form in the concrete, the bond stress at the interface allows the tensile stress to be transferred to the steel fibers, which in turn enables continued bearing of tensile loads on the crack plane. Therefore, when the steel fiber content is confined within an appropriate range, the fibers not only retard the onset of internal cracks in the concrete matrix but also effectively restrict their propagation. Steel fiber-reinforced concrete exhibits a substantial improvement in tensile capacity [38,39].
Figure 4.
Mechanical properties of specimens: (a) splitting tensile strength; (b) elastic modulus.
As the steel fiber volume fraction rose from 0 to 2.0%, the elastic modulus at 28 d increased by just 5.2%, rising from an initial 27.74 GPa to a final 29.18 GPa. Within a certain range of steel fiber contents, steel fibers can be beneficial to the elastic modulus. However, steel fibers have a limited effect on the stiffness and thus contribute little to the improvement in the elastic modulus. This finding is in agreement with other studies [40,41].
Corresponding to the splitting tensile strength and elastic modulus, their respective development processes can be expressed in Equations (13) and (14) [20,42,43]. The fitting parameters (, ) of SFLWAC with different steel fiber contents can be derived from the splitting tensile strength and elastic modulus at different ages, which are presented in Table 7. Thus, the splitting tensile strength and elastic modulus at any age can be calculated.
where and are the splitting tensile strength at time t and 28 day, respectively, MPa; is a fitting parameter; and is the age after casting.
where and are the elastic modulus at time t and 28 day, respectively, GPa; is a fitting parameter; and is the age after casting.
Table 7.
Fitting parameters.
4.2. Autogenous Shrinkage of SFLWAC
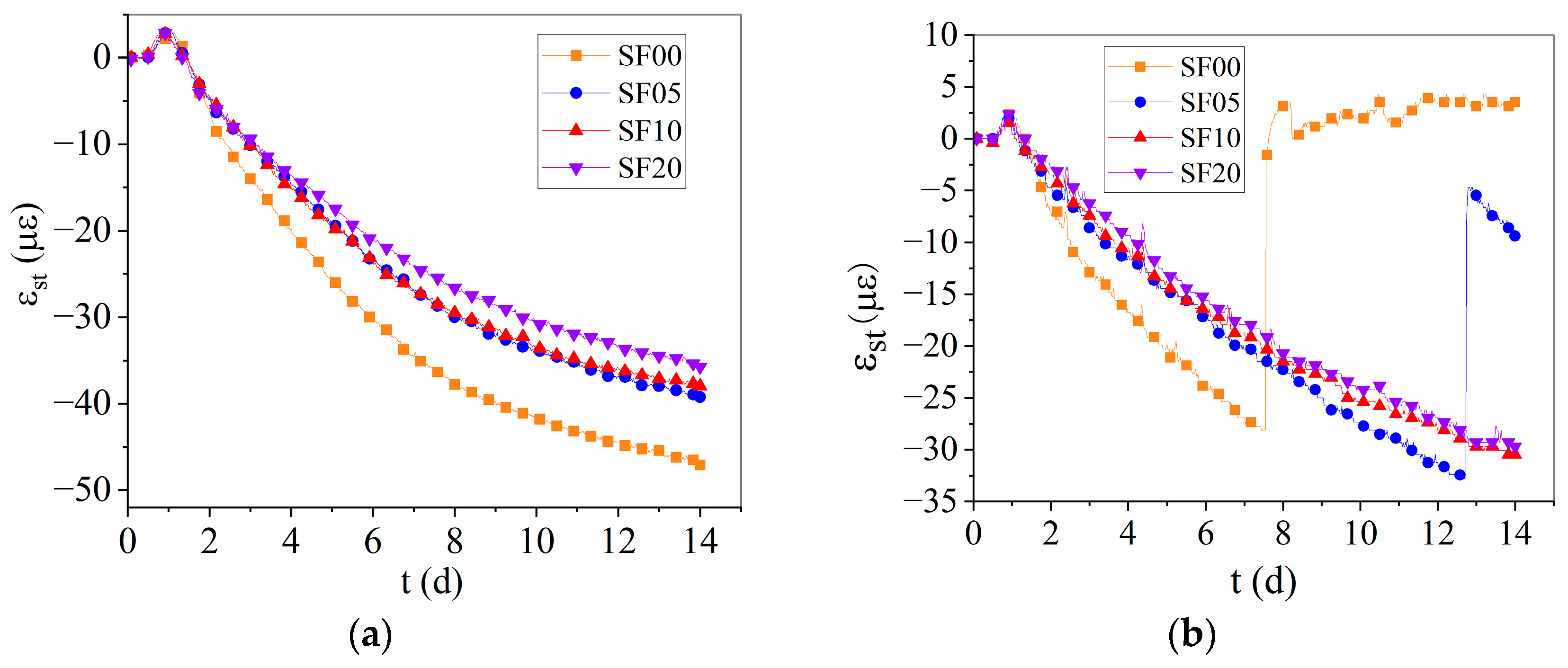
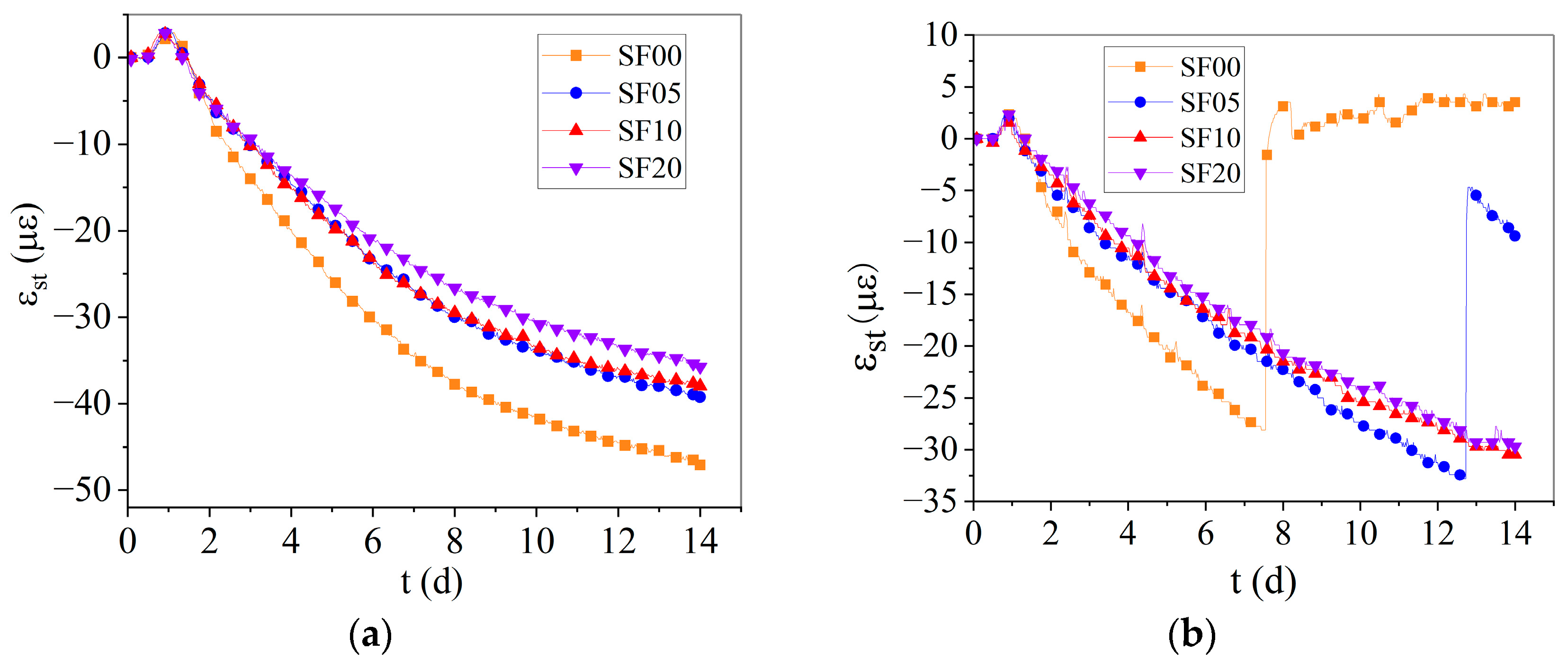
The strains in the interior steel ring for both Setup A and Setup B of SF00, SF05, SF10 and SF20 were obtained, as shown in Figure 5. In both types of partially restrained ring test setups, the strain in the interior steel ring exhibited a process of first slightly expanding and then gradually contracting to zero between 1.1 and 1.5 d. In the initial expansion phase, the interior steel ring experienced thermal expansion due to heat generated by cement hydration. The subsequent transition from expansion to contraction was driven by three factors: the declining rate of cement hydration, heat dissipation from the interior steel ring surpassing the heat input from hydration, and compressive stress induced by the restrained shrinkage of SFLWAC. These factors led to a gradual reduction in the expansive strain to zero. During this phase, accurate quantification of the temperature-induced deformation is challenging, the influence of autogenous shrinkage remains minimal. As such, the point at which the strain in the interior steel ring returns to zero is adopted as the initiation time for all subsequent analyses.
Figure 5.
Steel ring strain: (a) partially restrained ring test device A; (b) partially restrained ring test device B.
The autogenous shrinkage of SFLWAC, derived by subtracting the cumulative thermal strain from the total strain following Equation (12), is presented in Figure 6 [44]. The inclusion of steel fibers was found to reduce autogenous shrinkage, which gradually decreased with increasing steel fiber content [45,46]. Owing to the lower stiffness of lightweight aggregates, the restraining ability on shrinkage deformation of the cement matrix is weaker than that of ordinary coarse aggregates. However, owing to the self-curing mechanism, prewetted lightweight aggregates can reduce the shrinkage deformation of the cement matrix. Therefore, lightweight aggregate concrete exhibits distinct autogenous shrinkage behaviors compared to conventional coarse aggregate concrete.
Figure 6.
Autogenous shrinkage.
For steel fiber lightweight aggregate concrete, when concrete experiences autogenous shrinkage, the steel fibers do not shrink, leading to a tendency of relative displacement between lightweight aggregate concrete and fibers. This, in turn, enables steel fibers to exert a constraining effect on autogenous shrinkage. Moreover, as the steel fiber content increases, the autogenous shrinkage decreases correspondingly. Within the range of 0 to 2.0% steel fiber content, the autogenous shrinkage of SFLWAC decreases by 30.7%. This finding is consistent with the results of existing relevant studies [46,47].
Under identical restraining conditions, the smaller the shrinkage deformation and the higher the tensile capacity are, the lower the possibility of cracking due to autogenous shrinkage and the better the crack resistance.
4.3. Crack Resistance of SFLWAC
4.3.1. Crack Resistance According to ASTM C1581
In the partially restrained ring tests of Setup A with different steel fiber contents, no cracking occurred. The times from the initiation time to the conclusion time were 12.56, 12.60, 12.58, and 12.67 d. Similarly, in the partially restrained ring tests of Setup B, the times to ring cracking or test conclusion were 6.27, 11.55, 12.90, and 12.79 d. and for each group are shown in Figure 7.
Figure 7.
Cracking indicators and : (a) partially restrained ring test device A; (b) partially restrained ring test device B.
In the partially restrained ring tests of Setup A, no cracking occurred in any steel fiber content SFLWAC ring during the age of 14 d. The net cracking times were essentially equal across all mixes. When the volume fraction of steel fibers varies between 0.5% and 2.0%, the stress rate rises by a mere 0.01 MPa/day, and the stress rate remained the same at steel fiber contents of 0.5% and 1.0%. The marginal increase is considered insignificant according to the classification of cracking potential as ASTM C1581. The comprehensive index demonstrated effectiveness in evaluating the test results. As steel fiber content increased, the comprehensive index decreased continuously, whereas the crack resistance of SFLWAC improved. In the partially restrained ring tests of Setup B, Specimens SF00 and SF05 cracked within 14 d. The stress rates and comprehensive indices of the cracked groups were greater than those of the uncracked groups, and the indicators of SF00 were greater than those of SF05. However, for the uncracked groups, SF10 and SF20, the stress rates and comprehensive indices were essentially equal. That is, the method cannot be used to compare the crack resistance performance.
4.3.2. Crack Resistance via the Area Method
The crack resistance () in the two types of partially restrained ring tests (without or with a clapboard) are presented in Figure 8. With respect to the results from the tests of Setup A, since the stress in the SFLWAC ring was calculated via Equation (5), which differs from the method in Meng’s study, the resulting cracking indicator also varies [16].
Figure 8.
Cracking indicator .
In the partially restrained ring tests of Setup A, as the steel fiber content increased, as shown in Figure 5, the cracking indicators decreased, as shown in Figure 8, demonstrating a corresponding improvement in the crack resistance of the SFLWAC [16]. In the tests of Setup B, as shown in Figure 5, the sudden drop in the strain in the interior steel ring for SF00 and SF05 indicates cracking of the concrete ring samples. Since the indicator of SF05 is greater than that of SF00, the crack resistance of SF05 is better than that of SF00. In contrast, the steel ring strain curves of SF10 and SF20 only show an ascending segment, and the cracking indicator of SF20 is smaller than that of SF10, indicating that SF20 has better crack resistance than does SF10. Furthermore, since the uncracked samples (SF10 and SF20) demonstrate superior performances to the cracked samples (SF00 and SF05), it can be concluded that the crack resistance improves with increasing steel fiber content in SFLWAC [22].
In comparative experiments where some concrete ring samples cracked while others did not, the evaluation of crack resistance requires categorizing the results on the basis of whether cracking occurred. Therefore, a method with clearer physical significance that is capable of evaluating the crack resistance of SFLWAC without the need to distinguish between cracked and uncracked samples would be preferable.
4.3.3. Crack Resistance According to the Strain Energy Accumulation Degree
The results of accumulated strain energy density, critical average strain energy density, and strain energy accumulation degree for each group of partially restrained ring tests are presented in Figure 9.
Figure 9.
Cracking indicators , , : (a) partially restrained ring test device A; (b) partially restrained ring test device B.
In the partially restrained ring tests of Setup A, where none of the SFLWAC samples with different steel fiber contents cracked. With the steel fiber content increased, the strain energy accumulation degree decreased. And this resulted in a corresponding improvement in the crack resistance of SFLWAC. In the partially restrained ring tests of Setup B, the SF00 and SF05 ring samples reached their limits and cracked, with strain energy accumulation degrees of 0.784 and 0.755 at the time of cracking, respectively, indicating nearly identical ultimate values. The cracking time of SF00 was earlier than that of SF05, and the strain energy accumulation degrees of both groups were greater than those of SF10 and SF20. For the uncracked samples SF10 and SF20, the strain energy accumulation degree decreased with increasing steel fiber content. This demonstrates that cracking occurs when the strain energy accumulation degree reaches its ultimate value, whereas below this threshold, the strain energy accumulation degree decreases with increasing steel fiber content. The results for evaluating crack resistance are consistent with those from the partially restrained ring test without a clapboard.
The method of ASTM C1581 is strain-based. According to the values of the cracking indicators, the cracking potential can be classified into four grades. For some SFLWAC samples with excellent crack resistance, the close values of the evaluation indicators make it impossible to compare which type of SFLWAC has better crack resistance. The area method is based on stress. When evaluating crack resistance by the value of the area, if all the samples are uncracked, the smaller the area is, the better the crack resistance is; however, if all the samples are cracked, a larger area corresponds to enhanced crack resistance. Although the evaluation criteria are actually consistent, they seem contradictory. The method of determining the strain energy accumulation degree is an energy-based evaluation. Moreover, the physical meaning of strain energy accumulation degree is clear, and it has good applicability for different types of partially restrained ring test results. SEAD is an assessment method based on partially restrained ring tests to evaluate crack resistance of SFLWAC. This evaluation method is independent of the concrete type and can theoretically be applied to analyze the crack resistance of other types of concrete under partially restrained ring tests. However, this requires further experimental validation.
5. Conclusions
This study investigated the crack resistance of SFLWAC by combining mechanical testing, autogenous shrinkage measurements, and partially restrained ring tests and by comparing three different crack resistance indices. The primary conclusions may be summarized as follows:
(1) Increasing the steel fiber volume fraction from 0 to 2.0% markedly improved the properties that govern cracking. The 28-day splitting tensile strength increased by 77.9%, whereas the autogenous shrinkage decreased by 30.7%. This combination of higher tensile capacity and reduced shrinkage leads to significantly better resistance of SFLWAC to shrinkage-induced cracking under restraint.
(2) The accumulated strain energy density provides a direct measure of the driving force associated with restrained shrinkage. The proposed strain energy accumulation degree (SEAD), defined as the ratio between the accumulated and critical strain energy density, clearly correlated with crack initiation in the partially restrained ring tests: larger SEAD values corresponded to a greater cracking risk, i.e., poorer crack resistance of SFLWAC.
(3) For the tested mixtures and ring configurations, the conventional ASTM C1581 index and the stress-based area index exhibited limitations in discriminating mixtures when some ring samples cracked, whereas others remained uncracked. In contrast, the SEAD index offers a unified and physically meaningful energy-based criterion that can be applied consistently to both cracked and uncracked rings, providing a clearer ranking of the crack resistance of mixtures with different fiber contents.
(4) The SEAD-based energy framework is not restricted to SFLWAC or to the particular partially restrained ring tests used in this study. It can, in principle, be extended to other fiber-reinforced concretes and to a broader range of shrinkage-related cracking problems, but this requires further experimental verification. Future research will examine the influence of aggregate type, fiber type and dosage, and environmental conditions and compare lightweight and normal-weight concrete systems to further validate and generalize the SEAD-based crack resistance evaluation method. Future research will employ additional ring tests with varying steel fiber contents to further verify whether the critical value of the strain energy accumulation degree is independent of the steel fiber volume fraction. Furthermore, ring tests on normal concrete or concrete reinforced with other fiber types will be conducted to further investigate the magnitude of this critical value.
This study is limited by the mechanical properties, autogenous shrinkage, and crack resistance of SFLWAC. Due to limitations in the test setup and conditions, the group number of specimens that developed cracking was relatively small, resulting in an insufficient investigation into the critical value of the strain energy accumulation degree. Research on variables other than steel fiber content is lacking, and comparative studies on ordinary coarse aggregate concrete are lacking. In future research, studies will be conducted on crack resistance with different aggregates and fiber types under various environmental conditions to substantiate the viability of the proposed crack resistance evaluation method.
Author Contributions
Conceptualization, B.Z., Y.Z. and W.W.; methodology, B.Z.; validation, B.Z., Y.Z. and W.W.; formal analysis, B.Z.; investigation, B.Z. and W.W.; data curation, W.W.; writing—original draft preparation, B.Z.; writing—review and editing, Y.Z. and W.W.; supervision, Y.Z. and W.W. All authors have read and agreed to the published version of the manuscript.
Funding
This research was funded by Scientific Research Plan Project of Fuzhou Polytechnic College, grant number FZYKJJH202503.
Data Availability Statement
Data will be made available upon request.
Conflicts of Interest
The authors declare no conflicts of interest.
Abbreviations
The following abbreviations are used in this manuscript:
| SFLWAC | steel fiber-reinforced lightweight aggregate concrete |
| SEAD | strain energy accumulation degree |
| ASTM | American Society for Testing and Materials |
References
- Rossi, P. Cracking process of early-age concretes: Basis of numerical probabilistic models. Buildings 2025, 15, 2259. [Google Scholar] [CrossRef]
- Wen, C.; Shen, D.; Jiao, Y.; Liu, C.; Li, M. Early-age cracking resistance of reinforced high-strength concrete. ACI Struct. J. 2024, 121, 15–24. [Google Scholar] [CrossRef]
- Bourchy, A.; Nedjar, B.; Torrenti, J.M. Concrete cracking risk analysis at early age by means of a ring test. Constr. Build. Mater. 2025, 482, 141446. [Google Scholar] [CrossRef]
- Gasser, C.; Manninger, T.; Vorwagner, A.; Klackl, S.; Krispel, S.; Stadler, C.; Kleiser, M. Experimental study on the impact of traffic-induced vibrations on early-age concrete. Struct. Concr. 2025, 26, 1–18. [Google Scholar] [CrossRef]
- Qu, Z.; Zhang, Y.; Liu, Z.; Si, R.; Wu, J. A review on early-age cracking of concrete: Causes and control. Case Stud. Constr. Mater. 2024, 21, e03848. [Google Scholar] [CrossRef]
- Shen, D.; Jiang, J.; Jiao, Y.; Shen, J.; Jiang, G. Early-age tensile creep and cracking potential of concrete internally cured with pre-wetted lightweight aggregate. Constr. Build. Mater. 2017, 135, 420–429. [Google Scholar] [CrossRef]
- Hu, N.; Hu, D.; Ben, S.; Chen, S.; Zhao, H. Effect of superabsorbent polymers and presoaked coarse recycled shale lightweight aggregates on relative humidity development in early-age concrete. Buildings 2024, 14, 2159. [Google Scholar] [CrossRef]
- Tankasala, A.; Schindler, A.K. Early-age cracking of lightweight mass concrete. ACI Mater. J. 2020, 117, 223–232. [Google Scholar] [CrossRef]
- Zieliński, A.; Schindler, A.K.; Kaszyńska, M. Cracking risk of high-performance cement composites due to restrained autogenous shrinkage with and without soaked lightweight aggregate. Arch. Civ. Eng. 2023, 69, 603–618. [Google Scholar] [CrossRef]
- Yue, J.G.; Xia, Y.F.; Fang, H. Experimental study on fracture mechanism and tension damage constitutive relationship of steel fiber reinforced concrete. China Civ. Eng. J. 2021, 54, 93–106. [Google Scholar]
- Hogancamp, J.; Grasley, Z. The use of microfine cement to enhance the efficacy of carbon nanofibers with respect to drying shrinkage crack resistance of portland cement mortars. Cem. Concr. Compos. 2017, 83, 405–414. [Google Scholar] [CrossRef]
- Ma, R.; Guo, L.; Ye, S.; Sun, W.; Liu, J. Influence of hybrid fiber reinforcement on mechanical properties and autogenous shrinkage of an ecological UHPFRCC. J. Mater. Civ. Eng. 2019, 31, 04019032. [Google Scholar] [CrossRef]
- Altoubat, S.A.; Lange, D.A. Creep, shrinkage, and cracking of restrained concrete at early age. ACI Mater. J. 2001, 98, 323–331. [Google Scholar] [CrossRef]
- Kang, J.; Shen, D.; Liu, C.; Li, M.; Wen, C.; Shi, X. Early-age autogenous shrinkage and cracking risk of 5D hooked-end steel fiber–reinforced high-strength concrete under uniaxial restrained condition. J. Mater. Civ. Eng. 2023, 35, 04023220. [Google Scholar] [CrossRef]
- Mortada, Y.; Hammoud, A.; Masoud, L.; Wyrzykowski, M.; Sirtoli, D.; Lura, P.; Mansoor, B.; Masad, E. 3D printable Ca(OH)2-based geopolymer concrete with steel fiber reinforcement. Mater. Struct. 2024, 58, 73. [Google Scholar] [CrossRef]
- Meng, W.H.; Xu, J.W. Study on crack resistance of steel fiber reinforced ceramsite concrete. Concrete 2018, 54–57. [Google Scholar] [CrossRef]
- Zhang, B.B.; Zheng, W.Y. Experimental study on early age anti-cracking performance of steel fiber lightweight aggregate concrete. Jiangxi Build. Mater. 2024, 19–21. [Google Scholar]
- ASTM C1581/C1581M-24; Standard Test Method for Determining Age at Cracking and Induced Tensile Stress Characteristics of Mortar and Concrete Under Restrained Shrinkage. ASTM International: West Conshohocken, PA, USA, 2024.
- Kovler, K.; Bentur, A. View Correspondence, Cracking sensitivity of normal- and high-strength concretes. ACI Mater. J. 2009, 106, 537–542. [Google Scholar] [CrossRef]
- Shen, D.; Kang, J.; Yi, X.; Zhou, L.; Shi, X. Effect of double hooked-end steel fiber on early-age cracking potential of high strength concrete in restrained ring specimens. Constr. Build. Mater. 2019, 223, 1095–1105. [Google Scholar] [CrossRef]
- Shen, D.; Liu, C.; Luo, Y.; Shao, H.; Zhou, X.; Bai, S. Early-age autogenous shrinkage, tensile creep, and restrained cracking behavior of ultra high-performance concrete incorporating polypropylene fibers. Cem. Concr. Compos. 2023, 138, 104948. [Google Scholar] [CrossRef]
- Ji, T.; Zhang, B.B.; Chen, Y.B.; Zhuang, Y.Z. Evaluation method of cracking resistance of lightweight aggregate concrete. J. Cent. S. Univ. 2014, 21, 1607–1615. [Google Scholar] [CrossRef]
- Ji, T.; Chen, C.-Y.; Chen, Y.-Y.; Zhuang, Y.-Z.; Chen, J.-F.; Lin, X.-J. Effect of moisture state of recycled fine aggregate on the cracking resistibility of concrete. Constr. Build. Mater. 2013, 44, 726–733. [Google Scholar] [CrossRef]
- Yang, M.; Yuan, W.; Dong, W.; Zhang, B.; Lu, Q. An extended average strain energy density criterion for predicting crack propagation of mixed mode I-II fracture in concrete. Eng. Fract. Mech. 2025, 321, 111107. [Google Scholar] [CrossRef]
- Yang, M.; Rong, H.; Dong, W.; Yuan, W.; Zhang, B.; Yu, L. Energy criterion for predicting crack initiation in mixed mode I–II fracture of concrete under long-term loading. Constr. Build. Mater. 2025, 489, 142210. [Google Scholar] [CrossRef]
- Moon, J.H.; Weiss, J. Estimating residual stress in the restrained ring test under circumferential drying. Cem. Concr. Compos. 2006, 28, 486–496. [Google Scholar] [CrossRef]
- Yoo, D.Y.; Park, J.J.; Kim, S.W.; Yoon, Y.S. Influence of ring size on the restrained shrinkage behavior of ultra high performance fiber reinforced concrete. Mater. Struct. 2014, 47, 1161–1174. [Google Scholar] [CrossRef]
- See, H.; Attiogbe, E.; Miltenberger, M. Potential for Restrained Shrinkage Cracking of Concrete and Mortar. Cem. Concr. Aggreg. 2004, 26, 123–130. [Google Scholar] [CrossRef]
- Carrillo, J.; Ramirez, J.; Lizarazo-Marriaga, J. Modulus of elasticity and Poisson’s ratio of fiber-reinforced concrete in Colombia from ultrasonic pulse velocities. J. Build. Eng. 2019, 23, 18–26. [Google Scholar] [CrossRef]
- GB/T 50081-2002; Standard for Test Method of Mechanical Properties on Ordinary Concrete. Ministry of Construction of the People’s Republic of China: Beijing, China, 2003.
- GB/T 50082-2009; Standard for Test Methods of Long-Term Performance and Durability of Ordinary Concrete. Ministry of Housing and Urban—Rural Development of the People’s Republic of China: Beijing, China, 2009.
- Yang, F.F.; Zhuang, Y.Z.; Zhang, B.B. Development of mechanical properties of steel fiber reinforced ceramsite concrete based on Eurocode. J. Water Resour. Archit. Eng. 2017, 15, 57–63. [Google Scholar]
- Chen, X.F. Research for Effects of Lightweight Aggregate On Early-Age Autogenous Shrinkage of High-Performance Concrete. Master’s Thesis, Fuzhou University, Fuzhou, China, 2012. [Google Scholar]
- Zhang, B.B.; Ji, T.; Lin, X.J. Effect of steel fiber content on early age autogenous shrinkage of ceramsite concrete. J. Fuzhou Univ. 2015, 43, 377–381. [Google Scholar]
- Tian, Q.; Jensen, O.M. Measurement with corrugated tubes of early-age autogenous shrinkage of cement-based materials. J. Chin. Ceram. Soc. 2009, 37, 39–45. [Google Scholar]
- Weiss, J.; Hossain, A.B. Assessing residual stress development and stress relaxation in restrained concrete ring specimens. Cem. Concr. Compos. 2004, 26, 531–540. [Google Scholar] [CrossRef]
- Olutoge, F.A.; Bhashya, V.; Ramesh, G. Evaluation of residual strength properties of steel fiber reinforced concrete. J. Emerg. Trends Eng. Appl. Sci. 2013, 4, 168–172. [Google Scholar]
- Abbas, S.; Soliman, A.M.; Nehdi, M.L. Exploring mechanical and durability properties of ultra high performance concrete incorporating various steel fiber lengths and dosages. Constr. Build. Mater. 2015, 75, 429–441. [Google Scholar] [CrossRef]
- Liu, C.; Shen, D.; Yang, X.; Shao, H.; Tang, H.; Cai, L. Early-age properties and shrinkage induced stress of ultrahigh-performance concrete under variable temperature and uniaxial restrained condition. Constr. Build. Mater. 2023, 384, 131382. [Google Scholar] [CrossRef]
- Reinhardt, H.W.; Naaman, A.E. International Workshop—High Performance Fiber Reinforced Cement Composites. Mater. Constr. 1992, 25, 60–62. [Google Scholar] [CrossRef]
- Alsalman, A.; Dang, C.N.; Prinz, G.S.; Hale, W.M. Evaluation of modulus of elasticity of ultrahigh performance concrete. Constr. Build. Mater. 2017, 153, 918–928. [Google Scholar] [CrossRef]
- EN 1992-1-1; Eurocode 2: Design of Concrete Structures—Part 1-1: General Rules and Rules for Buildings. European Committee for Standardization: Brussels, Belgium, 2004.
- Fib Model Code 2010; Model Code for Concrete Structures. International Federation for Structural Concrete (FIB): Lausanne, Switzerland, 2013.
- Zhang, B.B. Experimental study on autogenous shrinkage of steel fiber lightweight aggregate concrete. Constr. Mach. Technol. Manag. 2024, 37, 84–86. [Google Scholar]
- Shen, D. Early-Age Cracking Control on Modern Concrete; Science Press: Beijing, China; Springer: Berlin/Heidelberg, Germany, 2024. [Google Scholar]
- Choi, J.S.; Lee, H.J.; Yuan, T.F.; Yoon, Y.S. Mechanical and shrinkage performance of steel fiber reinforced high strength self-compacting lightweight concrete. Cem. Concr. Compos. 2023, 144, 105296. [Google Scholar] [CrossRef]
- Jiao, Y.; Wang, J.; Xu, Q.; Qi, J.; Yao, Y. Experimental study on early-age autogenous shrinkage and shrinkage induced stress of CA-UHPC under uniaxial restrained condition: Effects of coarse aggregate size and steel fiber volume fraction. Constr. Build. Mater. 2025, 482, 141236. [Google Scholar] [CrossRef]
Disclaimer/Publisher’s Note: The statements, opinions and data contained in all publications are solely those of the individual author(s) and contributor(s) and not of MDPI and/or the editor(s). MDPI and/or the editor(s) disclaim responsibility for any injury to people or property resulting from any ideas, methods, instructions or products referred to in the content. |
© 2026 by the authors. Licensee MDPI, Basel, Switzerland. This article is an open access article distributed under the terms and conditions of the Creative Commons Attribution (CC BY) license.








