Abstract
The replacement of virgin aggregate with recycled concrete aggregate (RCA) in concrete mixtures offers an eco-strategy to mitigate the environmental limitations linked with traditional recycling techniques of RCA. However, the inferior properties of RCA, in contrast to virgin aggregate, present an obstacle to efficiently proceeding with this approach. Therefore, the aim of this study is to enhance the characteristics of concrete that contains RCA using nano-ZnO particles. Virgin aggregate was replaced with RCA in 30 wt.% and 50 wt.% ratios, followed by the addition of 0.5 wt.% nano-ZnO. The performance of concrete mixtures was evaluated in terms of their physical, mechanical, and durability properties. The addition of nano-ZnO particles to concrete with RCA resulted in refining its pore structure and reducing its water absorption, where the impermeability of concrete with 30 wt.% and 50 wt.% treated RCA decreased by 14.5% and 18%, respectively. Moreover, nano-ZnO treatment increased the compressive strength of mixtures with 30 wt.% and 50 wt.% RCA by 2.8% and 4%, respectively. All mixtures underwent a reduction in their 28-day compressive strength after exposure to a 5% sulphuric acid solution, where concrete with 30 wt.% and 50 wt.% RCA showed 20.2% and 22.8% strength loss, respectively. However, there was a 17.6% and 19.6% drop in the compressive strength of concrete with 30 wt.% and 50 wt.% RCA and treated with nano-ZnO.
1. Introduction
The construction industry is currently experiencing an increasing demand to implement sustainable practices and mitigate its environmental footprint [1,2]. A significant area of focus is manufacturing concrete, a crucial construction material linked to substantial resource utilisation and carbon emissions [3,4]. Conventional concrete production heavily relies on extracting virgin aggregates, resulting in habitat degradation, energy consumption, and emissions associated with transportation [5,6]. CO2 emissions resulting from all activities associated with concrete production are around 10%, of which 8% is attributed to the extraction of aggregates [7]. Moreover, using virgin aggregates in concrete significantly contributes to their depletion and the erosion of soil and riverbeds, causing a major disruption to the ecosystem [8]. Therefore, using recycled materials, like recycled concrete aggregate (RCA), as a possible alternative to natural aggregates has gained significant attention to alleviate CO2 emissions caused by the construction sector [9]. This approach would reduce the accumulation of waste in landfills and encourage the sustainable development of the construction industry [9,10].
RCA is obtained by crushing and treating aged concrete structures that have reached the end of their operational lifespan [11]. The resultant substance is commonly sorted according to predetermined size specifications, enabling its use as aggregate in newly prepared concrete compositions. RCA can be classified into two primary variants: coarse RCA, which substitutes natural coarse aggregates, and fine RCA, which supplants natural fine aggregates or sand [3,12]. Moreover, many researchers investigated the integration of coarse and fine RCA in concrete, with replacement ratios reaching 100% of natural aggregates [13,14]. However, most of the conducted research indicated an adverse effect of replacing natural aggregate with RCA on the durability and mechanical properties of concrete, which get worse with increasing the replacement ratio [12,13,14,15,16]. This is attributed to the two interfacial transition zones (ITZ) covering the RCA: the one from the old mortar adhering to the aggregate and the one from the new mortar surrounding the RCA (as seen in Figure 1), which create a weakening point, reducing the strength of concrete [14,16,17]. Adding to that, it is believed that RCA maintains higher porosity than natural aggregates, which increases concrete’s absorption of water and chloride, degrading its long-term performance [16].
Figure 1.
The interfacial transition zone covering RCA [16].
Many studies investigated the possibility of treating RCA prior to its utilisation in concrete using different treatment techniques and materials. Those include removing the mortar attached to the RCA with acid, heat, grinding, and microwave radiation or strengthening the RCA with hydrophobic materials, pozzolanic materials, biocalcium carbonate, and carbonation curing [13,18,19,20,21,22]. However, a marked lack of consistency is observed within the existing literature regarding the most effective treatment process, its influence on concrete’s properties, and the optimal RCA content that should be utilised in concrete [13,23]. For instance, Kou and Poon [24] reported a maximum increase of 21% in concrete’s strength that contains RCA and is treated with polyvinyl alcohol (PVA), whereas Yaowarat et al. [25] noticed that concrete with RCA and treated with the same material exhibited a maximum reduction of 24% in its strength. Moreover, not all the investigated treatment methods reported in the literature managed to entirely hinder the undesirable effect of RCA on concrete’s properties. Therefore, it is essential to explore other alternative materials that can impede the undesirable effect of RCA on concrete.
Nanomaterials like nano-SiO2, nano-TiO2, nano-ZnO, carbon nanotubes, and many other materials have been used in various fields like medical applications, the food industry, electronics manufacturing, construction, and many other fields [26,27]. The implementation of nano-zinc oxide (nano-ZnO) in normal concrete has been discussed in a few studies, with most indicating its efficiency in enhancing concrete’s mechanical and durability properties [28,29]. In a study by Arbabi et al. [30], when cement was replaced with 0.25–3.5 wt.% ZnO, the strength of concrete showed a maximum increase of 18.7% when using 0.5 wt.% ZnO. Reshma et al. [31] replaced cement with a mixed additive of ZnO and TiO2 in different dosages of 1–5 wt.%, and results revealed an optimum enhancement in concrete’s strength and impermeability when using 4–5 wt.% ZnO. In another study by Nayak et al. [32], cement was replaced with a combination of nano-ZnO and nano-SiO2 in different dosages ranging between 0.5 and 1.0 wt.%, where the maximum enhancement in strength was obtained when using 0.5 wt.% ZnO. Nochaiya et al. [33] used 1–5 wt.% nano-ZnO as an additive in cement mortar, and they reported a strength enhancement when using it in quantities less than 5 wt.%. The improvement in concrete’s properties when using nano-ZnO, as explained by Silatikunsatid et al. [34] and Li et al. [35], refers to its role in filling the voids of concrete and its ability to produce Ca(Zn(OH)3)2·2H2O that promotes the creation of calcium silicate hydrates (C-S-H) in concrete. Despite the significant benefits that ZnO could bring to concrete, its use to improve the performance of concrete with RCA has not been discussed before.
Hence, this study introduces an innovative approach to utilising nano-ZnO as a means of enhancing the performance of concrete that incorporates RCA. Moreover, this work aims to examine the influence of nano-ZnO on the fresh characteristics, porosity, compressive strength, permeability, and acid resistance of concrete with RCA, ultimately contributing to the advancement of sustainable construction materials and practices.
2. Materials and Methods of Testing
2.1. Materials and Specimens
Concrete mixtures adopted for this study were prepared using (1) ordinary Portland cement (CEM I 42.5 N) adhering to the guidelines of the EN 196–1 standard [36], (2) crushed limestone course aggregate (≤20 mm), and (3) silica fine aggregate (>99% SiO2) with a nominal size of 2 mm. The recycled concrete aggregates (RCAs) were obtained from crushing concrete cubes and cylinders (aged more than a year). The concrete cubes and cylinders (used to extract the RCA) were produced from CEM I 42.5 N cement and achieved an average 28-day compressive strength of 41 MPa. RCA was further crushed and sorted according to the gradation of the used natural coarse aggregates to replace them in 30 wt.% and 50 wt.% ratios. The size gradation of the limestone and RCA coarse aggregates is presented in Figure 2. Furthermore, a commercially available powder of nano-zinc oxide (nano-ZnO) with an average size of 30 nm was integrated into concrete mixtures in a 0.5 wt.% dosage of the cement weight. The amounts of RCA and the dosage of nano-ZnO were chosen after conducting preliminary experimental work to choose the optimum mixtures. Nano-ZnO was dispersed in the mixing water using an ultrasonic processor prior to its addition to the mixture. Figure 3 shows an illustration of the main materials used in this research. Table 1 illustrates the physical properties of the used nano-ZnO as provided by the supplier.
Figure 2.
Size gradation of the virgin and RCA aggregates.
Figure 3.
Preparation of the concrete mixtures and the used materials.
Table 1.
Physical characteristics of the used nano-ZnO.
Concrete was divided into five mixtures consisting of a control group (CM0), a mixture with 30 wt.% RCA (RM30), a mixture with 50 wt.% RCA (RM50), a mixture with 30 wt.% RCA and 0.5 wt.% nano-ZnO (RMZ30), and a mixture with 50 wt.% RCA and 0.5 wt.% nano-ZnO (RMZ50). All mixtures were cast into 75 cubic specimens of 150 mm3 size and cured in a water bath at 20 °C. The mix constituents and quantities are shown in Table 2.
Table 2.
Mix formulation of tested concrete mixtures.
2.2. Experimental Setup
The workability of mixtures was tested to assess the effect of RCA and nano-ZnO on their consistency using the slump test. This test was performed in accordance with BS EN 12350-2 [37].
The porosity of concrete mixtures at 28 days was evaluated using the vacuum saturation method [38]. The specimens were placed in an oven to dry at 110 °C until they reached a consistent mass. Subsequently, they were put under 90 kPa of evacuation pressure in vacuum saturation equipment for 3 h, followed by water immersion for 24 h while they were inside the apparatus. Afterwards, the saturated surface dry mass of the specimens was determined. The porosity of the concrete was then determined using the following formula:
where Md is the dry mass of concrete, Ms is the saturated surface dry mass, and My is the buoyant mass.
Furthermore, all specimens were subjected to the water absorption test after they completed 7- and 28-day curing periods in accordance with the BS 1881–122:2011 standard [39] to assess the durability of mixtures. The specimens were dried at 110 °C until they reached a constant mass. After drying, the specimens were weighed and subsequently soaked in water. Their masses were then recorded after 24, 48, and 72 h of immersion. The percentage of water absorption was determined as follows:
where Md is the dry mass of concrete and Mw is the wet mass.
After completing the 7- and 28-day curing periods, the compressive strength of the concrete was determined as per the BS EN 12390-3 standard [40]. Specimens were placed on the Controls AUTOMAX 5 50-C4652 compression tester (Controls, Milan, Italy) and tested at a 0.01 mm/s loading rate.
The long-term performance of concrete was further tested in terms of acid penetration resistance following the ASTM C1898 instructions [41]. Specimens aged 28 days were soaked in a 5% sulphuric acid (H2SO4) solution for 60 days, followed by air drying for 3 days. Moreover, the change in mixtures’ compressive strength as a result of the acid attack was evaluated.
3. Results and Discussion
3.1. Workability Assessment
As depicted in Figure 4, the workability of mixtures is noticed to decrease with increasing the RCA content in concrete. Moreover, the workability of RM30 and RM50 mixtures was seen to decrease by 32% and 49%, respectively, which refers to the RCA’s higher porosity compared to virgin aggregate, which in turn increases its absorption of water, leaving less water in the mixture and reducing the workability [23]. Furthermore, the higher absorption of RCA into water is due to the adhered mortar in RCA, which possesses a higher porous structure [42].
Figure 4.
The change in the workability of concrete due to RCA and nano-ZnO.
The inclusion of nano-ZnO within RCA-concrete mixtures has contributed to a further reduction in their workability (Figure 4), where a 43% and 60% decrease in the workability of RMZ30 and RMZ50 compared to control was observed. This is associated with nano-ZnO particles’ high fineness and surface area, which require more water to wet their surfaces [33]. Moreover, the specific surface area of the used nano-ZnO particles is 34.2 m2/g (as shown in Table 1), which is higher than the specific surface area of cement particles (around 136 times higher). Accordingly, this would result in increasing the absorption rate of the nano-ZnO particles into water, reducing concrete’s workability.
3.2. Porosity of Concrete
The total porosity of concrete mixtures is illustrated in Figure 5. As shown in the graph, integrating RCA in concrete increased its porosity by 33% and 62% for the RM30 and RM50 mixtures, respectively, compared to the control. Moreover, concrete’s porosity is noticed to increase with increasing the substitution degree of virgin aggregate with RCA. This increase in the porosity of concrete refers to the high porosity of the old mortar attached to the RCA. In addition, the high demand for RCA for water works on absorbing more water during the mixing of concrete, which reduces concrete’s workability (as seen in Section 3.1) and makes the mixture stiffer, creating more air voids in the mixture [43,44].
Figure 5.
Total porosity of the tested concrete mixtures.
Remarkably, the use of nano-ZnO worked on reducing the porosity of RCA-concrete mixtures, where the porosity of RMZ30 decreased by 7% compared to the RM30 mixture and the porosity of the RMZ50 mixture decreased by 10% compared to the RM50 mixture. This decrease in concrete’s porosity refers to (1) the refinement effect of the nano-ZnO particles that work on filling the voids in the mixtures and reduce the size of pores [32,45], (2) the promotion of nano-ZnO particles to create C-S-H gel in the mixtures at later ages [35], and (3) the increased bond between the new mortar and RCA encouraged by nano-ZnO particles [46].
3.3. Water Absorption Assessment
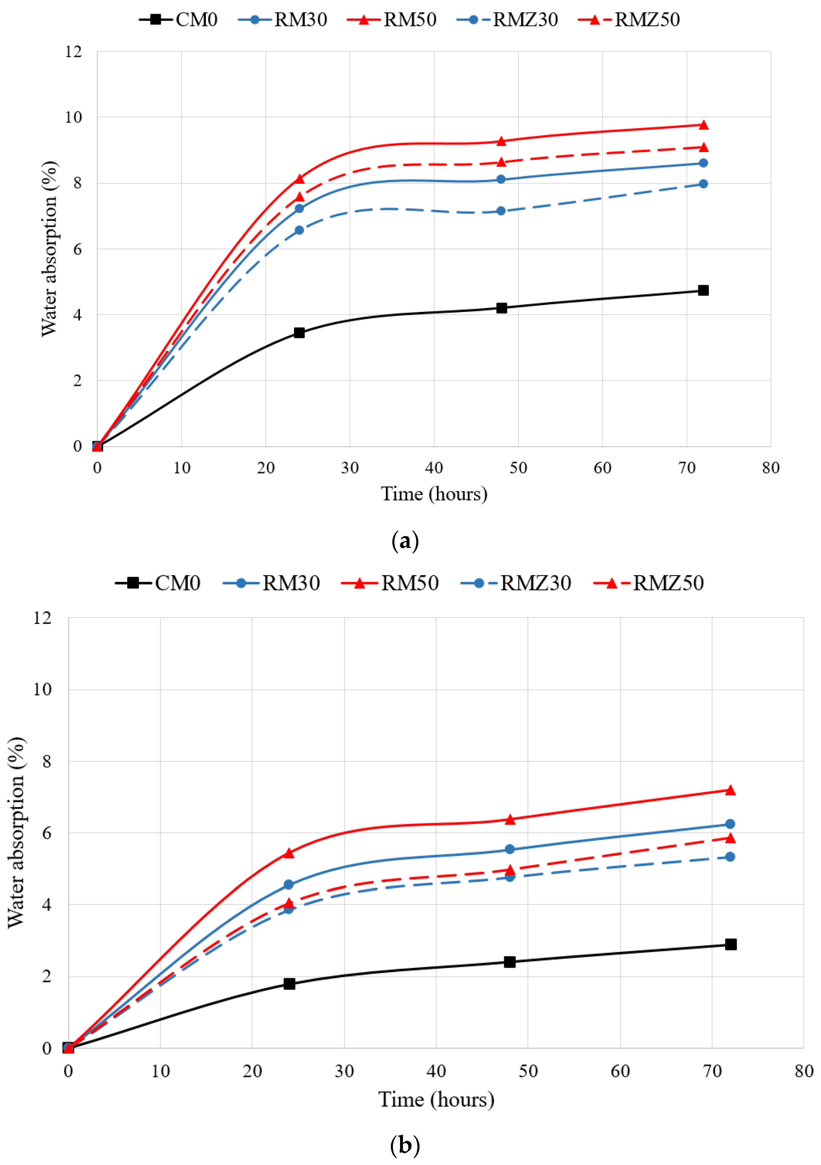
Water absorption rates of tested concrete at 7 and 28 days are illustrated in Figure 6a,b. It is seen in Figure 6a that the control mixture (CM0) at 7 days showed the least water absorption rate of 4.7%, followed by the RMZ30, RM30, RMZ50, and RM50 mixtures with absorption rates of 7.9%, 8.6%, 9.1%, and 9.8%, respectively. Replacing virgin aggregate with RCA is noticed to impose a negative influence on the permeability of concrete in its early ages, where its absorption of water increases with increasing the replacement ratio. The main reason for this high absorption rate is twofold: the high porosity of the used RCA and the inadequate bonding between the RCA and the new mortar [23]. In addition, the hydration reaction of the concrete itself at 7 days is not complete, which increases the concrete’s water absorption. However, the use of nano-ZnO as an additive in RCA-concrete mixtures enhanced concrete’s impermeability at 7 days, where it reduced the water absorption of RMZ30 and RMZ50 mixtures by 7.5% and 6.8% compared to RM30 and RM50 mixtures, respectively. This can be attributed to the role of nano-ZnO in refining concrete’s capillary pores [45].
Figure 6.
Water absorption of concrete at (a) 7 days and (b) 28 days of curing.
Considering Figure 6b, it is evident that the water absorption rate of mixtures at 28 days followed similar trends to those at 7 days, with the control group (CM0) possessing the least rate of 2.9%. Moreover, using RCA in concrete increased its water absorption compared to the control, where RM30 and RM50 mixtures exhibited 6% and 7.2% water absorption rates, respectively. This is attributed to the high demand for the old mortar in RCA for water, associated with its porous nature. However, it is noticed that adding nano-ZnO to concrete with RCA helped in enhancing its impermeability, where RMZ30 and RMZ50 mixtures attained absorption rates of 5.3% and 5.9%, respectively, with an improvement of 14.5% and 18% compared to RM30 and RM50 mixtures. This refers to the role of nano-ZnO particles in filling the voids in RCA mixtures and enhancing the bond between RCA and the new concrete’s constituents.
It is believed that ZnO particles work as a retarder to the hydration of cement at early ages, where the formation of Zn(OH)2 during hydration works on delaying the development of tricalcium silicate (C3S). However, with the progress of cement hydration, Zn(OH)2 will react with Ca(OH)2 to create CaZn2(OH)6⋅2H2O, which will accelerate the hydration reaction at ages beyond 7 days [33,35]. This explains the modest enhancement in the 7-day impermeability of RCA-concrete compared to 28 days after the addition of ZnO.
3.4. Compressive Strength of the Mixtures
The 7- and 28-day compressive strength outcomes are presented in Figure 7. It is noticed that the control group (CM0) achieved the highest compressive strength at 7 days with 23.6 MPa, followed by RMZ30 with 21.8 MPa, RMZ50 with 20.6 MPa, RM30 with 19.3 MPa, and RM50 with 17.8 MPa. The reduced compressive strength values of RCA-concrete refer to the two interfacial transition zones covering the RCA, which create a weakening point, reducing the strength of concrete [16,17]. Moreover, treating RCA-concrete mixtures with nano-ZnO resulted in a slight reduction in their compressive strength, where RMZ30 and RMZ50 mixtures exhibited compressive strength values that are 1.6% and 2.2% less than the strength of RM30 and RM50 mixtures, respectively. This can be attributed to the contribution of nano-ZnO in retarding the hydration reaction of concrete at this early age, hindering the formation of C3S, and reducing the strength [33,35].
Figure 7.
The compressive strength values of the tested concrete mixtures.
Along those lines, the strength of RM30 and RM50 concrete at 28 days exhibited a 10% and 15% drop, respectively, compared to the reference mixture (CM0). Moreover, this adverse influence of RCA on the concrete’s strength is noticed to increase with increasing the substitution dosage. This refers to the inferior mechanical properties of the old cement paste adhered to RCA, which has a weak bond with the new mortar. The old mortar surrounding RCA reduces the interlocking with natural aggregates, resulting in poor aggregate packing, creating more voids within the mixture, and adversely affecting the overall strength of concrete [47,48]. However, using nano-ZnO particles to treat RCA concrete enhanced the 28-day compressive strength of RMZ30 and RMZ50 mixtures by 2.8% and 4%, respectively, compared to RM30 and RM50 mixtures. This modest improvement in strength is credited to the enhanced bonding between the new mortar and RCA imposed by the nano-ZnO particles and their function in boosting the creation of the hydration products at later ages. The influence of nano-ZnO on the interfacial transition zone between coarse aggregates and mortar has been discussed by Nivethitha and Dharmar [49], where they found that ZnO particles increase the bonding between aggregates and cement, which enhances the overall strength of concrete. Moreover, the enhancement in strength was noticed to be marginal due to the presence of weak RCA in the mixture, which cannot be strengthened by nano-ZnO. Instead, ZnO works on improving the bond between RCA and the new mortar without strengthening the RCA particles themselves.
3.5. Acid Attack Assessment
The loss in the concrete’s compressive strength as a result of the acid attack is shown in Figure 8. As depicted in the graph, it is obvious that all mixtures underwent a drop in their compressive strength values, with the control mixture (CM0) being the least affected, with a loss of 16.8%. Moreover, RM30 and RM50 mixtures underwent a drop of 20.2% and 22.8% in their compressive strength, respectively. This reduction in strength is related to (1) RCA’s higher porosity compared to virgin aggregate, which facilitates the ingress of acid ions in the pores and dissolving calcium hydroxide and C-S-H gel in concrete, and (2) the formation of a high content of gypsum in concrete due to the reaction between sulphates and Ca(OH)2, resulting in concrete expansion and crack formation [50,51,52].
Figure 8.
The loss in the compressive strength of mixtures after exposure to acid solutions.
Furthermore, the loss in the compressive strength of RMZ30 and RMZ50 mixtures was noticed to be 17.6% and 19.6%, which is less than the drop in the strength of RM30 and RM50 mixtures. The presence of nano-ZnO particles in RCA-concrete would work on refining the pore structure of concrete and enhancing the bonding between the new mortar and RCA, which would decrease the ingress of sulphates in the mixture.
4. Practical Applications
It is undoubtedly true that using RCA in concrete mixtures as a substitute for coarse or fine aggregates has numerous environmental and monetary benefits. Those include lowering the CO2 emissions resulting from virgin aggregate production, reducing the exhaustion of natural resources, lowering the disposal of end-of-life and demolished concrete into landfills, and reducing the cost of excavating natural aggregates. However, the inferior properties of concrete produced by replacing virgin aggregates with RCAs might limit its production and application on a large scale. The implementation of chemical treatments in concrete containing RCA, especially those that do not involve any environmental concerns like nano-ZnO, might reduce the adverse effect of RCA on concrete and enhance its properties. This has been shown through this study, where an acceptable improvement in the strength and durability performance of RCA-concrete was noticed. Replacing virgin aggregate with 30 wt.% and 50 wt.% RCA and treating it with nano-ZnO resulted in concrete mixtures with compressive strengths of 33 MPa and 31.6 MPa, respectively, which are considered suitable to produce structural elements. Moreover, those mixtures showed high resistance to harsh environmental conditions in areas that are characterised by heavy rainfall, a raised water table, and ground water and soil with high acidity, enabling the use of those mixtures to construct durable structures that have the same life-span as concrete with virgin aggregates.
5. Conclusions
The use of recycled concrete aggregate (RCA) in the formulation of new concrete mixtures is an environmentally friendly approach that supports the ecological goals of the construction sector. This research aimed to verify the prospective usefulness of using nano-ZnO particles along with RCAs to enhance their performance as coarse aggregates in new concrete composites. A comprehensive evaluation was carried out to analyse the physical, mechanical, and durability characteristics of RCA concrete before and after incorporating ZnO particles. This investigation yielded the subsequent significant discoveries:
- Replacing coarse aggregates with 30 wt.% and 50 wt.% RCA reduced the workability of concrete by 32% and 49% compared to control due to the high absorption of RCA in water. Moreover, the addition of nano-ZnO particles to mixtures with 30 wt.% and 50 wt.% RCA further reduced their workability by 43% and 60% due to the high surface area of ZnO particles.
- The porosity of concrete with 30 wt.% and 50 wt.% RCA increased by 33% and 62%, respectively, owing to the porous nature of RCA. However, using nano-ZnO particles in those mixtures refined their pore structure, resulting in their porosity dropping by 7% and 10%, respectively.
- The replacement of natural aggregate with 30 wt.% and 50 wt.% RCA increased the permeability of concrete, achieving absorption rates of 6% and 7.2%, respectively, whereas the control mixture achieved an absorption rate of 2.9%. However, treating RCA mixtures with nan-ZnO managed to reduce their absorption rate by 14.5% and 18%, respectively.
- The 28-day compressive strength of RCA mixtures exhibited a 10% and 15% drop (for mixtures with 30 wt.% and 50 wt.% RCA) compared to the control mixture, which is due to the inferior mechanical properties of the old mortar attached to RCA. However, using nano-ZnO particles to treat RCA-concrete mixtures worked on enhancing their compressive strength by 2.8% and 4%.
- All concrete mixtures exhibited a drop in their compressive strength after exposure to the H2SO4 solution, with the control mixture being the least affected. Mixtures with 30 wt.% and 50 wt.% RCA showed 20.2% and 22.8% loss in their compressive strength, respectively, due to their porous nature. However, the drop in the compressive strength of concrete with 30 wt.% and 50 wt.% RCA and treated with nano-ZnO was 17.6% and 19.6%, respectively.
Based on the results obtained in this research work, concrete mixtures containing RCA and nano-ZnO have the potential to be used for structural purposes, depending on the employed mix design. However, further testing is still needed to validate the interaction mechanism between RCA and concrete in the presence of ZnO. Also, the change in the microstructure of RCA-concrete mixtures due to ZnO treatment should be studied.
Author Contributions
M.J.A.-K.: methodology, investigation, formal analysis, visualisation, data curation, conceptualization, resources, writing—original draft, and writing—review and editing. Y.S.J.: formal analysis, investigation, writing—original draft, and writing—review and editing. M.R.: methodology, data curation, resources, and writing—review and editing. S.H.G.: visualisation, conceptualization, and writing—review and editing. All authors have read and agreed to the published version of the manuscript.
Funding
This research received no external funding.
Data Availability Statement
The data presented in this study are available on request from the corresponding author. The data are not publicly available due to privacy.
Conflicts of Interest
The authors declare no conflict of interest.
References
- Al-Raqeb, H.; Ghaffar, S.H.; Al-Kheetan, M.J.; Chougan, M. Understanding the Challenges of Construction Demolition Waste Management towards Circular Construction: Kuwait Stakeholder’s Perspective. Clean. Waste Syst. 2023, 4, 100075. [Google Scholar] [CrossRef]
- El-Seidy, E.; Sambucci, M.; Chougan, M.; Al-Kheetan, M.J.; Biblioteca, I.; Valente, M.; Ghaffar, S.H. Mechanical and Physical Characteristics of Alkali-Activated Mortars Incorporated with Recycled Polyvinyl Chloride and Rubber Aggregates. J. Build. Eng. 2022, 60, 105043. [Google Scholar] [CrossRef]
- Poon, C.S.; Shen, P.; Jiang, Y.; Ma, Z.; Xuan, D. Total Recycling of Concrete Waste Using Accelerated Carbonation: A Review. Cem. Concr. Res. 2023, 173, 107284. [Google Scholar] [CrossRef]
- Al-Kheetan, M.J.; Byzyka, J.; Ghaffar, S.H. Sustainable Valorisation of Silane-Treated Waste Glass Powder in Concrete Pavement. Sustainability 2021, 13, 4949. [Google Scholar] [CrossRef]
- Habert, G.; Miller, S.A.; John, V.M.; Provis, J.L.; Favier, A.; Horvath, A.; Scrivener, K.L. Environmental Impacts and Decarbonization Strategies in the Cement and Concrete Industries. Nat. Rev. Earth Environ. 2020, 1, 559–573. [Google Scholar] [CrossRef]
- Al-Noaimat, Y.A.; Chougan, M.; Al-kheetan, M.J.; Yio, M.H.N.; Wong, H.S.; Ghaffar, S.H. Upcycling End-of-Life Bricks in High-Performance One-Part Alkali-Activated Materials. Dev. Built Environ. 2023, 16, 100231. [Google Scholar] [CrossRef]
- Griffiths, S.; Sovacool, B.K.; Furszyfer Del Rio, D.D.; Foley, A.M.; Bazilian, M.D.; Kim, J.; Uratani, J.M. Decarbonizing the Cement and Concrete Industry: A Systematic Review of Socio-Technical Systems, Technological Innovations, and Policy Options. Renew. Sustain. Energy Rev. 2023, 180, 113291. [Google Scholar] [CrossRef]
- Al-Awabdeh, F.W.; Al-Kheetan, M.J.; Jweihan, Y.S.; Al-Hamaiedeh, H.; Ghaffar, S.H. Comprehensive Investigation of Recycled Waste Glass in Concrete Using Silane Treatment for Performance Improvement. Results Eng. 2022, 16, 100790. [Google Scholar] [CrossRef]
- Chinzorigt, G.; Lim, M.K.; Yu, M.; Lee, H.; Enkbold, O.; Choi, D. Strength, Shrinkage and Creep and Durability Aspects of Concrete Including CO2 Treated Recycled Fine Aggregate. Cem. Concr. Res. 2020, 136, 106062. [Google Scholar] [CrossRef]
- Bai, G.; Wang, L.; Ma, G.; Sanjayan, J.; Bai, M. 3D Printing Eco-Friendly Concrete Containing under-Utilised and Waste Solids as Aggregates. Cem. Concr. Compos. 2021, 120, 104037. [Google Scholar] [CrossRef]
- Lu, B.; Shi, C.; Zheng, J.; Ling, T.-C. Carbon Dioxide Sequestration on Recycled Aggregates. In Carbon Dioxide Sequestration in Cementitious Construction Materials; Elsevier: Amsterdam, The Netherlands, 2018; pp. 247–277. [Google Scholar]
- Revilla-Cuesta, V.; Ortega-López, V.; Skaf, M.; Manso, J.M. Effect of Fine Recycled Concrete Aggregate on the Mechanical Behavior of Self-Compacting Concrete. Constr. Build. Mater. 2020, 263, 120671. [Google Scholar] [CrossRef]
- Ouyang, K.; Liu, J.; Liu, S.; Song, B.; Guo, H.; Li, G.; Shi, C. Influence of Pre-Treatment Methods for Recycled Concrete Aggregate on the Performance of Recycled Concrete: A Review. Resour. Conserv. Recycl. 2023, 188, 106717. [Google Scholar] [CrossRef]
- Xie, T.; Gholampour, A.; Ozbakkaloglu, T. Toward the Development of Sustainable Concretes with Recycled Concrete Aggregates: Comprehensive Review of Studies on Mechanical Properties. J. Mater. Civ. Eng. 2018, 30, 04018211. [Google Scholar] [CrossRef]
- Shi, C.; Li, Y.; Zhang, J.; Li, W.; Chong, L.; Xie, Z. Performance Enhancement of Recycled Concrete Aggregate—A Review. J. Clean. Prod. 2016, 112, 466–472. [Google Scholar] [CrossRef]
- Adessina, A.; Ben Fraj, A.; Barthélémy, J.-F.; Chateau, C.; Garnier, D. Experimental and Micromechanical Investigation on the Mechanical and Durability Properties of Recycled Aggregates Concrete. Cem. Concr. Res. 2019, 126, 105900. [Google Scholar] [CrossRef]
- Otsuki, N.; Miyazato, S.; Yodsudjai, W. Influence of Recycled Aggregate on Interfacial Transition Zone, Strength, Chloride Penetration and Carbonation of Concrete. J. Mater. Civ. Eng. 2003, 15, 443–451. [Google Scholar] [CrossRef]
- Tam, V.W.Y.; Soomro, M.; Evangelista, A.C.J. Quality Improvement of Recycled Concrete Aggregate by Removal of Residual Mortar: A Comprehensive Review of Approaches Adopted. Constr. Build. Mater. 2021, 288, 123066. [Google Scholar] [CrossRef]
- Santos, W.F.; Quattrone, M.; John, V.M.; Angulo, S.C. Roughness, Wettability and Water Absorption of Water Repellent Treated Recycled Aggregates. Constr. Build. Mater. 2017, 146, 502–513. [Google Scholar] [CrossRef]
- Shaban, W.M.; Yang, J.; Su, H.; Liu, Q.; Tsang, D.C.W.; Wang, L.; Xie, J.; Li, L. Properties of Recycled Concrete Aggregates Strengthened by Different Types of Pozzolan Slurry. Constr. Build. Mater. 2019, 216, 632–647. [Google Scholar] [CrossRef]
- Pu, Y.; Li, L.; Wang, Q.; Shi, X.; Luan, C.; Zhang, G.; Fu, L.; El-Fatah Abomohra, A. Accelerated Carbonation Technology for Enhanced Treatment of Recycled Concrete Aggregates: A State-of-the-Art Review. Constr. Build. Mater. 2021, 282, 122671. [Google Scholar] [CrossRef]
- Wu, C.-R.; Hong, Z.-Q.; Zhang, J.-L.; Kou, S.-C. Pore Size Distribution and ITZ Performance of Mortars Prepared with Different Bio-Deposition Approaches for the Treatment of Recycled Concrete Aggregate. Cem. Concr. Compos. 2020, 111, 103631. [Google Scholar] [CrossRef]
- Fanijo, E.O.; Kolawole, J.T.; Babafemi, A.J.; Liu, J. A Comprehensive Review on the Use of Recycled Concrete Aggregate for Pavement Construction: Properties, Performance, and Sustainability. Clean. Mater. 2023, 9, 100199. [Google Scholar] [CrossRef]
- Kou, S.-C.; Poon, C.-S. Properties of Concrete Prepared with PVA-Impregnated Recycled Concrete Aggregates. Cem. Concr. Compos. 2010, 32, 649–654. [Google Scholar] [CrossRef]
- Yaowarat, T.; Horpibulsuk, S.; Arulrajah, A.; Mirzababaei, M.; A Rashid, A.S. Compressive and Flexural Strength of Polyvinyl Alcohol–Modified Pavement Concrete Using Recycled Concrete Aggregates. J. Mater. Civ. Eng. 2018, 30, 04018046. [Google Scholar] [CrossRef]
- Lim, A.E.; Goh, S. Effect of Microchannel Diameter on Electroosmotic Flow Hysteresis. Energies 2023, 16, 2154. [Google Scholar] [CrossRef]
- Bîrcă, A.C.; Gherasim, O.; Niculescu, A.-G.; Grumezescu, A.M.; Neacșu, I.A.; Chircov, C.; Vasile, B.Ș.; Oprea, O.C.; Andronescu, E.; Stan, M.S.; et al. A Microfluidic Approach for Synthesis of Silver Nanoparticles as a Potential Antimicrobial Agent in Alginate–Hyaluronic Acid-Based Wound Dressings. Int. J. Mol. Sci. 2023, 24, 11466. [Google Scholar] [CrossRef] [PubMed]
- Kumar, M.; Bansal, M.; Garg, R. An Overview of Beneficiary Aspects of Zinc Oxide Nanoparticles on Performance of Cement Composites. Mater. Today Proc. 2021, 43, 892–898. [Google Scholar] [CrossRef]
- Al-saffar, F.Y.; Wong, L.S.; Paul, S.C. An Elucidative Review of the Nanomaterial Effect on the Durability and Calcium-Silicate-Hydrate (C-S-H) Gel Development of Concrete. Gels 2023, 9, 613. [Google Scholar] [CrossRef] [PubMed]
- Arbabi, A.; Kolahchi, R.; Bidgoli, M.R. Experimental Study for ZnO Nanofibers Effect on the Smart and Mechanical Properties of Concrete. Smart Struct. Syst. 2020, 25, 97–104. [Google Scholar]
- Reshma, T.V.; Manjunatha, M.; Bharath, A.; Tangadagi, R.B.; Vengala, J.; Manjunatha, L. Influence of ZnO and TiO2 on Mechanical and Durability Properties of Concrete Prepared with and without Polypropylene Fibers. Materialia 2021, 18, 101138. [Google Scholar] [CrossRef]
- Nayak, C.B.; Taware, P.P.; Jagadale, U.T.; Jadhav, N.A.; Morkhade, S.G. Effect of SiO2 and ZnO Nano-Composites on Mechanical and Chemical Properties of Modified Concrete. Iran. J. Sci. Technol. Trans. Civ. Eng. 2022, 46, 1237–1247. [Google Scholar] [CrossRef]
- Nochaiya, T.; Sekine, Y.; Choopun, S.; Chaipanich, A. Microstructure, Characterizations, Functionality and Compressive Strength of Cement-Based Materials Using Zinc Oxide Nanoparticles as an Additive. J. Alloy. Compd. 2015, 630, 1–10. [Google Scholar] [CrossRef]
- Silatikunsatid, T.; Jaitanong, N.; Narksitipan, S. A Study on Influence of Zinc Oxide in Cement Composite Materials. Key Eng. Mater. 2018, 772, 95–99. [Google Scholar] [CrossRef]
- Li, X.; Li, J.; Lu, Z.; Chen, J. Properties and Hydration Mechanism of Cement Pastes in Presence of Nano-ZnO. Constr. Build. Mater. 2021, 289, 123080. [Google Scholar] [CrossRef]
- BS EN 196-1:2016; Methods of Testing Cement—Determination of Strength. British Standards Institution: London, UK, 2016.
- BS EN 12350-2:2019; TC: Testing Fresh Concrete—Slump Test. British Standards Institution: London, UK, 2019.
- Al-Kheetan, M.J.; Rahman, M.M.; Ghaffar, S.H.; Al-Tarawneh, M.; Jweihan, Y.S. Comprehensive Investigation of the Long-Term Performance of Internally Integrated Concrete Pavement with Sodium Acetate. Results Eng. 2020, 6, 100110. [Google Scholar] [CrossRef]
- BS 1881-122:2011+A1:2020; Testing Concrete—Method for Determination of Water Absorption. British Standards Institution: London, UK, 2020.
- BS EN 12390-3:2019; Testing Hardened Concrete—Compressive Strength of Test Specimens. British Standards Institution: London, UK, 2019.
- ASTM C1898-20; Standard Test Methods for Determining the Chemical Resistance of Concrete Products to Acid Attack. American Society for Testing and Materials: West Conshohocken, PA, USA, 2020.
- Kox, S.; Vanroelen, G.; Van Herck, J.; de Krem, H.; Vandoren, B. Experimental Evaluation of the High-Grade Properties of Recycled Concrete Aggregates and Their Application in Concrete Road Pavement Construction. Case Stud. Constr. Mater. 2019, 11, e00282. [Google Scholar] [CrossRef]
- Gómez-Soberón, J.M. Porosity of Recycled Concrete with Substitution of Recycled Concrete Aggregate. Cem. Concr. Res. 2002, 32, 1301–1311. [Google Scholar] [CrossRef]
- Thomas, C.; Setién, J.; Polanco, J.A.; de Brito, J.; Fiol, F. Micro- and Macro-Porosity of Dry- and Saturated-State Recycled Aggregate Concrete. J. Clean. Prod. 2019, 211, 932–940. [Google Scholar] [CrossRef]
- Arefi, M.R.; Rezaei-Zarchi, S. Synthesis of Zinc Oxide Nanoparticles and Their Effect on the Compressive Strength and Setting Time of Self-Compacted Concrete Paste as Cementitious Composites. Int. J. Mol. Sci. 2012, 13, 4340–4350. [Google Scholar] [CrossRef]
- Yang, J.; Mohseni, E.; Behforouz, B.; Khotbehsara, M.M. An Experimental Investigation into the Effects of Cr2O3 and ZnO2 Nanoparticles on the Mechanical Properties and Durability of Self-Compacting Mortar. Int. J. Mater. Res. 2015, 106, 886–892. [Google Scholar] [CrossRef]
- Vazinram, F.; Jalal, M.; Foroushani, M.Y. Effect of Nano ZnO2 and Lime Water Curing on Strength and Water Absorption of Concrete. Int. J. Mater. Prod. Technol. 2015, 50, 356. [Google Scholar] [CrossRef]
- Agamuthu, P. Challenges in Sustainable Management of Construction and Demolition Waste. Waste Manag. Res. J. A Sustain. Circ. Econ. 2008, 26, 491–492. [Google Scholar] [CrossRef] [PubMed]
- Nivethitha, D.; Dharmar, S. Influence of Zinc Oxide Nanoparticle on Strength and Durability of Cement Mortar. Int. J. Earth Sci. Eng. 2016, 9, 175–181. [Google Scholar]
- Alnahhal, M.F.; Alengaram, U.J.; Jumaat, M.Z.; Alsubari, B.; Alqedra, M.A.; Mo, K.H. Effect of Aggressive Chemicals on Durability and Microstructure Properties of Concrete Containing Crushed New Concrete Aggregate and Non-Traditional Supplementary Cementitious Materials. Constr. Build. Mater. 2018, 163, 482–495. [Google Scholar] [CrossRef]
- Kazmi, S.M.S.; Munir, M.J.; Wu, Y.-F.; Patnaikuni, I.; Zhou, Y.; Xing, F. Effect of Recycled Aggregate Treatment Techniques on the Durability of Concrete: A Comparative Evaluation. Constr. Build. Mater. 2020, 264, 120284. [Google Scholar] [CrossRef]
- Sahoo, S.; Das, B.B.; Rath, A.K.; Kar, B.B. Acid, Alkali and Chloride Resistance of High Volume Fly Ash Concrete. Indian J. Sci. Technol. 2015, 8, 12. [Google Scholar] [CrossRef]
Disclaimer/Publisher’s Note: The statements, opinions and data contained in all publications are solely those of the individual author(s) and contributor(s) and not of MDPI and/or the editor(s). MDPI and/or the editor(s) disclaim responsibility for any injury to people or property resulting from any ideas, methods, instructions or products referred to in the content. |
© 2024 by the authors. Licensee MDPI, Basel, Switzerland. This article is an open access article distributed under the terms and conditions of the Creative Commons Attribution (CC BY) license (https://creativecommons.org/licenses/by/4.0/).







