You are currently viewing a new version of our website. To view the old version click .
Buildings
  • This is an early access version, the complete PDF, HTML, and XML versions will be available soon.
  • Article
  • Open Access

14 November 2025

Post-Fire Behavior of Thin-Plated Unstiffened T-Stubs Connected to Rigid Base

1
Faculty of Engineering, Department of Civil Engineering, Necmettin Erbakan University, Konya 42000, Turkey
2
Department of Unique Buildings and Constructions Engineering, Don State Technical University, Gagarin Sq. 1, Rostov-on-Don 344003, Russia
3
Department of Technical Sciences, Western Caspian University, Baku 1001, Azerbaijan
This article belongs to the Special Issue Structural Response of Buildings in Fire

Abstract

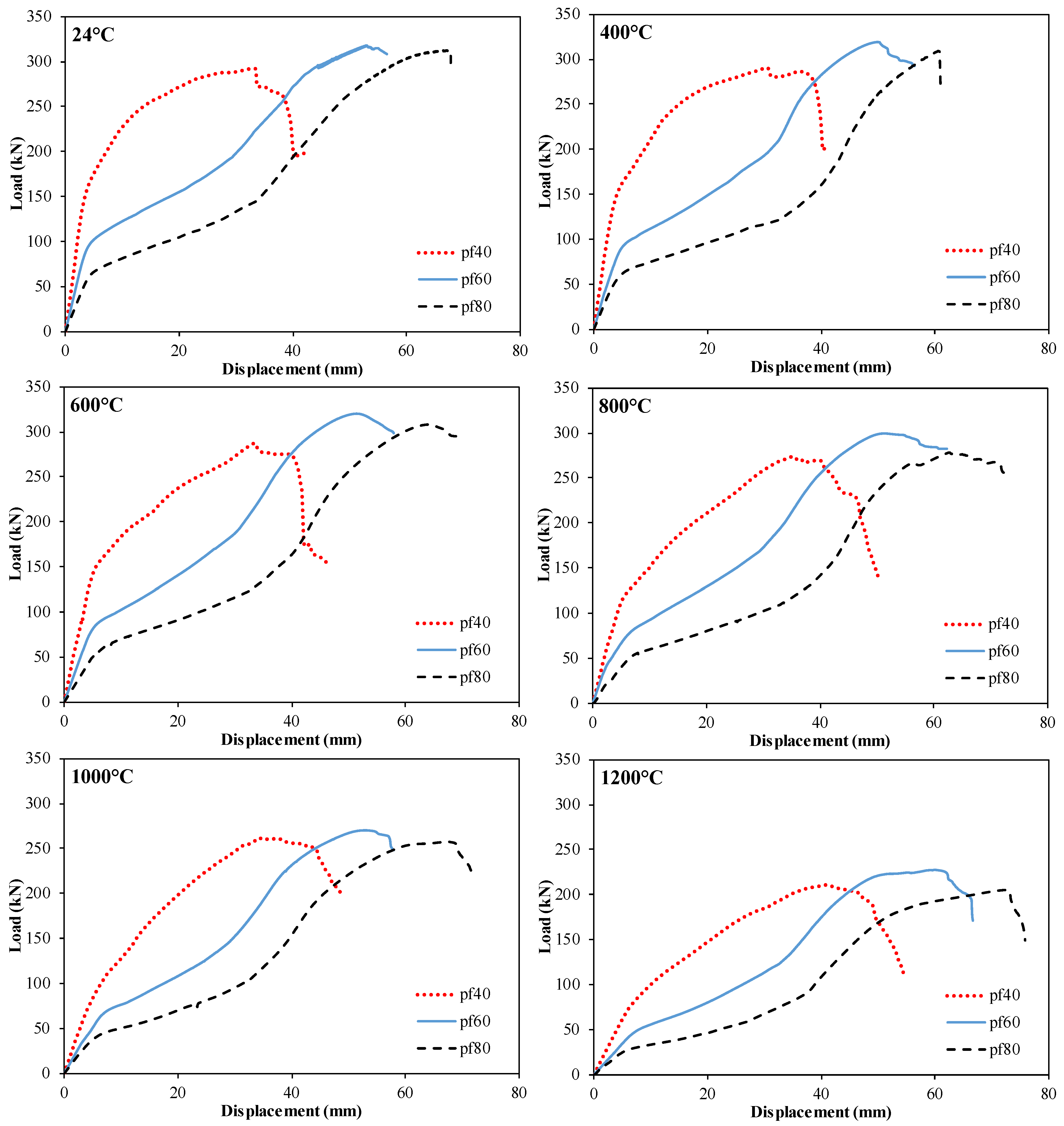
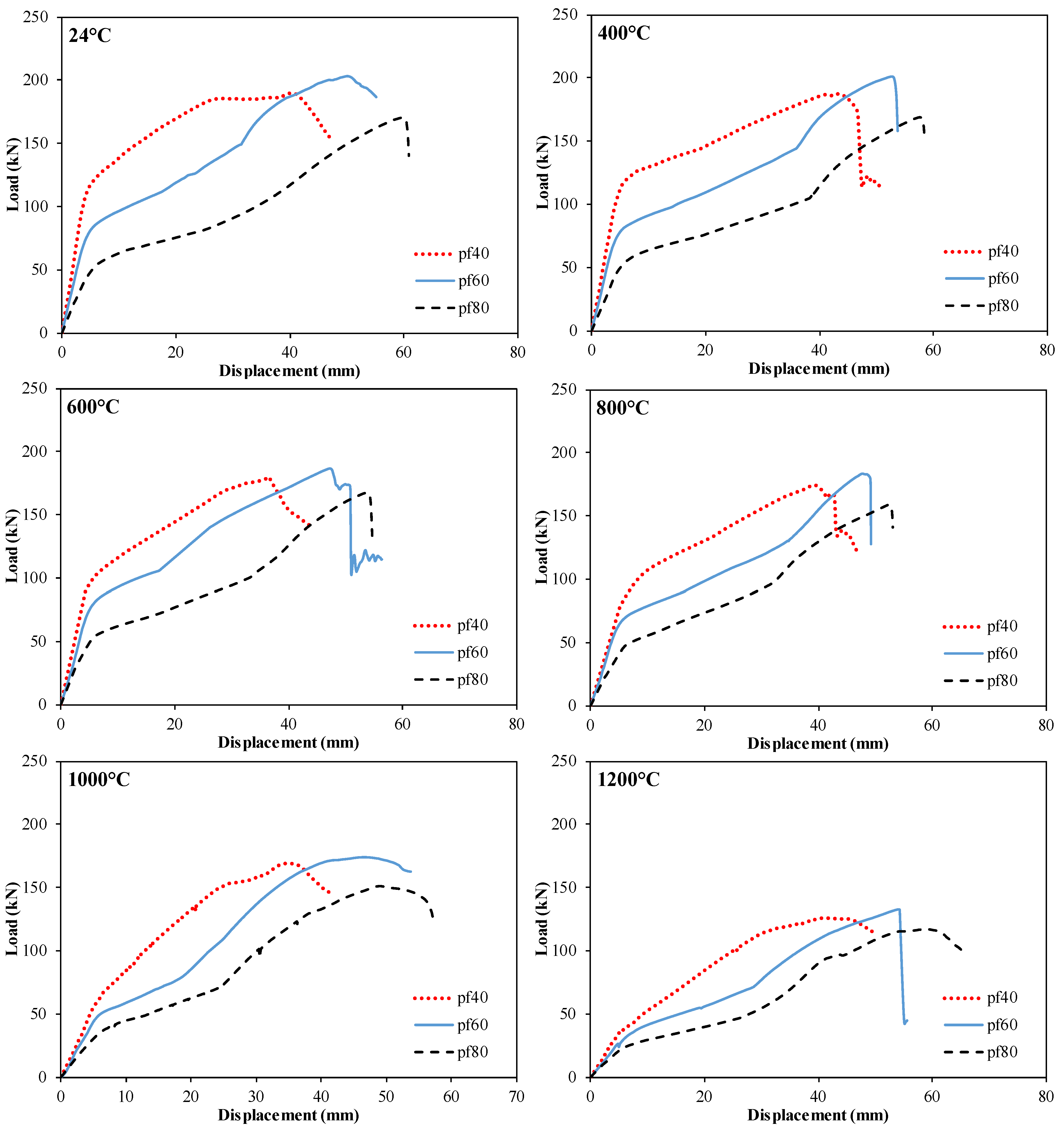
Despite tremendously valuable work on the T-stub, its safety and reliability in post-fire conditions remain a major concern. It is well known that steel is sensitive to high temperatures. Material degradation at high temperatures is likely to cause the T-stub to yield or gradually collapse, potentially leading to the failure of the entire structure. Recent studies have shown that steel joints exhibit a significant change in moment-rotational response post-fire, as the joint’s load–displacement behavior and failure modes change with increasing exposed temperature. However, studies on T-stubs at high post-fire temperatures are very limited. In this study, the aim is to investigate the post-fire load–displacement curves, ductility, plastic, and ultimate capacities of the unstiffened T-stub connected to a rigid base as a function of the exposed temperature. Of the 36 unstiffened T-stubs tested, 30 were subjected to high temperatures. The selected temperature values were 400 °C, 600 °C, 800 °C, 1000 °C, and 1200 °C. A thin plate of 10 mm was selected for the flange of the T-stub in order to obtain mode 1 behavior. Bolts of M16 and M24 were utilized in order to investigate the effects of bolt diameter on the behavior due to the change in distance of plastic hinges. Furthermore, the distances from a T-stub stem to bolt row (pf) of 40 mm, 60 mm, and 80 mm were selected. As pf values decrease, the plastic capacity increases, while the ultimate displacement capacity and the ductility decrease. A direct relation between pf and yield displacement, and between pf and ultimate capacity, was not detected. As the applied temperature increases, the yield displacement increases and the ductility decreases. No significant change in either the plastic or ultimate capacity was observed up to 400 °C. At higher exposed temperatures, the plastic and ultimate capacity decrease as the applied elevated temperature increases. A significant reduction in the plastic and ultimate capacity was especially observed after post-fire exposure to 1000 °C and 1200 °C. The effects of elevated temperature are more pronounced for the plastic capacity of materials. Reduction factors for both plastic and ultimate capacities were proposed to account for the post-fire effects. The proposed reduction factors can predict the effects of a post-fire environment with high accuracy. The results were compared with AISC 358 and Eurocode 3, and it was revealed that the current standards underestimate the actual capacities. A modified calculation, including a reduction factor, is proposed to obtain more accurate results of unstiffened T-stubs for post-fire conditions.

Article Metrics

Citations

Article Access Statistics

Multiple requests from the same IP address are counted as one view.