Abstract
In this paper, a thermal performance assessment of traditional building constructions and configurations in various Moroccan climates is carried out. This research focuses on enhancing conventional energy efficiency of buildings by investigating the thermal behavior of single clay walls, double clay walls, simple brick walls, and double brick walls based on long-term meteorological data using TRNSYS software. The roof pitch, thermal comfort and discomfort index, and building energy consumption are considered while selecting buildings for each temperature zone. It is noticed that the double brick construction is more efficient in all climatic zones of Morocco. Thus, this material reduces the yearly energy requirement of building by 22% to 25% compared to the usual brick building. On the coldest winter days, a 30° south-facing roof raises the internal temperature by 2.5 °C compared to a horizontal roof. Temperature increases could reduce the air conditioning energy usage by 7% to 32% and overcooling hours by 12% to 21% in cities above 30° N. In addition, the findings are interesting enough to inspire individuals to implement the recommended construction design and study energy efficiency and thermal comfort in Moroccan buildings. Consequently, reducing energy consumption, mitigating climate change, and lowering greenhouse gas emissions.
Keywords:
thermal performance; climatic zone; clay wall; energy consumption; Morocco; climate change 1. Introduction
Energy demand of countries is growing worldwide, representing a heavy burden for various states independently of their global economic weight. This problem is mostly driven by global population expansion, as well as by economic and industrial growth in emerging countries [1]. In addition to these challenges, it is crucial to note that this increase in the energy demand has a considerable effect on the environment.
The International Organization for Standardization (ISO) has developed over 1100 building and construction standards to address this issue and improve buildings’ energy efficiency. Moreover, the well-known standard ISO 50001 Energy Management helps the business sector to enhance its energy efficiency by using energy sources already available, lowering energy expenses and consumption. According to El Majaty et al. [2], adopting an energy management system (with a small investment cost) can enhance administrative energy efficiency of buildings. Moreover, similar results were obtained in a public building study in Indonesia that implemented an ISO 50001-compliant energy management system [3]. This energy management system reduced energy consumption by 613,188 kWh (between 2018 and 2020) and the energy efficiency index by 129.06 kWh/m2/year in 2020. It also reduced greenhouse gas emissions by 539.60 tons of CO2 equivalent. In this context, several researchers have invested time and effort in finding practical solutions and discovering other unsustainable alternative energy sources, including the use of renewable energy alternatives for electricity generation (industry and domestic grid) [4,5,6] and the use of thermal insulation materials in buildings to minimize the energy consumed during cold and hot seasons [7,8].
Integrating passive cooling and heating systems is one of the most effective ways of reducing energy consumption in buildings. A review of 42 studies published between 2000 and 2021 examined the effects of passive cooling strategies on lowering indoor temperatures, reducing the cooling load, saving energy, and extending the thermal comfort period. A total of 30 passive strategies were identified and categorized into 3 groups: design approach, building envelope, and passive cooling system. Within this context, a systematic review was conducted to identify, classify, and assess the effectiveness of passive cooling strategies (PCS) in residential buildings [9]. The findings indicated that implementing various passive strategies resulted in an average decrease in the indoor temperature of 2.2 °C, a reduction in cooling load of 31%, energy savings of 29%, and an extension of the duration of thermal comfort of 23%.
In recent years, significant efforts have been made to improve energy efficiency and promote the construction of energy-efficient buildings. One method to enhance energy efficiency in the residential sector involves incorporating bio-composite elements with insulating materials into building construction [10,11,12,13]. In this context, Lamrani et al. [14,15] predicted and optimized the thermal performance of two types of buildings built with different wall materials in the south-eastern region of Morocco. The results showed that a building based on clay and traditional building materials offered better thermal and energy comfort than a brick building, and it reduced the annual energy consumption by 27%. Moreover, an experimental and numerical study of bricks incorporated by Phase Change Materials (PCMs) was realized by Necib et al. [16]. In this study, several types of PCMs and their placement effects in the walls on energy performance were studied. The results provided insight into optimizing a brick thermal inertia of wall in combination with PCMs to reduce the heat gain inside the building. In addition, using a PCM tank for daily energy storage lowered the cooling and heating demands by 22.5% and 18%, respectively [17]. Other studies have investigated the thermal behavior of natural inorganic biochar–clay composites [18]. These composites have been found to significantly reduce the thermal conductivity of building envelope materials, leading to less temperature variation under similar conditions. Furthermore, the utilization of biochar has demonstrated a reduction in water vapor permeability.
Windows play an essential role in improving the thermal and energy performance of buildings. Well-insulated windows that transmit natural light and provide adequate ventilation help to reduce energy consumption, improve indoor comfort and reduce the environmental footprint of buildings. In a related study, Nourozi et al. [19] evaluated the thermal performance of the active energy of new windows (EAW) using the finite difference method. They minimized the thermal losses through large glazed surfaces. The result showed that EAW has great potential to decrease the heating power demand by about 2.2 W/m2 of floor area for an external temperature of −20 °C and 1.3 W/m2 of floor area for an outdoor temperature of −5 °C. In the same direction, numerical modeling and thermal simulations using the finite volume method within a parieto-dynamic window with triple glazing were realized by Amrani et al. [20,21]. They studied the two modes of convection and thermal radiation, as well as the effect of the aperture size and glass blade thickness on the flow fields and temperature distribution. They found that energy losses through triple-glazed windows can be significantly reduced by optimizing the air layer thickness and opening size. Similarly, the heat transfer increases significantly as the glazing thickness increases, particularly in the presence of radiative exchange.
Thus, Clark et al. [22] experimentally investigated convective heat transfer in two different window setups: Configuration A, which involved a floor–ceiling window, and Configuration B, which had a 1.37 m high window in a wall. The findings of their study indicated that Configuration A reduced the convective heat transfer by approximately 40%, while Configuration B achieved a reduction of around 30%.
The roof is a vital component of a building, as it is directly exposed to the rays of sun, increasing the temperature of its outer surface. Consequently, heat flows through the roof and into the building, adding to the cooling load that accounts for 5–10% of the total energy consumption of a building [23,24]. Several numerical and experimental studies have been conducted on reducing this load by improving roof insulation [25,26]. For example, Rong et al. [27] found that using a heat-reflecting material as roof insulation could save 12.9% of the annual energy consumption and reduce the temperature of the outer surface of the roof by 6–8 °C. In a study comparing the installation of a roof pitched at 15°, 30° and 45° to the south and north with a horizontal roof construction, it was found that a roof pitched at 30° to the south gives the best results in terms of energy efficiency and thermal performance, with a 9% reduction in the total energy consumption [14]. In addition, Amrani et al. [28] studied the influence of a heating block, which acts as a radiator installed in the attic. They found that a significant improvement in heat transfer was mainly due to a decrease in the aspect ratio A and an increase in the Rayleigh number Ra.
Dynamic simulation tools, such as TRNSYS 16 software, have played a crucial role in addressing the energy efficiency issues of buildings. TRNSYS is widely used for transient thermal system simulations in commercial and residential structures [29,30,31,32], which compared the results of a model of this software with experimental data and revealed errors of less than 4%. In this context, Lafqir et al. [33] investigated the performance of different passive techniques in a building located in the Moroccan climate. They utilized TRNSYS software to evaluate the heating and cooling energy demand and analyze the thermal behavior inside the building under the specific climatic conditions of Morocco. In addition, a study by Bot et al. [34] used EnergyPlus software (version 8.6.0.) to evaluate the energy and thermal performance of a building-integrated photovoltaic thermal system in a test chamber. The authors examined several scenarios with and without direct solar gains on the glazed surfaces. The results showed that compared with the baseline scenario, the total energy used for heating and cooling could be reduced by 48%.
Optimizing and investigating construction materials and configurations are crucial to improving energy efficiency and consumption of buildings, especially in countries characterized by varied climatic conditions, such as Morocco. The present work was oriented in this context in order to allow for a suitable selection of traditional building constructions and configurations. Moreover, this work concerned evaluating the thermal and energy performance of a multi-family residential building comprising four types of constructions, three of which are already in use. However, the fourth contains a new concept: a double clay wall. The study was generalized to the entire Moroccan climate. Thermal comfort parameters and energy consumption were simulated and assessed to evaluate their performances. In addition, a new integrated pitched roof design using the above material types was evaluated. The results indicated that the best configuration was type #2, contributing to a net reduction in the thermal requirements of up to 70%. Furthermore, the corresponding additional cost was between USD 1300 and USD 28,900, with a payback time ranging from 5 to 8 years. Finally, for a better results presentation, a map of the total annual energy building consumption for construction type #2 with and without a roof was created using the simulation results and GIS 10.8 (Geographic Information System) software.
2. Materials and Methods
2.1. Field of Study and Climatic Zoning
Morocco has a land area of 710,000 km2 and a strategic location bordered by Algeria to the east, Mauritania to the south, the Mediterranean Sea to the north, and the Atlantic Ocean to the west. The maritime zones of this country are characterized by their 3500 km of coastline. The climates of nation are more varied as a result of this extensive coastline [35,36,37]. Thus, diversification and climate change directly impact architecture, construction materials, and energy consumption in buildings, which is considered to be currently one of the main global problems [38,39,40]. To address this issue, some nations are proposing various building energy efficiency plans and initiatives that take climate zoning into account. These proposals or stipulations are an essential basis for developing energy efficiency initiatives [41]. In the same context, studies indicate that energy efficiency may be increased for homogeneous and small climatic zones, hence enhancing the thermal comfort of occupants within buildings [42].
Over the past decade, Morocco has embarked on a green energy policy [43]. Since 2009, this country has made considerable efforts to secure its energy supply from different natural resources to achieve reasonable energy prices [44]. In addition to its diversification of renewable energy sources, Morocco has moved toward an energy efficiency strategy based on appropriate regulations and a well-defined legislative framework while enacting Law 47-09 on energy efficiency. One of the objectives of this law is to ensure that buildings in different climatic zones have a well-adapted energy balance. Thus, the decree concerning the Thermal Regulation of Moroccan Construction (RTCM) with the number 2-13-874 was published in 2014 [45]. Nevertheless, the implementation of the latter started in November 2015. Note that the aforementioned decree stipulates several requirements, especially concerning the annual energy demand for heating and cooling in the six Moroccan climate zones (Figure 1). It also establishes and describes several specifications for the various building components, such as windows, roofs, and exterior walls [46,47]. The main objective of the Moroccan plan is to save up to 20% of energy by 2030.
Figure 1.
Mapping of the 6 climatic zones in Morocco.
For a thorough analysis, our study will be conducted in 30 localities/cities well distributed across the country, 17 of which are equipped with meteorological stations that provide us with long-term data measured on the ground (ambient temperature, humidity, and total horizontal solar radiation). The collected data vary between 3 and 11 years, depending on the meteorological station. As for the remaining 13 sites, the data are from the Meteonorm database. This database is very well recognized and has been recommended and used by several researchers and software developers [48,49]. In addition, several studies have used this database to run their simulations. For instance, Lebied et al. [50] used the meteorological file provided by Meteonorm for Tetouan city to study an office building prototype located in northern Morocco. In addition, Figaj et al. [51] modeled and simulated a hybrid solar–solar-wind system dynamically, providing space heating/cooling, located in Gdansk, northern Poland, using this database.
Table 1 presents the geographical coordinates, locations, measurement periods, HDD (heating degree days), and CDD (cooling degree days) indices [52,53,54,55] of the 19 meteorological stations used in this study. The simulation results will initially focus on six cities: Rabat, Tangier, Meknes, Ifran, Marrakech, and Er-Rachidia. These cities represent the reference cities of the six climate zones. To improve the presentation and visibility of the results, interpolation will be performed using GIS software to map various parameters across the Moroccan regions.
Table 1.
Geographical coordinates of the cities representative of the six climate zones.
According to the Köppen climate classification [56] and the HDD (heating degree days) and CDD (cooling degree days) indices, the first two zones’ climate is an Atlantic climate, known for its tempered atmosphere, even in winter. A light wind cools the air in summer, while in winter, it is never cold, so the temperature is almost constant throughout the year, with a moderate need for cooling (CDD (Ref) = 545) and a moderate number of heating days (HDD (Ref) = 802). Zone 2 has a Mediterranean climate characterized by cool, wet winters and relatively hot summers. This zone has similar heating requirements (HDD (Ref) = 793) to zone 1 but slightly higher cooling requirements (CDD (Ref) = 731). Zone 3 is a continental zone marked by cold winters with relatively abundant precipitation, resulting in many days requiring heating (HDD (Ref) = 1097), and by hot summers with a high need for air conditioning (CDD (Ref) = 869). However, zone 4 is the coldest climate region, which is very wet and cold in winter, with considerable snow records and many days requiring heating (HDD (Ref) = 1770). In contrast, the need for cooling is relatively low (CDD (Ref) = 380), indicating relatively cool summers. Semi-arid and desert climates are terms used to describe zones 5 and 6, respectively, where a significant temperature differential separates the two zones. Thus, especially for zone 6, expect an extremely hot summer and a slightly colder winter. Similarly, the reference city in zone 5 exhibits lower values for the HDD (793) and CDD (1130) compared to the reference city in zone 6, where the HDD is 1213 and CDD is 1128.
Figure 2 shows the global incident radiation intensity evolution on a horizontal plane according to the database for the six climatic zones of Morocco during one year. From this figure, we can see that all the zones have their maximum radiation in July, except Ifran and Er-Rachidia, which have the highest radiation intensity in June. The first three zones, zones 1, 2, and 3, have the lowest total annual radiation intensity in the city of Rabat (69,977 W/m2), followed by Meknes (70,540.37 W/m2) and Tangier (72,789 W/m2). The last three areas have the highest total annual radiation intensity in the cities of Marrakech (79,737 W/m2), Er-Rachidia (80,550 W/m2), and Ifran (88,287 W/m2).
Figure 2.
Global horizontal irradiance (Wh/m2) for the six climate zones of Morocco.
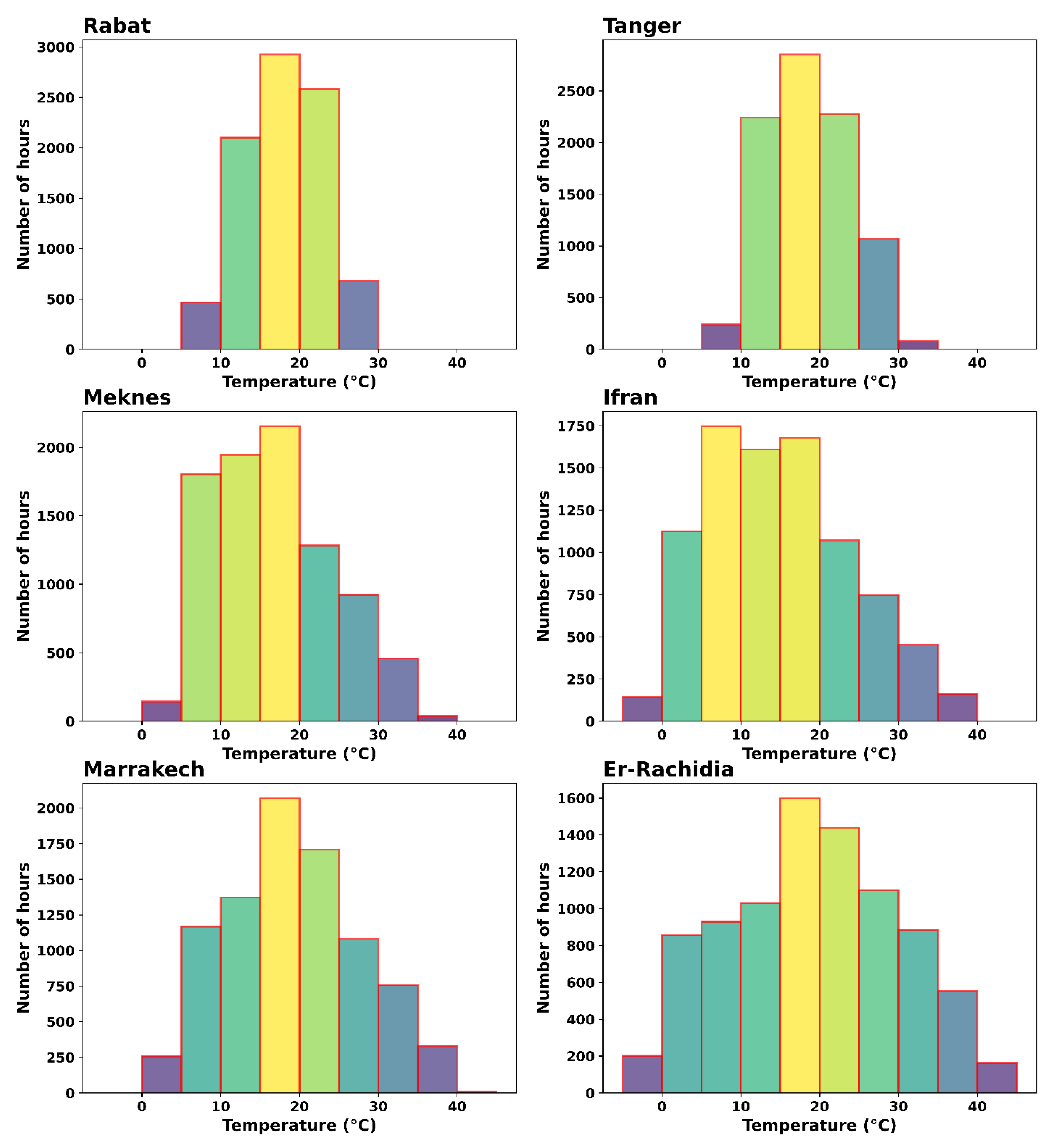
Furthermore, Figure 3 shows a distribution histogram of the ambient temperature according to the database for the six reference cities of climate zones of Morocco for one year. The ambient temperature in Rabat and Tangier varies between 10 °C and 25 °C, with a slight increase in Tangier during the summer, when it reaches 32 °C, which remains constant for most of the year. For Meknes city, the ambient temperature varies between 5 °C and 25 °C for 7092 h, representing 80% of the hours of year. However, in Marrakech city, this range of temperature variation extends to the high temperature, where we find that in 1097 h, the temperature increases by 30 °C. Where the temperature is below 10 °C, the numbers of hours exceed 3019. As illustrated in the histogram, Ifran has an extremely cold climate, and it also shows a significant temperature variation for Er-Rachidia city, which presents a desert climate known for a very hot summer and a very cool winter, where for 1988 h the temperature is lower than 10 °C and for 716 h it exceeds 35 °C.
Figure 3.
Ambient temperature histogram for the six climate zones of Morocco.
2.2. Numerical Modeling
Focusing on the dynamic simulation of our proposed thermal behavior of building, we have used TRNSYS software, which is a transient system simulation software that allows the simulation of systems using interconnected components known as ”types”, which receive time-dependent inputs and outputs [57]. A time step of 1 h is used to have a detailed time distribution of the thermal and energy behavior throughout the year. TRNSYS (Transient Systems Simulation Tool) is an internationally recognized software package for dynamic thermal simulations applied to buildings. Developed by the Building Scientific and Technical Center (CSTB) in France, it is a benchmark in the field of thermal simulation recognized by the ASHRAE (American Society of Heating, Refrigerating, and Air-Conditioning Engineers) as a software package for analyzing energy systems of buildings. Thanks to its advanced features, TRNSYS is widely used by the researchers mentioned in this manuscript, and recent studies have been published this year. The following diagram shows the different steps in the simulation (Figure 4). First, we inserted the climate data file of the investigated location into the type 9e data reader. Type 33 returned the corresponding moist air properties and type 69 determined the effective sky temperature, which calculated the longwave radiation exchange between an arbitrary outdoor surface and the atmosphere. Then, we modeled our building using type 56 (TRNBuild) with the definition of the construction materials used to obtain the results (temperature, discomfort hours, Predicted Mean Vote (PMV), and energy consumption).
Figure 4.
Descriptive diagram of the study.
2.3. Building Description and Modeling
For this investigation, several simulations to evaluate the climate’s (from the climate zones mentioned above) impact on the temperature variation and energy performance of four different building construction types have been performed (Table 2) built with the walls and materials mentioned in Figure 5 and Table 3.
Table 2.
Description of the wall compositions for each type.
Figure 5.
Description of the wall types (1) clay wall (2) double clay wall (3) brick wall (4) double brick wall (5) clay roof (6) brick roof (7) floor.
Table 3.
Thermophysical characteristics of the building materials.
The selected building model for this study is a typical multi-family social residential building subdivided into four apartments (Figure 6). Each apartment can be separated into two parts. Part 1 is a large room of 42 m2, while part 2 contains the kitchen and the shower. The roof height is 5 m, and the floor area of each home is about 70 m2. The building elements were used as input data in the simulation model as internal gains.
Figure 6.
3D view of a residential building.
In this simulation, it is assumed that the apartment was to be occupied by two persons. In addition, the apartment was equipped with various electrical and gas appliances (artificial lighting, television, computer, stove, oven, refrigerator, and washing machine), whose radiant powers and daily operating times are indicated in Table 4 below.
Table 4.
Power and running time of the electrical appliances in the house.
2.4. Studied Parameters
To assess the impact of the outdoor climate on the efficiency of building, we have used several indicators, such as the indoor temperature, PMV indicator, number of hours of thermal discomfort calculated, and energy consumption for heating and cooling.
2.4.1. PMV Indicator
Generally, thermal comfort for people is expressed according to ISO 7730 on a seven-point thermal sensation scale (Table 5) using the PMV (predicted mean vote) comfort indicator [58], which determines the predicted mean score for the thermal sensation. Moreover, the PMV indicator comprehensively covers the most critical individual impact and environmental factors (physical activity, clothing, operating temperature, etc.) on thermal sensation of human. Thus, a value of −0.5 < PMV < +0.5 is considered optimal, while PMV values lower than −2 and higher than +2 indicate the presence of an extreme microclimate, which is regarded as harmful to the occupants of the house (Table 5).
Table 5.
Seven-point thermal sensation scale.
TRNSYS employs EN ISO 7730 to calculate the thermal comfort index. Thus, the presumptions were used (ASHRAE 55) as follows: (1) it was estimated that the metabolic activity would be 1.5 met during the day and 1 met at night (sleep), (2) the clothing resistance was calibrated at 0.5 clo in summer and 1 clo in winter, and (3) the relative air speed was fixed at 0.1 m/s.
2.4.2. Thermal Discomfort Hours
Thermal discomfort hours occur when the operative temperature is outside the comfort temperature range. Generally, we define three categories of discomfort hours:
- Overheating discomfort hours: represent the number of hours when the operative temperature is above the summer comfort temperature.
- Overcooling discomfort hours: represent the number of hours when the operative temperature is below the winter comfort temperature.
- Total discomfort hours: represent the sum of the overheating and overcooling discomfort hours.
In the standard NF EN ISO 7726 published in 2002, the operational temperature is defined as the temperature felt by the occupant. It takes into account the air temperature in the occupied part and the effects of radiation. The following equation allows us to calculate this temperature:
can be written as:
or:
where , and are the operative, ambient, and mean radiative temperature, respectively. and are the heat exchange coefficient by convection and radiation, respectively.
where and are the temperature and the area of the surface i, respectively.
2.4.3. Energy Consumption
In this study, we will assess energy consumption using Moroccan legislation. In fact, according to the General Building Regulations of Morocco (NM ISO 7730 2010) [45], the annual heating and cooling requirements for the building need to meet the adapted reference temperature values fixed at 20 °C in winter and 26 °C in summer.
The RTCM performance approach consists of defining and setting the maximum annual thermal requirements for the heating and cooling of buildings in each zone according to their type (residential, administration, hospital, hotel, etc.). The table below illustrates the maximum heating and cooling requirements according to the RTCM [45].
3. Results
3.1. Thermal Performance and Energy Consumption between Construction Types
In this section, we present the simulation results for the four proposed building types built with local materials, and their performance for each of Morocco’s six climatic zones is assessed. The first type of construction (#1) is brick, which is the reference type, the second (#2) is brick with double-walled exterior walls, the third (#3) is clay, and the fourth (#4) is clay with double-walled clay exterior walls. The comparison of the simulation results is presented for the coldest winter week and the warmest summer week during the year for each city (Table 6). The selection of these weeks is based on the average ambient temperature value per week in every city.
Table 6.
Maximum annual specific thermal requirements for the heating and cooling of buildings in Morocco in kWh/m2/year.
Figure 7 shows the outdoor and indoor temperatures for the four building types during the hottest days of summer and the coldest days of winter for the six cities representing the six climate zones. The figure shows that Rabat and Tangier cities are characterized by a steady ambient temperature with a small amplitude of variation throughout the week. Still, there is a slight temperature rise in Tangier during summer. The other cities show almost the same temperature profile, except for Ifran and Meknes, where the maximum temperature is around 35 °C, while the temperature for Marrakech and Er-Rachidia can reach values higher than 40 °C.
Figure 7.
Outdoor and indoor temperature variations for the four building types during the hottest and coldest weeks.
Indeed, as can be noticed from Figure 7, the indoor air temperatures for the construction type cases #2, #3, and #4 are lower in comparison to the ones for type #1 during the warmest weeks. This decrease, which depends on the weather and the construction material, reaches its maximum during the afternoon. In addition, we can see that the thermal insulation of the exterior walls (type #2) leads to the lowest indoor air temperature in the afternoon and the highest at night and in the morning. Thus, the thermal insulation prevents heat from entering the house while keeping the indoor air warm at night, which shows that the temperature variation per day for type #1 is higher than the one for type #2.
By comparing the air temperature inside the type #3 and #4 buildings to that of type #1, we can notice that the effect of the clay construction is directly observable, especially in the daily peak temperatures. Moreover, for most days, the maximum temperatures recorded in types #3 and #4 remain below those of type #1 and are in the same range as the ones of type #2. From a quantitative point of view, it is observed that the house’s interior temperature for the clay construction for types #3 and #4 is lower compared to the brick construction during hot weeks. This decrease can reach 1.75 °C, 2.32 °C, 2.19 °C, 3.34 °C, 1.84 °C and 2.04 °C for the cities of Rabat, Tangier, Meknes, Ifran, Marrakech and Er-Rachidia, respectively.
Although types #2, #3, and #4 have very similar daytime maximum indoor temperatures, type #2 has a lower temperature than the other two at night, showing that the daily average temperature of this type is lower than the ones of types #3 and #4.
In the same context, we observe that the indoor temperatures for the coastal cities and of the four models are higher than the outdoor temperatures due to the humidity, which is high in these cities. Humidity also plays a significant role in indoor temperature variation because building materials are susceptible to water saturation since thermal conductivity increases with the rate of water saturation [59].
According to Table 7, for each investigated site and the winter’s coldest days, the outdoor temperature varies between 6 °C and 17 °C for the two coastal cities, Rabat and Tangier, and in the range of 2 °C to 15 °C, −1 °C to 13 °C, 2 °C to 20 °C and −3 °C to 13 °C for the cities of Meknes, Ifran, Marrakech and Er-Rachidia, respectively (Figure 7). This variation affects the temperature inside the buildings, where we observe that the amplitude of the variation in the interior temperature in the cities of Rabat, Tangier, Meknes, and Marrakech is between 10 °C and 16 °C. By contrast, in the two coldest cities, Ifran and Er-Rachidia, the temperature inside the buildings can decrease by up to 4 °C.
Table 7.
Coldest and warmest weeks for the six cities.
According to Figure 7, we can notice that the presence of a material with a high thermal capacity reduces the temperature variations. Indeed, throughout the two weeks, the interior temperature increases and decreases less rapidly (lower slope) in the two types #3 and #4, which contain clay, compared to type #1. This is due to the fact that clay has a heat capacity of about 1042 J/(kg·K), which is higher than that of brick (794 J/(kg·K)). This characteristic is very beneficial during the winter season. In another way, the air added to the building envelope improves the thermal performance of the brick building while reducing the daily thermal amplitude from 6 °C to 2.5 °C. The low thermal conductivity of the air prevents heat from penetrating inside in summer and outside in winter.
To support our findings, a study conducted by Dlimi et al. revealed that adding thermal insulation to a building’s external walls enhances its heat storage capacity and improves its resistance to thermal changes. The building’s high thermal inertia enables it to use and retain solar and internal heat. In contrast, the increased thermal resistance reduces the heat loss, resulting in a rise in temperature and a reduction in energy consumption, particularly in winter [60].
In this section, the PMV index was proposed to evaluate the human thermal comfort in the building. As discussed above, the thermal sensations experienced by the operating personnel were described with the PMV index according to the requirements of ISO 7730. Based on the measured and calculated environmental data and human factors, the PMV index was determined, and the calculation results are presented in Figure 8.
Figure 8.
PMV indicator variations of the four construction types during the hottest and coldest weeks.
Figure 8 shows that the PMV indicator amplitude varies according to the construction type. As can be noticed, the PMV and the internal temperature of the buildings with construction types #3 and #4 are the same in summer, demonstrating a relationship between the two parameters. In fact, since the PMV is an indicator of the thermal sensation of the house’s occupants, if the temperature increases, the environment overheats and people feel more warmth. In other words, the PMV index increases. During the hottest week, the PMV indicator was between 1.1 and 1.8 for building types #2, #3, and #4 in the city of Er-Rachidia. This means the PMV = 2 value, corresponding to the feeling of harmful heat, was not exceeded in the analyzed points. Therefore, the microclimate of the room can be classified as moderate. Yet, for construction type #1, the PMV increases by 2, which means that the indoor climate is warmer. This figure also shows the PMV variation during the coldest period. The PMV values during this period are lower than −1 in all the evaluated cities and for all the proposed construction types, except for the city of Ifran, where they are lower than −2, which means freezing temperatures and high energy consumption for heating in this city.
Figure 9 shows the graphs of the annual energy consumption needed to maintain an ambient temperature in the thermal comfort range, i.e., above 20 °C in winter and below 26 °C in summer. From this figure, we can notice that building type #1 has the highest overall thermal load, which exceeds 194 kWh/m2/year in Ifran (cold climate) and Er-Rachidia (desert climate), while it is about 160 kWh/m2/year for Meknes and 120 kWh/m2/year in Marrakech and Tangier. In contrast, it is nearly 109 kWh/m2/year in Rabat.
Figure 9.
Annual charges for the different types of construction in the six cities.
In addition, we can also observe that type #2 requires a remarkably lower thermal load in all climates than type #1. Note that double-wall bricks for exterior walls significantly impact the total annual energy demand due to reducing it by over 20% in comparison with building type #1. Building type #4 reduces as well the energy demand by over 15%. In addition, building type #3 has a slight demand reduction of less than 10% for all the cities.
The effect of the climate on the total energy consumption of the building was clear for the city of Ifran, which is characterized by a short, dry and hot summer and a long, cold winter. This shows the high total energy consumption of this city, especially for heating. Indeed, the total energy needed in type #2 is 169.83 kWh/m2/year, and the energy consumption for heating, which is 146.18 kWh/m2/year, represents 86% of the total consumption. Moreover, for the desert city of Er-Rachidia, which has mild winters and scorching and sunny summers, the total energy consumed by type #2 is 146.94 kWh/m2/year, and the proportion of heating consumption does not exceed 78%, with consumption equal to 115.19 kWh/m2/year. On the other hand, the two coastal cities with a Mediterranean climate represent low energy consumption.
To evaluate the overall energy requirements for heating and cooling in a building, a total degree days (TDD) coefficient is assessed. The TDD is a comprehensive measure that combines both the heating degree days (HDD) and cooling degree days (CDD), taking into account the temperature variations throughout a specific period. Additionally, the high HDD value of 1630 for Ifran indicates a substantial proportion of its heating consumption. Er-Rachidia ranks second with a TDD value of 2161, accompanied by a high HDD (1241) and CDD (920), indicating a considerable heating consumption percentage. On the other hand, Rabat and Tangier represent the minimum TDD values of 1347 and 1524, respectively.
Based on the above results, the construction material (especially type #2) has a remarkable influence on decreasing the energy consumption by increasing the heat insolation and, thus, the thermal comfort for all the regions. The U-value of this type complies with the requirements of the Réglementation Thermique Marocaine des Constructions (RTCM) for all of Morocco’s climatic zones [45]. Reducing energy consumption also reduces emissions of carbon dioxide (CO2) and other gases responsible for global warming. Nevertheless, the energy consumption is still considerable and it should be optimized. For this reason, we have assessed the impact of adding inclined roofs to the proposed building configurations on decreasing the energy consumption and increasing the thermal comfort for the Moroccan climatic zones.
3.2. The Impact of the Roof Incline
Many passive and active methods can be used to improve these buildings’ thermal and energy efficiency. In our study, we will evaluate the impact of a building’s roof pitch on the energy demand and thermal discomfort hours. For this reason, three roof inclination angles, 15°, 30°, and 45° and south directed, are selected for the type #2 construction since it is the one that demonstrates the best performance in the six climate zones studied. In what follows, we will compare the results of these three configurations with those obtained with the horizontal roof. The results show that the temperature inside the building increases with the roof pitch for all the building types studied and in all the six cities. This increase is advantageous in winter because it decreases the heating loads, although it is disadvantageous in summer because it increases the energy consumption of air conditioning. In addition, the temperature increase varies according to the type of building and the time of year. In fact, for the type #2 building, this increase does not exceed 1.2 °C in summer for the three inclination angles. However, in winter, the temperature increases by more than 1 °C for the 30° and 45° tilt angles.
Figure 10 and Figure 11 represent the temperature variations inside this building during the coldest and warmest weeks and for the different slope angles. As the inclination angle increased, the temperature inside the building increased proportionally. This temperature increase can reach 10% in winter for the coastal cities, 16% for Meknes and Marrakech, and 19% and 22% for Ifran and Er-Rachidia for an inclination angle of 45°. This is mainly due to the concentrated solar flux amount received by the roof in winter. However, this increase does not exceed 5% for all the cities in summer.
Figure 10.
Indoor temperature variations for the different inclination angles during the coldest weeks for building construction material type #2.
Figure 11.
Indoor temperature variations for the different inclination angles during the hottest weeks for building construction material type #2.
Figure 12 shows the influence of the roof pitch angle variation on the total annual energy consumption, which is the sum of the two energy expenditures for heating and cooling in the six studied cities. As can be noticed, building type #2 has the lowest annual energy consumption for all the studied angles in the different cities. In addition, it is clear that the 30° tilt angle represents the most significant reduction in the energy consumption. This reduction differs according to the climate zone. Indeed, the energy consumption values for Rabat city vary between 77.28 kWh/m2/year and 109.34 kWh/m2/year, which represents the lowest consumption in comparison to the other climatic areas. When this value is compared to the base case (horizontal roof), it can be seen that the energy performance is improved by 9.25% with construction type #2 and an inclination angle equal to 30°.
Figure 12.
Total annual energy consumption as a function of the roof inclination angle for the four building types.
To better analyze the results, we can observe that the heating load ratio to the total energy intensity is 87.64%. While comparing this ratio to the reference case (horizontal roof), the heating load ratio decreases by 13.73%. Similarly, the cooling load ratio increases by 4.5%. Although the heating and cooling load ratio in the overall consumption has the opposite effect, the values of the total energy consumption decreased in comparison to the reference case, in which the energy consumption increased from 0.26 kWh/m2/year to 8.31 kWh/m2/year in terms of cooling, while it decreased from 6.57 kWh/m2/year to 17.45 kWh/m2/year for heating. For Tangier city, we find that the values of the total energy consumption vary between 121.06 kWh/m2/year and 131.15 kWh/m2/year, while for the cities of Meknes, Ifran, Marrakech, and Er-Rachidia, this parameter varies respectively between 110.61 and 153.9 kWh/m2/year; 155.29 and 218.17 kWh/m2/year; 86.61 and 127.33 kWh/m2/year and between 137.04 and 194.67 kWh/m2/year, for the cities mentioned above. Based on these results, the best energy performance—for the reference case—increased by 2.80% with a building with type #2 construction and an inclination angle equal to 15° for the city of Tangier. On the other hand, the energy performance enhancement was obtained for the other cities with an inclination angle equal to 30°. This enhancement is around 8.98%, 8.56%, 9.93%, and 6.73% for the cities of Meknes, Ifran, Marrakech, and Er-Rachidia, respectively.
Regarding the cooling load rate, this parameter increases in all the studied cities, while the heating load decreases as the roof pitch increases, rising the discomfort hours in summer versus a decrease during winter (Table 8). Indeed, based on the simulation results, we found that the maximum number of hours of discomfort due to cold is recorded in the Ifran city, with several hours between 4279 and 4843 h for the different types of constructions. This represents more than 48% of the total hours in the year and highlights the critical energy consumption for this climate zone due to heating. For Meknes, the number of hours of discomfort is between 3973 h and 4537 h for the different building configurations, as it is between 3494 h and 4059 h for Er-Rachidia. Although Meknes has a high number of hours of discomfort compared to Er-Rachidia, this total number of hours over the year represents more than 28% for Er-Rachidia and it does not exceed 21% for Meknes. This is mainly due to the difference in temperature between day and night, as well as the long days of high temperature for Er-Rachidia, which is characterized by a semi-arid climate. Regarding Rabat, the number of cold discomfort hours is between 3345 and 4047 h, representing more than 38% of the year. As for Tangier and Marrakech, they have the lowest number of hours of discomfort due to cold, which is between 2938 h and 3719 h, a percentage lower than 42% for both cities. This leads to a similar result in the total energy consumption of these two cities. This is quite reasonable since Tangier is characterized by a humid climate (due to its proximity to the sea), especially in winter, which leads to a relatively warm and temperate winter and autumn, so no heating is needed. As for Marrakech, this city is characterized by a semi-desert climate known for a mild winter.
Table 8.
Cold and heat discomfort hours.
This variation impacts the temperature inside the building, which rises when the roof’s tilt angle increases, resulting in a decrease in the winter heating demand and an increase in the summer cooling demand. Therefore, the amounts of the energy variations (drop and increase) vary depending on the tilt angle. For example, building type #2 in Rabat city can save 6580 Wh/m2/year in heating energy with the 15° tilt angle. This value increases to 11,700 Wh/m2/year with the 30° angle and remains the same with the 45° angle. On the other hand, the cooling demand increases by 1380 Wh/m2/year, 3830 Wh/m2/year, and 6010 Wh/m2/year for the 15°, 30°, and 45° tilt angles, respectively, due to the rise in solar radiation captured by the roof and the increase in solar gains, which increase the indoor temperature. On the other hand, the total energy decreased by 5190 Wh/m2/year for a 15° angle, 7870 Wh/m2/year for a 30° angle, and 5510 Wh/m2/year for a 45° angle. We can see the same remarks for all the building types in all the studied cities, where the roof angle of 30° represents the low heating energy consumption.
In addition, to optimize the total consumption of the building, a southern orientation with a 30° angle of inclination is the ideal configuration in Morocco. This configuration will reduce the annual energy consumption of the buildings. The same results were obtained in a previous study on different roof pitch values ranging from 0° to 45° construction in the town of Er-Rachidia, where the 30° pitch presents the best results for construction in the town of Er-Rachidia [14].
3.3. Generalization of the Study to the Moroccan Region
In order to present a clear configuration and ensure the visibility of our study results and to generalize our building configuration founding (Type #2) for all of Morocco, Figure 13 presents the spatial distribution of the annual thermal energy demand across Morocco for an apartment of type #2 with a horizontal roof and another one with a roof inclined with 30° and oriented to the south. The two maps show that the Atlantic and Mediterranean regions, known for their temperate winters, represent the lowest energy consumption in Morocco, while the regions with the coldest winters, such as the city of Ifran and the desert region, represent the highest energy consumption. All the cities also have reduced energy consumption when the roof is inclined. However, this reduction varies from one climatic zone to another depending on their geographical location and climate characterizations. According to the simulation results, the maximum annual thermal energy demand for the type #2 building with a horizontal roof is recorded in Figuig with 188.65 kWh/m2/year, followed by Ifran with 169.35 kWh/m2/year and Laanaceur with 142.9 kWh/m2/year. Conversely, the minimum annual thermal energy demand is found in Sidi Ifni at 12.47 kWh/m2/year, followed by Tan-Tan at 18 kWh/m2/year and Agadir at 38.61 kWh/m2/year. The common point between the above-mentioned cities is their location in climate zone 1.
Figure 13.
Total annual energy consumption for building type #2 with a (a) horizontal roof and a (b) roof inclined by 30°.
The construction with a roof slope of 30° toward the south gives very interesting results concerning the cities with latitudes lower than 30° N. We observe an increase in the energy consumption, for example, in the cities of Tan-Tan and Dakhla. At latitude a of 28.26° N and 23° N, the energy demand in these two cities increases, respectively, by 4% and 8%. On the other hand, the cities whose latitude is higher than 30° N experience a decrease in the annual energy demand, and this decrease has a maximum value equal to 20% in the city Sidi-Ifni, whose latitude is close to 30° N.
4. Conclusions
Estimating the thermal comfort and energy demand for new buildings is of utmost importance. Therefore, optimizing building design by considering the ideal building materials, configurations, and prior estimations of the heating and cooling energy requirements is crucial. This study examines the impacts of four construction types on thermal performance and comfort, both with and without a roof inclination. Additionally, simulations have been conducted for each material type within the six climate zones of Morocco. The key findings of this study can be summarized as follows:
- Using double-walled bricks in exterior walls improves thermal comfort, while buildings with 30° sloped roofs facing south demonstrate higher energy efficiency. Building type #2 (double brick wall and brick roof) exhibit lower temperatures during the hottest period and higher temperatures during the coldest period compared to the reference type (#1) (brick wall and brick roof). As a result, type #2 offers improved thermal comfort and reduced energy consumption.
- Building with a double brick wall and brick roof featuring a 30° south-oriented roof slope increases the indoor temperatures in various climates. This reduces the heating load but raises the cooling demand. As a result, there is a notable 61–65% decrease in the total energy demand across cities, accompanied by a significant reduction in the total number of hours of thermal discomfort for the reported locations ranged between 800 and 1200 h.
- Using double-walled brick exterior walls improves the thermal comfort indicator PMV in buildings. Additionally, buildings with 30° inclined roofs facing south exhibit higher energy savings in the six Moroccan climatic zones, particularly when the latitude exceeds 30° N.
Finally, to comprehensively assess the performance of our newly proposed building configuration, maps illustrating the energy consumption for the two configurations have been constructed. The results presented in this paper offer valuable and reliable information for Moroccan leaders and policymakers, enabling them to effectively incorporate the proposed construction material in various climatic regions. This integration has the potential to significantly enhance energy efficiency throughout Morocco and reduce greenhouse gas emissions, making our findings highly valuable for informed decision-making.
Author Contributions
Conceptualization, A.L.A. and A.-I.A.; methodology, A.L.A. and A.-I.A.; software, A.L.A.; validation, A.L.A.; formal analysis, A.L.A. and J.-E.S.; investigation, A.L.A. and J.-E.S.; resources, J.-E.S. and A.D.; data curation, J.-E.S. and M.H.; writing—original draft preparation, A.L.A. and A.-I.A.; writing—review and editing, S.S.M.A. and M.S.P.; visualization, A.D. and M.H.; project administration, A.-I.A.; funding acquisition, S.S.M.A. and M.S.P. All authors have read and agreed to the published version of the manuscript.
Funding
This research received no external funding.
Data Availability Statement
The data presented in this study are available on request from the corresponding author.
Conflicts of Interest
The authors declare no conflict of interest.
Nomenclature
| Ai | Area of the surface i [m2] |
| hc | Heat exchange coefficient by convection [W/(m2·K)] |
| hr | Heat exchange coefficient by radiation [W/(m2·K)] |
| Ta | Ambient temperature [°C] |
| Ti | Temperature of the surface i [°C] |
| Tmr | Mean radiative temperature [°C] |
| Top | Operative temperature [°C] |
| CDD | Cooling degree day |
| HDD | Heating degree day |
| GIS | Geographic Information System |
| ISO | International Organization for Standardization |
| PMV | Predicted mean vote |
| RTCM | Thermal Regulation of Moroccan Construction |
| TDD | Total degree days |
References
- Zohuri, B. Nuclear Fuel Cycle and Decommissioning. In Nuclear Reactor Technology Development and Utilization; Elsevier: Amsterdam, The Netherlands, 2020; pp. 61–120. ISBN 978-0-12-818483-7. [Google Scholar]
- El Majaty, S.; Touzani, A.; Kasseh, Y. Results and Perspectives of the Application of an Energy Management System Based on ISO 50001 in Administrative Buildings—Case of Morocco. Mater. Today Proc. 2022, 72, 3233–3237. [Google Scholar] [CrossRef]
- Kurniawan, R.; Feinnudin, A. Assessing the Implementation of the Energy Management System in the First ISO 50001 Building in Indonesia. IJE 2021, 4, 129–139. [Google Scholar] [CrossRef]
- Mouaky, A.; Alami Merrouni, A.; Laadel, N.E.; Bennouna, E.G. Simulation and Experimental Validation of a Parabolic Trough Plant for Solar Thermal Applications under the Semi-Arid Climate Conditions. Sol. Energy 2019, 194, 969–985. [Google Scholar] [CrossRef]
- Genç, M.S.; Çelik, M.; Karasu, İ. A Review on Wind Energy and Wind–Hydrogen Production in Turkey: A Case Study of Hydrogen Production via Electrolysis System Supplied by Wind Energy Conversion System in Central Anatolian Turkey. Renew. Sustain. Energy Rev. 2012, 16, 6631–6646. [Google Scholar] [CrossRef]
- Touili, S.; Alami Merrouni, A.; Azouzoute, A.; El Hassouani, Y.; Amrani, A. A Technical and Economical Assessment of Hydrogen Production Potential from Solar Energy in Morocco. Int. J. Hydrogen Energy 2018, 43, 22777–22796. [Google Scholar] [CrossRef]
- Al-Homoud, M.S. The Effectiveness of Thermal Insulation in Different Types of Buildings in Hot Climates. J. Therm. Envel. Build. Sci. 2004, 27, 235–247. [Google Scholar] [CrossRef]
- Simona, P.L.; Spiru, P.; Ion, I.V. Increasing the Energy Efficiency of Buildings by Thermal Insulation. Energy Procedia 2017, 128, 393–399. [Google Scholar] [CrossRef]
- Hu, M.; Zhang, K.; Nguyen, Q.; Tasdizen, T. The Effects of Passive Design on Indoor Thermal Comfort and Energy Savings for Residential Buildings in Hot Climates: A Systematic Review. Urban Clim. 2023, 49, 101466. [Google Scholar] [CrossRef]
- Ali, M.E.; Alabdulkarem, A. On Thermal Characteristics and Microstructure of a New Insulation Material Extracted from Date Palm Trees Surface Fibers. Constr. Build. Mater. 2017, 138, 276–284. [Google Scholar] [CrossRef]
- Al-Sulaiman, F.A. Date Palm Fibre Reinforced Composite as a New Insulating Material. Int. J. Energy Res. 2003, 27, 1293–1297. [Google Scholar] [CrossRef]
- Agoudjil, B.; Benchabane, A.; Boudenne, A.; Ibos, L.; Fois, M. Renewable Materials to Reduce Building Heat Loss: Characterization of Date Palm Wood. Energy Build. 2011, 43, 491–497. [Google Scholar] [CrossRef]
- Jami, T.; Karade, S.R.; Singh, L.P. A Review of the Properties of Hemp Concrete for Green Building Applications. J. Clean. Prod. 2019, 239, 117852. [Google Scholar] [CrossRef]
- Lamrani Alaoui, A.; Amrani, A.; Alami Merrouni, A.; Daoudia, A.; El Hassouani, Y. Optimization of Thermal Efficiency in Traditional Clay-Based Buildings in Hot–Dry Locations. Case Study: The South-Eastern Region of Morocco. Int. J. Energy Environ. Eng. 2022, 13, 499–514. [Google Scholar] [CrossRef]
- Lamrani Alaoui, A.; Amrani, A.; Alami Merrouni, A.; Daoudia, A.; El Hassouani, Y.; Chaabelasri, E.; Halimi, M. Assessing the Thermal Performance of Traditional and Modern Building Materials for Hot and Arid Climate. Case Study: Er-Rachidia, Morocco. In Lecture Notes in Electrical Engineering, Proceedings of the 3rd International Conference on Electronic Engineering and Renewable Energy Systems, Saidia, Morocco, 20–22 May 2022; Bekkay, H., Mellit, A., Gagliano, A., Rabhi, A., Amine Koulali, M., Eds.; Springer Nature Singapore: Singapore, 2023; Volume 954, pp. 719–726. ISBN 978-981-19622-2-6. [Google Scholar]
- Hichem, N.; Noureddine, S.; Nadia, S.; Djamila, D. Experimental and Numerical Study of a Usual Brick Filled with PCM to Improve the Thermal Inertia of Buildings. Energy Procedia 2013, 36, 766–775. [Google Scholar] [CrossRef]
- Abbassi, Y.; Baniasadi, E.; Ahmadikia, H. Transient Energy Storage in Phase Change Materials, Development and Simulation of a New TRNSYS Component. J. Build. Eng. 2022, 50, 104188. [Google Scholar] [CrossRef]
- Lee, H.; Yang, S.; Wi, S.; Kim, S. Thermal Transfer Behavior of Biochar-Natural Inorganic Clay Composite for Building Envelope Insulation. Constr. Build. Mater. 2019, 223, 668–678. [Google Scholar] [CrossRef]
- Nourozi, B.; Ploskić, A.; Chen, Y.; Ning-Wei Chiu, J.; Wang, Q. Heat Transfer Model for Energy-Active Windows—An Evaluation of Efficient Reuse of Waste Heat in Buildings. Renew. Energy 2020, 162, 2318–2329. [Google Scholar] [CrossRef]
- Amrani, A.; Dihmani, N.; Amraqui, S.; Mezrhab, A. Numerical evaluation of natural convection heat transfer in a supply-air paziaud window. Comput. Therm. Scien. 2014, 6, 383–395. [Google Scholar] [CrossRef]
- Amrani, A.; Dihmani, N.; Amraqui, S.; Mezrhab, A.; Naji, H. Modelling of Natural Convection with Radiation in a Triple-Glazed Ventilated Window. J. Thermophys. Heat Transf. 2015, 29, 795–804. [Google Scholar] [CrossRef]
- Clark, J.; Peeters, L.; Novoselac, A. Experimental Study of Convective Heat Transfer from Windows with Venetian Blinds. Build. Environ. 2013, 59, 690–700. [Google Scholar] [CrossRef]
- Liu, J.; Zhou, Z.; Zhang, D.; Jiao, S.; Zhang, Y.; Luo, L.; Zhang, Z.; Gao, F. Field Investigation and Performance Evaluation of Sub-Ambient Radiative Cooling in Low Latitude Seaside. Renew. Energy 2020, 155, 90–99. [Google Scholar] [CrossRef]
- Chen, M.; Pang, D.; Chen, X.; Yan, H. Enhancing Infrared Emission Behavior of Polymer Coatings for Radiative Cooling Applications. J. Phys. D Appl. Phys. 2021, 54, 295501. [Google Scholar] [CrossRef]
- Amrani, A.I.; Dihmani, N.; Amraqui, S.; Mezrhab, A. Numerical Investigation of Coupled Surface Radiation and Natural Convection in a Triangular Shaped Roof (Gabel Roof) under Winter Conditions. Defect Diffus. Forum 2019, 392, 200–217. [Google Scholar] [CrossRef]
- Amrani, A.I.; Dihmani, N.; Amraqui, S.; Mezrhab, A. Analysis of Combined Natural Convection and Thermal Radiation Heat Transfer in a Triangular Shaped Roof for Hot Climates. J. Mater. Environ. Sci. 2017, 8, 3013–3027. [Google Scholar]
- Rong, X.; Jiao, L.; Kong, X.; Yuan, G. Research on Low-Brightness and High-Reflective Coatings Suitable for Buildings in Tropical Areas. Coatings 2020, 10, 829. [Google Scholar] [CrossRef]
- Amrani, A.-I.; Dihmani, N.; Amraqui, S.; Mezrhab, A. Combined Natural Convection and Thermal Radiation Heat Transfer in a Triangular Enclosure with an Inner Rectangular Body. Defect Diffus. Forum 2018, 384, 49–68. [Google Scholar] [CrossRef]
- Kenai, M.-A.; Libessart, L.; Lassue, S.; Defer, D. Impact of Green Walls Occultation on Energy Balance: Development of a TRNSYS Model on a Brick Masonry House. J. Build. Eng. 2021, 44, 102634. [Google Scholar] [CrossRef]
- Ahamed, M.S.; Guo, H.; Tanino, K. Modeling Heating Demands in a Chinese-Style Solar Greenhouse Using the Transient Building Energy Simulation Model TRNSYS. J. Build. Eng. 2020, 29, 101114. [Google Scholar] [CrossRef]
- Chargui, R.; Sammouda, H. Modeling of a Residential House Coupled with a Dual Source Heat Pump Using TRNSYS Software. Energy Convers. Manag. 2014, 81, 384–399. [Google Scholar] [CrossRef]
- Massaguer, E.; Massaguer, A.; Montoro, L.; Gonzalez, J.R. Development and Validation of a New TRNSYS Type for the Simulation of Thermoelectric Generators. Appl. Energy 2014, 134, 65–74. [Google Scholar] [CrossRef]
- Lafqir, F.-E.; Sobhy, I.; Benhamou, B.; Bennouna, A.; Limam, K. Thermal Performance of Passive Techniques Integrated to a House and the Concept of Passive House in the Six Climates of Morocco. Sci. Technol. Built Environ. 2020, 26, 1490–1508. [Google Scholar] [CrossRef]
- Bot, K.; Aelenei, L.; Gomes, M.d.G.; Santos Silva, C. Performance Assessment of a Building Integrated Photovoltaic Thermal System in Mediterranean Climate—A Numerical Simulation Approach. Energies 2020, 13, 2887. [Google Scholar] [CrossRef]
- Merini, I.; Molina-García, A.; García-Cascales, M.S.; Mahdaoui, M.; Ahachad, M. Analysis and Comparison of Energy Efficiency Code Requirements for Buildings: A Morocco–Spain Case Study. Energies 2020, 13, 5979. [Google Scholar] [CrossRef]
- Merrouni, A.A.; Amrani, A.; Mezrhab, A. Electricity Production from Large Scale PV Plants: Benchmarking the Potential of Morocco against California, US. Energy Procedia 2017, 119, 346–355. [Google Scholar] [CrossRef]
- Hssaisoune, M.; Bouchaou, L.; Sifeddine, A.; Bouimetarhan, I.; Chehbouni, A. Moroccan Groundwater Resources and Evolution with Global Climate Changes. Geosciences 2020, 10, 81. [Google Scholar] [CrossRef]
- Henna, K.; Saifudeen, A.; Mani, M. Resilience of Vernacular and Modernising Dwellings in Three Climatic Zones to Climate Change. Sci. Rep. 2021, 11, 9172. [Google Scholar] [CrossRef]
- Taleghani, M.; Tenpierik, M.; van den Dobbelsteen, A. Environmental Impact of Courtyards—A Review and Comparison of Residential Courtyard Buildings in Different Climates. J. Green Build. 2012, 7, 113–136. [Google Scholar] [CrossRef]
- Andrić, I.; Le Corre, O.; Lacarrière, B.; Ferrão, P.; Al-Ghamdi, S.G. Initial Approximation of the Implications for Architecture Due to Climate Change. Adv. Build. Energy Res. 2021, 15, 337–367. [Google Scholar] [CrossRef]
- IEA—International Energy Agency; UNDP. International Energy Agency Modernising Building Energy Codes to Secure Our Global Energy Future; United Nations Development Programme (UNDP): New York, NY, USA, 2013. [Google Scholar]
- Xiong, J.; Yao, R.; Grimmond, S.; Zhang, Q.; Li, B. A Hierarchical Climatic Zoning Method for Energy Efficient Building Design Applied in the Region with Diverse Climate Characteristics. Energy Build. 2019, 186, 355–367. [Google Scholar] [CrossRef]
- Choukri, K.; Naddami, A.; Hayani, S. Renewable Energy in Emergent Countries: Lessons from Energy Transition in Morocco. Energy Sustain. Soc. 2017, 7, 25. [Google Scholar] [CrossRef]
- Alhamwi, A.; Kleinhans, D.; Weitemeyer, S.; Vogt, T. Moroccan National Energy Strategy Reviewed from a Meteorological Perspective. Energy Strategy Rev. 2015, 6, 39–47. [Google Scholar] [CrossRef]
- AMEE (2014). Règlement Thermique de Construction au Maroc (RTCM). Agence Marocaine Pour l’Efficacité Energétique. Available online: http://www.amee.ma/images/Text_Pic/Others/Reglement_thermique_de_construction_au_Maroc_-_Version_simplifiee.pdf (accessed on 22 May 2023). (In French).
- Harrouni, K.E.; Filali, M.; Kharmich, H.; Mansour, M.; Laaroussi, N.; Garoum, M. Energy Efficient Houses Meeting Both Bioclimatic Architecture Principles and Moroccan Thermal Regulation. In Proceedings of the 2018 6th International Renewable and Sustainable Energy Conference (IRSEC), Rabat, Morocco, 5–8 December 2018; pp. 1–8. [Google Scholar]
- Merini, I.; Molina-García, A.; García-Cascales, M.S.; Ahachad, M. Energy Efficiency Regulation and Requirements: Comparison Between Morocco and Spain. In Advanced Intelligent Systems for Sustainable Development (AI2SD’2018); Ezziyyani, M., Ed.; Advances in Intelligent Systems and Computing; Springer International Publishing: Cham, Switzerland, 2019; Volume 912, pp. 197–209. ISBN 978-3-030-12064-1. [Google Scholar]
- Alami Merrouni, A.; Ait Lahoussine Ouali, H.; Moussaoui, M.A.; Mezrhab, A. Analysis and Comparaison of Different Heat Transfer Fluids for a 1MWe Parabolic Trough Collector. In Proceedings of the 2016 International Conference on Electrical and Information Technologies (ICEIT), Tangiers, Morocco, 4–7 May 2016; pp. 510–515. [Google Scholar]
- Merrouni, A.A.; Ghennioui, A.; Wolfertstetter, F.; Mezrhab, A. The Uncertainty of the HelioClim-3 DNI Data under Moroccan Climate. In Proceedings of the International Conference on Concentrating Solar Power and Chemical Energy Systems, Abu Dhabi, United Arab Emirates, 11–14 October 2017; p. 140002. [Google Scholar]
- Lebied, M.; Sick, F.; Choulli, Z.; El Bouardi, A. Improving the Passive Building Energy Efficiency through Numerical Simulation–A Case Study for Tetouan Climate in Northern of Morocco. Case Stud. Therm. Eng. 2018, 11, 125–134. [Google Scholar] [CrossRef]
- Figaj, R.; Żołądek, M.; Goryl, W. Dynamic Simulation and Energy Economic Analysis of a Household Hybrid Ground-Solar-Wind System Using TRNSYS Software. Energies 2020, 13, 3523. [Google Scholar] [CrossRef]
- ISO13786; Norme Internationale—ISO: 13786 Performances Thermiques Des Composants Du Bâtiment—Caractéristiques Thermiques Dynamiques—Méthodes de Calcul 61010–61011 © Iec2001ISO13786. ISO: Geneva, Switzerland, 2006.
- ISO13790; Projet ISO: 13790 Performance Énergétique Des Bâtiments—Calcul de La Consommation d’énergie Pour Le Chauffage et Le Refroidissement Des Locaux. ISO: Geneva, Switzerland, 2006.
- Idchabani, R.; Garoum, M.; Khaldoun, A. Analysis and Mapping of the Heating and Cooling Degree-Days for Morocco at Variable Base Temperatures. Int. J. Ambient Energy 2015, 36, 190–198. [Google Scholar] [CrossRef]
- D’Amico, A.; Ciulla, G.; Panno, D.; Ferrari, S. Building Energy Demand Assessment through Heating Degree Days: The Importance of a Climatic Dataset. Appl. Energy 2019, 242, 1285–1306. [Google Scholar] [CrossRef]
- Kottek, M.; Grieser, J.; Beck, C.; Rudolf, B.; Rubel, F. World Map of the Köppen-Geiger Climate Classification Updated. Metz 2006, 15, 259–263. [Google Scholar] [CrossRef] [PubMed]
- Seem, J.E.; Klein, S.A.; Beckman, W.A.; Mitchell, J.W. Transfer Functions for Efficient Calculation of Multidimensional Transient Heat Transfer. J. Heat Transf. 1989, 111, 5–12. [Google Scholar] [CrossRef]
- ISO 7730; International Organization for Standardization ISO 7730: Ergonomics of the Thermal Environment—Analytical Determination and Interpretation of Thermal Comfort Using Calculation of the PMV and PPD Indices and Local Thermal Comfort Criteria, Genève. ISO: Geneva, Switzerland, 2005.
- Sayah Goual, M.; Bali, A.; Quéneudec, M. Influence de La Temperature et de La Teneur En Humidite Sur La Conductivite Thermique Des Betons Argileux Cellulaires. Alger. J. Technol. 2002, 15, 13–22. [Google Scholar]
- Dlimi, M.; Agounoun, R.; Kadiri, I.; Saadani, R.; Rahmoune, M. Thermal Performance Assessment of Double Hollow Brick Walls Filled with Hemp Concrete Insulation Material through Computational Fluid Dynamics Analysis and Dynamic Thermal Simulations. e-Prime Adv. Electr. Eng. Electron. Energy 2023, 3, 100124. [Google Scholar] [CrossRef]
Disclaimer/Publisher’s Note: The statements, opinions and data contained in all publications are solely those of the individual author(s) and contributor(s) and not of MDPI and/or the editor(s). MDPI and/or the editor(s) disclaim responsibility for any injury to people or property resulting from any ideas, methods, instructions or products referred to in the content. |
© 2023 by the authors. Licensee MDPI, Basel, Switzerland. This article is an open access article distributed under the terms and conditions of the Creative Commons Attribution (CC BY) license (https://creativecommons.org/licenses/by/4.0/).












