An Investigation towards Optimizing the Construction Materials and Configurations of Buildings for Improving Energy Efficiency and Consumption in Morocco
Abstract
1. Introduction
2. Materials and Methods
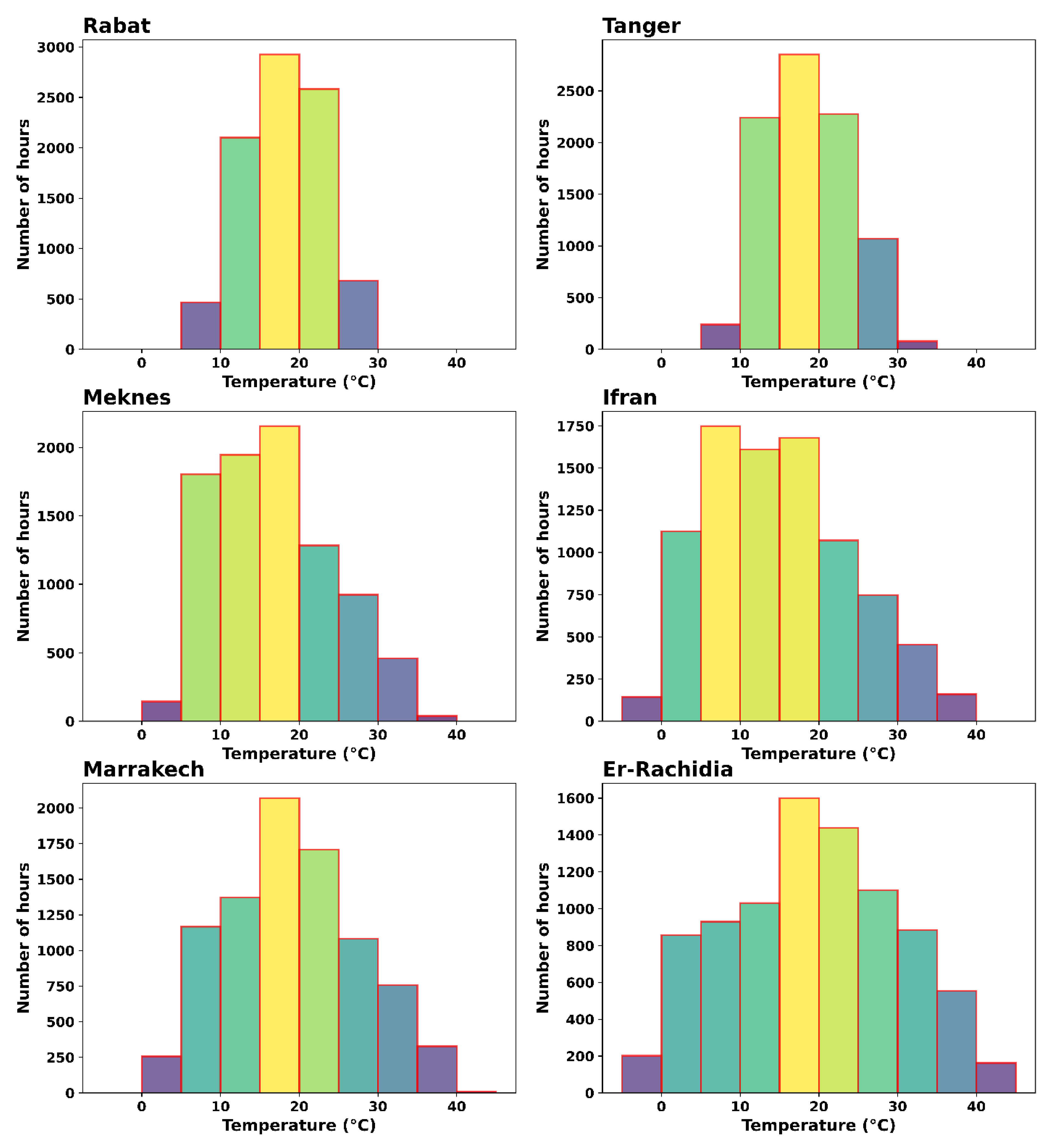
2.1. Field of Study and Climatic Zoning
2.2. Numerical Modeling
2.3. Building Description and Modeling
2.4. Studied Parameters
2.4.1. PMV Indicator
2.4.2. Thermal Discomfort Hours
- Overheating discomfort hours: represent the number of hours when the operative temperature is above the summer comfort temperature.
- Overcooling discomfort hours: represent the number of hours when the operative temperature is below the winter comfort temperature.
- Total discomfort hours: represent the sum of the overheating and overcooling discomfort hours.
2.4.3. Energy Consumption
3. Results
3.1. Thermal Performance and Energy Consumption between Construction Types
3.2. The Impact of the Roof Incline
3.3. Generalization of the Study to the Moroccan Region
4. Conclusions
- Using double-walled bricks in exterior walls improves thermal comfort, while buildings with 30° sloped roofs facing south demonstrate higher energy efficiency. Building type #2 (double brick wall and brick roof) exhibit lower temperatures during the hottest period and higher temperatures during the coldest period compared to the reference type (#1) (brick wall and brick roof). As a result, type #2 offers improved thermal comfort and reduced energy consumption.
- Building with a double brick wall and brick roof featuring a 30° south-oriented roof slope increases the indoor temperatures in various climates. This reduces the heating load but raises the cooling demand. As a result, there is a notable 61–65% decrease in the total energy demand across cities, accompanied by a significant reduction in the total number of hours of thermal discomfort for the reported locations ranged between 800 and 1200 h.
- Using double-walled brick exterior walls improves the thermal comfort indicator PMV in buildings. Additionally, buildings with 30° inclined roofs facing south exhibit higher energy savings in the six Moroccan climatic zones, particularly when the latitude exceeds 30° N.
Author Contributions
Funding
Data Availability Statement
Conflicts of Interest
Nomenclature
| Ai | Area of the surface i [m2] |
| hc | Heat exchange coefficient by convection [W/(m2·K)] |
| hr | Heat exchange coefficient by radiation [W/(m2·K)] |
| Ta | Ambient temperature [°C] |
| Ti | Temperature of the surface i [°C] |
| Tmr | Mean radiative temperature [°C] |
| Top | Operative temperature [°C] |
| CDD | Cooling degree day |
| HDD | Heating degree day |
| GIS | Geographic Information System |
| ISO | International Organization for Standardization |
| PMV | Predicted mean vote |
| RTCM | Thermal Regulation of Moroccan Construction |
| TDD | Total degree days |
References
- Zohuri, B. Nuclear Fuel Cycle and Decommissioning. In Nuclear Reactor Technology Development and Utilization; Elsevier: Amsterdam, The Netherlands, 2020; pp. 61–120. ISBN 978-0-12-818483-7. [Google Scholar]
- El Majaty, S.; Touzani, A.; Kasseh, Y. Results and Perspectives of the Application of an Energy Management System Based on ISO 50001 in Administrative Buildings—Case of Morocco. Mater. Today Proc. 2022, 72, 3233–3237. [Google Scholar] [CrossRef]
- Kurniawan, R.; Feinnudin, A. Assessing the Implementation of the Energy Management System in the First ISO 50001 Building in Indonesia. IJE 2021, 4, 129–139. [Google Scholar] [CrossRef]
- Mouaky, A.; Alami Merrouni, A.; Laadel, N.E.; Bennouna, E.G. Simulation and Experimental Validation of a Parabolic Trough Plant for Solar Thermal Applications under the Semi-Arid Climate Conditions. Sol. Energy 2019, 194, 969–985. [Google Scholar] [CrossRef]
- Genç, M.S.; Çelik, M.; Karasu, İ. A Review on Wind Energy and Wind–Hydrogen Production in Turkey: A Case Study of Hydrogen Production via Electrolysis System Supplied by Wind Energy Conversion System in Central Anatolian Turkey. Renew. Sustain. Energy Rev. 2012, 16, 6631–6646. [Google Scholar] [CrossRef]
- Touili, S.; Alami Merrouni, A.; Azouzoute, A.; El Hassouani, Y.; Amrani, A. A Technical and Economical Assessment of Hydrogen Production Potential from Solar Energy in Morocco. Int. J. Hydrogen Energy 2018, 43, 22777–22796. [Google Scholar] [CrossRef]
- Al-Homoud, M.S. The Effectiveness of Thermal Insulation in Different Types of Buildings in Hot Climates. J. Therm. Envel. Build. Sci. 2004, 27, 235–247. [Google Scholar] [CrossRef]
- Simona, P.L.; Spiru, P.; Ion, I.V. Increasing the Energy Efficiency of Buildings by Thermal Insulation. Energy Procedia 2017, 128, 393–399. [Google Scholar] [CrossRef]
- Hu, M.; Zhang, K.; Nguyen, Q.; Tasdizen, T. The Effects of Passive Design on Indoor Thermal Comfort and Energy Savings for Residential Buildings in Hot Climates: A Systematic Review. Urban Clim. 2023, 49, 101466. [Google Scholar] [CrossRef]
- Ali, M.E.; Alabdulkarem, A. On Thermal Characteristics and Microstructure of a New Insulation Material Extracted from Date Palm Trees Surface Fibers. Constr. Build. Mater. 2017, 138, 276–284. [Google Scholar] [CrossRef]
- Al-Sulaiman, F.A. Date Palm Fibre Reinforced Composite as a New Insulating Material. Int. J. Energy Res. 2003, 27, 1293–1297. [Google Scholar] [CrossRef]
- Agoudjil, B.; Benchabane, A.; Boudenne, A.; Ibos, L.; Fois, M. Renewable Materials to Reduce Building Heat Loss: Characterization of Date Palm Wood. Energy Build. 2011, 43, 491–497. [Google Scholar] [CrossRef]
- Jami, T.; Karade, S.R.; Singh, L.P. A Review of the Properties of Hemp Concrete for Green Building Applications. J. Clean. Prod. 2019, 239, 117852. [Google Scholar] [CrossRef]
- Lamrani Alaoui, A.; Amrani, A.; Alami Merrouni, A.; Daoudia, A.; El Hassouani, Y. Optimization of Thermal Efficiency in Traditional Clay-Based Buildings in Hot–Dry Locations. Case Study: The South-Eastern Region of Morocco. Int. J. Energy Environ. Eng. 2022, 13, 499–514. [Google Scholar] [CrossRef]
- Lamrani Alaoui, A.; Amrani, A.; Alami Merrouni, A.; Daoudia, A.; El Hassouani, Y.; Chaabelasri, E.; Halimi, M. Assessing the Thermal Performance of Traditional and Modern Building Materials for Hot and Arid Climate. Case Study: Er-Rachidia, Morocco. In Lecture Notes in Electrical Engineering, Proceedings of the 3rd International Conference on Electronic Engineering and Renewable Energy Systems, Saidia, Morocco, 20–22 May 2022; Bekkay, H., Mellit, A., Gagliano, A., Rabhi, A., Amine Koulali, M., Eds.; Springer Nature Singapore: Singapore, 2023; Volume 954, pp. 719–726. ISBN 978-981-19622-2-6. [Google Scholar]
- Hichem, N.; Noureddine, S.; Nadia, S.; Djamila, D. Experimental and Numerical Study of a Usual Brick Filled with PCM to Improve the Thermal Inertia of Buildings. Energy Procedia 2013, 36, 766–775. [Google Scholar] [CrossRef]
- Abbassi, Y.; Baniasadi, E.; Ahmadikia, H. Transient Energy Storage in Phase Change Materials, Development and Simulation of a New TRNSYS Component. J. Build. Eng. 2022, 50, 104188. [Google Scholar] [CrossRef]
- Lee, H.; Yang, S.; Wi, S.; Kim, S. Thermal Transfer Behavior of Biochar-Natural Inorganic Clay Composite for Building Envelope Insulation. Constr. Build. Mater. 2019, 223, 668–678. [Google Scholar] [CrossRef]
- Nourozi, B.; Ploskić, A.; Chen, Y.; Ning-Wei Chiu, J.; Wang, Q. Heat Transfer Model for Energy-Active Windows—An Evaluation of Efficient Reuse of Waste Heat in Buildings. Renew. Energy 2020, 162, 2318–2329. [Google Scholar] [CrossRef]
- Amrani, A.; Dihmani, N.; Amraqui, S.; Mezrhab, A. Numerical evaluation of natural convection heat transfer in a supply-air paziaud window. Comput. Therm. Scien. 2014, 6, 383–395. [Google Scholar] [CrossRef]
- Amrani, A.; Dihmani, N.; Amraqui, S.; Mezrhab, A.; Naji, H. Modelling of Natural Convection with Radiation in a Triple-Glazed Ventilated Window. J. Thermophys. Heat Transf. 2015, 29, 795–804. [Google Scholar] [CrossRef]
- Clark, J.; Peeters, L.; Novoselac, A. Experimental Study of Convective Heat Transfer from Windows with Venetian Blinds. Build. Environ. 2013, 59, 690–700. [Google Scholar] [CrossRef]
- Liu, J.; Zhou, Z.; Zhang, D.; Jiao, S.; Zhang, Y.; Luo, L.; Zhang, Z.; Gao, F. Field Investigation and Performance Evaluation of Sub-Ambient Radiative Cooling in Low Latitude Seaside. Renew. Energy 2020, 155, 90–99. [Google Scholar] [CrossRef]
- Chen, M.; Pang, D.; Chen, X.; Yan, H. Enhancing Infrared Emission Behavior of Polymer Coatings for Radiative Cooling Applications. J. Phys. D Appl. Phys. 2021, 54, 295501. [Google Scholar] [CrossRef]
- Amrani, A.I.; Dihmani, N.; Amraqui, S.; Mezrhab, A. Numerical Investigation of Coupled Surface Radiation and Natural Convection in a Triangular Shaped Roof (Gabel Roof) under Winter Conditions. Defect Diffus. Forum 2019, 392, 200–217. [Google Scholar] [CrossRef]
- Amrani, A.I.; Dihmani, N.; Amraqui, S.; Mezrhab, A. Analysis of Combined Natural Convection and Thermal Radiation Heat Transfer in a Triangular Shaped Roof for Hot Climates. J. Mater. Environ. Sci. 2017, 8, 3013–3027. [Google Scholar]
- Rong, X.; Jiao, L.; Kong, X.; Yuan, G. Research on Low-Brightness and High-Reflective Coatings Suitable for Buildings in Tropical Areas. Coatings 2020, 10, 829. [Google Scholar] [CrossRef]
- Amrani, A.-I.; Dihmani, N.; Amraqui, S.; Mezrhab, A. Combined Natural Convection and Thermal Radiation Heat Transfer in a Triangular Enclosure with an Inner Rectangular Body. Defect Diffus. Forum 2018, 384, 49–68. [Google Scholar] [CrossRef]
- Kenai, M.-A.; Libessart, L.; Lassue, S.; Defer, D. Impact of Green Walls Occultation on Energy Balance: Development of a TRNSYS Model on a Brick Masonry House. J. Build. Eng. 2021, 44, 102634. [Google Scholar] [CrossRef]
- Ahamed, M.S.; Guo, H.; Tanino, K. Modeling Heating Demands in a Chinese-Style Solar Greenhouse Using the Transient Building Energy Simulation Model TRNSYS. J. Build. Eng. 2020, 29, 101114. [Google Scholar] [CrossRef]
- Chargui, R.; Sammouda, H. Modeling of a Residential House Coupled with a Dual Source Heat Pump Using TRNSYS Software. Energy Convers. Manag. 2014, 81, 384–399. [Google Scholar] [CrossRef]
- Massaguer, E.; Massaguer, A.; Montoro, L.; Gonzalez, J.R. Development and Validation of a New TRNSYS Type for the Simulation of Thermoelectric Generators. Appl. Energy 2014, 134, 65–74. [Google Scholar] [CrossRef]
- Lafqir, F.-E.; Sobhy, I.; Benhamou, B.; Bennouna, A.; Limam, K. Thermal Performance of Passive Techniques Integrated to a House and the Concept of Passive House in the Six Climates of Morocco. Sci. Technol. Built Environ. 2020, 26, 1490–1508. [Google Scholar] [CrossRef]
- Bot, K.; Aelenei, L.; Gomes, M.d.G.; Santos Silva, C. Performance Assessment of a Building Integrated Photovoltaic Thermal System in Mediterranean Climate—A Numerical Simulation Approach. Energies 2020, 13, 2887. [Google Scholar] [CrossRef]
- Merini, I.; Molina-García, A.; García-Cascales, M.S.; Mahdaoui, M.; Ahachad, M. Analysis and Comparison of Energy Efficiency Code Requirements for Buildings: A Morocco–Spain Case Study. Energies 2020, 13, 5979. [Google Scholar] [CrossRef]
- Merrouni, A.A.; Amrani, A.; Mezrhab, A. Electricity Production from Large Scale PV Plants: Benchmarking the Potential of Morocco against California, US. Energy Procedia 2017, 119, 346–355. [Google Scholar] [CrossRef]
- Hssaisoune, M.; Bouchaou, L.; Sifeddine, A.; Bouimetarhan, I.; Chehbouni, A. Moroccan Groundwater Resources and Evolution with Global Climate Changes. Geosciences 2020, 10, 81. [Google Scholar] [CrossRef]
- Henna, K.; Saifudeen, A.; Mani, M. Resilience of Vernacular and Modernising Dwellings in Three Climatic Zones to Climate Change. Sci. Rep. 2021, 11, 9172. [Google Scholar] [CrossRef]
- Taleghani, M.; Tenpierik, M.; van den Dobbelsteen, A. Environmental Impact of Courtyards—A Review and Comparison of Residential Courtyard Buildings in Different Climates. J. Green Build. 2012, 7, 113–136. [Google Scholar] [CrossRef]
- Andrić, I.; Le Corre, O.; Lacarrière, B.; Ferrão, P.; Al-Ghamdi, S.G. Initial Approximation of the Implications for Architecture Due to Climate Change. Adv. Build. Energy Res. 2021, 15, 337–367. [Google Scholar] [CrossRef]
- IEA—International Energy Agency; UNDP. International Energy Agency Modernising Building Energy Codes to Secure Our Global Energy Future; United Nations Development Programme (UNDP): New York, NY, USA, 2013. [Google Scholar]
- Xiong, J.; Yao, R.; Grimmond, S.; Zhang, Q.; Li, B. A Hierarchical Climatic Zoning Method for Energy Efficient Building Design Applied in the Region with Diverse Climate Characteristics. Energy Build. 2019, 186, 355–367. [Google Scholar] [CrossRef]
- Choukri, K.; Naddami, A.; Hayani, S. Renewable Energy in Emergent Countries: Lessons from Energy Transition in Morocco. Energy Sustain. Soc. 2017, 7, 25. [Google Scholar] [CrossRef]
- Alhamwi, A.; Kleinhans, D.; Weitemeyer, S.; Vogt, T. Moroccan National Energy Strategy Reviewed from a Meteorological Perspective. Energy Strategy Rev. 2015, 6, 39–47. [Google Scholar] [CrossRef]
- AMEE (2014). Règlement Thermique de Construction au Maroc (RTCM). Agence Marocaine Pour l’Efficacité Energétique. Available online: http://www.amee.ma/images/Text_Pic/Others/Reglement_thermique_de_construction_au_Maroc_-_Version_simplifiee.pdf (accessed on 22 May 2023). (In French).
- Harrouni, K.E.; Filali, M.; Kharmich, H.; Mansour, M.; Laaroussi, N.; Garoum, M. Energy Efficient Houses Meeting Both Bioclimatic Architecture Principles and Moroccan Thermal Regulation. In Proceedings of the 2018 6th International Renewable and Sustainable Energy Conference (IRSEC), Rabat, Morocco, 5–8 December 2018; pp. 1–8. [Google Scholar]
- Merini, I.; Molina-García, A.; García-Cascales, M.S.; Ahachad, M. Energy Efficiency Regulation and Requirements: Comparison Between Morocco and Spain. In Advanced Intelligent Systems for Sustainable Development (AI2SD’2018); Ezziyyani, M., Ed.; Advances in Intelligent Systems and Computing; Springer International Publishing: Cham, Switzerland, 2019; Volume 912, pp. 197–209. ISBN 978-3-030-12064-1. [Google Scholar]
- Alami Merrouni, A.; Ait Lahoussine Ouali, H.; Moussaoui, M.A.; Mezrhab, A. Analysis and Comparaison of Different Heat Transfer Fluids for a 1MWe Parabolic Trough Collector. In Proceedings of the 2016 International Conference on Electrical and Information Technologies (ICEIT), Tangiers, Morocco, 4–7 May 2016; pp. 510–515. [Google Scholar]
- Merrouni, A.A.; Ghennioui, A.; Wolfertstetter, F.; Mezrhab, A. The Uncertainty of the HelioClim-3 DNI Data under Moroccan Climate. In Proceedings of the International Conference on Concentrating Solar Power and Chemical Energy Systems, Abu Dhabi, United Arab Emirates, 11–14 October 2017; p. 140002. [Google Scholar]
- Lebied, M.; Sick, F.; Choulli, Z.; El Bouardi, A. Improving the Passive Building Energy Efficiency through Numerical Simulation–A Case Study for Tetouan Climate in Northern of Morocco. Case Stud. Therm. Eng. 2018, 11, 125–134. [Google Scholar] [CrossRef]
- Figaj, R.; Żołądek, M.; Goryl, W. Dynamic Simulation and Energy Economic Analysis of a Household Hybrid Ground-Solar-Wind System Using TRNSYS Software. Energies 2020, 13, 3523. [Google Scholar] [CrossRef]
- ISO13786; Norme Internationale—ISO: 13786 Performances Thermiques Des Composants Du Bâtiment—Caractéristiques Thermiques Dynamiques—Méthodes de Calcul 61010–61011 © Iec2001ISO13786. ISO: Geneva, Switzerland, 2006.
- ISO13790; Projet ISO: 13790 Performance Énergétique Des Bâtiments—Calcul de La Consommation d’énergie Pour Le Chauffage et Le Refroidissement Des Locaux. ISO: Geneva, Switzerland, 2006.
- Idchabani, R.; Garoum, M.; Khaldoun, A. Analysis and Mapping of the Heating and Cooling Degree-Days for Morocco at Variable Base Temperatures. Int. J. Ambient Energy 2015, 36, 190–198. [Google Scholar] [CrossRef]
- D’Amico, A.; Ciulla, G.; Panno, D.; Ferrari, S. Building Energy Demand Assessment through Heating Degree Days: The Importance of a Climatic Dataset. Appl. Energy 2019, 242, 1285–1306. [Google Scholar] [CrossRef]
- Kottek, M.; Grieser, J.; Beck, C.; Rudolf, B.; Rubel, F. World Map of the Köppen-Geiger Climate Classification Updated. Metz 2006, 15, 259–263. [Google Scholar] [CrossRef] [PubMed]
- Seem, J.E.; Klein, S.A.; Beckman, W.A.; Mitchell, J.W. Transfer Functions for Efficient Calculation of Multidimensional Transient Heat Transfer. J. Heat Transf. 1989, 111, 5–12. [Google Scholar] [CrossRef]
- ISO 7730; International Organization for Standardization ISO 7730: Ergonomics of the Thermal Environment—Analytical Determination and Interpretation of Thermal Comfort Using Calculation of the PMV and PPD Indices and Local Thermal Comfort Criteria, Genève. ISO: Geneva, Switzerland, 2005.
- Sayah Goual, M.; Bali, A.; Quéneudec, M. Influence de La Temperature et de La Teneur En Humidite Sur La Conductivite Thermique Des Betons Argileux Cellulaires. Alger. J. Technol. 2002, 15, 13–22. [Google Scholar]
- Dlimi, M.; Agounoun, R.; Kadiri, I.; Saadani, R.; Rahmoune, M. Thermal Performance Assessment of Double Hollow Brick Walls Filled with Hemp Concrete Insulation Material through Computational Fluid Dynamics Analysis and Dynamic Thermal Simulations. e-Prime Adv. Electr. Eng. Electron. Energy 2023, 3, 100124. [Google Scholar] [CrossRef]













| Zone | City | Altitude (m) | Longitude | Latitude | Data Collection Period From–To | HDD/CDD |
|---|---|---|---|---|---|---|
| 1 | Rabat (Ref) | 75 | −6.8° E | 33.97° N | 2016–2021 | 802.6.6/545.4 |
| Knetra | 13 | −6.58° E | 34.25° N | 2011–2018 | 866.7/345.1 | |
| Sidi El Aidi | 234 | −7.62° E | 33.12° N | 2013–2021 | 832.3/314.4 | |
| 2 | Tangier (Ref) | 85 | −5.8° E | 35.7° N | 2010–2021 | 793.2/731.4 |
| Laatamna | 97 | −2.23° E | 35° N | 2017–2021 | 939.5/352.4 | |
| Larache | 38 | −6.09° E | 35.11° N | 2016–2018 | 865.0/460.3 | |
| 3 | Meknes (Ref) | 546 | −5.5° E | 33.89° N | 2016–2021 | 1097.0/869.5 |
| Ain Taoujtate | 499 | −5.21° E | 33.93° N | 2013–2021 | 1060.0/478.0 | |
| Laanaceur | 809 | −4.5° E | 33.5° N | 2017–2021 | 1203.7/380.5 | |
| Douyet | 375 | −5.01° E | 34.03° N | 2017–2019 | 980.3/561.7 | |
| El Aioun Oriental | 601 | −2.30° E | 34.35° N | 2013–2021 | 1133.9/585.9 | |
| 4 | Ifran (Ref) | 1665 | −5.2° E | 33.2° N | From Meteonorm | 1770.0/380.4 |
| Midelt | 1508 | −4.73° E | 32.68° N | From Meteonorm | 1953.4/356.0 | |
| 5 | Marrakech (Ref) | 466 | −8° E | 31.6° N | 2013–2019 | 793.1/1130.6 |
| 6 | Er-Rachidia (Ref) | 1045 | −4.4° E | 31.9° N | 2017–2021 | 1213.7/1128.1 |
| Zagoura | 733 | −5.84° E | 30.35° N | 2017–2021 | 702.6/1593.7 | |
| Tandrara | 1451 | −2° E | 33.03° N | 2011–2021 | 1762.0/505.8 | |
| Figuig | 915 | −1.23° E | 32.11° N | 2010–2014 | 856.6/1340.9 | |
| Talsint | 1344 | −3.27° E | 32.30° N | 2013–2019 | 1351.5/691.3 |
| Type | Exterior Walls | Interior Walls | Roof | Floor |
|---|---|---|---|---|
| #1 | Brick wall | Brick wall | Brick roof | Floor |
| #2 | Double brick wall | Brick wall | Brick roof | Floor |
| #3 | Clay wall | Clay wall | Clay roof | Floor |
| #4 | Double clay wall | Clay wall | Clay roof | Floor |
| N° | Walls | Materials | Thickness (cm) | Thermal Conductivity (W/(m·K)) | Density (kg/m3) | Heat Capacity (J/(kg·K)) | U-Value (W/(K·m2)) |
|---|---|---|---|---|---|---|---|
| (1) | Clay wall | Clay | 40 | 0.7 | 1835.11 | 1042 | 1.349 |
| (2) | Double clay wall | Clay | 15 | 0.7 | 1835.11 | 1042 | 0.586 |
| Air gap | 10 | 0.1 | 1 | 1227 | |||
| Clay | 15 | 0.7 | 1835.11 | 1042 | |||
| (3) | Brick wall | Mortar | 1 | 1.15 | 200 | 840 | 1.635 |
| Hollow brick | 20 | 0.47 | 720 | 794 | |||
| Mortar | 1 | 1.15 | 200 | 840 | |||
| (4) | Double brick wall | Mortar | 1 | 1.15 | 200 | 840 | 0.515 |
| Hollow brick | 15 | 0.47 | 720 | 794 | |||
| Air gap | 10 | 0.1 | 1 | 1227 | |||
| Hollow brick | 15 | 0.47 | 720 | 794 | |||
| Mortar | 1 | 1.15 | 200 | 840 | |||
| (5) | Clay Roof | Clay | 15 | 0.7 | 1835.11 | 1042 | 1.777 |
| Wood | 5 | 0.28 | 574.76 | 1800 | |||
| (6) | Brick Roof | Tiles | 1 | 1.7 | 2300 | 700 | 1.473 |
| Mortar | 3 | 1.15 | 200 | 840 | |||
| Heavy concrete | 5 | 1.755 | 2300 | 920 | |||
| Hourdi block | 20 | 1.23 | 1300 | 650 | |||
| Mortar | 1 | 1.15 | 200 | 840 | |||
| (7) | Floor | Tiles | 1 | 1.7 | 2300 | 700 | 2.975 |
| Mortar | 5 | 1.15 | 200 | 840 | |||
| Heavy concrete | 20 | 1.755 | 2300 | 920 |
| Gain | Part 1 | Part 2 | Operating Period |
|---|---|---|---|
| Power (Watts) | |||
| Computer | 140 × 2 | 0 | 2 h/Day |
| TV | 80 | 0 | 3 h/Day |
| Lighting | 30 | 20 | 6 h/Day |
| Oven | 0 | 2700 | 1 h/Day |
| Washing machine | 0 | 2100 | 3 h/week |
| Refrigerator | 0 | 136 | 12 h/Day |
| −3 | −2 | −1 | 0 | 1 | 2 | 3 |
|---|---|---|---|---|---|---|
| Cold | Cool | Slightly cool | Neutral | Slightly warm | Warm | Hot |
| Residential | Educational | Hospital | Hotel | |
|---|---|---|---|---|
| Zone 1 | 40 | 44 | 72 | 48 |
| Zone 2 | 46 | 50 | 73 | 52 |
| Zone 3 | 48 | 61 | 68 | 66 |
| Zone 4 | 64 | 80 | 47 | 34 |
| Zone 5 | 61 | 65 | 92 | 88 |
| Zone 6 | 65 | 67 | 93 | 88 |
| Cities | Rabat | Tangier | Meknes | Ifran | Marrakech | Er-Rachidia |
|---|---|---|---|---|---|---|
| Cold Week | 4th week of January | 2nd week of January | 3rd week of January | 4th week of December | 3rd week of January | 3rd week of January |
| Warm Week | 2nd week of August | 3rd week of August | 4th week of August | 4th week of July | 2nd week of August | 4th week of July |
| City | Cold Discomfort Hours | Heat Discomfort Hours |
|---|---|---|
| Rabat | 3345 h–4047 h | 1137 h–2041 h |
| 48–55% | 13–23% | |
| Tangier | 3006 h–3634 h | 2062 h–2952 h |
| 34–41% | 23–33% | |
| Meknès | 3973 h–4537 h | 1178 h–1846 h |
| 45–51% | 13–21% | |
| Ifran | 4279 h–4843 h | 1768 h–2148 h |
| 48–55% | 21–24% | |
| Marrakech | 2938 h–3719 h | 2057 h–2866 h |
| 33–42% | 23–32% | |
| Er-Rachidia | 3494 h–4059 h | 2503 h–3309 h |
| 39–46% | 28–37% |
Disclaimer/Publisher’s Note: The statements, opinions and data contained in all publications are solely those of the individual author(s) and contributor(s) and not of MDPI and/or the editor(s). MDPI and/or the editor(s) disclaim responsibility for any injury to people or property resulting from any ideas, methods, instructions or products referred to in the content. |
© 2023 by the authors. Licensee MDPI, Basel, Switzerland. This article is an open access article distributed under the terms and conditions of the Creative Commons Attribution (CC BY) license (https://creativecommons.org/licenses/by/4.0/).
Share and Cite
Lamrani Alaoui, A.; Amrani, A.-I.; Mousavi Ajarostaghi, S.S.; Saffari Pour, M.; Salhi, J.-E.; Daoudia, A.; Halimi, M. An Investigation towards Optimizing the Construction Materials and Configurations of Buildings for Improving Energy Efficiency and Consumption in Morocco. Buildings 2023, 13, 1705. https://doi.org/10.3390/buildings13071705
Lamrani Alaoui A, Amrani A-I, Mousavi Ajarostaghi SS, Saffari Pour M, Salhi J-E, Daoudia A, Halimi M. An Investigation towards Optimizing the Construction Materials and Configurations of Buildings for Improving Energy Efficiency and Consumption in Morocco. Buildings. 2023; 13(7):1705. https://doi.org/10.3390/buildings13071705
Chicago/Turabian StyleLamrani Alaoui, Ali, Abdel-Illah Amrani, Seyed Soheil Mousavi Ajarostaghi, Mohsen Saffari Pour, Jamal-Eddine Salhi, Abdelkarim Daoudia, and Mohammed Halimi. 2023. "An Investigation towards Optimizing the Construction Materials and Configurations of Buildings for Improving Energy Efficiency and Consumption in Morocco" Buildings 13, no. 7: 1705. https://doi.org/10.3390/buildings13071705
APA StyleLamrani Alaoui, A., Amrani, A.-I., Mousavi Ajarostaghi, S. S., Saffari Pour, M., Salhi, J.-E., Daoudia, A., & Halimi, M. (2023). An Investigation towards Optimizing the Construction Materials and Configurations of Buildings for Improving Energy Efficiency and Consumption in Morocco. Buildings, 13(7), 1705. https://doi.org/10.3390/buildings13071705

