Next Article in Journal
A Comprehensive Theoretical Framework for Elastic Buckling of Prefabricated H-Section Steel Wall Columns
Previous Article in Journal
Post-Fire Behavior of Thin-Plated Unstiffened T-Stubs Connected to Rigid Base
 
 
Font Type:
Arial Georgia Verdana
Font Size:
Aa Aa Aa
Line Spacing:
Column Width:
Background:
Article

Pedestrian-Induced Bridge Vibration Driven by Behavioral Preferences

School of Civil Engineering, Beijing Jiaotong University, Beijing 100044, China
*
Author to whom correspondence should be addressed.
Buildings 2025, 15(22), 4114; https://doi.org/10.3390/buildings15224114
Submission received: 13 October 2025 / Revised: 4 November 2025 / Accepted: 10 November 2025 / Published: 14 November 2025
(This article belongs to the Section Building Structures)

Abstract

Modern lightweight pedestrian bridges exhibit heightened susceptibility to human-induced vibration due to low natural frequencies and high flexibility. This study integrates behavioral science to explore pedestrian–structure coupling, developing a novel bidirectional biomechanical model capturing vertical/lateral movements. Body dynamics were solved iteratively. Concurrently, an agent-based cellular automata model embedded pedestrian social attributes and mutual exclusion to simulate crowd flow. Coupling these with finite element bridge analysis simulated vibration responses. Experimental validation confirms the model’s validity. This work advances a behavioral science perspective for mechanistically understanding pedestrian-induced vibration in flexible bridges, thereby contributing to strategies for mitigating vibration-induced disasters like structural damage or crowd panic.

1. Introduction

With the continuous development of lightweight construction materials and the increasing emphasis on the esthetic design of buildings, the design of pedestrian overpasses has also changed accordingly. Nowadays, pedestrian overpasses have larger spans and stronger load-bearing capacities, but their own natural frequencies are lower. It is worth noting that these reduced fundamental frequencies are often very close to the frequency of people walking. This resonance situation often leads to excessive vibrations in the bridge’s structure when pedestrians pass through. This not only greatly affects the walking comfort of pedestrians, but in severe cases, it may even hinder the normal passage of pedestrians. In addition, for lightweight bridges, the load exerted by pedestrians cannot be simply regarded as a static or vibrating moving force. The bridge responses caused by pedestrians walking, running, jumping, and swaying at different speeds are different [1,2].
In fact, pedestrians themselves are like a coupled system composed of mass, spring, and damping. The dynamic interaction between pedestrians and the bridge structure, including the specific position where the load is applied, will fundamentally change the vibration characteristics of the bridge.
Wheeler [3] established the relationship between step frequency and dynamic loading characteristics, while Pancaldi et al. [4] developed statistical methods to quantify walking force variability. Advances in biodynamic models of pedestrians included Kuo’s [5] inverted pendulum model for lateral balance, Geyer’s [6] bipedal walking model for 3D loading effects, and Zhu’s [7] improved version incorporating foot–ground interactions.
Pedestrian bridge traffic dynamics are complex. In the current urbanization process, the importance of crowd evacuation in urban planning and security management has become increasingly prominent. In the event of emergencies such as fires, earthquakes, and terrorist attacks, effective evacuation can quickly move people from dangerous areas to safe areas, thus minimizing casualties and property losses. As intelligent entities, pedestrians respond to both the movement of the structure and the presence of other pedestrians. Consequently, pedestrian traffic flow models are categorized into macroscopic and microscopic models.
Some studies about pedestrian behavior can be found as follows. Macroscopic models analyzed density–flow relationships but lack granularity [8,9]. Muraleetharan et al. [10] identified limitations in simulating pedestrian movement due to insufficient level-of-service data, a gap addressed by Shen et al. [11] through cluster analysis and meta-regression. While macro models offer a holistic view of pedestrian behavior and interactions, their precision is limited. Microscopic models now supplement macro models, improving pedestrian behavior analysis. Microscopic models, like the social force model [12,13] and its extensions [14,15], enable finer-scale simulations of crowd behavior and vibration mitigation strategies.
The theory of cellular automata (CA), first proposed by Neumann and Burks in 1954, has become a powerful tool for simulating crowd dynamics, particularly in evacuation scenarios. CA models excel at capturing emergent behaviors in pedestrian flows through simple local interaction rules operating on discrete grid systems. Blue et al. [16] were the first to use the CA model to study the movement mode of pedestrian flow. By dividing space into grids of the same scale and then evolving and updating according to the evolution rules of characteristics, Wolf [17] further advanced CA as a versatile computational tool across multiple disciplines. Subsequent studies addressed CA’s limitations: Yamamoto et al. [18] introduced real-coded CA (RCA), enabling multidirectional and continuous pedestrian movement beyond discrete grids, while Bandini et al. [19] incorporated stochasticity to better replicate realistic crowd distributions. Recent work emphasizes dynamic adaptability—Padovani et al. [20] developed an adaptive CA model that adjusts rules in real-time for complex environments and Mao et al. [21] extended this by integrating psychological and physiological heterogeneity to refine multi-behavior interactions during emergency evacuations.
Pedestrian behavior depends on preferences, which affect movement and decisions. Recent studies demonstrate their importance in urban design and walkability assessments. Kim et al. [22] employed multilevel modeling to analyze the impact of built environment factors on pedestrian satisfaction. Their findings revealed that both meso-scale factors and micro-scale factors significantly influence pedestrian satisfaction. Furthermore, they found that pedestrians’ perceptions of the environment vary depending on their trip purposes. Liang et al. [23] enhanced pedestrian accessibility analysis by integrating street-level infrastructure with individual preferences. Facchini et al. [24] advanced preference measurement through comparative VR studies, establishing immersive technology’s superiority in capturing authentic behaviors. Naseri et al. [25] identified key psychological factors and demographic variables as primary determinants of pedestrian behavior in urban environments. These findings collectively highlight behavioral preferences as essential for optimizing pedestrian spaces and urban mobility systems.
While these models offer insights into pedestrian behavior to some extent, they do not fully capture the intricate dynamics of pedestrian–structure interactions. To achieve more accurate simulations, a comprehensive understanding of pedestrian behavioral nuances is imperative. Similarly, there are challenges in studying crowd load trajectories. Existing models, whether macroscopic or microscopic, have their limitations in reflecting the intricacies of pedestrian movements and their social attributes. Advancements in loading methods for random crowd loads can further enhance the accuracy of pedestrian bridge vibration analyses.
In this paper, Section 2 establishes a bidirectional multi-degree-of-freedom bipedal walking model. Section 3 introduces the field test of the pedestrian bridge to verify the proposed human–structure interaction model. Section 4 establishes a cellular automaton crowd model including static field, dynamic field, and repulsive field to simulate the movement of pedestrians in different scenarios. Section 5 combines the crowd model with the finite element bridge model to analyze the vibration response under different pedestrian parameters and densities. Section 6 lists the limitations of this article. Finally, Section 7 summarizes the main conclusions of the vibrations caused by pedestrians driven by behavioral preferences, highlighting the contribution of this comprehensive approach.

2. Multi-Degree-of-Freedom Single-Pedestrian Dynamics Model

2.1. Establishment of Bipedal Single-Pedestrian Model

Pedestrians can be divided into three mass blocks: the torso and two legs, represented by M, and m, respectively. These are interconnected through springs and dampers to form a multi-degree-of-freedom mass–spring–damper model in both lateral and vertical directions. Together, Kp, Mp, and Cp constitute the human body matrix, as shown in Figure 1.
The mass matrix of the human body can be expressed in Equation (1):
M P =   M 0 0 0 0 M 0 0 0 0 m 0 0 0 0 m
where M represents the upper body mass, accounting for about 68% of the body mass; m represents the effective mass of one leg when walking, which is about 20% of the total body mass [26]. Body weight follows a normal distribution N (700, 145).
The stiffness matrix of the human body can be expressed by Equation (2):
K P =   2 k 2 0 k 2 k 2 0 k 3 0 0 k 2 0 k 1 + k 2 0 k 2 0 0 k 1 + k 2
where the inherent stiffness of the thigh is represented by k1, the inherent stiffness of the portion below the knee is represented by k2, and the stiffness representing the lateral interaction between the human body and the pedestrian bridge is denoted by k3. Since the stiffness and damping change with the walking speed during the walking process [27], we set the values of spring stiffness and damping within a physiologically reasonable range to achieve stable movement of the model [28,29,30], k1 = 40,000 N/m, k2 = 31,000 N/m and k3 = 1500 N/m. The damping matrix of the human body can be represented by Equation (3).
c P = 2 c 2 0 c 2 c 2 0 c 3 0 0 c 2 0 c 1 + c 2 0 c 2 0 0 c 1 + c 2
where c1 = 500 N·s/m, c2 = 7500 N·s/m, and c3 = 260 N·s/m.
During the act of walking, a person’s feet do not align in a straight trajectory; instead, they alternately exert loads onto the pedestrian bridge. Consequently, the bi-pedal multi-degree-of-freedom bio-mechanical model presented in this paper adopts a discrete loading by methodology. It is essential to differentiate between the load distributions of the left and right feet. The trajectory of the pedestrian’s walking load is depicted in Figure 2.
In order to realize the pedestrian load, a load transformation model is proposed, that is, M-type force projection function P t ; P t can be obtained from Formula (4):
P t = i = 1 8 K i t i
where the value of coefficient K can be found in Table 1.
This chapter will use a continuous step load model (i.e., Fourier series model) on the structure; namely, in the process of walking, every single foot falling in the lateral direction forces the Fourier series model into a half a cycle, an example of a Fourier series model from the international standard organization ISO 10137 [31] using a horizontal load model, is Equation (5):
F L t = 0.1 × G ( sin 2 π f L t + s i n ( 4 π f L t ) )
where G is the weight of the pedestrian. f L is the pedestrian walking frequency.
The force exerted by a person on a pedestrian bridge can be represented by Equations (6)–(8):
F p v = G P t + k 1 u b p v + c 1 u ˙ b p v
F p h = F L ( t ) + k 3 u b p h + c 3 u ˙ b p h
F p = F p v F p h
where Fpv and Fph, respectively, represent the vertical and lateral forces exerted by the pedestrian on the pedestrian bridge. k1 and c1 denote the stiffness and damping at the pedestrian’s lower leg. This assumes that when the pedestrian progresses by alternating between the left and right feet, only one leg contacts the structure at a time. Therefore, it is only necessary to calculate the stiffness and damping of the leg. ubpv and ubph represent the relative displacement in the vertical and horizontal, respectively, between the pedestrian’s center of mass and the structure during walking. This displacement can be calculated using Equations (9) and (10).
u b p v = y 1 ϕ v 1 q v 1
u b p h = y 2 ϕ h 1 q h 1
where y1 and y2 represent the relative displacement between the human body’s center of mass and the ground during each single-foot contact with the structure. ϕv1 and ϕh1 denote the vertical and lateral modes, respectively. qv1 and qh1 represent the vertical and lateral displacements of the structure’s first mode, respectively. Therefore, the forces Fbv and Fbh exerted by the structure on the pedestrian can be calculated using the following equations, Equations (11) and (12).
F b v = F p v k 1 y 1 c 1 y ˙ 1
F b h = F p h k 3 y 2 c 3 y ˙ 2
F b = F b v F b h
Given the mass matrix Mb, stiffness matrix Kb, and the first and second frequencies (ω1, ω2) of the pedestrian bridge structure, as well as the damping ratio ζ, the damping matrix Cb of the structure can be derived from Rayleigh damping, as shown in Equation (14):
C b = a 0 M b + a 1 K b
where a0 and a1 are orthogonal condition coefficients, obtained from Equation (15):
a 0 a 1 = 2 ζ ω 1 + ω 2 ω 1 ω 2 1
Using the Newmark-β method, the vibration responses of various parts of the human body and the pedestrian bridge can be obtained. The iterative formulas for the velocity and displacement responses of the pedestrian bridge structure are shown in Equations (16) and (17):
u ˙ p t + Δ t = u p t + 1 γ Δ t u ¨ p t + γ Δ t u ¨ p t + Δ t
u p t + Δ t = u p t + Δ t u ˙ t + 1 2 β Δ t 2 u ¨ p t + β Δ t 2 u ¨ p t + Δ t
u ˙ p and u p represent the velocity and displacement of the pedestrian bridge structure, respectively. γ and β are constant coefficients, with typical values being γ = 0.5 and β = 0.25. The recursive formula for the acceleration response is shown in Equation (18):
u ¨ p t + Δ t = 1 β Δ t 2 u p t + Δ t u p t 1 β Δ t u ˙ p t 1 2 β 1 u ¨ p t
By combining Equation (15) with Equation (18), Equation (19) can be obtained:
u ˙ p t + Δ t = 1 β Δ t 2 u p t + Δ t u p t + 1 γ β u ˙ p t + 1 γ 2 β Δ t u ¨ p t
The equation governing the human motion at time t + Δ t can be expressed using Equation (20).
M p u ¨ p t + Δ t + C p u ˙ p t + Δ t + K p u p t + Δ t = F p t + Δ t
By combining Equations (18)–(20), Equation (21) can be obtained:
K ^ p u p t + Δ t = F ^ p t + Δ t
where
K ^ p = 1 β Δ t 2 M p + γ β Δ t C P + K P
F ^ p ( t + Δ t ) = F p ( t + Δ t ) + M p [ 1 β Δ t 2 u p ( t ) + 1 β Δ t u p ( t ) + ( 1 2 β 1 ) u ¨ p ( t ) ] +   C p [ γ β Δ t u p ( t ) + ( γ β 1 ) u ˙ p ( t ) + ( γ 2 β 1 ) Δ t u ¨ p ( t ) ]
The steps for solving the coupled human–bridge motion equation using the Newmark-β method are as follows:
(1)
Determine the integration parameters γ = 0.25 and β = 0.5. The integration step can be calculated according to Formula (24).
Δ t = m i n ( 1 8 f N , L b 200 | v | , L b 4 N | v | , 0.01 )
where f N represents the Nth order frequency, Lb is the span of the pedestrian bridge structure, N is the number of modes of interest, and v is the walking speed of the pedestrian.
(2)
Set initial motion values u p , u ˙ p , and u ¨ p to zero matrices. Obtain the equivalent stiffness matrix [ K ^ p ] through the mass matrix [ M p ], stiffness matrix [ K p ], damping matrix [ C p ], and Equation (16).
(3)
Determine the equivalent load F ^ p ( t + Δ t ) at time ( t + Δ t ) using Formula (23).
(4)
Calculate the human–structure displacement u p t + Δ t at time ( t + Δ t ) using Formula (17).
(5)
Determine the acceleration of the human–structure u ¨ p t + Δ t at time ( t + Δ t ) using Formula (18).
(6)
Calculate the velocity u ˙ p t + Δ t of the human–structure at time ( t + Δ t ) using Formula (16).
(7)
Repeat steps 3–6 for the next time step ( t + Δ t ) to obtain the response of the human-structure. After completing the iterations, the final results can be outputted.

2.2. Verification of the Bipedal Single-Person Model

To validate the feasibility of the bidirectional multi-degree-of-freedom bipedal single-person model, numerical simulations of pedestrian walking processes were conducted using a MATLAB R2024b program. The dynamic responses obtained from the simulation were then compared with the existing literature and research findings.
  • Pedestrian Parameters:
  • Weight Distribution: The pedestrian’s weight G follows a normal distribution N (700,145) (in Newtons).
  • Step Frequency f s : The step frequency is set at 1.82 Hz.
  • Stride (Step Length): The stride, denoted by s, is 0.8 m.
  • Walking Speed: The walking speed, denoted by v = f s s .
  • Body Stiffness and Damping: Lateral stiffness of the body is k 1 = 40,000 N/m. Vertical stiffness of the body is k 2 = 31,000 N/m. Leg stiffness is k 3 = 1500 N/m. Lateral damping of the body is c 1 = 500 N·s/m. Vertical damping of the body is c 2 = 7500 N·s/m. Leg damping is c 3 = 260 N·s/m.
  • Pedestrian Bridge Parameters:
  • Dimensions: The steel box beam has a length of 32 m, width of 4 m, and a height of 1.2 m. The width of the chamber is 2.4 m.
  • Material Properties: The steel box beam has a unit density of 7800 kg/m3 and is made of Q235 steel. The elastic modulus of the steel used is 210 Gpa, and Poisson’s ratio is 0.33.
Figure 3 showcases the bridge’s reaction forces as computed by the bidirectional multi-degree-of-freedom single-person model. As can be seen from the figure, the simulation results show that the lateral force of pedestrians is 0–100 N and the vertical force amplitude is about 600–1200 N. The vertical force amplitude calculated in this study is consistent with the experimental results of the walking force of V. Racic [32] and He [33] indicated that it is feasible to simulate pedestrian loads using a bipedal multi-degree-of-freedom single-person model.
Figure 4 shows the vibration responses of the human body’s center of mass and legs obtained from numerical simulations.
From Figure 5, it can be observed that the vertical displacement response of the human body’s center of mass is between 0.01 and 0.02 m and the lateral displacement response ranges from −0.12 to 1.12 m. Due to the minimal difference between the left and right legs, only the dynamic response of the left leg is analyzed here. The displacement response of the left leg fluctuates between 0.005 and 0.023 m.
Figure 5 shows the vertical displacement response of the human body’s center of mass during motion obtained by Qin [34] through numerical simulation and the lateral displacement response of the human body’s center of mass measured by Toso et al. [35].
From Figure 5, it can be observed that due to the leg’s certain mass, stiffness, and damping, there is some dissipation of energy when it is transmitted through the legs. Figure 5 shows the human center of mass displacement response obtained in this paper, which concludes that the vertical velocity response at the center of mass of the human body is −0.04∽0.08 m/s and the lateral velocity response is −0.1∽0.1 m/s. The results obtained from the simulation in this study are consistent with the data from Qin [34] and Toso et al. [35]. The bipedal multi-degree-of-freedom human dynamics model established in this paper can effectively simulate and analyze the dynamic characteristics of the human body.

3. Experimental Verification

3.1. Experimental Conditions

The experimental subject is the pedestrian overpass at the east gate of Beijing Jiaotong University (shown in Figure 6). The main parameters of the pedestrian overpass are as follows: the main structure is 32 m long and 4 m wide, using a single-cell steel box beam structure. The flange plate has a width of 0.8 m, the box chamber is 1.2 m high, and 2.4 m wide, with a plate thickness of 50 mm, as shown in Figure 7.
The vibration accelerometer used in the experiment is the BWT901CL device from Wit Intelligent Technology Co., Ltd. (Shenzhen, China), which is of nine-axis Bluetooth type. It is installed at the midpoint of the bridge span, as shown in Figure 8. The data acquisition device uses Wit Intelligent software (Version 5.0.x) installed on a mobile phone. The sensor is connected to the phone via Bluetooth 5.0 to record the vertical vibration response data of the bridge in real-time. After the software processes, the acceleration vibration response can be obtained.
The purpose of this test is to verify the correctness of the proposed single-person load model and the bridge model in the pedestrian–bridge dynamic system. The test subjects were 12 women and 26 men who walked through the footbridge in a natural way and measured the vibration response of the footbridge. The basic information about the participants is shown in Table 2.

3.2. Vibration Response Analysis

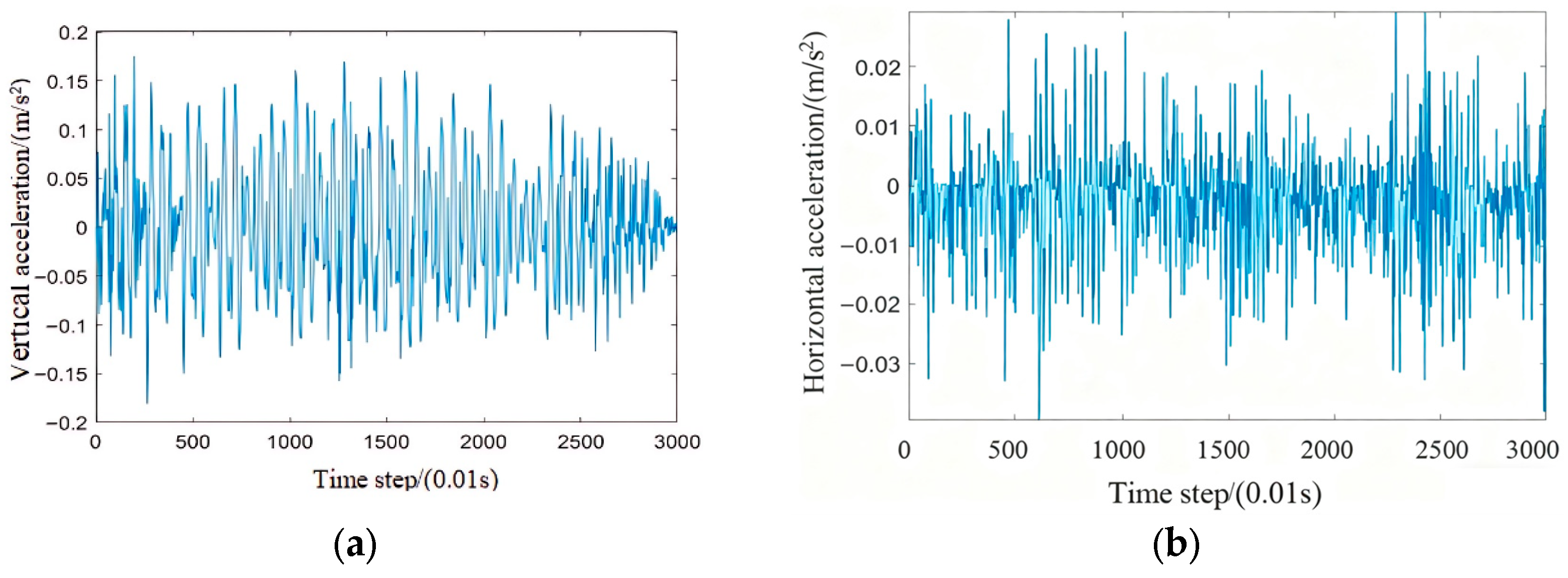
Figure 9 shows the time–history curves of vertical and horizontal acceleration responses at the mid-span of the pedestrian bridge when 38 people pass through.
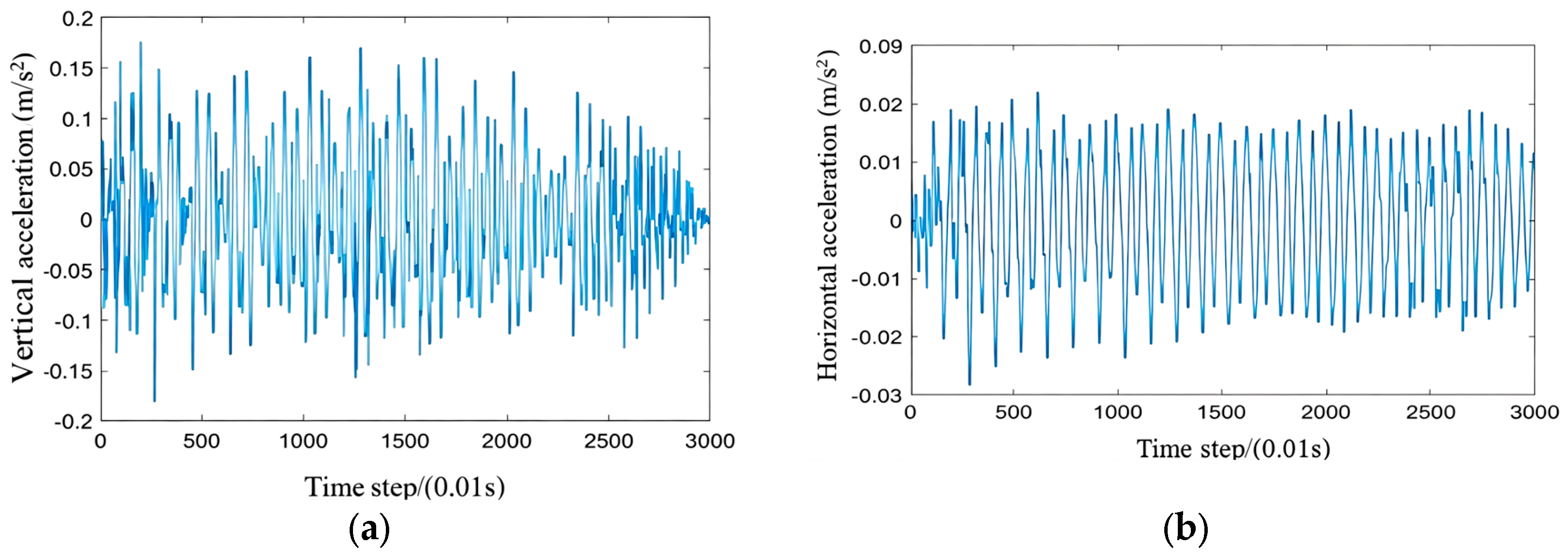
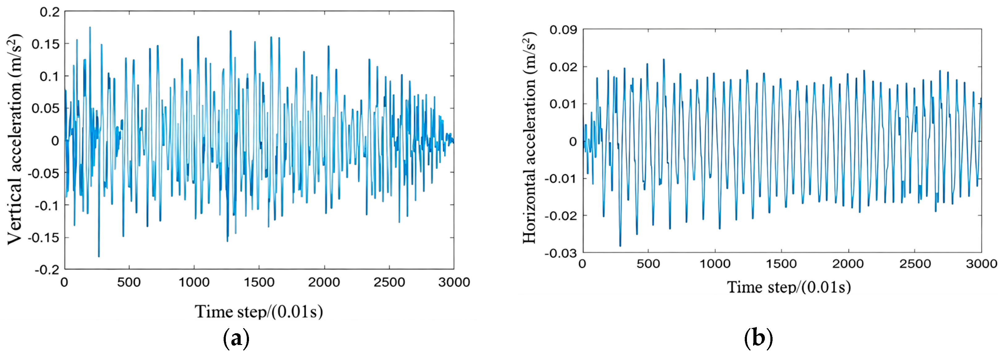
With 38 pedestrians moving unidirectionally, the pedestrian weight follows a normal distribution N (700, 145) (N). Since the step length s follows a normal distribution N (0.71, 0.0071), we set the step length s to be taken as 0.8 m and the step speed is v = f s s  , k 1 = 40,000 N/m, k 2 = 31,000 N/m, k 3 = 1500 N/m, c 1 = 500 N·s/m, c 2 = 7500 N·s/m, and c 3 = 260 N·s/m. Figure 10 displays the time–history curves of vertical and horizontal acceleration vibration responses at the mid-span of the pedestrian bridge, as computed by the model.
Figure 11 presents the frequency spectrum of the vertical acceleration vibration response at the mid-span of the pedestrian bridge.
Based on the results in Figure 9, Figure 10 and Figure 11, a quantitative comparison was made between the vibration responses measured by the simulation and the experiment. The key indicators used for comparison include peak vertical and horizontal acceleration, the fundamental frequency of the bridge, and the root mean square (RMS) value of the acceleration in time–history, which provide a measure of the average vibration intensity, as shown in Table 3.
As summarized in Table 3, the simulation results show a strong agreement with the experimental data. The discrepancy in peak vertical acceleration is merely 6.3% and the fundamental frequencies match exactly. The slightly larger discrepancy of 9.4% in the horizontal acceleration can be attributed to the challenges in precisely modeling all environmental factors and the lower signal-to-noise ratio in the lateral direction. Overall, the quantitative analysis confirms that the established bipedal dynamic model and the bridge finite element model can accurately capture the vibration characteristics of the pedestrian overpass under crowd loading.

4. Crowd Load Simulation Under the Cellular Automata Model

4.1. Pedestrian Flow Model

The pedestrian flow model includes three different types of path field models: static field, dynamic field, and repulsion field. The static field describes the behavior where pedestrians choose the shortest path to move to the exit in a cellular automaton model. For a deterministic cellular automaton model, the static field remains fixed and does not change over time or due to the presence or movement of pedestrians. Assuming that Γ is the set of units available for human walking space, the static field can be calculated according to the following Formula (25):
S i j = m i n i i 0 k x 2 + j i 0 k y 2 1 / 2
where S i j is the shortest distance from the cell at ( i , j ) to the k-th exit; i 0 k x and i 0 k x are the horizontal and vertical coordinates of the k exit, respectively.
The dynamic field can be considered a mechanism that simulates human behavior. When a pedestrian moves, they leave behind their path or trajectory in space. These trajectories change over time. The dynamic field represents these virtual pedestrian trajectories and can be modeled to simulate the mutual attraction between particles. Dynamic field D in the process of pedestrian movement will appear in the following three stages:
(1)
When t = 0, all pedestrians do not move, and the dynamic field value D of all points ( i , j ) is zero, that is, D i j = 0
(2)
Unit cell ( i , j ), once people walk on the dynamic field 1, D i j = D i j + 1
(3)
With the change in time, the dynamic field will be diffused or decayed, which can be calculated by the following formula:
D i j t = 1 γ 1 δ D i j t 1 + γ 1 δ 8 ( j 1 j + 1 i 1 i + 1 D i j t 1 )
where D i j t 1 represents the dynamic field of the neighbor of the cell ( i , j ) in the previous time step. The diffusion probability of cellular dynamic field strength is expressed by γ. The attenuation probability of cellular dynamic field intensity is expressed by δ. According to experience, we take γ = δ = 0.2.
The repulsion field considers the mutual repulsion between pedestrians. In high-density traffic conditions, individuals tend to maintain a certain distance from each other to avoid contact, minimizing their interactions. This approach addresses the limitations of previous studies on cellular automaton models, which typically only considered the effects of static and dynamic fields on pedestrian movement paths.
The distance for the mutual repulsion interaction between pedestrians is set within 1.5 m. Assuming that within a 1.5 m radius around the k-th pedestrian, there are a total of N pedestrians, the final value of the repulsion field E for the k-th pedestrian can be obtained from Equation (27):
E k i j = 1 n { l = 1 n [ ( i k x i l x ) 2 + ( j k y j l y ) 2 ] } 1 / 2
where E k i j refers to the repulsion field value of the k-th pedestrian at the grid point (i, j). i k x indicates the x-coordinate of the k-th pedestrian, and j k y indicates the y-coordinate of the k-th pedestrian. i l x refers to the x-coordinate of the l-th pedestrian and j l y refers to the y-coordinate of the l-th pedestrian. Figure 12 shows the repulsion field of the pedestrian at the moment when x = 3.6 and y = 14.

4.2. Model Evolution Rules

In the cellular automaton model, each cell evolves based on predetermined operational rules. The pedestrian movement rules for the pedestrian overpass cellular automaton model established in this paper are as follows:
① The adjustment and modification basis for the dynamic floor field value D is based on diffusion and decay rules. The diffusion and decay parameters for the dynamic field are α and β.
② Each pedestrian has an individual repulsion field determined based on their relative position with respect to surrounding pedestrians.
③ The transition probability P i j , as in Equation (28) for each pedestrian to move to an unoccupied neighboring cell (i, j), is calculated using the static field k s ∈ [0, +∞], dynamic field k D ∈ [0, +∞], and repulsion field k E ∈ [0, +∞]. This probability determines the direction of the pedestrian’s next movement. It is normalized using these three sensitivity parameters, as shown in Equation (29).
P i j = N ξ i j ( 1 η i j ) e x p ( k S S i j ) e x p ( k D D i j ) e x p ( k E E i j )
N = { [ ξ i j ( 1 η i j ) e x p ( k s S i j ) e x p ( k D D i j ) e x p ( k E E i j ) ] } 1
where N is the normalization factor and η i j and ξ i j are parameters describing the cell state, and they can be calculated according to Equations (30) and (31):
η i j = 1     The   cell   is   already   occupied   by   a   wall   or   obstacle 0     The   cell   is   not   occupied   by   a   wall   or   obstacle .  
ξ i j = 1     The   cell   is   already   occupied   by   a   person . 0     The   cell   is s   not   occupied   by   a   person .  
④ Each cell representing a pedestrian selects a target cell for transition based on the calculated transition probability P i j from the previous step.
⑤ When multiple pedestrians attempt to move to the same target cell, conflicts arise. This paper resolves such conflicts using a probabilistic method. Pedestrians with a higher transition probability, P i j , are allowed to move and those permitted to move will continue with their steps.
⑥ The dynamic field value D increases with cell movement and the repulsion field value E continuously changes.

4.3. Simulation and Modeling

4.3.1. Bridge Model

The dimensions of the bridge are 4 × 32 m, divided into a grid of 10 × 65 cellular automaton units. Each pedestrian is represented by a single cell in the cellular automaton. The walking speed of the pedestrians is 1.440 m/s and the time step is 0.2778 s. The parameters for the static field are set to 3.0, the dynamic field parameter is 0.3, and the repulsion field parameter is 0.2. The diffusion and decay parameters for the dynamic field, α and β, are both set to 0.2. The simulation distinguishes between three types of pedestrian movement states: unidirectional, bidirectional, and emergency evacuation, as illustrated in Figure 13.

4.3.2. Parameter Dynamic Characteristics Analysis

  • Influence of the number of pedestrians on the pedestrian flow model
The operational conditions are described as follows:
Static field parameter k S is 3.0 and dynamic field parameter k D is 0.3.
When the distance between pedestrians is less than 1.5 m, the repulsion field parameter k E is set to 1.0. If the distance between pedestrians exceeds 1.5 m, k E is 0.
The diffusion and decay parameters for the dynamic field are α = β = 0.2.
The number of pedestrians varies as N = 10, 20, 30, 40, 50, and 60.
The scenarios tested include unidirectional flow, bidirectional flow, and emergency evacuation. Figure 14 illustrates the pedestrian flow model for N = 30.
Similarly, the shortest evacuation times for pedestrian numbers N = 20, 30, 40, 50, 60, 70, and 80 are shown in Table 4 and Figure 15.
From Table 4 and Figure 15, it can be observed that there is a close relationship between the initial number of pedestrians and the evacuation time. Especially in unidirectional or bidirectional movement scenarios, as the number of people on the bridge increases, the evacuation time also significantly increases. For instance, as the number of pedestrians increases from 10 to 40, the evacuation time under these conditions rises from 9.72 to 14.16 s, indicating a substantial change in pedestrian movement time. However, as the initial number of people continues to increase, the rate at which the movement time grows noticeably slows down.
From Table 4 and Figure 15, it is evident that in both unidirectional and bidirectional movement scenarios, the movement time of pedestrians depends on the time they enter the cellular automaton map. When there are fewer pedestrians, the bidirectional walking time is shorter than the unidirectional walking time. As the number of pedestrians increases, the bidirectional walking time significantly increases. This is due to the bridge becoming more congested and pedestrians walking in opposite directions might collide with each other, leading to longer bidirectional walking times. The duration of pedestrian activities is proportional to the number of participants and the starting and ending points of pedestrians also significantly influence the overall duration and efficiency of their movement.
2.
Impact of Social Force Optimization on Pedestrian Flow Models
According to research by Helbing [13], pedestrians always attempt to maintain a certain distance from one another. In this study, a dynamically changing floor field unique to each pedestrian was introduced. When the distance between pedestrians becomes too large, the interactions weaken due to obstructed lines of sight and the excessive distance. For distances where pedestrians are less than 1.5 m apart, a repulsive force arises between them, forming a repulsion floor field, as illustrated in Figure 16. After optimizing the repulsion field, the positions of pedestrians during their movement align more closely with real-world pedestrian movement scenarios. In Figure 16a, there are five groups of pedestrians that are closely adjacent (circled in green in the figure). After the repulsive force is added, it is shown in Figure 16b.
For pedestrian numbers N = 30 and N = 60, under three operational conditions, evacuation state, unidirectional movement state, and bidirectional movement state, the number of clustered pedestrians in the model was statistically analyzed before and after optimization for a certain time frame. The fixed parameters are as follows: static field parameter k S = 3.0, dynamic field parameter k D = 0.3, and dynamic field diffusion and decay parameters α = β = 0.2. The sensitivity parameters for the repulsion field k E are set to 0 and 1.0, with the simulation results illustrated in Figure 17.
As can be seen from Figure 17, under the conditions of free evacuation, unidirectional movement, and bidirectional movement, the number of clustered pedestrians after optimization with the addition of the exclusion field is significantly reduced. This observation is more in line with the real-world pedestrian traffic scenarios that avoid random collisions.

4.3.3. Pedestrian Movement Trajectories

Utilizing the pedestrian flow model, the spatial coordinates of pedestrians on the overpass are recorded for each time step. Connecting these coordinates provides the trajectory of pedestrian movement.
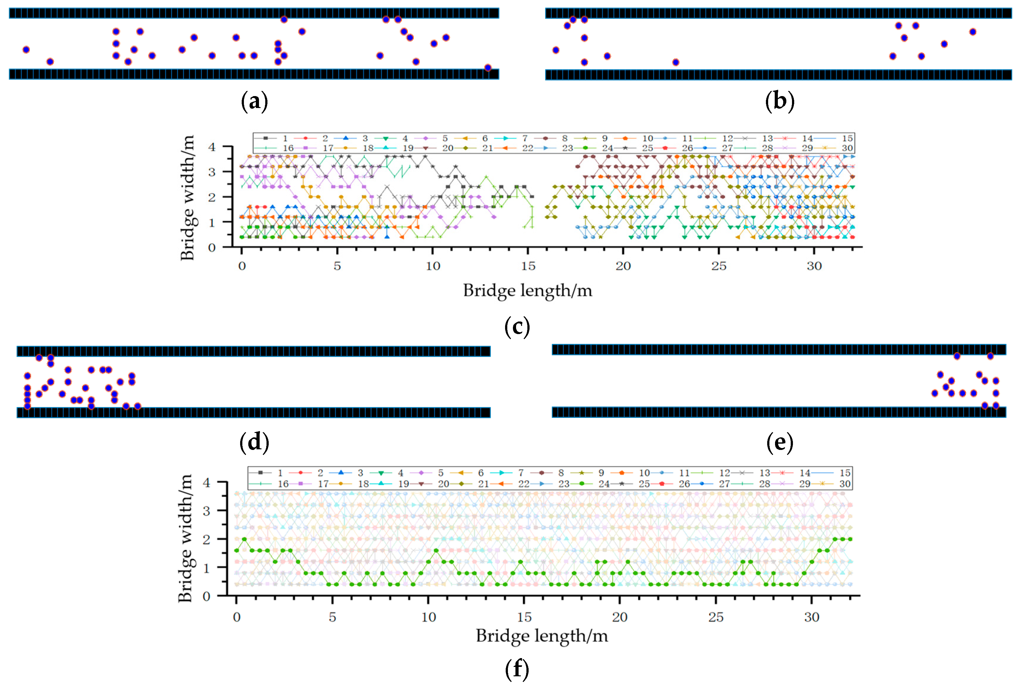
Taking the trajectory of the pedestrian flow model on the overpass with an initial number of N = 20 as an example, where the static field parameter k S is 3.0, the dynamic field parameter k D is fixed at 0.3, and the dynamic field diffusion and decay parameters are α = β = 0.2. The sensitivity parameter for the repulsion field is set to one. Figure 18 displays the trajectories of pedestrians under free evacuation, unidirectional movement, and bidirectional movement for an initial number of N = 20. The left side of the figure shows the initial distribution positions of pedestrians, while the right side illustrates the trajectory map of pedestrians.
Figure 18 depicts the simulated optimal egress routes for pedestrians. These paths are derived by integrating the influences of the surrounding environment with interpersonal interactions, thereby more authentically and accurately capturing the movement trajectories and socio-behavioral mechanisms.

5. Analysis of Vibration Response of Pedestrian Overpass Under the Action of Crowd Loads

5.1. Model Analysis

An ANSYS 2022R1 finite element model for the pedestrian bridge is established. The main beam dimensions of the pedestrian bridge are the same as those in the experiment.
The pier parameters are as follows: pier height is 5 m of C30 concrete. Circular cross-section for the bridge pier with a radius of 0.4 m. The main beam uses Q235 steel with an elastic modulus of 210 GPa, unit mass ρ = 7800 kg/m3, shear modulus G = 80 GPa, and Poisson’s ratio of 0.33. For C30 reinforced concrete, unit mass is 2700 kg/m3 and Poisson’s ratio is 0.2. The finite element model of the pedestrian bridge is shown in Figure 19.
Cell and element property division: In the ANSYS model, the main beam has a grid size of 0.4 m and uses a shell181 element to simulate the box beam element. The pier has a grid size of 0.2 m and uses beam188 element for simulation.
Boundary conditions: The bottom of the pier is fully fixed. The pier is simply supported and connected to the main beam, with shared nodes at the junction of the box beam plate elements.
Rayleigh damping can be calculated using Equation (14).
For the mass damping coefficient α and the stiffness damping coefficient β , both are constants and can be obtained through Equation (32).
α = 2 ω i ω j ξ 0 ω i + ω j                 β = 2 ξ 0 ω i + ω j
The damping ratio ξ 0 of the structure can be represented using the Rayleigh damping constants.
ξ 0 = 1 2 ( α / ω i + β ω i )
Through modal analysis with a damping ratio of 0.02, the first-order frequency ω1 for the pedestrian bridge structure is calculated to be 0.68 Hz and the second-order frequency ω2 is 1.12 Hz. By substituting these values into Equations (14), (32) and (33), damping matrices of the pedestrian bridge are determined. These matrices are then incorporated into the human–bridge interaction equation. Coupled with the pedestrians’ walking load and the trajectory of pedestrians on the bridge, a step-by-step solution using the Newmark-β method is employed, resulting in the vibration response of the pedestrian bridge structure.
By establishing a numerical model of the pedestrian overpass, the acceleration response of the pedestrian overpass is selected as the output. The influence of different parameters such as pedestrian step frequency, step length, pedestrian density, and walking path on the bridge’s vibration response is analyzed.
With 40 pedestrians moving unidirectionally, the pedestrian weight follows a normal distribution N (700, 145) (N). Since the step size follows a normal distribution N (0.71 and 0.0071), we set the step size at 0.8 m in this chapter and the step speed is v = f s s ,   k 1 = 40,000 N/m, k 2 = 31,000 N/m, k 3 = 1500 N/m, c 1 = 500 N·s/m, and c 2 = 7500 N·s/m, c 3 = 260 N·s/m. The step frequencies are taken as 1.6 Hz, 2.0 Hz, and 2.4 Hz, respectively, as shown in Table 5. The vibration measurement points are selected at the midpoints of the 1/2, 1/4, and 1/8 spans of the pedestrian overpass, labeled as Measurement Point 1, Measurement Point 2, and Measurement Point 3, respectively, as shown in Figure 20.

5.2. Impact of Pedestrian Step Frequency

With other conditions remaining unchanged, step frequencies of 1.6 Hz, 2.0 Hz, and 2.4 Hz are selected. The vertical acceleration response at Measurement Point 1 is analyzed. Figure 21 shows the acceleration time history curves at Measurement Point 1 for the three step frequencies. Table 6 and Table 7 present the maximum vertical and horizontal acceleration values, respectively, at each measurement point for different step frequencies.
Table 6 shows that at all measurement points, the maximum vertical acceleration significantly increases when the accompanying frequency increases from 1.6 Hz to 2.4 Hz. At the mid-span position, the acceleration jumped from 0.141 m/s2 to 0.272 m/s2, showing an increase of nearly two times more. This indicates that a higher frequency of pedestrian steps will cause more intense vertical vibrations of the pedestrian bridge.
Similarly to the vertical acceleration, the maximum horizontal acceleration at all measurement points increases with the increase in the person’s frequency. At the mid-span position, the horizontal acceleration rises from 0.017 m/s2 to 0.029 m/s2, reflecting that the horizontal vibration excitation significantly intensifies with the increase in the step frequency.
During the walking process, the vibration responses at different measurement points vary for pedestrians. Across different frequencies, the vertical and horizontal acceleration responses at Measurement Point 1 are the highest. This is attributed to the fact that Measurement Point 1 corresponds to the midpoint of the bridge deck. Conversely, the vibration response at Measurement Point 3, which corresponds to the 1/8 span, is the least pronounced.
Figure 22 displays the variations in vertical and horizontal acceleration peak values at different measurement points for the three different step frequencies.
As can be seen from Figure 22, under the condition that other factors remain unchanged, the vertical and horizontal accelerations at each point on the bridge deck increase with the increase in the frequency of the pedestrian steps. This is because when pedestrians cross a pedestrian bridge at a higher step frequency, their speed will also increase, which will cause the vibration of the pedestrian bridge to be amplified.

5.3. Impact of Pedestrian Density

With a selected pedestrian step frequency of 1.8 Hz and keeping other conditions constant, the number of pedestrians is chosen to be 26, 39, 51, and 64 individuals. The corresponding crowd densities are 0.2 person/m2, 0.3 person/m2, 0.4 person/m2, and 0.5 person/m2, respectively. The conditions are presented in Table 8.
Selecting the most unfavorable position, the vertical acceleration response at Measurement Point 1 is analyzed. Figure 23 presents the vertical acceleration time history curves at Measurement Point 1 for the four different pedestrian densities. Table 9 provides the peak values of vertical and horizontal accelerations under varying numbers of pedestrians.
Figure 23 and Table 9 show that as the number of pedestrians increases from 26 to 51, the peak of mid-span vertical acceleration increases from 0.1016 m/s2 to 0.1544 m/s2 and the peak of mid-span horizontal acceleration increases from 0.01422 m/s2 to 0.01668 m/s2. This indicates that within a certain range, an increase in pedestrians enhances the vertical and horizontal vibration excitation of the pedestrian bridge.
When the number of pedestrians further increased to 64, the peaks of vertical and horizontal acceleration dropped to 0.1068 m/s2 and 0.01458 m/s2, respectively. This indicates the existence of a critical pedestrian density; beyond this density, the mutual repulsion and motion adjustment of pedestrians reduce the synchrony of pedestrian loads, thereby alleviating the vibration response.
The data show that pedestrian density has a significant impact on both the vertical and horizontal vibrations in the mid-span of pedestrian bridges. There is a critical density threshold. Below this threshold, an increase in the number of pedestrians will intensify the vibration. Beyond this threshold, due to the adjustment of pedestrian behavior, the vibration will decrease.

6. Discussion

While the integrated model presented in this study demonstrates a credible ability to simulate pedestrian-induced bridge vibrations and offers valuable insights into the role of behavioral preferences, it is imperative to acknowledge its limitations to properly contextualize the findings and guide future research.
A primary limitation of this study is the absence of systematic sensitivity analysis. The model’s predictions rely on a set of predetermined parameters, including a structural damping ratio and the sensitivity parameters within the cellular automata model. The extent to which variations in these parameters influence the key results remains unquantified. Future work must include a comprehensive sensitivity analysis to evaluate the model’s robustness, identify the most influential parameters, and provide a margin of uncertainty for the predictions.
The interpretation of the results would be strengthened by a formal assessment against established vibration serviceability criteria. Although the natural frequencies of the bridge (0.68 Hz and 1.12 Hz) were identified, a detailed evaluation of the potential resonance risk with the harmonic components of pedestrian walking forces was not fully conducted.
As the number of pedestrians on the bridge increases, the changes in horizontal acceleration of the bridge are not as pronounced as those in vertical acceleration. This is because, even though the number of pedestrians increases on the bridge, they do not walk in perfect synchronization. The random nature of pedestrians’ steps tends to counteract the lateral vibrations of the bridge. Pedestrian walking has different characteristics; this work will be studied later.

7. Conclusions

The paper establishes a multi-degree-of-freedom bipedal dynamic model of the human body that considers both lateral and vertical movements. Furthermore, a pedestrian flow trajectory model is developed using the principle of cellular automata. This model is applied to a pedestrian overpass to derive the vibration response patterns of the overpass during crowd evacuation. The main conclusions are as follows:
(1) Through comparison and validation with existing research results and empirical data, the accuracy of the single-person bidirectional multi-degree-of-freedom biomechanical model established in this study and the pedestrian movement path derived using the cellular automaton principle, which considers static fields, dynamic fields, and repulsion fields to simulate interactions between pedestrians, is confirmed.
(2) In this paper, cellular automata model is applied, combined with social attributes of pedestrians, and the influence of environmental factors on pedestrian crossing path is considered. The algorithm can accurately predict key time nodes and pedestrian routes in the evacuation process and can effectively solve complex crowd evacuation scenarios.
(3) During pedestrian movement, significant clustering of two or more people can occur. Different pedestrian paths also affect the loading on the bridge structure. After incorporating a repulsion field into the cellular automaton model for optimization, this clustering phenomenon is notably improved, making it more consistent with real-world scenarios.
(4) Numerical results indicate that when pedestrian density is low, there is a strong positive correlation between pedestrian movement time and the number of pedestrians. However, when the pedestrian density exceeds a certain threshold, due to crowding and interactions between pedestrians, the correlation between movement time and the initial number of pedestrians weakens, and the vibration response at the midpoint of the bridge decreases.
(5) With an increase in pedestrian walking frequency, the acceleration responses in both the vertical and horizontal directions at the midpoint of the pedestrian overpass increase. Moreover, the rate of increase is faster when the pedestrian frequency is higher.

Author Contributions

Conceptualization, J.Y. and Z.W.; methodology, W.Y.; software, Y.C.; validation, J.Y., Y.C. and W.Y.; formal analysis, J.Y.; investigation, J.Y.; resources, J.Y.; data curation, W.Y. and Z.W.; writing—original draft preparation, Y.C. and W.Y.; writing—review and editing, J.Y.; visualization, Y.S.; supervision, J.Y.; project administration, J.Y.; funding acquisition, J.Y. All authors have read and agreed to the published version of the manuscript.

Funding

This research was financially supported by the National Natural Science Foundation of China (52472320).

Data Availability Statement

The original contributions presented in this study are included in the article. Further inquiries can be directed to the corresponding author.

Conflicts of Interest

The authors declare no conflicts of interest.

References

  1. Tadeu, A.; Romero, A.; Dias, S.; Pedro, F.; Brett, M.; Serra, M.; Galvín, P.; Bandeira, F. Vibration serviceability assessment of the world’s longest suspended footbridge in 2020. Structures 2022, 44, 457–475. [Google Scholar] [CrossRef]
  2. Nicoletti, V.; Quarchioni, S.; Tentella, L.; Martini, R.; Gara, F. Experimental Tests and Numerical Analyses for the Dynamic Characterization of a Steel and Wooden Cable-Stayed Footbridge. Infrastructures 2023, 8, 100. [Google Scholar] [CrossRef]
  3. Wheeler, J.E. Pedestrian induced vibrations in footbridges. In Proceedings of the Australian Road Research Board (ARRB) Conference, Sydney, Australia, 10 August 1980. [Google Scholar]
  4. Pancaldi, F.; Bassoli, E.; Milani, M.; Vincenzi, L. A statistical approach for modeling individual vertical walking forces. Appl. Sci. 2021, 11, 10207. [Google Scholar] [CrossRef]
  5. Kuo, A.D. Stabilization of Lateral Motion in Passive Dynamic Walking. Int. J. Robot. Res. 1999, 18, 917–930. [Google Scholar] [CrossRef]
  6. Geyer, H.; Seyfarth, A.; Blickhan, R. Compliant leg behaviour explains basic dynamics of walking and running. Proc. Biol. Sci. 2006, 273, 2861–2867. [Google Scholar] [CrossRef]
  7. Zhu, Q.K.; Shang, X.Q.; Zhang, Q.; Du, Y. Dynamic vertical interaction between man and bridge based on circular arc plantar inverted pendulum model. J. Vib. Shock 2021, 40, 58–64. [Google Scholar]
  8. Fruin, J.J. Designing for Pedestrians; Public Transportation United States: Washington, DC, USA, 1992. [Google Scholar]
  9. Hughes, R.L. The flow of large crowds of pedestrians. Math. Comput. Simul. 2000, 53, 367–370. [Google Scholar] [CrossRef]
  10. Muraleetharan, T.; Adachi, T.; Uchida, K.; Hagiwara, T.; Kagaya, S. A study on evaluation of pedestrian level of service along sidewalks and at crosswalks using conjoint analysis. Infrastruct. Plan. Rev. 2004, 21, 727–735. [Google Scholar] [CrossRef]
  11. Shen, W.T.; Yen, B.T.H. Critical factors influenced pedestrian walking speed: A meta-analysis. Res. Transp. Econ. 2025, 111, 101564. [Google Scholar] [CrossRef]
  12. Lewin, K. Theory in Social Science; Harper & Brothers: New York, NY, USA, 1951. [Google Scholar]
  13. Helbing, D.; Farkas, I.; Vicsek, T. Simulating dynamical features of escape panic. Nature 2000, 407, 487–490. [Google Scholar] [CrossRef]
  14. Casciati, F.; Casciati, S.; Faravelli, L. A contribution to the modelling of human induced excitation on pedestrian bridges. Struct. Saf. 2017, 66, 51–61. [Google Scholar] [CrossRef]
  15. Zhu, Q.; Yang, W.; Du, Y.; Živanović, S. Investigation of a vibration mitigation method based on crowd flow control on a footbridge. Structures 2021, 33, 1495–1509. [Google Scholar] [CrossRef]
  16. Blue, V.; Adler, J. Emergent Fundamental Pedestrian Flows From Cellular Automata Micro-Simulation. Transp. Res. Rec. 1998, 1644, 29–36. [Google Scholar] [CrossRef]
  17. Wolf, D.E. Cellular automata for traffic simulations. Phys. A Stat. Mech. Its Appl. 1999, 263, 438–451. [Google Scholar] [CrossRef]
  18. Yamamoto, K.; Kokubo, S.; Nishinari, K. Simulation for pedestrian dynamics by real-coded cellular automata (RCA). Phys. A Stat. Mech. Its Appl. 2007, 379, 654–660. [Google Scholar] [CrossRef]
  19. Bandini, S.; Manenti, L.; Manzoni, S. Generation of Pedestrian Groups Distributions with Probabilistic Cellular Automata. Cell. Autom. 2012, 7495, 299–308. [Google Scholar] [CrossRef]
  20. Padovani, D.; Neto, J.J.; Cereda, P.R.M. Modeling Pedestrian Dynamics with Adaptive Cellular Automata. Procedia Comput. Sci. 2018, 130, 1120–1127. [Google Scholar] [CrossRef]
  21. Mao, Q.H.; Li, Y.; Yu, R.F.; Zhao, B.; Huo, W.T. Extended Pedestrian Evacuation Model Considering Multiple Evacuation Behaviors. Transp. Res. Rec. 2025, 2679, 157–176. [Google Scholar] [CrossRef]
  22. Kim, S.; Park, S.; Lee, J.S. Meso- or micro-scale? Environmental factors influencing pedestrian satisfaction. Transp. Res. Part D Transp. Environ. 2014, 30, 10–20. [Google Scholar] [CrossRef]
  23. Liang, Z.; NG, K.F.; Huai, Y.; Lo, H.K.; Axhausen, K.W. A stated preference approach for measuring walking accessibility. Transp. Res. Part D Transp. Environ. 2023, 122, 103876. [Google Scholar] [CrossRef]
  24. Facchini, G.; Larranaga, A.M.; dos Santos, F.A.C.; dos Santos, M.L.; Nodari, C.T.; Garcia, D.S.P. Virtual reality in stated preference survey for walkability assessment. Transp. Res. Part D Transp. Environ. 2025, 139, 104545. [Google Scholar] [CrossRef]
  25. Naseri, H.; Ciari, F.; Isler, C.A. Influence of pedestrianization on travel behavior changes: A case study of Montreal. J. Transp. Health 2025, 44, 102123. [Google Scholar] [CrossRef]
  26. Winter, D.A. Biomechanics and Motor Control of Human Movement, 4th ed.; John Wiley & Sons: Hoboken, NJ, USA, 2009. [Google Scholar]
  27. Bertos, G.A.; Childress, D.S.; Gard, S.A. The vertical mechanical impedance of the locomotor system during human walking with applications in rehabilitation. In Proceedings of the International Conference on Rehabilitation Robotics, Chicago, IL, USA, 28 June–1 July 2005. [Google Scholar]
  28. Zhang, L.Q.; Xu, D.; Makhsous, M.; Lin, F. Stiffness and Viscous Damping of the Human Leg. Available online: https://www.researchgate.net/publication/267425202_STIFFNESS_AND_VISCOUS_DAMPING_OF_THE_HUMAN_LEG (accessed on 6 November 2025).
  29. Nikooyan, A.A.; Zadpoor, A.A. Mass-spring-damper modelling of the human body to study running and hopping—An overview. Proc. Inst. Mech. Eng. H 2011, 225, 1121–1135. [Google Scholar] [CrossRef] [PubMed]
  30. Ruiz, D.V.; Magluta, C.; Roitman, N. Experimental verification of biomechanical model of bipedal walking to simulate vertical loads induced by humans. Mech. Syst. Signal Process. 2022, 167, 108513. [Google Scholar] [CrossRef]
  31. ISO 10137:2007; Bases for Design of Structures—Serviceability of Buildings and Walkways Against Vibrations. ISO: Geneva, Switzerland, 2007.
  32. Racic, V.; Brownjohn, J. Mathematical modelling of random narrow band lateral excitation of footbridges due to pedestrians walking. Comput. Struct. 2011, 90–91, 116–130. [Google Scholar] [CrossRef]
  33. He, T. Simulation and Vibration Response Analysis of Random Crowd Loads in Large-Span Floor Structures. Master’s Thesis, Southeast University, Nanjing, China, 2021. [Google Scholar]
  34. Qin, J. Human Structure Interaction Based on Bipedal Walking Model. Ph.D. Thesis, Beijing Jiaotong University, Beijing, China, 2013. [Google Scholar]
  35. Toso, M.A.; Gomes, H.M.; da Silva, F.T.; Pimentel, R.L. Experimentally fitted biodynamic models for pedestrian–structure interaction in walking situations. Mech. Syst. Signal Process. 2016, 72–73, 590–606. [Google Scholar] [CrossRef]
Figure 1. Bipedal multi-degree-of-freedom spring–mass–damper model.
Figure 1. Bipedal multi-degree-of-freedom spring–mass–damper model.
Buildings 15 04114 g001
Figure 2. Trajectory of walking load distribution.
Figure 2. Trajectory of walking load distribution.
Buildings 15 04114 g002
Figure 3. Simulated time history of ground reaction force Fp.
Figure 3. Simulated time history of ground reaction force Fp.
Buildings 15 04114 g003
Figure 4. Human body dynamic response. (a) Vertical displacement response of the human body’s center of mass; (b) lateral displacement response of the human body’s center of mass; (c) displacement response of the left leg.
Figure 4. Human body dynamic response. (a) Vertical displacement response of the human body’s center of mass; (b) lateral displacement response of the human body’s center of mass; (c) displacement response of the left leg.
Buildings 15 04114 g004
Figure 5. Displacement response of the human body’s center of mass.
Figure 5. Displacement response of the human body’s center of mass.
Buildings 15 04114 g005
Figure 6. Photograph of pedestrian overpass layout diagram.
Figure 6. Photograph of pedestrian overpass layout diagram.
Buildings 15 04114 g006
Figure 7. Photograph of pedestrians crossing the overpass.
Figure 7. Photograph of pedestrians crossing the overpass.
Buildings 15 04114 g007
Figure 8. Sensor layout diagram.
Figure 8. Sensor layout diagram.
Buildings 15 04114 g008
Figure 9. Time–history diagram of vertical and horizontal acceleration vibration response at the mid-span of pedestrian overpass (actual measurement results). (a) Time–history curve of vertical acceleration; (b) time–history curve of horizontal acceleration.
Figure 9. Time–history diagram of vertical and horizontal acceleration vibration response at the mid-span of pedestrian overpass (actual measurement results). (a) Time–history curve of vertical acceleration; (b) time–history curve of horizontal acceleration.
Buildings 15 04114 g009
Figure 10. Time–history diagram of vertical and horizontal acceleration vibration response at the mid-span of pedestrian overpass (Calculation results). (a) Time–history curve of vertical acceleration; (b) time–history curve of horizontal acceleration.
Figure 10. Time–history diagram of vertical and horizontal acceleration vibration response at the mid-span of pedestrian overpass (Calculation results). (a) Time–history curve of vertical acceleration; (b) time–history curve of horizontal acceleration.
Buildings 15 04114 g010
Figure 11. Spectrum diagram of vertical acceleration vibration response at the mid span of pedestrian overpass: (a) the spectral graph of calculated data; (b) the spectral graph of measured data.
Figure 11. Spectrum diagram of vertical acceleration vibration response at the mid span of pedestrian overpass: (a) the spectral graph of calculated data; (b) the spectral graph of measured data.
Buildings 15 04114 g011
Figure 12. The repulsion field of the pedestrian at the moment when x = 3.6 and y = 14.
Figure 12. The repulsion field of the pedestrian at the moment when x = 3.6 and y = 14.
Buildings 15 04114 g012
Figure 13. Simulation of study cases on the bridge: (a) emergency evacuation state; (b) unidirectional pedestrian movement; (c) bidirectional pedestrian movement state.
Figure 13. Simulation of study cases on the bridge: (a) emergency evacuation state; (b) unidirectional pedestrian movement; (c) bidirectional pedestrian movement state.
Buildings 15 04114 g013
Figure 14. Simulation of pedestrian movement conditions on bridges (N = 30 people). (a) Initial position distribution (Evacuation status); (b) the remaining half of people (evacuation status); (c) pedestrian movement trajectory (evacuation state); (d) 30 people all enter the pedestrian bridge (unidirectional motion state); (e) evacuate half of the population (unidirectional motion state); (f) the movement trajectory of the 24th pedestrian among 30 people (unidirectional motion state); (g) 30 people all enter the pedestrian bridge (bidirectional motion state); (h) evacuate half of the population (bidirectional motion state); (i) the movement trajectory of the 24th pedestrian among 30 people (bidirectional motion state).
Figure 14. Simulation of pedestrian movement conditions on bridges (N = 30 people). (a) Initial position distribution (Evacuation status); (b) the remaining half of people (evacuation status); (c) pedestrian movement trajectory (evacuation state); (d) 30 people all enter the pedestrian bridge (unidirectional motion state); (e) evacuate half of the population (unidirectional motion state); (f) the movement trajectory of the 24th pedestrian among 30 people (unidirectional motion state); (g) 30 people all enter the pedestrian bridge (bidirectional motion state); (h) evacuate half of the population (bidirectional motion state); (i) the movement trajectory of the 24th pedestrian among 30 people (bidirectional motion state).
Buildings 15 04114 g014aBuildings 15 04114 g014b
Figure 15. The shortest evacuation time under different states with changes in the number of pedestrians N.
Figure 15. The shortest evacuation time under different states with changes in the number of pedestrians N.
Buildings 15 04114 g015
Figure 16. Changes in pedestrian movement position before and after incorporating exclusion field optimization: (a) pedestrians’ position (40 people) after five time steps; (b) pedestrians’ position (40 people) after five time steps (after joining the exclusion field).
Figure 16. Changes in pedestrian movement position before and after incorporating exclusion field optimization: (a) pedestrians’ position (40 people) after five time steps; (b) pedestrians’ position (40 people) after five time steps (after joining the exclusion field).
Buildings 15 04114 g016
Figure 17. Comparison of exclusion field optimization before and after different population changes: (a) free evacuation (N = 30 people); (b) unidirectional motion (N = 30 people); (c) bidirectional motion (N = 30 people); (d) free evacuation (N = 60 people); (e) unidirectional motion (N = 60 people); (f) bidirectional motion (N = 60 people).
Figure 17. Comparison of exclusion field optimization before and after different population changes: (a) free evacuation (N = 30 people); (b) unidirectional motion (N = 30 people); (c) bidirectional motion (N = 30 people); (d) free evacuation (N = 60 people); (e) unidirectional motion (N = 60 people); (f) bidirectional motion (N = 60 people).
Buildings 15 04114 g017
Figure 18. Pedestrians’ initial position and trajectory map (N = 20 people): (a) initial distribution position (free evacuation); (b) pedestrian trajectory map (free evacuation,); (c) initial distribution position (unidirectional motion); (d) pedestrian trajectory map (unidirectional motion); (e) initial distribution position (bidirectional motion); (f) pedestrian trajectory map (bidirectional motion).
Figure 18. Pedestrians’ initial position and trajectory map (N = 20 people): (a) initial distribution position (free evacuation); (b) pedestrian trajectory map (free evacuation,); (c) initial distribution position (unidirectional motion); (d) pedestrian trajectory map (unidirectional motion); (e) initial distribution position (bidirectional motion); (f) pedestrian trajectory map (bidirectional motion).
Buildings 15 04114 g018
Figure 19. Finite element model of pedestrian overpass.
Figure 19. Finite element model of pedestrian overpass.
Buildings 15 04114 g019
Figure 20. Measurement node position of pedestrian overpass.
Figure 20. Measurement node position of pedestrian overpass.
Buildings 15 04114 g020
Figure 21. Acceleration time history diagram of measurement point one under different step frequency conditions; (a) time–history chart of vertical acceleration (step frequency = 1.6 Hz); (b) time–history chart of vertical acceleration (Step frequency = 2.0 Hz); (c) time–history chart of vertical acceleration (step frequency = 2.4 Hz).
Figure 21. Acceleration time history diagram of measurement point one under different step frequency conditions; (a) time–history chart of vertical acceleration (step frequency = 1.6 Hz); (b) time–history chart of vertical acceleration (Step frequency = 2.0 Hz); (c) time–history chart of vertical acceleration (step frequency = 2.4 Hz).
Buildings 15 04114 g021
Figure 22. Comparison chart of peak acceleration of different measurement points at different frequencies. (a) Comparison of vertical acceleration peaks at different measurement points; (b) comparison of horizontal acceleration peaks at different measurement points.
Figure 22. Comparison chart of peak acceleration of different measurement points at different frequencies. (a) Comparison of vertical acceleration peaks at different measurement points; (b) comparison of horizontal acceleration peaks at different measurement points.
Buildings 15 04114 g022
Figure 23. Time–history of mid-span horizontal acceleration under different pedestrian numbers: (a) mid-span vertical acceleration time history (N = 26 people); (b) mid-span vertical acceleration time history (N = 39 people); (c) mid-span vertical acceleration time history (N = 51 people); (d) mid-span vertical acceleration time history (N = 64 people).
Figure 23. Time–history of mid-span horizontal acceleration under different pedestrian numbers: (a) mid-span vertical acceleration time history (N = 26 people); (b) mid-span vertical acceleration time history (N = 39 people); (c) mid-span vertical acceleration time history (N = 51 people); (d) mid-span vertical acceleration time history (N = 64 people).
Buildings 15 04114 g023
Table 1. Walking force coefficients in function of the walking frequency.
Table 1. Walking force coefficients in function of the walking frequency.
f s   1.75   Hz 1.75   f s   2 Hz f s   2 Hz
K 1 8 f s + 38 24 f s 18 75 f s 120
K 2 376 f s + 844 404 f s + 521 1720 f s + 3153
K 3 2804 f s + 6025 4224 f s 6274 17,055 f s 31,936
K 4 6308 f s 16,573 29,144 f s + 45,468 94,265 f s + 175,710
K 5 1732 f s + 13,619 109,976 f s 175,808 298,940 f s 553,736
K 6 24,648 f s + 16,045 217,424 f s + 353,403 529,390 f s + 977,335
K 7 31,836 f s 33,614 212,776 f s 350,259 481 f s 665 f s 888,037
K 8 12,948 f s + 15,532 81,572 f s + 135,624 174,265 f s + 321,008
Table 2. Summary of pedestrian parameters.
Table 2. Summary of pedestrian parameters.
Average Age (Years)Average Mass (kg)Average Height (m)
Female2357.61.62
Male2371.21.74
Table 3. Quantitative comparison between simulated and experimental results.
Table 3. Quantitative comparison between simulated and experimental results.
Experimental ValueSimulated ValueDiscrepancy
Peak Vertical Acceleration (m/s2)0.160.17+6.3%
Peak Horizontal Acceleration (m/s2)0.0320.029−9.4%
Fundamental Frequency (Hz)~4.5~4.5~0%
RMS Vertical Acceleration (m/s2)0.0450.048+6.7%
Table 4. The shortest evacuation time under different motion states due to changes in the number, N, of pedestrians.
Table 4. The shortest evacuation time under different motion states due to changes in the number, N, of pedestrians.
Number of PeopleThe Shortest Evacuation Time Under Evacuation Status (s)The Shortest Evacuation Time Under Unidirectional Motion State (s)The Shortest Evacuation Time Under Bidirectional Motion (s)
109.7227.2230.00
2012.2231.3932.22
3013.8933.3436.11
4014.1634.4538.05
5015.8336.1141.67
6016.6639.1644.16
7016.1141.3948.61
8016.3843.6150.27
9017.2045.8353.05
10017.7848.3357.78
Table 5. The case of different step frequencies.
Table 5. The case of different step frequencies.
SituationCase OneCase TwoCase Three
Walking frequency (Hz)1.62.02.4
Weight distribution (N)N (700, 145)N (700, 145)N (700, 145)
Number of people606060
Step (m)0.80.80.8
Table 6. The maximum vertical acceleration value of each measuring point under asynchronous frequency.
Table 6. The maximum vertical acceleration value of each measuring point under asynchronous frequency.
Measure PointPoint 1Point 2Point 3
Frequency (Hz) Acceleration   ( m / s 2 ) Acceleration   ( m / s 2 ) Acceleration   ( m / s 2 )
1.60.14060.12410.1161
2.00.15780.13970.1207
2.40.27210.24570.2075
Table 7. The maximum horizontal acceleration value of each measuring point under asynchronous frequency.
Table 7. The maximum horizontal acceleration value of each measuring point under asynchronous frequency.
Measure PointPoint 1Point 2Point 3
Frequency (Hz) Acceleration   ( m / s 2 ) Acceleration   ( m / s 2 ) Acceleration   ( m / s 2 )
1.60.017210.015470.01321
2.00.019270.017940.01424
2.40.029030.025120.02189
Table 8. Different pedestrian numbers.
Table 8. Different pedestrian numbers.
SituationCase OneCase TwoCase ThreeCase Four
Walking frequency (Hz)1.81.81.81.8
Weight (N)N (700, 145)N (700, 145)N (700, 145)N (700, 145)
Number of people26395164
Step (m)0.80.80.80.8
Table 9. The peak acceleration under different pedestrian numbers.
Table 9. The peak acceleration under different pedestrian numbers.
Number of Pedestrians26 People39 People51 People64 People
Peak   vertical   acceleration   at   mid   span   ( m / s 2 )0.10160.11630.15440.1068
Peak   horizontal   acceleration   at   mid   span   ( m / s 2 )0.014220.015790.016680.01458
Disclaimer/Publisher’s Note: The statements, opinions and data contained in all publications are solely those of the individual author(s) and contributor(s) and not of MDPI and/or the editor(s). MDPI and/or the editor(s) disclaim responsibility for any injury to people or property resulting from any ideas, methods, instructions or products referred to in the content.

Share and Cite

MDPI and ACS Style

Yao, J.; Chen, Y.; Yang, W.; Sun, Y.; Wu, Z. Pedestrian-Induced Bridge Vibration Driven by Behavioral Preferences. Buildings 2025, 15, 4114. https://doi.org/10.3390/buildings15224114

AMA Style

Yao J, Chen Y, Yang W, Sun Y, Wu Z. Pedestrian-Induced Bridge Vibration Driven by Behavioral Preferences. Buildings. 2025; 15(22):4114. https://doi.org/10.3390/buildings15224114

Chicago/Turabian Style

Yao, Jinbao, Yueyue Chen, Weiwei Yang, Yu Sun, and Zhaozhi Wu. 2025. "Pedestrian-Induced Bridge Vibration Driven by Behavioral Preferences" Buildings 15, no. 22: 4114. https://doi.org/10.3390/buildings15224114

APA Style

Yao, J., Chen, Y., Yang, W., Sun, Y., & Wu, Z. (2025). Pedestrian-Induced Bridge Vibration Driven by Behavioral Preferences. Buildings, 15(22), 4114. https://doi.org/10.3390/buildings15224114

Note that from the first issue of 2016, this journal uses article numbers instead of page numbers. See further details here.

Article Metrics

Back to TopTop