Abstract
Bioleaching is an effective and promising approach for the recovery or removal of heavy metals from metal-laden municipal solid waste incineration fly ash. To exclude the risk of reacidification of the leached fly ash after bioleaching with sulfur powder, molded sulfur prills were used as energy substrate for sulfur oxidizing bacteria to examine the availability of reusing the recyclable sulfur forms. The chemical species of heavy metals during the bioleaching process were also investigated. Results showed that the pH reduction, sulfate production, and metal solubilization with sulfur prills were comparable to that with sulfur powder despite of the theoretically calculated smaller surface of the formers. After 15 days of bioleaching, 80.7–82.1% of Cd, 72.5–74.1% of Zn, 42.8–43.9% of Cu, 24.1–25.2% of Cr, and 12.4–13.0% of Pb were removed from the fly ash, respectively. During bioleaching, heavy metals in the acid extractable and reducible fraction were significantly removed, and metals in oxidizable from were partially reduced. The low leaching toxicity of heavy metals according to toxicity characteristic leaching procedure (TCLP) verified the effective detoxification of fly ash. Moreover, the comparable pH reduction and metal removal efficiencies of bioleaching process with recycled sulfur prills to that with fresh sulfur revealed the potential of reusing the recoverable sulfur prills in the bioleaching process for decontamination of heavy metals from municipal solid waste fly ash.
1. Introduction
Incineration has been widely applied in the treatment of municipal solid waste, because it provides an effective way to recover heat energy and to minimize the mass and volume of waste [1,2]. However, municipal solid waste incineration raises new challenges for waste disposal of the incineration ash generated during incineration. The ash residuals after incineration are generally classified into fly ash and bottom ash, with a mass ratio of 1:4 to 1:5 [3]. Heavy metals such as Zn, Cu, Cr, Pb, Ni, Cd, and Hg are commonly found in the ash residuals [4]. Fly ash often contains more heavy metals than bottom ash owing to vaporization of metals during combustion, followed by adsorption of vaporized metals on the surface of fly ash particles [5]. After a series of physical and chemical processes, 72% of Zn, 24% of Cr, 46% of Cd, 36% of Cu, and 86% of Pb in municipal solid waste were transferred into fly ash [6]. Many leaching tests showed that concentrations of heavy metals such as Cd, Cr, Cu, Pb, and Zn tended to exceed the regulatory limits [7,8], and therefore fly ash is generally classified as hazardous waste in China and requires detoxification prior to reuse or final disposal. At present, solidification/stabilization, thermal treatment, and heavy metal extraction process are the main techniques to prevent the toxic metals in fly ash from leaching into the soil and groundwater in the disposal site [5,6,9,10,11].
Owing to low cost and environmental sustainability, bioleaching is regarded as an effective approach for removal or recovery of heavy metals from variety of urban or industrial wastes [12,13,14,15,16,17,18], such as sediments, sewage sludge, spent batteries, printed circuit boards, etc. Moreover, bioleaching is often considered as a promising technology for reducing heavy metal risk in municipal solid waste incineration fly ash [1,2,19,20]. One of the critical technical parameters of bioleaching is the substrate supply. Sulfur powder is commonly used as the most efficient energy substrate in the bioleaching process utilizing sulfur oxidizing bacteria [12,19,21,22,23,24]. In general, in order to ensure sufficient sulfuric acid production and metal solubilization, the optimal sulfur concentration ranging from 5 to 10 g per liter fly ash suspension is needed for fly ash bioleaching [19,25,26]. However, about 40–70% of the sulfur powder could not be utilized during the bioleaching process [15,23,24,27]. A noteworthy and non-negligible issue is that the unused sulfur powder remaining in the treated wastes is difficult separate from the wastes after bioleaching and represents a potential reacidification risk to the disposal land due to the subsequent oxidation of sulfur to sulfuric acid [15,24]. Furthermore, the sulfur residual also increases the operation cost of the bioleaching.
To overcome the weakness of the sulfur powder using in bioleaching, a few efforts were made to increase the oxidation of sulfur or to recover the residual sulfur. Due to its hydrophilic properties, using biogenic sulfur during bioleaching of contaminated sediments yielded equal or even considerably better results than sulfur powder [28,29]. However, the high levels of organic matter in biogenic sulfur sometimes inhibited the autotrophic metabolism of sulfur oxidizing bacteria and hindered the bioleaching process, if no organic matter degrading bacteria were inoculated [29]. Alternatively, recyclable forms of molded sulfur with larger particle size were used as substrate for sulfur oxidizing bacteria in the bioleaching of sediments with the additional advantage that they could be recovered and reused easily for further bioleaching treatments [15,24]. To our knowledge, until now, no information on the feasibility of the recoverable sulfur in the bioleaching of fly ash has been available.
The objective of the present work was to evaluate the availability of the recoverable sulfur prills in the bioleaching of municipal solid waste incineration fly ash. Moreover, the variations of chemical species of heavy metals during the bioleaching process were examined using sequential selective extraction method in order to understand the behaviors of metals in detail. The leaching of metals from the bioleached fly ash was also conducted to verify the detoxification effects of bioleaching.
2. Materials and Methods
2.1. Municipal Solid Waste Incineration Fly Ash
Municipal solid waste incineration fly ash used in this study was obtained from a baghouse filter of an incineration plant in Hangzhou, Zhejiang Province, China. The fly ash was air-dried and sieved through a 2.0-mm sieve. X-ray diffraction (XRD, D8 Advance, Bruker, Germany) measurement showed that the mainly composition of the fly ash was CaO, CaCO3, Al2O3, and Fe2O3 (Figure 1.). The chemical constitute of the fly ash measured using X-ray fluorescence spectrometer (XRF, EDX-7000, Shimadzu, Japan) was (w/w) CaO 46.7%, SiO2 20.2%, Fe2O3 9.4%, Al2O3 7.8%, SO3 6.5%, K2O 3.3%, and TiO2 2.8%. The toxic heavy metal content in the fly ash determined by inductively coupled plasma optical emission spectrometer (ICP-OES, ICPE-9800, Shimadzu, Japan) after digestion with HNO3-HF-HClO4 was as follows (in dry weight of fly ash): Fe 122240 mg/kg, Al 54890 mg/kg, Zn 26245 mg/kg, Cu 8014 mg/kg, Pb 1022 mg/kg, Cr 1001 mg/kg, and Cd 67 mg/kg.
Figure 1.
X-ray diffraction (XRD) diffractograms of municipal solid waste fly ash.
2.2. Preparation of the Recyclable Sulfur Prills
Commercial sulfur powder (50–400 μm in diameter) was purchased from Sinopharm Chemical Reagent Co., Ltd. The recyclable sulfur prills were prepared by precipitating melted sulfur powder in deionized water [30]. The spherical prills were divided into various size groups using Tyler sieves. The sulfur prills with diameters of 2.5–3.5 mm and 5.5–6.5 mm were referred to as ‘sulfur prill-3’ and ‘sulfur prill-6’, respectively. Due to the sublimation of elemental sulfur, the specific surface area of sulfur could not be measured by multipoint BET analyzer. Hence, the specific surface area of sulfur powder, prill-3 and prill-6 was calculated according to the average particle diameter, which were 255, 7.55, and 3.78 cm2/g, respectively.
2.3. Sulfur Oxidizing Bacteria
Sulfur oxidizing bacteria were enriched by adding activated sludge, which was obtained from municipal wastewater treatment plant with A2/O system in Luoyang, Henan Province, China, to the modified SM medium [22] (KH2PO4 3.0 g/L, CaCl2·2H2O 0.25 g/L, MgSO4·7H2O 0.1 g/L, FeSO4·7H2O 0.02 g/L, sulfur powder 10 g/L, pH 4.0) at inoculated dose of 10% (v/v). The mixture was incubated in a rotating shaker at 180 rpm and at 28 °C. When the pH dropped to less than 2.0, the mixed culture was then transferred into a fresh modified SM medium. The above process was repeated three times. The sulfur oxidizing bacteria domestication was performed by inoculating the enriched culture into the modified SM medium containing 1% (w/v) fly ash. The mixture was incubated until pH dropped to 2.5. Then the bacteria were acclimated three times in the same way. The mixture was filtrated by filter paper, and the obtained filtrate was the inoculum for the next bioleaching process.
2.4. Bioleaching Experiments
Fly ash bioleaching was performed in 500 mL Erlenmeyer flasks, each containing 290 mL of the sulfur-free modified SM medium, 10 mL well acclimated sulfur oxidizing bacteria, 3 g of fly ash (solid content of 1% w/v) and 1.5 g of different forms of sulfur (5 g/L, powder, prill-3 and prill-6). The suspensions were adjusted to pH 5.5 with 1 mol/L H2SO4 and were incubated at 180 rpm and 28 °C. The water loss of the suspensions due to evaporation was replenished with deionized water using the weight difference method. No inoculation with sulfur was performed as control. The bioleaching tests were terminated when pH of the suspensions dropped to less than 3.0 (Batch I). In order to verify the effectiveness of the recycled sulfur prills in the fly ash bioleaching process, after Batch I, the residual sulfur prills were separated from the suspensions through filter. The recovered sulfur prills were then reused in the second batch bioleaching (Batch II) with the same operating parameters as Batch I after rinse and drying. This process was repeated for the third batch of bioleaching (Batch III).
2.5. Analytical Methods
During the bioleaching processes, suspension pH was monitored at three-day intervals followed by a sampling of 5 mL of the suspensions from each flask for chemical analyses. The suspension samples were centrifuged at 8000 rpm for 15 min and filtrated through 0.22 μm membrane. The sulfate concentrations in the filtrate were analyzed using turbidimetric method [31]. The soluble Zn, Cu, Pb, Cr, and Cd were determined by ICP-OES following the acidification of filtrate with concentrated HNO3. The metal solubilization efficiency (in percent) was calculated as the ratio between the mass of actual solubilized metals in the aqueous phase due to bioleaching mMe,L(t) and the total mass of metals in the fly ash before the leaching mMe,Ash.
In Equation (1), cMe,L(t) denotes the metal concentration in the aqueous phase at the bioleaching time t (in mg/L), cMe,L(t = 0) is the metal content in the aqueous phase at the beginning of the bioleaching, which is introduced into the suspensions with the inoculation of acclimated sulfur oxidizing bacteria, V symbolizes the volume of the aqueous phase in each flask, 500 mL, cMe,Ash is the content of the metal in the fly ash at the beginning (in mg/kg), and mAsh symbolizes the fly ash mass initially applied, 3 g.
In an analogous way, the sulfur oxidation rate during bioleaching was calculated from the mass of sulfur oxidized to sulfate at the sampling time mS,L(t) and the mass of sulfur added to each flask initially mS, 1.5 g. The actual mass of sulfur oxidized to sulfate was calculated from the concentration of dissolved sulfate in the aqueous phase at the sampling time cSO4,L(t) reduced by the dissolved sulfate at the beginning of the bioleaching cSO4,L(t = 0).
A four-step extraction procedure recommended by the Community Bureau of Reference (BCR) [15] was used to analyze the changes of speciation distribution of metals residual in fly ash during bioleaching. Toxicity characteristic leaching procedure (TCLP) tests were conducted to investigate the environmental hazards associated with the leaching of metals from the raw and bioleached fly ash.
3. Results and Discussion
3.1. pH and Sulfate Variations in Bioleaching with Different Sulfur Forms
Bioacidification, namely sulfur oxidization to sulfuric acid, is a key parameter in bioleaching process because pH determines rate and extent of metal solubilization [15,28]. To achieve sufficiently acidic pH, a well adapted amount of sulfur must be present as a source of acid. Adding 5 g/L sulfur powder was found to be the optimum dosage for the effective bioleaching of fly ash in our previous study [19]. The variation of pH during the bioleaching process with sulfur powder and prills is illustrated in Figure 2a. It was found that pH dropped from 5.5 to below 3.0 after 15 days for both sulfur powder and sulfur prill bioleaching. No obvious acidification was observed during bioleaching process for the control. Apparently, replacing sulfur powder with sulfur prills—either sulfur prill-3 or sulfur prill-6—had no substantial influence on pH reduction process and the final pH. Chen et al. showed that the rates of pH reduction were in the order: powder>pastille (1.0 cm in diameter and 0.3 cm in thickness)>pellet (2–4 mm in diameter) in the bioleaching of contaminated sediments [24]. Similar results were found by Fang et al. in the bioleaching of contaminated sediments with different sulfur forms that the pH decreased rapidly from initial 7.0 to 3.0 within 3 days following addition of 3 g/L sulfur powder, whereas 6 days were required to reach the same acidic degree for sulfur prills (3.0–3.5 mm in diameter) and pieces (6.0 mm in diameter and 3.2 mm in thickness) [15]. It was generally suggested that the greater surface area available to the sulfur oxidization bacteria of sulfur powder increased the sulfur oxidation rates in comparison with the other sulfur forms [15,24]. According the theoretical calculation, specific surface area of sulfur powder was more than 33 times larger than that of sulfur prill-3 and prill-6 in this study. However, the prepared sulfur prills were not regularly spherical. Some cavities could be observed on the surface (Figure 3a), which might originate from the bubbles in the melted sulfur. The heterogeneous surface would increase the surface area of sulfur prills. Furthermore, excess dose of sulfur (mentioned below) in this study might alleviate the insufficient surface area available to the microorganisms. Hence, no significant distinction of acidification process was observed between sulfur powder and prills. Nevertheless, it needs to be mentioned that the comparable effect of sulfur prills and sulfur powder on the acidification in bioleaching was dependent on the experimental parameters in this study, and no different result could be ruled out if the experimental conditions were changed, such as sulfur dose or sulfur prill size.
Figure 2.
Variation of pH (a) and sulfate during bioleaching (b) with different sulfur forms.
Figure 3.
Photographs of fresh sulfur prill-3 (a) and the recovered sulfur prill-3 after bioleaching batch I (b), II (c) and III (d).
Biooxidation of sulfur leads to an increase in sulfate concentration in the fly ash suspensions. Figure 2b shows the sulfate production during bioleaching with different sulfur forms. In a like manner, the rise tendency of sulfate during bioleaching with sulfur powder, prill-3 and prill-6 was identical, implying that sulfur prills had no impact on the bioproduction of sulfate. The sulfur oxidation degree, determined from fly ash suspensions before and after bioleaching, was listed in Table 1. Only 27.6–28.3% of the initial supply of sulfur (powder and prills) was utilized in the bioleaching process, and 0.181 g sulfur remained in per gram of fly ash after bioleaching with sulfur powder. Similar low sulfur oxidation degree was reported by substantial studies [15,22,23,27]. The remaining elemental sulfur would result in the reacidification of the treated fly ash [15,21], and should be recovered after the bioleaching treatments for environmental safety and economical efficiency concern.
Table 1.
Sulfur oxidation ration, recovery rate, residual rate, and residue of sulfur in the fly ash after bioleaching.
3.2. Heavy Metals Solubilization in Bioleaching
It is known that biooxidation and acidification by sulfur oxidizing bacteria are the primary mechanisms of heavy metals solubilization in the bioleaching process [23]. In general, the solubilization of heavy metals in the bioleaching process was highly related to the pH value of the system [12,23]. Given the identical pH, the variation of and the ultimate of heavy metals solubilization were in similar ways among the treatments of sulfur powder and prills. Hence, the bioleaching treatment with sulfur powder was selected to illustrate the metal solubilization during the bioleaching process (Figure 4). It was evident that there was no significant increase in the metal solubilization after 15 days bioleaching. After bioleaching with sulfur powder and prills, the solubilization efficiencies of heavy metals were in the range 80.7–82.1% for Cd, 72.5–74.1% for Zn, 42.8–43.9% for Cu, 24.1–25.2% for Cr, and 12.4–13.0% for Pb. Due to the extreme low solubility of PbSO4 (solubility product constant, Ksp = 1.6 × 10−8 [32]), the leached Pb was prone to form precipitation in the sulfate-rich suspensions during bioleaching, which reduced the extraction efficiency of Pb from fly ash compared with other metals. Furthermore, the properties and chemical species of different heavy metals in fly ash might lead to their distinct leaching behaviors during bioleaching. After bioleaching, the leachate containing high levels of Zn (~194 mg/L), Cu (~35.3 mg/L), Cr (~2.52 mg/L), Pb (~1.33 mg/L), Cd (~0.55 mg/L), and sulfate (~9500 mg/L) could be treated using sulfide produced by sulfate reducing bacteria [12,13,14,19]. Not surprisingly, few heavy metals were solubilized during bioleaching without sulfur (Figure A1).
Figure 4.
Heavy metals solubilization during bioleaching with sulfur powder.
3.3. Chemical Speciation of Heavy Metals during Bioleaching
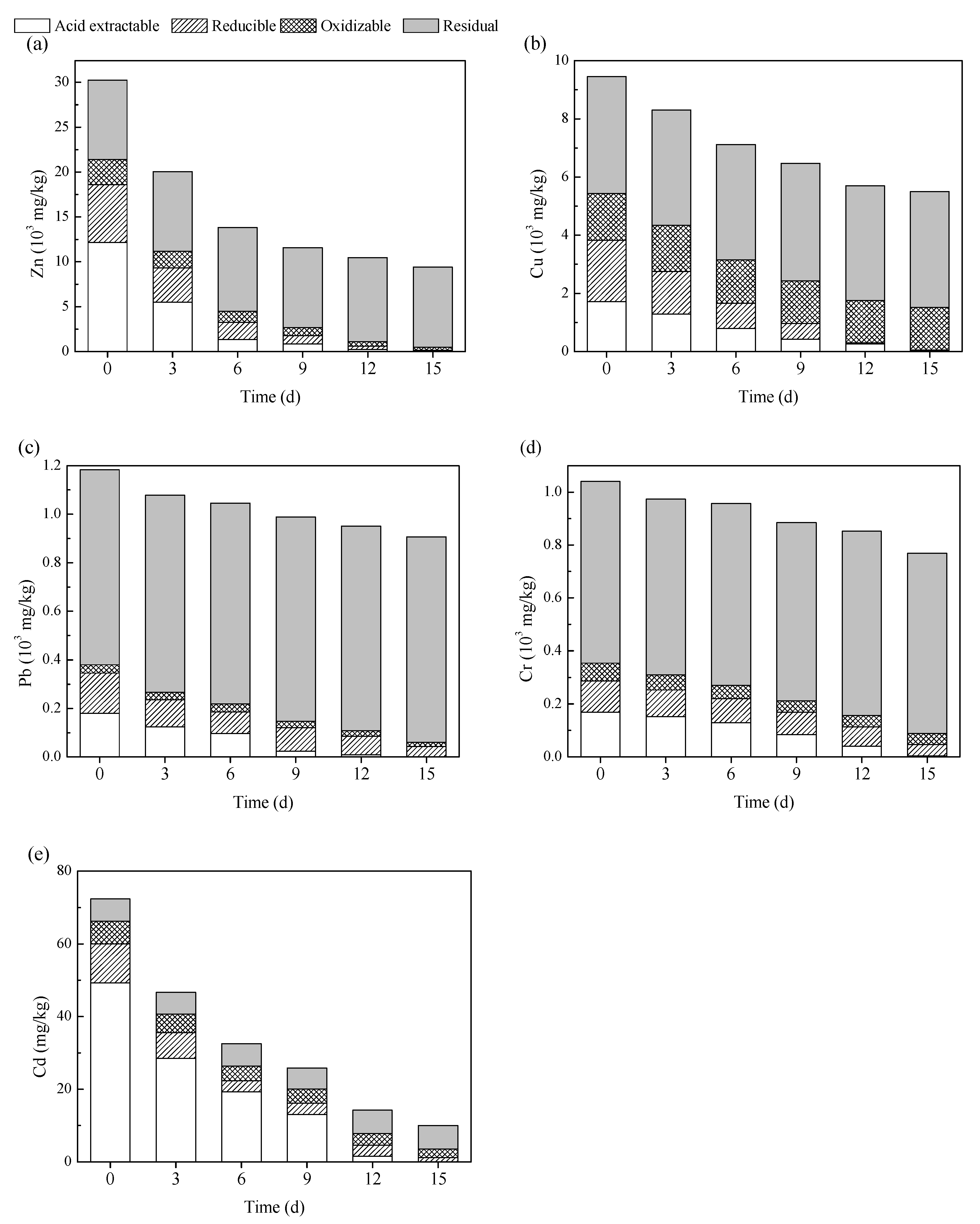
Generally, the efficiency of metal solubilization in the bioleaching process is significantly related to the binding forms of metal in solid wastes. Metals bound to acid extractable and reducible fractions are considered to be more mobile and bioavailable, while metals in oxidizable and residual fractions are relatively stable and less bioavailable [27,33]. Originally, 83.0% of Cd, 61.5% of Zn, 40.5% of Cu, 29.3% of Pb, and 27.6% of Cr were found in the acid extractable and reducible fractions (Figure 5), indicating that most of Zn and Cd in the raw fly ash were mobile and bioavailable, and the majority of Pb and Cr existed in the stable forms. Consequently, the difference in the distributions of heavy metals significantly determined their distinct solubilization after bioleaching. In consideration of no obvious difference in the change of metal speciations among bioleaching processes with sulfur powder and prills, the bioleaching treatment with sulfur powder was chosen to display the transformation of metals form during bioleaching. For the bioleaching without inoculation of sulfur, the distribution of metal speciation in the fly ash had little change throughout the whole bioleaching process (Figure A2). After bioleaching with sulfur powder, more than 97.7% and 63.5–99.2% of heavy metals in the acid extractable and reducible fraction were removed from the fly ash respectively. It is of interest that metals in oxidizable from were partially reduced after the bioleaching, that was 87.1% for Zn, 62.5% for Cd, 52.0% for Pb, 38.9% for Cr, and 8.8% for Cu. The oxidizable form was the metal bound to the organic matter and sulfur species which would be leached out only in strongly oxidizing or strongly acidic environments [34]. Quite a bit of Zn, Pb, Cr, and Cd in the oxidizable fraction was efficiently leached out under the acidic condition of final phase of bioleaching. Compared with the other four metals, the lower leaching efficiency of oxidizable Cu in the fly ash could arise from the distinct solubility properties of their metal sulfides. The Ksp of copper sulfides (6.3 × 10−36 [32]) is several orders of magnitude lower than that of the other four metal sulfides (Ksp of CdS, PbS and ZnS is 8.0 × 10−27, 1.0 × 10−28, and 1.6 × 10−24 respectively [32]), therefore the solubilization of oxidizable Cu in the fly ash suspensions during bioleaching was limited in comparison with Zn, Pb, Cr, and Cd. Moreover, some copper sulfides—like chalcopyrite, the most bounteous copper mineral—are exceptionally stubborn and not promptly amiable to mesophilic biooxidation [35]. Unsurprisingly, there was no obvious change in the residual form of heavy metals throughout the bioleaching. It was well-known that metals in the residual fraction were mainly bound into resistant lattice structures and difficult to be released under bioleaching conditions like that in this study, and that prolonged exposure under more extreme acidic conditions would be needed to remove these residual bound metals [15,34].
Figure 5.
Variation in partitioning of chemical forms of Zn (a), Cu (b), Pb (c), Cr (d), and Cd (e) during bioleaching with sulfur powder.
After bioleaching, 94.8% of Zn, 93.4% of Pb, 88.5% of Cr, 72.4% of Cu, and 64.6% of Cd remaining in the treated fly ash existed in the residual forms, which was nonbioavailable and stable in the environment. In addition, to evaluate the environmental toxicity, the concentrations of metals extracted from the raw and bioleached fly ash were detected according to TCLP, and the results are presented in Table 2. The Pb and Cd concentrations were 0.79 and 0.53 mg/L in the TCLP extract of the raw fly ash respectively, which exceeded the Standard for Pollution Control on the Landfill Site of Municipal Solid Wastes, National Environmental Agency, China (GB 16889-2008). Furthermore, the Cd concentration also exceeded the Standard for Pollution Control on the Security Landfill Site for Hazardous Wastes, National Environmental Agency, China (GB 18598-2001). It is therefore necessary to treat the raw fly ash in order to reduce the hazardous metal contents before land disposal. After bioleaching treatment, the Pb and Cd concentrations were reduced to 0.03 and 0.01 mg/L, respectively, and were within permissible limits of the two standards mentioned above. Meanwhile, Zn, Cu, and Cr concentrations in the TCLP extract of the bioleached fly ash were reduced to levels far below those required in the two standards. It is evident that bioleaching was able to successfully decrease the mobility of heavy metals and detoxify the fly ash. The low leaching toxicity of heavy metals allows a lot of flexibility for the reuse and disposal of the bioleached fly ash.
Table 2.
Heavy metals extracted from raw and bioleached fly ash according to TCLP (mg/L).
3.4. Availability of Recovered Sulfur Prills in Bioleaching
After bioleaching, the sulfur prill-3 was separated from fly ash suspensions, and the feasibility of reuse of the recovered molded sulfur in fly ash bioleaching was determined. The pH around 3.0 was found to insure the effective metal solubilization from fly ash, and hence the variation of pH as a facile indicator of metal removal efficiency was monitored in the bioleaching with recovered sulfur prills. Figure 6 shows the pH reduction in the bioleaching process with recovered sulfur prill-3. Obviously, no visible distinction of the pH variation was observed in the bioleaching process with fresh sulfur prill-3 (Batch I) and the recovered prills (Batch II and III) (Figure 6). Chen et al. found that the recycled sulfur form accelerated the bioleaching process in comparison to the fresh sulfur because a significant number of acclimate sulfur oxidizing bacteria were adsorbed on the recovered sulfur particles [24]. By contrast, Fang et al. reported that pH dropped to 3.0 from neutral on the 10th and 15th days in the bioleaching process with the first and second transfer of recycled sulfur prills respectively, as compared to 6 days in the bioleaching with the fresh sulfur prills. However, from pH 3.0 onward to 2.0, pH variations of bioleaching processes with fresh and recovered sulfur exhibited similar trends. It was believed that the activity of acidophilic sulfur oxidizing bacteria adsorbed on the recovered sulfur at pH 2.0 was reduced in neutral condition (pH > 4.0), and meanwhile the less-acidophilic sulfur oxidizing bacteria responsible for the pH reduction from neutral to 4.0 had to re-establish by overcoming the domination of acidophilic sulfur oxidizing bacteria on the surface of recovered sulfur. Hence, an initial lag phase of pH reduction was found in bioleaching with recycled sulfur [15]. Unlike both studies above, the recovered sulfur was rinsed and dried for the purpose of accurate weighing prior to reuse in the following bioleaching process, and consequently the bacteria on the surface of recovered sulfur were inactivated and had hardly any impact on the following bioleaching.
Figure 6.
Variation of pH during bioleaching with the recovered sulfur prill-3.
Effective metal removal and low extractable concentration of metals after bioleaching with the recovered sulfur prill-3 further verified the availability of the reuse of the recycled sulfur prills. Moreover, the recovery of sulfur prills substantially reduced the sulfur residues in the treated fly ash. After bioleaching, the recovery rate and residual rate of sulfur were calculated as
where mS,R is the recovered sulfur mass from the bioleached fly ash suspensions (g); P1 and P2 are the oxidation rate and recovery rate of sulfur, respectively. The recovery of sulfur prill-3 decreased from 93.6% for Batch I to 61.6% for Batch III (Table 1). Figure 3 shows photographs of sulfur prill-3 before and after three batches of bioleaching. The bacteria were generally inclined to be adsorbed and proceed with colonization at limited sites [15]. After Batch I, the sulfur oxidization by adsorbed bacteria produced several cavities and roughness on the surface of sulfur prills (Figure 3b). The cavities became larger after Batch II (Figure 3c). Further increase of the cavity sizes was observed and some sulfur prills broke down into pieces after Batch III (Figure 3d), which greatly decreased the recovery of sulfur. The recovered sulfur prills would be required to be remolded before using in the next bioleaching process. The recovery of sulfur was only 54.1% after bioleaching with fresh sulfur prill-6 (Table 1), and the recovered sulfur prill-6 was distorted into pieces and was not suitable for direct reuse in bioleaching (Figure A3). The sulfur mass in the fly ash after bioleaching Batch I, II, and III with sulfur prill-3 was tens of times lower than that with sulfur powder (Table 3), which would significantly decrease the potential reacidification of the bioleached fly ash.
Table 3.
Removal rate and extractable concentration of heavy metals after bioleaching with the recovered sulfur prill-3.
4. Conclusions
Availability of the recovered sulfur in the bioleaching of municipal solid waste incineration fly ash by sulfur oxidizing bacteria was evaluated, and the transformation of chemical speciation of heavy metals during bioleaching was also investigated. In this study, despite of the lower theoretically calculated surface area, sulfur prills showed equal efficiencies to sulfur powder in pH reduction, sulfate production, and heavy metal removal during fly ash bioleaching. Cavities present in the prills and the overdose of sulfur might alleviate the unfavorable effect of the low surface area of sulfur prills. Sulfur prills could efficiently be recovered and reused, which could inhibit the potential reacidification and decrease the economical costs of bioleaching process. After bioleaching, no matter with sulfur powder or sulfur prills, most heavy metals in the bioavailable and mobile forms—i.e., acid extractable and reducible fraction—were removed from fly ash, and the remaining heavy metals in the bioleached fly ash existed mainly in residual form. Moreover, the low leaching toxicity of heavy metals according to TCLP allowed a lot of flexibility for the reuse and disposal of the bioleached fly ash. Bioleaching with the recyclable sulfur prills would be an effective and promising approach for detoxification of heavy-metal-laden municipal solid waste incineration fly ash.
Author Contributions
Conceptualization, R.Z.; Methodology, R.Z.; Validation, X.W.; Formal analysis, Q.H.; Investigation, Q.H. and R.S.; Writing—original draft preparation, R.Z.; Writing—review and editing, X.W.; Supervision, R.Z. and X.W.; Project administration, X.W.; Funding acquisition, R.Z. and X.W. All authors have read and agreed to the published version of the manuscript.
Funding
This work was supported by the National Natural Science Foundation of China (grant no. 41601520), the Scientific and Technological Project in Henan Province of China (grant no. 202102310596) and the Key Scientific Research Projects of Higher Education Institutions in Henan Province (grant no.20A610001).
Acknowledgments
The authors acknowledge the support of Henan University of Science and Technology.
Conflicts of Interest
The authors declare no conflict of interest.
Appendix A
Figure A1.
Heavy metals solubilization during bioleaching without sulfur.
Figure A1.
Heavy metals solubilization during bioleaching without sulfur.


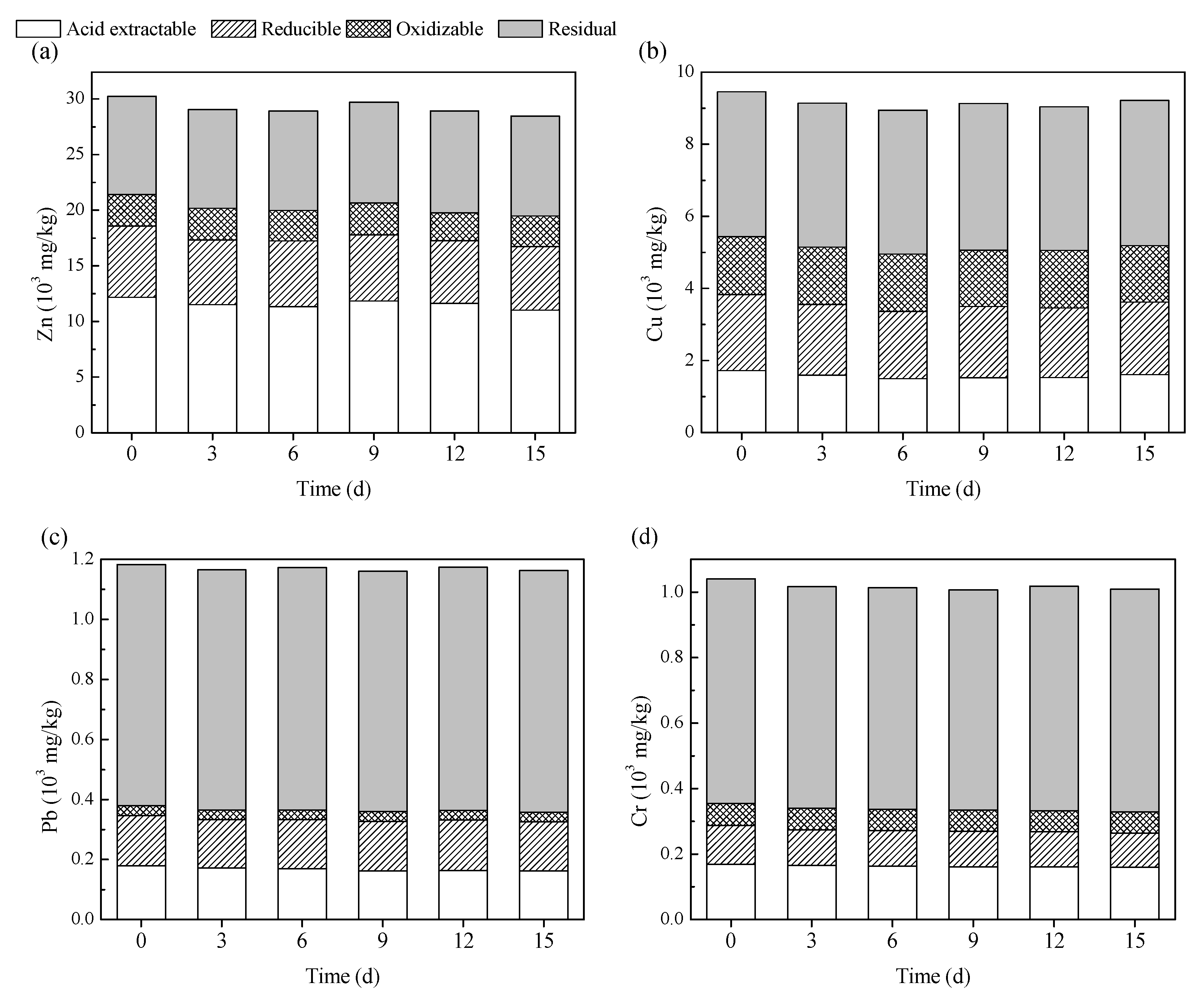
Figure A2.
Variation in partitioning of chemical forms of Zn (a), Cu (b), Pb (c), Cr (d), and Cd (e) during bioleaching without sulfur.
Figure A2.
Variation in partitioning of chemical forms of Zn (a), Cu (b), Pb (c), Cr (d), and Cd (e) during bioleaching without sulfur.


Figure A3.
Photographs of sulfur prill-6 before (a) and after (b) bioleaching.
Figure A3.
Photographs of sulfur prill-6 before (a) and after (b) bioleaching.

References
- Luo, H.; Cheng, Y.; He, D.; Yang, E. Review of leaching behavior of municipal solid waste incineration (MSWI) ash. Sci. Total Environ. 2019, 668, 90–103. [Google Scholar] [CrossRef] [PubMed]
- Gomes, H.I.; Funari, V.; Ferrari, R. Bioleaching for resource recovery from low-grade wastes like fly and bottom ashes from municipal incinerators: A SWOT analysis. Sci. Total Environ. 2020, 715, 136945. [Google Scholar] [CrossRef]
- Wiles, C.C. Municipal solid waste combustion ash: State-of-the-knowledge. J. Hazard. Mater. 1996, 47, 325–344. [Google Scholar] [CrossRef]
- Yin, K.; Chan, W.P.; Dou, X.; Ren, F.; Chang, V.W.C. Cr, Cu, Hg and Ni release from incineration bottom ash during utilization in land reclamation—based on lab-scale batch and column leaching experiments and a modeling study. Chemosphere 2018, 197, 741–748. [Google Scholar] [CrossRef] [PubMed]
- Lam, C.H.K.; Ip, A.W.M.; Barford, J.; Mckay, G. Use of Incineration MSW Ash: A Review. Sustainability 2010, 2, 1943–1968. [Google Scholar] [CrossRef]
- Youcai, Z.; Lijie, S.; Guojian, L. Chemical stabilization of MSW incinerator fly ashes. J. Hazard. Mater. 2002, 95, 47–63. [Google Scholar] [CrossRef]
- Shi, H.S.; Kan, L.L. Characteristics of municipal solid wastes incineration (MSWI) fly ash-cement matrices and effect of mineral admixtures on composite system. Constr. Build. Mater. 2009, 23, 2160–2166. [Google Scholar] [CrossRef]
- Yang, R.; Liao, W.P.; Wu, P.H. Basic characteristics of leachate produced by various washing processes for MSWI ashes in Taiwan. J. Environ. Manag. 2012, 104, 67–76. [Google Scholar] [CrossRef]
- Benassi, L.; Dalipi, R.; Consigli, V.; Pasquali, M.; Bontempi, E. Integrated management of ash from industrial and domestic combustion: A new sustainable approach for reducing greenhouse gas emissions from energy conversion. Environ. Sci. Pollut. Res. 2017, 24, 14834–14846. [Google Scholar] [CrossRef]
- Rodella, N.; Pasquali, M.; Zacco, A.; Bilo, F.; Borgese, L.; Bontempi, N.; Tomasoni, G.; Depero, L.E.; Bontempi, E. Beyond waste: New sustainable fillers from fly ashes stabilization, obtained by low cost raw materials. Heliyon 2016, 2, e00163. [Google Scholar] [CrossRef]
- Rodella, N.; Bosio, A.; Dalipi, R.; Zacco, A.; Borgese, L.; Depero, L.E.; Bontempi, E. Waste silica sources as heavy metal stabilizers for municipal solid waste incineration fly ash. Arab. J. Chem. 2017, 10, S3676–S3681. [Google Scholar] [CrossRef]
- Fang, D.; Liu, X.; Zhang, R.; Deng, W.; Zhou, L. Removal of Contaminating Metals from Soil by Sulfur-Based Bioleaching and Biogenic Sulfide-Based Precipitation. Geomicrobiol. J. 2013, 30, 473–478. [Google Scholar] [CrossRef]
- Fang, D.; Zhang, R.; Liu, X.; Zhou, L. Selective recovery of soil-borne metal contaminants through integrated solubilization by biogenic sulfuric acid and precipitation by biogenic sulfide. J. Hazard. Mater. 2012, 219, 119–126. [Google Scholar] [CrossRef]
- Fang, D.; Zhang, R.; Zhou, L.; Li, J. A combination of bioleaching and bioprecipitation for deep removal of contaminating metals from dredged sediment. J. Hazard. Mater. 2011, 192, 226–233. [Google Scholar] [CrossRef]
- Fang, D.; Zhao, L.; Zhou, L.X.; Shan, H.X. Effects of sulfur forms on heavy metals bioleaching from contaminated sediments. J.Environ. Sci. Health Part A 2009, 44, 714–721. [Google Scholar] [CrossRef] [PubMed]
- Argumedo-Delira, R.; Gómez-Martínez, M.J.; Soto, B.J. Gold Bioleaching from printed circuit boards of mobile phones by Aspergillus niger in a culture without agitation and with glucose as a carbon Source. Metals 2019, 9, 521. [Google Scholar] [CrossRef]
- Liu, X.L.; Li, Q.; Zhang, Y.; Yang, Y.B.; Xu, B.; Jiang, T. Formation process of the passivating products from Arsenopyrite bioleaching by Acidithiobacillus ferrooxidans in 9K culture medium. Metals 2019, 9, 1320. [Google Scholar] [CrossRef]
- Lee, Y.; Sethurajan, M.; Vossenberg, J.V.D.; Meers, E.; Hullebusch, E.D. Recovery of phosphorus from municipal wastewater treatment sludge through bioleaching using Acidithiobacillus thiooxidans. J. Environ. Manag. 2020, 270, 110818. [Google Scholar] [CrossRef]
- Zhang, R.C.; Qiu, H.L.; Wang, T.; Feng, F.; Li, M.T. Recovery of Cu and Zn from waste incineration fly ash through integrated sulfur bio-oxidation and bio-reduction. Chin. J. Environ. Eng. 2019, 13, 1220–1227. [Google Scholar]
- Li, S.; Tian, Z.; Liu, R.; Zhou, W.; Cheng, H.; Sun, J.; Zhao, K.; Wang, Y.; Zhou, H. Effective multi-metal removal from plant incineration ash via the combination of bioleaching and brine leaching. Rsc. Adv. 2020, 10, 1388–1399. [Google Scholar] [CrossRef]
- Fonti, V.; Dell’Anno, A.; Beolchini, F. Does bioleaching represent a biotechnological strategy for remediation of contaminated sediments? Sci. Total Environ. 2016, 563–564, 302–319. [Google Scholar] [CrossRef] [PubMed]
- Chan, L.C.; Gu, X.Y.; Wong, J.W.C. Comparison of bioleaching of heavy metals from sewage sludge using iron- and sulfur-oxidizing bacteria. Adv. Environ. Res. 2003, 7, 603–607. [Google Scholar] [CrossRef]
- Chen, S.; Cheng, Y. Effects of sulfur dosage and inoculum size on pilot-scale thermophilic bioleaching of heavy metals from sewage sludge. Chemosphere 2019, 234, 346–355. [Google Scholar] [CrossRef] [PubMed]
- Chen, S.Y.; Chiu, Y.C.; Chang, P.L.; Lin, J.G. Assessment of recoverable forms of sulfur particles used in bioleaching of contaminated sediments. Water Res. 2003, 37, 450–458. [Google Scholar] [CrossRef]
- Funari, V.; Makinen, J.; Salminen, J.; Braga, R.; Dinelli, E.; Revitzer, H. Metal removal from Municipal Solid Waste Incineration fly ash: A comparison between chemical leaching and bioleaching. Waste Manag. 2017, 60, 397–406. [Google Scholar] [CrossRef] [PubMed]
- Zhou, S.; Chang, M.; Hu, P.; Ni, J. Bioleaching of Fly Ash from Municipal Solid Waste Incinerator Using Sewage Sludge and Pig Manure as Culture Media. Environ. Sci. 2005, 26, 180–185. [Google Scholar]
- Chang, C.; Chen, S.; Klipkhayai, P.; Chiemchaisri, C. Bioleaching of heavy metals from harbor sediment using sulfur-oxidizing microflora acclimated from native sediment and exogenous soil. Environ. Sci. Pollut. Res. 2019, 26, 6818–6828. [Google Scholar] [CrossRef]
- Seidel, H.; Wennrich, R.; Hoffmann, P.; LöSer, C. Effect of different types of elemental sulfur on bioleaching of heavy metals from contaminated sediments. Chemosphere 2006, 62, 1444–1453. [Google Scholar] [CrossRef]
- Wu, C.; Jiang, M.; Hsieh, L.; Cai, Y.; Shen, Y.; Wang, H.; Lin, Q.; Shen, C.; Hu, B.; Lou, L. Feasibility of bioleaching of heavy metals from sediment with indigenous bacteria using agricultural sulfur soil conditioners. Sci. Total Environ. 2020, 703, 134812. [Google Scholar] [CrossRef]
- Hyne, J.B. Microcrystalline structure and surface area of elemental sulphur as factors influencing its oxidation by Thiobacillus albertis. Can. J. Microbiol. 1985, 32, 237–242. [Google Scholar]
- Kolmert, Å.; Wikström, P.; Hallberg, K.B. A fast and simple turbidimetric method for the determination of sulfate in sulfate-reducing bacterial cultures. J. Microbiol. Methods 2000, 41, 179–184. [Google Scholar] [CrossRef]
- Song, T.Y.; Cheng, P.; Xu, J.N.; Cheng, G.Z.; Wang, L. Inorganic Chemistry, 4th ed.; Higher Education Press: Beijing, China, 2019. [Google Scholar]
- Baran, A.; Tarnawski, M. Assessment of heavy metals mobility and toxicity in contaminated sediments by sequential extraction and a battery of bioassays. Ecotoxicology 2015, 24, 1279–1293. [Google Scholar] [CrossRef] [PubMed]
- Li, X.; Chen, Q.; Zhou, Y.; Tyrer, M.; Yu, Y. Stabilization of heavy metals in MSWI fly ash using silica fume. Waste Manag. 2014, 34, 2494–2504. [Google Scholar] [CrossRef] [PubMed]
- Kumar, P.S.; Yaashikaa, P.R. Recent trends and challenges in bioleaching technologies. In Biovalorisation of Waste to Renewable Chemicals and Biofuels; Rathinam, N.K., Sani, R.K., Eds.; Elsevier: Amsterdam, The Netherlands, 2020; pp. 373–388. [Google Scholar]
© 2020 by the authors. Licensee MDPI, Basel, Switzerland. This article is an open access article distributed under the terms and conditions of the Creative Commons Attribution (CC BY) license (http://creativecommons.org/licenses/by/4.0/).





