Determination of HSS Model Parameters for Soft Clays in Hangzhou: Statistical Analysis and Engineering Validation
Abstract
1. Introduction
2. Basic Characteristics of Hangzhou Clays
2.1. Geologic Origin and Distribution
2.2. Basic Physical and Mechanical Properties
3. HSS Model Parameters and Parameter Determination
3.1. HSS Model Parameters and Their Definitions
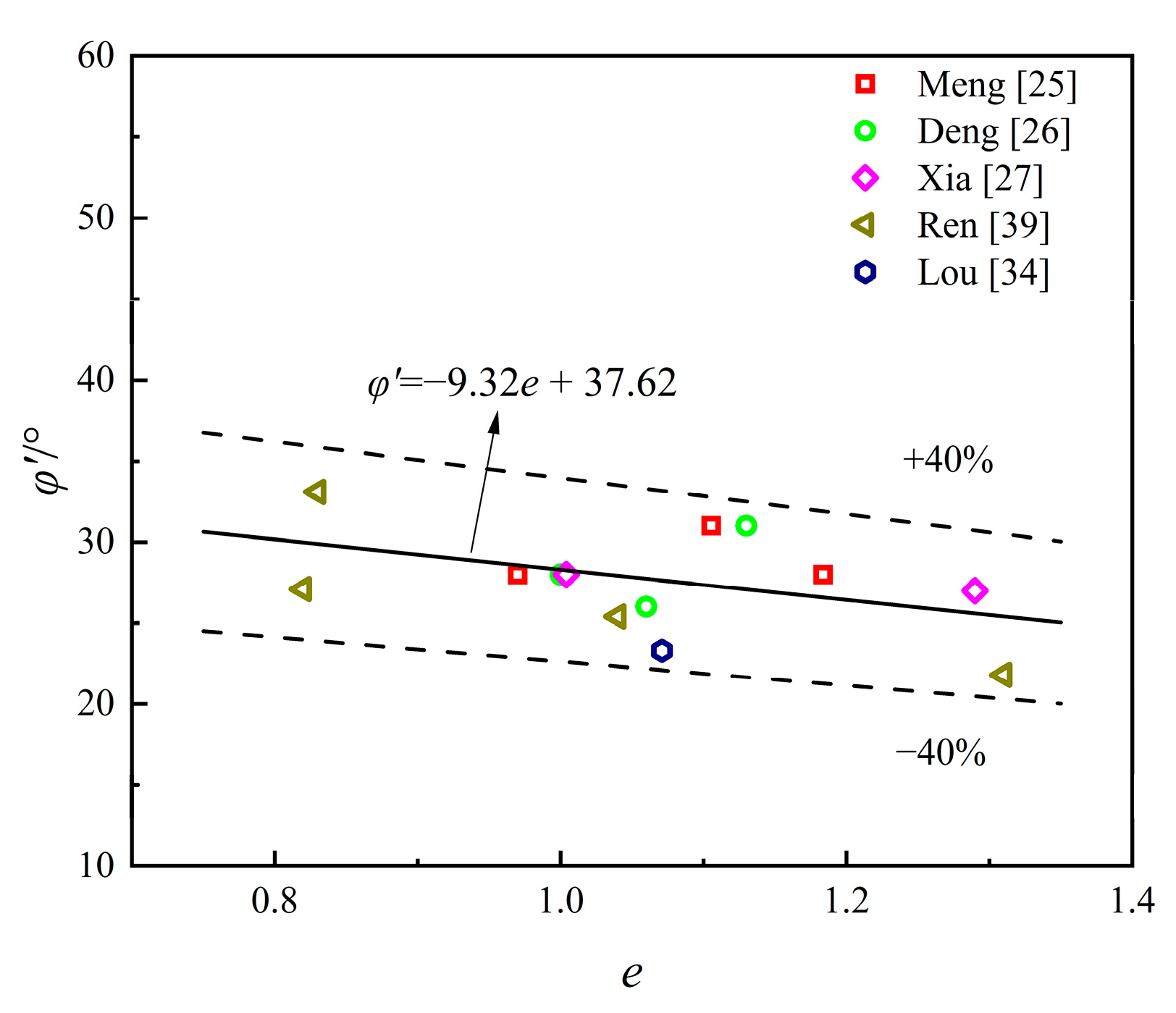
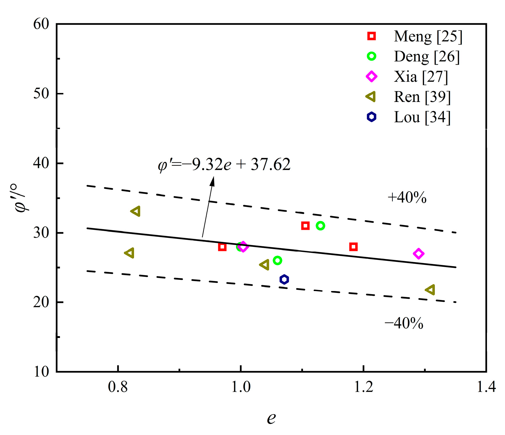
3.2. Parameter Determination
3.3. Summary of Model Parameters
4. Case Study: Excavation of Juzhou Road Station, Hangzhou Metro Line 5
4.1. Project Overview
4.2. Three-Dimensional Finite Element Model Analysis
4.3. Analysis of Three-Dimensional Finite Element Calculation Results
5. Discussions
6. Conclusions
- The soft clay in Hangzhou is classified as marine soft clay, characterized by two distinct soft clay layers, an average water content of 50%, an average void ratio of 1.0, high compressibility, and poor engineering properties. These unique characteristics must be accounted for in numerical simulations.
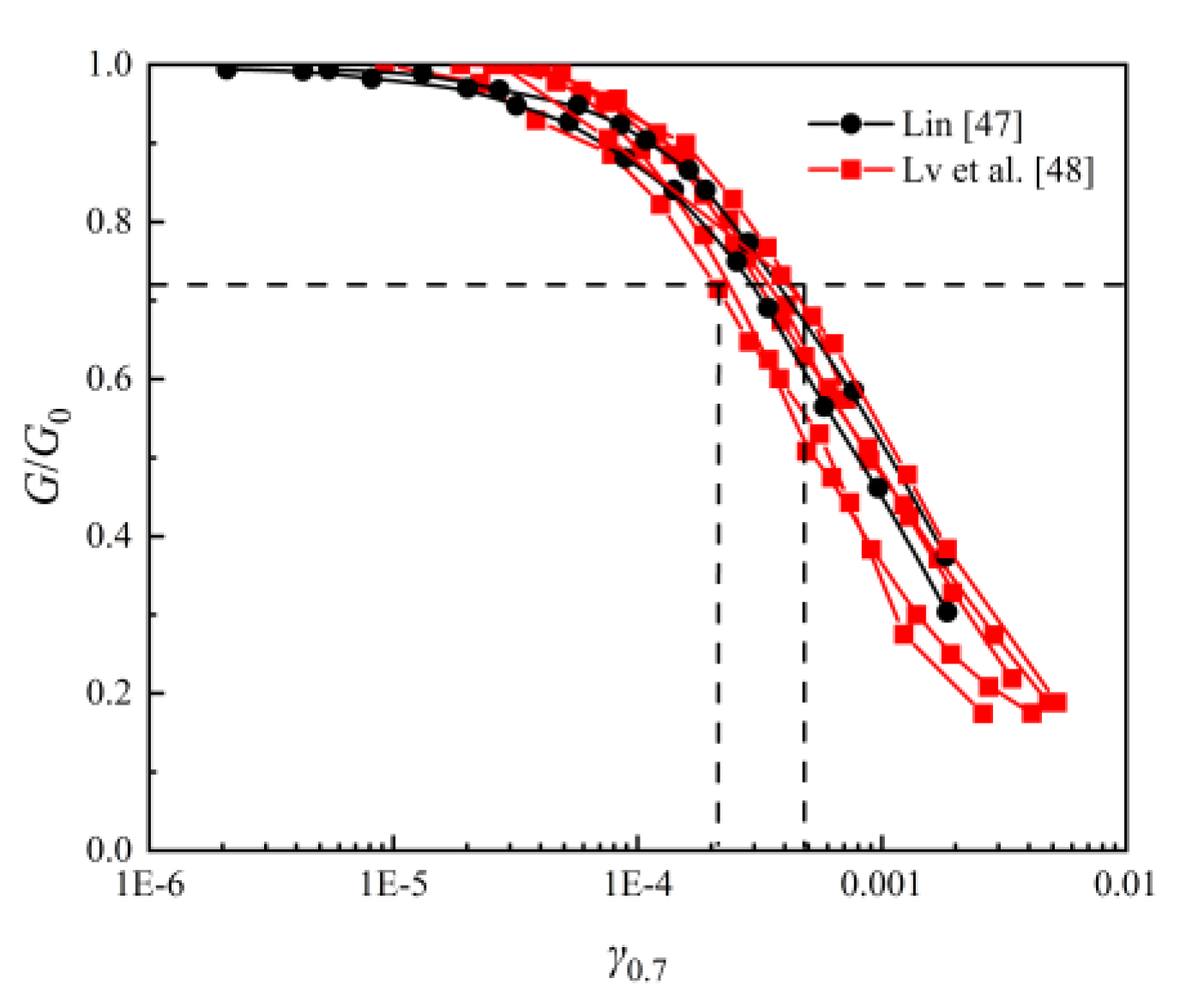
- A correlation-based method for HSS parameter determination was established by integrating laboratory tests and field shear wave velocity measurements, with particular attention to the influence of void ratio. Comparative analysis with Shanghai soft clay reveals significant regional differences, especially in small-strain stiffness parameters, underscoring the need for localized models.
- The parameter determination method obtained in this study was applied to the three-dimensional finite element analysis of excavation deformation at Juzhou Road Station on Hangzhou Metro. The simulated lateral displacement curve of the D-wall and the position where the maximum displacement occurs are almost consistent with the measured values, and the surface settlement outside the excavation is relatively close to the measured values, thereby verifying the reliability of the parameter determination method in this study. Comparisons with simulations using Shanghai parameters show that the proposed method yields results closer to the measurements.
Author Contributions
Funding
Data Availability Statement
Acknowledgments
Conflicts of Interest
References
- O’Rourke, T.D. Ground movements caused by braced excavations. J. Geotech. Eng. Div. 1981, 107, 1159–1178. [Google Scholar] [CrossRef]
- Fu, K.; Xue, Y.G.; Qiu, D.H.; Wang, P.; Lu, H.L. Multi-channel Fusion Prediction of TBM Tunneling Thrust Based on Multimodal Decomposition and Reconstruction. Tunn. Undergr. Space Technol. 2026, 167, 107061. [Google Scholar] [CrossRef]
- Zheng, G.; Zhu, H.; Liu, X. Control of safety of deep excavations and underground engineering and its impact on surrounding environments. China Civ. Eng. J. 2016, 49, 1–24. (In Chinese) [Google Scholar] [CrossRef]
- Fu, Y.B.; Zhang, H.S.; Yang, Y. Parameter analysis on hardening soil model of soft soil for foundation pits based on shear rates in Shenzhen Bay, China. Adv. Mater. Sci. Eng. 2020, 2, 7810918. [Google Scholar] [CrossRef]
- Kim, S.; Finno, R.J. Inverse Analysis of a Supported Excavation in Chicago. J. Geotech. Geoenviron. Eng. 2019, 145, 04019050. [Google Scholar] [CrossRef]
- Kawa, M.; Puła, W.; Truty, A. Probabilistic analysis of the diaphragm wall using the hardening soil—small (HSs) model. Eng. Struct. 2021, 232, 111869. [Google Scholar] [CrossRef]
- Pieczyńska-Kozłowska, J.M.; Puła, W.; Griffiths, D.V.; Fenton, G.A. Influence of embedment, self-weighting and anisotropy on bearing capacity reliability using the random finite element method. Comput. Geotech. 2015, 65, 121–130. [Google Scholar] [CrossRef]
- Atkinson, J.H.; Sallfors, G. Experimental determination of stress-strain-time characteristics in laboratory and in situ tests. In Proceedings of the 10th European Conference on Soil Mechanics and Foundation Engineering, Florence, Italy, 26–30 May 1991; Volume 3, pp. 915–956. [Google Scholar]
- Jardine, R.J.; Potts, D.M.; Fourie, A.B.; Burland, J.B. Studies of the influence of nonlinear stress-strain characteristics in soil-structure interaction. Géotechnique 1986, 36, 377–386. [Google Scholar] [CrossRef]
- Mair, R.J. Developments in geotechnical engineering research: Applications to tunnels and deep excavations. Proc. Inst. Civ. Eng. Civ. Eng. 1993, 97, 27–41. [Google Scholar] [CrossRef]
- Zheng, G.; Yang, X.; Zhou, H.; Du, Y.; Sun, J.; Yu, X. A simplified prediction method for evaluating tunnel displacement induced by laterally adjacent excavations. Comput. Geotech. 2018, 95, 119–128. [Google Scholar] [CrossRef]
- Gu, X.; Wu, R.; Liang, F. On HSS model parameters for shanghai soils with engineering verification. Rock Soil Mech. 2021, 42, 833–845. (In Chinese) [Google Scholar] [CrossRef]
- Huynh, Q.T.; Lai, V.Q.; Boonyatee, T.; Keawsawasvong, S. Verification of soil parameters of hardening soil model with small-strain stiffness for deep excavations in medium dense sand in Ho Chi Minh City, Vietnam. Innov. Infrastruct. Solut. 2021, 7, 15. [Google Scholar] [CrossRef]
- Cao, M.; Zhang, Z.; Du, Z.; Wang, L.; Lv, Y.; Zhang, J.; Wang, Y. Experimental study of hardening small strain model parameters for strata typical of zhengzhou and their application in foundation pit engineering. Buildings 2023, 13, 2784. [Google Scholar] [CrossRef]
- Hu, J.; Du, Q. Parameter Study and Engineering Verification of the Hardening Soil Model with Small-Strain Stiffness for Loess in the Xi’an Area. Appl. Sci. 2025, 15, 1278. [Google Scholar] [CrossRef]
- Jardine, R.J. Some observations on the kinematic nature of soil stiffiness. Soils Found. 1992, 32, 111–124. [Google Scholar] [CrossRef]
- Simpson, B. Retaining structures: Displacement and design. Géotechnique 1992, 42, 541–576. [Google Scholar] [CrossRef]
- Benz, T. Small-Strain Stiffness of Soils and Its Numerical Consequences. Ph.D. Thesis, University of Stuttgart, Stuttgart, Germany, 2007. [Google Scholar]
- Mu, L.L.; Huang, M.S. Small strain based method for predicting three—dimensional soil displacements induced by braced excavation. Tunn. Undergr. Space Technol. 2016, 52, 12–22. [Google Scholar] [CrossRef]
- Ma, E.; Cheong, M.V.T.; Terzaghi, S. Calibration of the Hardening Soil Small Strain Constitutive Model Parameters for Toronto Glacial Till. In Proceedings of the 2020 International Conference on Geotechnical Engineering, Toronto, ON, Canada, 14–16 September 2020; Available online: https://api.semanticscholar.org/CorpusID:228213741 (accessed on 19 October 2025).
- Liang, F.; Jia, Y.; Ding, Y. Experimental study on parameters of HSS model for soft soils in Shanghai. Chin. J. Geotech. Eng. 2017, 39, 269–278. (In Chinese) [Google Scholar] [CrossRef]
- Surarak, C.; Likitlersuang, S.; Wanatowski, D.; Balasubramaniam, A.; Oh, E.; Guan, H. Stiffness and Strength Parameters for Hardening Soil Model of Soft and Stiff Bangkok Clays. Soils Found. 2012, 52, 682–697. [Google Scholar] [CrossRef]
- Wu, J.T.H.; Tung, S.C.-Y. Determination of Model Parameters for the Hardening Soil Model. Transp. Infrastruct. Geotechnol. 2020, 1, 55–68. [Google Scholar] [CrossRef]
- Brinkgreve, R.B.; Kumarswamy, J.S.; Swolfs, W.M. PLAXIS 2015—Material Models Manual; PLAXIS B.V: Delft, The Netherlands, 2007. [Google Scholar]
- Meng, R. Parameter tests and engineering applications of small-strain hardening soil model of mucky silty clay in Hangzhou. J. Chengdu Univ. Technol. (Sci. Technol. Ed.) 2024, 51, 303–315. (In Chinese) [Google Scholar] [CrossRef]
- Deng, L. Parameter characteristics of the hardening constitutive model of the typical soft soil in Hangzhou. China Rural. Water Hydropower 2023, 5, 151–156. (In Chinese) [Google Scholar] [CrossRef]
- Xia, Y. Study of Mechanical Behavior of Hangzhou Clay Considering Small Strain Stiffness and Its Engineering Application; Shanghai Jiao Tong University: Shanghai, China, 2014. (In Chinese) [Google Scholar]
- Chen, L.; Gao, M.; Jia, H. The relationship between indoor geotechnical test indicators and the structure of soft clay in Hangzhou. Soil Eng. Found. 2020, 34, 326–328, 334. (In Chinese) [Google Scholar]
- Kou, B. Geological Survey Engineering Geological and Hydrogeological Conditions in Hangzhou Urban; Hangzhou Survey and Design Research Institute: Hangzhou, China, 1996. (In Chinese) [Google Scholar]
- Gu, X.Q.; Yang, J.; Huang, M.S. Combining bender element, resonant column and cyclic torsional shear tests to determine small strain shear modulus of sand. Chin. J. Geotech. Eng. 2016, 38, 740–746. (In Chinese) [Google Scholar] [CrossRef]
- Li, X.; Xu, R.; Wang, X. Assessment of engineering properties for marine and lacustrine soft soil in Hangzhou. J. Zhejiang Univ. (Eng. Sci.) 2013, 47, 1346–1352. (In Chinese) [Google Scholar] [CrossRef]
- Zhao, X.; Zhou, X.; Kang, H. Correlation analysis of physical and mechanical indicators of marine soft soil in Hangzhou area. Subgrade Eng. 2021, 5, 30–34. (In Chinese) [Google Scholar] [CrossRef]
- Schanz, T.; Vermeer, P.A.; Bonnier, P.G. The hardening soil model: Formulation and verification. In Beyond 2000 in Computational Geotechnics; Routledge: London, UK, 1999. [Google Scholar] [CrossRef]
- Lou, K. Risk Analysis and Control of Underground Continuous Wall Support Structure System in Cohesive Soil; Zhejiang University of Science and Technology: Hangzhou, China, 2021. (In Chinese) [Google Scholar]
- Jin, X.; Sun, S.; Qian, H. Analysis of deformation control during tunnel excavation in muddy soil in Hangzhou area. Highway 2018, 63, 269–275. (In Chinese) [Google Scholar]
- Bolton, M.D. The strength and dilatancy of sands. Géotechnique 1986, 36, 65–78. [Google Scholar] [CrossRef]
- Iwasaki, T.; Tatsuoka, F.; Takagi, Y. Shear modulus of sands under cyclic torsional shear loading. Soils Found. 1978, 18, 39–56. [Google Scholar] [CrossRef]
- Pu, X.; Huang, J.; Peng, T.; Wang, W.; Li, B.; Zhao, H. Application of Parameter Inversion of HSS Model Based on BP Neural Network Optimized by Genetic Algorithm in Foundation Pit Engineering. Buildings 2025, 15, 531. [Google Scholar] [CrossRef]
- Ren, X.Y. A study on the reasonableness of the small strain parameter G0 in Hangzhou area. Build. Technol. 2023, 7, 123–128. (In Chinese) [Google Scholar]
- Zhou, J. Numerical Simulation of Excavation and Support of Deep and Large Foundation Pit Based on HS Model. Master’s Thesis, Zhejiang University of Technology, Hangzhou, China, 2020. (In Chinese). [Google Scholar]
- Liu, Z. Study on Yielding Characteristics and Anisotropic Yield Surface Equation of Soft Clay. Ph.D. Thesis, Zhejiang University, Hangzhou, China, 2014. (In Chinese). [Google Scholar]
- Zheng, Q. Research on Dynamic Characteristics of Hangzhou Soft Clay Under Intermittent Cyclic Loading on Macro and Micro Scales. Ph.D. Thesis, Zhejiang University, Hangzhou, China, 2019. (In Chinese). [Google Scholar]
- He, S.; Zheng, Q.; Xia, T. Experimental study on long-term dynamic characteristics of marine soft soils under metro train loads considering time intermittent effect. Chin. J. Rock Mech. Eng. 2019, 38, 353–364. (In Chinese) [Google Scholar] [CrossRef]
- Zheng, Y.; Zhu, T.; Chen, J.; Shan, K.; Li, J. Relationship Between Pore-Size Distribution and 1D Compressibility of Different Reconstituted Clays Based on Fractal Theory. Fractal Fract. 2025, 9, 235. [Google Scholar] [CrossRef]
- Elbeggo, D.; Ethier, Y.; Dubé, J.-S.; Karray, M. Critical insights in laboratory shear wave velocity correlations of clays. Can. Geotech. J. 2022, 59, 935–951. [Google Scholar] [CrossRef]
- Lo Presti, D.C.F.; Jamiolkowski, M. Discussion: Estimate of elastic shear modulus in Holocene soil deposits. Soils Found. 1998, 38, 263–265. [Google Scholar] [CrossRef]
- Lin, D.Z. Experimental Study on Parameters of Small Strain Soil Hardening Model and Its Engineering Application, a Case Study of a Foundation Pit Project in Hangzhou. Master’s Thesis, Zhejiang University, Hangzhou, China, 2020. (In Chinese). [Google Scholar]
- Lv, X.F.; Chen, P.X.; Yang, Y.J.; Chen, X.L.; Li, D. The Resonant Column Test Study on Marine Silty Clay. World Earthq. Eng. 2010, 26, 1–5. (In Chinese) [Google Scholar]
- Zheng, Y.H.; Baudet, B.A. Pore Structure Response of Reconstituted Kaolin and Illite-Smectite Mixed-Layer Rich Clay to 1D Compression. Appl. Clay Sci. 2025, 276, 107892. [Google Scholar] [CrossRef]
- Tong, L.H.; Fu, L.; Wu, B.N.; Xu, C.J.; Lim, C.W.; Ding, H.B. Particle Shape Effect on Creep and Fluidity of Granular Packing. J. Eng. Mech. 2025, 151, 04025067. [Google Scholar] [CrossRef]
- Tong, L.H.; Fu, L.; Wu, B.N.; Xu, C.J.; Lim, C.W. Packing Fraction Effect on Dynamic Creep Deformation of Granular Materials. Acta Geotech. 2025, 20, 2135–2144. [Google Scholar] [CrossRef]
- Zhang, S.Q.; Tan, D.Y.; Zhu, H.H.; Pei, H.F.; Shi, B. Rheological Behaviors of Na-Montmorillonite Considering Particle Interactions: A Molecular Dynamics Study. J. Rock Mech. Geotech. Eng. 2025, 17, 4657–4671. [Google Scholar] [CrossRef]
- Luo, B.; Su, Y.H.; Ding, X.H.; Chen, Y.H.; Liu, C.J. Modulation of initial CaO/Al2O3 and SiO2/Al2O3 ratios on the properties of slag/fly ash-based geopolymer stabilized clay: Synergistic effects and stabilization mechanism. Mater. Today Commun. 2025, 47, 113295. [Google Scholar] [CrossRef]
- Zhu, C.; Huang, X.; Wang, F.; Huang, M.; He, C.; Guo, J. Optimization Study on Key Parameters for Mechanical Excavation of Deep-Buried Large-Section Metro Station. Appl. Sci. 2025, 15, 10218. [Google Scholar] [CrossRef]
- Tan, Y.; Wei, B.; Diao, Y.; Zhou, X. Spatial corner effects of long and narrow multipropped deep excavations in shanghai soft clay. J. Perform. Constr. Facil. 2014, 28, 04014015. [Google Scholar] [CrossRef]
- Alzabeebee, S. Numerical analysis of the interference of two active machine foundations. Geotech. Geol. Eng. 2020, 38, 5043–5059. [Google Scholar] [CrossRef]

















| No | Soil Layer Name | Thickness | Note |
|---|---|---|---|
| 1 | Artificial fill | 1–7 m | |
| 2 | Silt, silty clay layer | 6–10 m | First soft soil layer |
| 3 | Mucky clay layer | 6–10 m | |
| 4 | Silt, silty clay layer | 5–8 m | |
| 5 | Mucky clay layer | 2–10 m | Second soft soil layer |
| 6 | Clay with silt interbed layer | 3–4 m | |
| 7 | Clay and silty clay layer | 3–8 m | |
| 8 | Qiantang River alluvial layer | 4–6 m | |
| 9 | Clay layer | 2–5 m | |
| 10 | Pre-hill flood, slope and ancient river valley silvial deposits | ||
| 11 | Reticulated clay, gravelly clay, expanded clay layer | ||
| 12 | Bedrock and bedrock weathering layer |
| No. | Water Content/% | Void Ratio | Plasticity Index | Liquidity Index | Compression Coefficient |
|---|---|---|---|---|---|
| First soft soil layer | |||||
| Second soft soil layer |
| Parameter | Definition |
|---|---|
| Effective cohesion of soil | |
| Coefficient of static lateral earth pressure | |
| Effective friction angle | |
| Power index associated with the modal stress level | |
| Stress dilatancy angle | |
| Tangential compression modulus at reference stress | |
| Secant modulus at reference stress | |
| Unloading–reloading modulus at reference stresses | |
| Failure ratio | |
| Loading and unloading Poisson’s ratio | |
| Maximum shear modulus at reference stress | |
| Shear strain when the shear modulus decreases to 0.7 G0 | |
| Reference stress, usually taken as 100 kPa |
| Parameter | Hangzhou Clays (This Paper) | Shanghai Clays (Gu et al., 2021) [12] |
|---|---|---|
| (from wave velocity test) | (from wave velocity test) | |
| , | , | |
| , | , | |
| , | , | |
| , ) | ) | |
| 0.2 (from PLAXIS manual) | 0.2 (from PLAXIS manual) | |
| 100 kPa | 100 kPa |
| Step | Procedure | Input Data | Output Parameter |
|---|---|---|---|
| 1 | Determine basic physical index of Hangzhou clay | Site investigation report | |
| 2 | Calculate strength parameters | ||
| 3 | Calculate stress state parameter | ||
| 4 | Calculate stiffness moduli | ||
| 5 | Calculate small-strain parameters | e | |
| 6 | Assign fixed/recommended parameters | PLAXIS manual | |
| 7 | Parameters Application | 3D FE simulation | Parameter rationality check |
| Soil Layer | /10−4 | |||||||||
|---|---|---|---|---|---|---|---|---|---|---|
| Filling soil | 18.73 | 1.6 | 29.7 | 0.47 | 5.94 | 4.60 | 32.90 | 66.6 | 2.4 | 0.52 |
| Very soft clay | 16.86 | 4.0 | 25.3 | 0.55 | 2.33 | 1.81 | 21.85 | 40.1 | 2.4 | 0.52 |
| Silty clay | 19.30 | 25.3 | 28.7 | 0.39 | 7.42 | 5.75 | 37.44 | 72.8 | 2.4 | 0.52 |
| Clay | 18.54 | 10.0 | 27.7 | 0.49 | 5.45 | 4.23 | 31.41 | 60.7 | 2.4 | 0.52 |
| Very soft silty clay | 17.93 | 4.0 | 25.9 | 0.54 | 3.94 | 3.05 | 26.76 | 52.8 | 2.4 | 0.52 |
| Soft silty clay with silty sand | 17.95 | 3.0 | 27.3 | 0.54 | 3.66 | 2.84 | 25.91 | 52.6 | 2.4 | 0.52 |
| Silty clay | 19.47 | 26.0 | 28.2 | 0.40 | 6.99 | 5.43 | 36.16 | 75.1 | 2.4 | 0.52 |
| Silty clay | 19.43 | 21.3 | 27.9 | 0.41 | 6.90 | 5.35 | 35.84 | 74.1 | 2.4 | 0.52 |
| Clay | 17.95 | 4.5 | 27.5 | 0.45 | 4.83 | 3.74 | 29.49 | 53.3 | 2.4 | 0.52 |
| Construction Step | Working Condition |
|---|---|
| Phase 0 | Calculation of initial stress field |
| Phase 1 | Construction of the retaining structure (D-wall) |
| Phase 2 | Excavation to 1.4 m below ground level (GL), followed by installation of the first-level concrete strut. |
| Phase 3 | Excavation to 5.0 m below GL, with deployment of the second-level steel strut. |
| Phase 4 | Excavation to 8.5 m below GL, coupled with the third-level steel strut installation. |
| Phase 5 | Excavation to 11.5 m below GL, incorporating the fourth-level steel strut. |
| Phase 6 | Excavation to 14.1 m below GL, concluding with the fifth-level steel strut. |
| Phase 7 | Final excavation stage: Standard section: Reached 16.62 m below GL Left shaft: Excavated to 18.76 m below GL Right shaft: Terminated at 18.05 m below GL |
Disclaimer/Publisher’s Note: The statements, opinions and data contained in all publications are solely those of the individual author(s) and contributor(s) and not of MDPI and/or the editor(s). MDPI and/or the editor(s) disclaim responsibility for any injury to people or property resulting from any ideas, methods, instructions or products referred to in the content. |
© 2025 by the authors. Licensee MDPI, Basel, Switzerland. This article is an open access article distributed under the terms and conditions of the Creative Commons Attribution (CC BY) license (https://creativecommons.org/licenses/by/4.0/).
Share and Cite
Zheng, X.; Wang, X.; Shen, K.; Gu, X. Determination of HSS Model Parameters for Soft Clays in Hangzhou: Statistical Analysis and Engineering Validation. Buildings 2025, 15, 3886. https://doi.org/10.3390/buildings15213886
Zheng X, Wang X, Shen K, Gu X. Determination of HSS Model Parameters for Soft Clays in Hangzhou: Statistical Analysis and Engineering Validation. Buildings. 2025; 15(21):3886. https://doi.org/10.3390/buildings15213886
Chicago/Turabian StyleZheng, Xing, Xiaowu Wang, Kanmin Shen, and Xiaoqiang Gu. 2025. "Determination of HSS Model Parameters for Soft Clays in Hangzhou: Statistical Analysis and Engineering Validation" Buildings 15, no. 21: 3886. https://doi.org/10.3390/buildings15213886
APA StyleZheng, X., Wang, X., Shen, K., & Gu, X. (2025). Determination of HSS Model Parameters for Soft Clays in Hangzhou: Statistical Analysis and Engineering Validation. Buildings, 15(21), 3886. https://doi.org/10.3390/buildings15213886

