Simple Summary
Aedes aegypti is a mosquito that transmits viruses responsible for several diseases in humans, such as dengue, Zika, and chikungunya. It is crucial to study mosquito populations from different countries and regions because control of disease transmission with insecticides can be more effective if adjusted to each population’s characteristics. For this reason, we determined several features of mosquitoes captured in different cities of Colombia: Neiva, Bello, Itagüí, and Riohacha. These included the length of their lifespan, the number of eggs they lay, and the stages in which they die. We found specific patterns for each population. This knowledge will help control programs determine the optimal times to apply insecticides and make surveillance, as well as the type of insecticide used.
Abstract
Dengue, Zika, and chikungunya are arboviral diseases for which there are no effective therapies or vaccines. The only way to avoid their transmission is by controlling the vector Aedes aegypti, but insecticide resistance limits this strategy. To generate relevant information for surveillance and control mechanisms, we determined life cycle parameters, including longevity, fecundity, and mortality, of Colombian Ae. aegypti populations from four different geographical regions: Neiva, Bello, Itagüí, and Riohacha. When reared at 28 °C, Bello had the shortest development time, and Riohacha had the longest. Each mosquito population had its own characteristic fecundity pattern during four gonotrophic cycles. The survival curves of each population were significantly different, with Riohacha having the longest survival in both males and females and Bello the shortest. High mortality was observed in mosquitoes from Neiva in the egg stage and for Bello in the pupae stage. Finally, when mosquitoes from Neiva and Bello were reared at 35 °C, development times and mortality were severely affected. In conclusion, each population has a unique development pattern with an innate trace in their biological characteristics that confers vulnerability in specific stages of development.
Keywords:
Aedes aegypti; hatching; development time; longevity; survivorship curve; fecundity; mortality 1. Introduction
Aedes aegypti is the principal vector of several arboviruses such as dengue [1,2], Zika [3,4], and chikungunya [5,6]. Dengue affects 390 million people worldwide, with an estimated 96 million infections per year associated with any level of disease severity [7]. In 2019, the Americas reported more than 3 million dengue cases, the most significant number recorded in the region [8,9]. For Zika, over 2 billion people live in areas conducive to its transmission, and in 2015 the infection spread rapidly in the American continent, with 26 countries reporting active transmission and significant outbreaks observed in Brazil and Colombia [3,10,11,12]. In the latter, the epidemic peaked in early 2016, with an incidence of 377.7 cases per 100,000 inhabitants [11,12]. Chikungunya originated in Africa and has caused epidemics in Asia, the Indian subcontinent, Europe, the Americas, and the Pacific Islands [5]. With no vaccine or treatment available, the only accessible strategy is vector control. Insecticides are the primary tool for this purpose, but resistance to this chemical control has been observed in mosquito populations [13,14,15,16,17].
The biological characteristics of vector insects, such as the life cycle, longevity, oviposition, and stages more susceptible to mortality, are fundamental knowledge for their surveillance and control. They can help determine the most vulnerable stage in which the vector population is less able to face environmental stress and control measures [18,19,20,21]. The study of these characteristics has been relevant not only in mosquitoes [19,20,22,23,24,25,26] but also in other insects of medical importance, such as blood-feeding bugs [27,28], tsetse flies [29,30], and sandflies [31,32]. These data have also been used in predictive models for insect population density, contributing to operational strategies to control these species effectively [30,33,34,35]. Enrichment of data concerning disease vectors’ biological characteristics can ensure reliable model predictions of insect population dynamics [35].
Aedes aegypti is a holometabolous insect with immature stages (egg, four larval stages, and pupa) that develop in water and adults that live in terrestrial habitats [36]. The ability of Ae. aegypti to vary its biology and adapt to different environmental conditions can influence population densities, favoring its permanence in areas with virus transmission [37,38]. Thus, Ae. aegypti populations from different regions may present diverse growth and reproduction patterns [38]. In pathogen vectors, there are biological patterns inherent to each population, such as development, survival, mortality, longevity, and fertility, influenced by intrinsic and extrinsic factors specific to the region of origin [38,39,40,41,42]. Examples of intrinsic population factors are genetics [43,44,45], larval density [46,47] and microbiota composition [48,49,50,51], while extrinsic factors include temperature [47,52,53,54], water pH [55,56], presence of insecticides [57,58,59,60], and availability of food and biological resources [46,47,61,62].
This study aimed to compare the hatching, development time, eggs per female, longevity, survivorship curve, and mortality patterns of Ae. aegypti from different regions of Colombia to try to understand the population dynamics of each area. Moreover, we determined the effects of temperature on specific developmental stages in two mosquito populations, which showed different mortality and life expectancy patterns. The results will contribute to assessing and reducing the risk of Ae. aegypti infestation by local control strategies.
2. Materials and Methods
2.1. Study Site and Mosquito Collections
Immature stages and Ae. aegypti adults were collected between 2016–2018 in four Colombian cities (Figure 1) with assistance from staff involved in vector-borne disease programs from each municipality. Mosquitoes were sampled in 10–20 randomized houses from four neighborhoods in each city.
Figure 1.
Map of Colombia showing cities where samples of Aedes aegypti mosquitoes were collected.
These cities were selected because they have had dengue epidemics within the last ten years. Riohacha is the capital of the La Guajira department and lies in the northern Caribbean coast, in the natural Guajira Peninsula subregion, within Ranchería river’s delta. It has an altitude of 2 m above sea level (m.a.s.l.) with an average temperature of 28 °C (minimum of 21 °C and maximum of 35 °C), considered a hot arid climate with average annual rainfall between 500–1000 mm [63]. From 1999 to 2010, La Guajira has presented seasonal dengue outbreaks every four years. Riohacha has concentrated 34.7% of these cases [64], with an incidence between 45.3 to 206.8 cases per 100,000 inhabitants [44]. Bello has an altitude of 1250 m.a.s.l. with an average temperature of 23 °C (minimum of 16 °C and maximum of 33 °C), classified as a warm semi-humid climate with an annual rainfall of 1500 to 2000 mm [63,65]. In this locality, between 2013 and 2019, there was an incidence of dengue cases per 100,000 inhabitants between 16.3 and 381.4, the highest being registered in 2016 [66]. Itagüí has an elevation of 1550 m.a.s.l. with a warm wet climate. It has an average temperature of 19.6 °C (minimum of 16 °C and maximum of 22 °C) and an annual rainfall of 2000 to 2500 mm [63,65]. In this city, the dengue cases per 100,000 inhabitants between 2013 and 2019 were 19.9 to 1063.5, with 2016 being the year with the highest incidence [66]. Neiva lies between the Central and Eastern Andes Cordilleras, in the natural Alto Magdalena valley subregion. It has an altitude of 442 m.a.s.l., an average temperature of 28 °C (minimum of 22 °C and maximum of 33 °C), and an annual rainfall of 1000 to 1500 mm, which is classified as a warm semi-arid climate [63]. The incidence of dengue between 2013 and 2019 was 164.3 to 1530.5 cases per 100,000 inhabitants; 2014 and 2019 were considered to be epidemic years with incidences of 1081 and 1530.5 per 100,000 inhabitants, respectively [67].
The Rockefeller strain was used as a control because it is considered a strain of vigor control for Aedes aegypti. It has been used as a reference strain in studies of insecticide resistance, microbiota and fitness cost under a genetic background with kdr mutations [68,69,70].
2.2. Rearing and Maintenance of Ae. aegypti Populations
Collections were reared under controlled conditions: temperature (28 ± 1 °C), relative humidity (80 ± 5%), and photoperiod (12 h light: 12 h dark). Mosquitoes were identified by the patterns of typical white lyre-shaped markings scales on the thorax [71]. For the identification of the larval stages of Ae. aegypti we followed the recognition method of Christophers [72], which is based in distinguishing changes in chaetotaxy and other external characters, such as greater branching of the hairs, greater number and branching of the spines and greater complexity of the respiratory siphon, the anal segment and the mouth parts. This was complemented with specific characteristics for each stage of larval development, such as the presence of the egg-breaker for L1, a transverse diameter of the head of approximately 0.3, 0.45, 0.65 and 0.95 mm for L1, L2, L3 and L4, respectively, a dark head for L3 (the head should never go completely dark for other instars), and the rudiments of the pupal respiratory trumpets for L4 [72]. F2 eggs were used after a storage time between 2 and 3 weeks. One hundred eggs were submerged in 50 mL of distilled and sterile water with 0.03 mg per larva of Tetramin® fish food (Tetra, Melle, Germany), in a cup of 5 cm in diameter and 3 cm in height, until hatching. Larvae were subsequently reared in dechlorinated tap water in a plastic pan (8.5 cm in diameter and 11 cm in height) covered with muslin cloth at a density of 1 larva/mL, within the range used to optimize rearing of Ae. aegypti (0.6–2.8 larvae/mL) [73,74,75]. The pans were checked daily at the same hour of the day. Debris was removed using plastic pipettes, and water lost through evaporation was replaced to maintain constant levels. Four to six replicates were performed. All stages of larvae were subsequently fed daily with finely ground Tetramin® fish food until pupation, with an increasing feeding regime for each stage per day consisting of 0.06 to 0.12 mg per larva in L1-L2, 0.24 mg in L3, and 0.48 mg in L4, following the strategy described by Araújo et al. [76]. All cohort individuals were sexed after emergence (passing through pupae to adult, male or female) and introduced into rearing cages (20 cm × 20 cm × 20 cm). Adults were provided with a 10% sterile sugar solution dispensed through a sterile cotton ball in a petri dish. Starting seven days after emergence, every week females were fed after 18 h of starvation with human O-positive blood through a piece of desalted porcine intestine used as a membrane for 60 min using water-jacketed glass feeders with a circulating system that maintained the blood at 37 °C. After each feeding, the engorged females were counted. Seventy-two hours after blood feeding, females were provided with an oviposition container (7.5 cm in diameter and 9 cm in height) with filter paper as substrate and 100 mL of water. They were allowed to oviposit for 72 h. The number of eggs laid per female during four gonotrophic cycles (GCs) was counted under a dissecting microscope. Gonotrophic cycle (GC) duration was determined as the time elapsed from blood feeding to oviposition [77]. The mortality of males and females was recorded daily until the death of all mosquitoes.
2.3. Effects of Temperature on Immature Stage Mortality
Because we observed changes in mortality and life expectancy associated with the pupal and egg stages in the Bello and Neiva populations, respectively, we wanted to know if this observation could be explained by temperature, which is one of the most critical variables that can modify these biological features in insect populations [47,78]. Thus, we submerged a cohort of 100 eggs at 21 ± 1 °C, 28 ± 1 °C and 35 ± 1 °C in controlled rearing conditions, as described above. The mortality of eggs, larvae (L1-L2, L3, L4), and pupae were registered daily. Four to six replicates were performed.
2.4. Biological Features and Statistical Analysis
Development periods, survivorship and mortality for eggs, larvae (L1-L2, L3, L4), and pupae were reported daily. The egg hatch rate was calculated by dividing the number of L1-L2 by the number of eggs at the beginning (cohort of 100 eggs per replicate) [56,79]. The development time for immature stages is shown as eclosion (egg), L1-L2 to L3, L3 to L4, and L4 to pupae. The time to pupation is the mean development time from L4 to pupae. The pupation rate was calculated by dividing the number of pupae by the number of eggs [80,81].
For adults, time of emergence (period during which the pupa matures into an adult), emergence rate (calculated by dividing the number of emerging adults by the initial number of eggs) [80], longevity, survivorship curves, and fecundity were also registered.
Both longevity and survival are related to mortality but reflect two completely different aspects. The mean longevity of a population indicates the average age that an individual can reach at death [82], while survival evaluates the average longevity of a population based on the number of individuals that have survived at different ages. Age-specific survivorship () represents the proportion of individuals alive at a certain age from the starting number; see Equation (1). The survival curve graphs the values of as a function of age [83].
Fecundity was estimated based on the average number of eggs laid per female [21,40]. The sex ratio was determined by dividing the number of adult females by the number of adult males [42].
Various attributes of a horizontal life table were calculated applying the following equations [22,42,77,83,84,85,86]:
where is the number of survivors registered at the beginning of the age interval (), and 0 is the starting number of mosquitoes in the population.
The proportion of individuals who die during the age interval () to (), defined as () is calculated as:
where is the proportion of surviving organisms registered at the beginning of the following age interval.
Age-specific mortality rate (), calculated as follows:
Killing power (), is calculated as:
where is defined as the number of survivors registered at the beginning of the following age interval.
The average of the probability of survival between two successive ages () is recorded as:
The total number of days remaining to live for survivors of the cohort (), when it reaches age until the last member dies at age , is estimated as:
where “” represents the maximum age reached
Life expectancy () is defined as the mean number of days remaining to the survivors at age :
Descriptive statistics were performed for all variables. To obtain multiple comparisons of the groups, an analysis of variance (One-way ANOVA) was conducted, and a Bonferroni post-hoc test (p < 0.05) was used to determine whether groups were significantly different. Additionally, a Student’s t-test was used (p < 0.05). These analyses were carried out using IBM SPSS Statistics Software (version 25.0 for Windows, SPSS Statistics Software, Armonk, NY, USA, IBM Corporation).
Adult survivorship was analyzed using the Kaplan–Meier survival analysis, and survivorship curves were generated. The Log-rank (Mantel–Cox) test was performed to compare the survival curves and establish statistically significant differences between mosquito populations. There were different levels of comparison between the populations and the Rockefeller control strain: overall pooled, overall strata (by sex: males and females) and pairwise strata were analyzed. All these analyses were performed using GraphPad Prism Software (version 5.1 for Windows, GraphPad Software, La Jolla, CA, USA, www.graphpad.com) and IBM SPSS Statistics Software (version 25.0 for Windows, SPSS Statistics Software, Armonk, NY, USA, IBM Corporation).
3. Results
3.1. Differences in Immature Stage Development Times, Egg Hatching, Pupation, and Emergence Rates in Ae. aegypti Populations
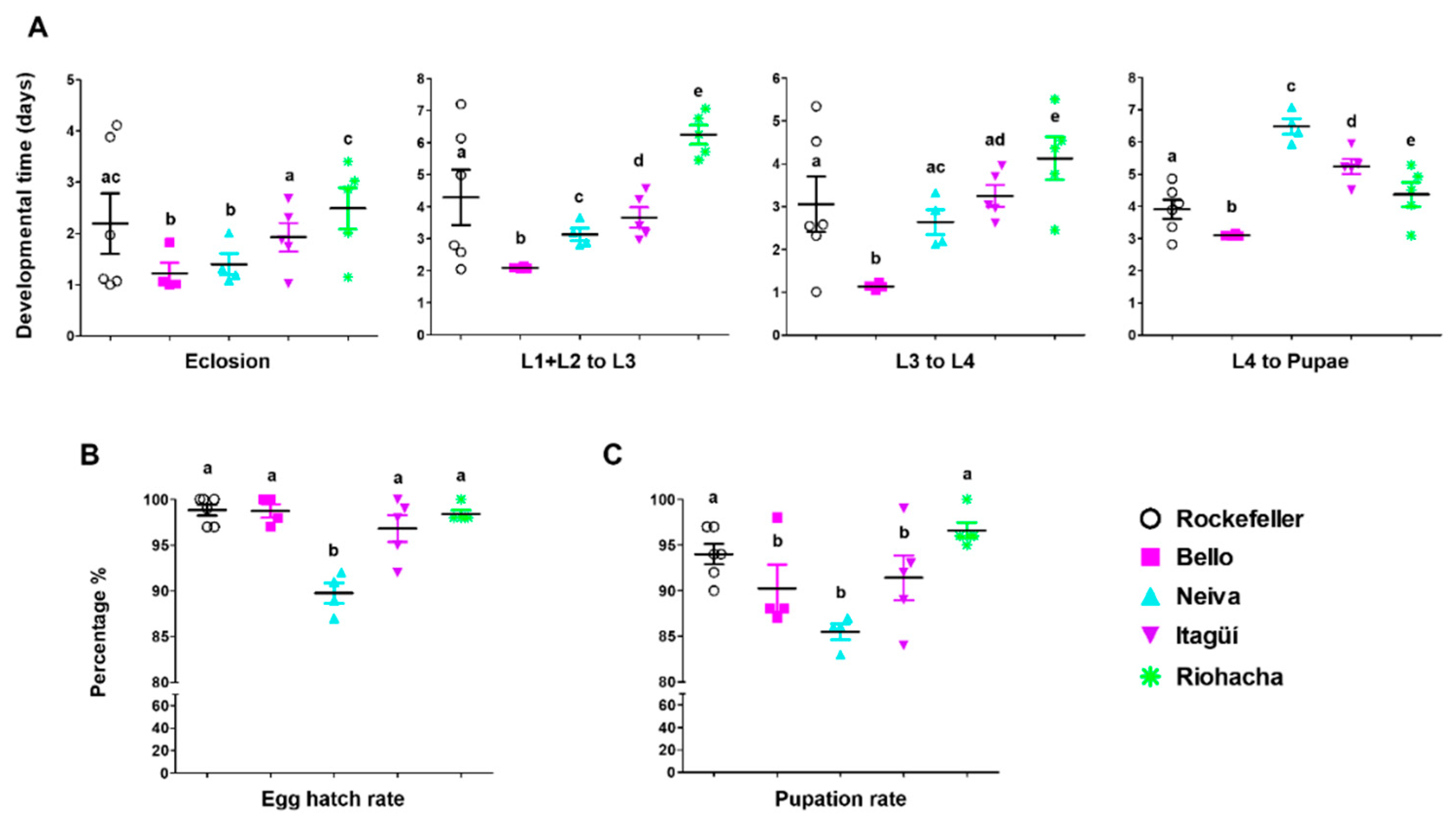
The mean hatching period was 1.22 ± 0.61, 1.39 ± 1.49, 1.93 ± 1.81, 2.49 ± 3.3, and 2.19 ± 2.33 days for Bello, Neiva, Itagüí, Riohacha, and Rockefeller, respectively (Figure 2A and Table S1). The eclosion times between Ae. aegypti populations from Bello and Neiva were not statistically different, but both were significantly shorter than those from Itagüí and Riohacha (p < 0.05) (Figure 2A and Table S1). In addition, these last two mosquito populations were different (p < 0.05) (Figure 2A and Table S1).
Figure 2.
(A) Developmental time (days) of each immature instar, (B) egg hatch rate and (C) pupation rate of Colombian Ae. aegypti populations reared at 28 ± 1 °C temperature, 80 ± 5% relative humidity, and 12 h light: 12 h dark photoperiod. The mean and standard error of the mean were plotted. Each point represents a replicate from a cohort of 100 eggs. The total number of replicates were: Bello and Neiva (4); Itagüí and Riohacha (5), and control Rockefeller (6). L: larvae. The time to pupation is the mean development time from L4 to pupae. One-way analysis of variance (ANOVA) was conducted, followed by a Bonferroni post-hoc test to account for multiple comparisons between Ae. aegypti populations and the control (Rockefeller). Populations sharing the same letters are not significantly different (p > 0.05).
The egg hatching rate for Neiva (89.75 ± 2.22) was significantly lower than for the other Ae. aegypti populations (Figure 2B).
The development time to reach L3 from L1 + L2 was different for each population (p < 0.05) (Figure 2A and Table S1). The populations with the lowest and highest development times to reach this immature instar were Bello and Riohacha, respectively (Figure 2A and Table S1).
There were statistically significant differences between all populations in the days necessary to pass from L3 to L4 (p < 0.05) (Figure 2A and Table S1). The shortest time was recorded for Bello and the highest for Riohacha (Figure 2A and Table S1).
Overall, the total larval development time was significantly different among all studied populations (p < 0.05), with the lowest for Bello (3.17 ± 1.03 days) and the longest for Riohacha (10.40 ± 6.03 days) (Table S1).
The time to pupation was different between all mosquito populations, including the control Rockefeller (p < 0.05) (Figure 2A and Table S1). In this stage, Neiva took significantly longer than Bello, Riohacha, and Itagüí (Figure 2A and Table S1). The pupation rate from the initial number of eggs was considerably lower in mosquitoes from Neiva (85.50 ± 1.73) compared to those from Riohacha and Rockefeller (p < 0.05) (Figure 2C).
The male and female emergence times for mosquitos from Bello were significantly shorter than those from other populations (p < 0.05) (Figure 3A and Table S1). Furthermore, Neiva males took a substantially higher time to reach adulthood than Bello and Itagüí, but not Riohacha (p < 0.05) (Figure 3A and Table S1). This same population had significantly higher times for emergence of female adults than all others (p < 0.05) (Figure 3A and Table S1). Additionally, for Bello, Neiva, Itagüí, and Rockefeller, within each population, males took significantly fewer days to emerge than females (these differences are not marked in Figure 3A). In contrast, for Riohacha, males and females needed similar times (Table S1). The latter population had a significantly higher emergence rate than the others (Figure 3B).
Figure 3.
(A) Emergence time (days to develop from pupae to adult male or female) and (B) emergence rate of Colombian Ae. aegypti populations reared at 28 ± 1 °C temperature, 80 ± 5% relative humidity, and 12 h light: 12 h dark photoperiod. The mean and standard error of the mean were plotted. Each point represents a replicate from a cohort of 100 eggs. The total number of replicates were: Bello and Neiva (4); Itagüí and Riohacha (5), and control Rockefeller (6). A one-way analysis of variance (ANOVA) was conducted, followed by a Bonferroni post-hoc test to account for multiple comparisons between Ae. aegypti populations. Populations sharing the same letters are not significantly different (p > 0.05).
3.2. Life Table Attributes of Immature Stages in Ae. aegypti Populations
The horizontal life table of immature stages is shown in Table S2. The highest mortality, represented by qx and kx, occurred in eggs, in which Neiva mosquitoes had a significant difference with the populations from Bello, Itagüí, Riohacha, and Rockefeller (Figure 4A,B and Table S2). The other significant difference in qx occurred in pupae between Bello and the control (Figure 4A and Table S2). The mortality found in these stages is consistent with the low life expectancy (ex) observed in eggs and pupae in the same two populations (Figure 4C and Table S2). Life expectancy gradually decreased throughout development for all populations of Ae. aegypti (Figure 4C and Table S2). Although Bello had a significantly lower life expectancy than other populations in the larval stages, this was not mainly reflected in the corresponding mortality (Figure 4A–C and Table S2).
Figure 4.
(A) Age-specific mortality rate (qx), (B) killing power (kx), and (C) age-specific life expectancy (ex) of Colombian Ae. aegypti populations reared at 28 ± 1 °C temperature, 80 ± 5% relative humidity, and 12 h light: 12 h dark photoperiod. Mean and standard deviation (SD) are shown. The total number of replicates were: Bello and Neiva (4); Itagüí and Riohacha (5), and Rockefeller control (6). Each replicate started from a cohort of 100 eggs. One-way analysis of variance (ANOVA) was conducted (* p < 0.05). A Bonferroni post-hoc test to account for multiple comparisons between populations of Ae. aegypti is presented in Table S2.
3.3. Sex Ratio, Longevity, and Survivorship of Adult Ae. aegypti Populations
The life table attributes of adult populations obtained in this study are shown in Tables S4 and S5. There were no statistically significant differences between the sex ratios of any of the populations (Table S3) but significant differences in longevity of females and males were observed in all of them (p < 0.05) (Table S6). Riohacha had the most extended longevity in both genders, and Bello had the shortest (Table S6). Likewise, the female adult longevity of all populations was significantly more extended than that of males (* p < 0.05) (Table S6).
The survival for males was significantly shorter than for females when analyzing overall pooled populations Chi-square (Χ2): 1073.63 df: 4 (p < 0.05). In males, Riohacha had the most prolonged survival and Bello the shortest. Bello’s male survival curve showed a rapid decrease on day 11, while Riohacha’s showed a gradual decline until day 58, and the curve dropped on day 73 (Figure 5A). Bello had the shortest survivorship curve in females, which decreased rapidly on day 15. In contrast, Riohacha had a more stable survival curve, which descended gradually on day 71 and then fell on day 85 (Figure 5B). Table S7 shows the significantly different values of the survival curves when pairwise strata (sex) comparison is made between the populations using a Log-rank (Mantel–Cox) test.
Figure 5.
Percentage of survival for (A) males and (B) females of Colombian Ae. aegypti populations reared at 28 ± 1 °C temperature, 80 ± 5% relative humidity, and 12 h light: 12 h dark photoperiod. Kaplan–Meier plots were generated in GraphPad Prism. The mean and standard error (SE) are shown. The total number of replicates were: Bello and Neiva (4); Itagüí and Riohacha (5), and Rockefeller control (6). Each replicate started from a cohort of 100 eggs. Statistical differences were calculated by Log-rank (Mantel–Cox) test. Males: Chi square (Χ2): 499.9 df: 4 (p < 0.05). Females: Χ2: 620.0 df: 4 (p < 0.05). The dotted line represents the day at median survival for each population.
The life expectancy of adult Ae. aegypti females was higher than males and gradually decreased for both sexes with increasing age (Tables S4 and S5).
3.4. Fecundity Profile of Ae. aegypti Populations
The fecundity of the first four female gonotrophic cycles (GCs) displayed significant differences among the populations studied, showing a specific profile for each one (Figure 6). This variability in fecundity between populations occurred during the GCs, even though females had the same age. The number of eggs laid by mosquitoes from Neiva was low and remained constant throughout the four GCs, with 20.05 to 23.30 eggs per female. This resulted in significant differences to at least one population in each GC (Figure 6). Bello had a range of eggs per female between 30.57 and 51.73. Its fecundity was significantly higher than the other populations in the first GC; the number of eggs per female remained high in the second and third GCs with no significant differences to Itagüí and Riohacha and dropped in the fourth (Figure 6). Itagüí had GCs alternating between low and high fecundity, with a range of 17.10 to 44.84 eggs per female (Figure 6). For Riohacha, the first GC was low, like Neiva and Itagüí, but from the second to fourth GCs, the fecundity was stable, and the mean eggs laid per female were ≥42.21 (Figure 6).
Figure 6.
Fecundity per gonotrophic cycle of Colombian Ae. aegypti populations reared at 28 ± 1 °C temperature, 80 ± 5% relative humidity, and 12 h light: 12 h dark photoperiod. The mean and standard error of the mean were plotted. Each point represents a replicate that started from a cohort of 100 eggs. The total number of replicates were: Bello and Neiva (4); Itagüí and Riohacha (5), and control Rockefeller (6). One-way analysis of variance (ANOVA) was conducted, followed by a Bonferroni post-hoc test to account for multiple comparisons between Ae. aegypti populations. Populations sharing the same letters are not significantly different (p > 0.05).
3.5. Effect of Temperature on Immature Stage Development Times, Egg Hatching, Pupation, and Emergence Rates for Bello and Neiva
To assess the effect of temperature on immature stages of mosquito development, we reared Ae. aegypti from Bello, Neiva, and the control Rockefeller at 21, 28, and 35 °C. For Bello, we found that the times for eclosion and development from L1 + L2 to L3 and L3 to L4 were significantly shorter at 28 °C than at 35 °C and 21 °C and that these times were significantly longer at 35 °C than at 21 °C (Figure 7A–C and Table S8). For Neiva and Rockefeller, we also found these times considerably shorter at 28 °C. At 35 °C, mosquitoes from Neiva had longer times substantially only in eclosion and L1 + L2 to L3, while no significant differences were observed in L3 to L4 compared with 21 °C (Figure 7A–C and Table S8).
Figure 7.
Developmental time (days) of each immature instar of two Colombian Ae. aegypti populations reared at 21 ± 1 °C, 28 ± 1 °C and 35 ± 1 °C temperatures, 80 ± 5% relative humidity, and 12 h light: 12 h dark photoperiod. (A) Eclosion, (B) L1 + L2 to L3, (C) L3 to L4, and (D) L4 to Pupae. The mean and standard error of the mean were plotted. Each point represents a replicate that started from a cohort of 100 eggs in each. The total number of replicates were: Bello and Neiva 28 ± 1 °C (4); control Rockefeller 28 ± 1 °C (6); Bello, Neiva and control Rockefeller 21 ± 1 °C and 35 ± 1 °C (5). L: larvae. The time to pupation is the mean development time from L4 to pupae. One-way analysis of variance (ANOVA) was conducted, followed by a Bonferroni post-hoc test to account for multiple comparisons between Ae. aegypti populations at the same temperature by age. Populations sharing the same letters are not significantly different (p > 0.05).
As for pupation time (L4 to pupae), we found significant differences for Bello and Rockefeller in the three temperatures evaluated, with 28 °C showing the shortest pupation time, followed by 35 °C and 21 °C. Meanwhile, Neiva showed no differences between 28 °C and the other temperatures and only had a significantly longer time at 21 °C in relation to 35 °C (Figure 7D and Table S8).
The hatching and pupation rates for Bello, Neiva, and Rockefeller showed similar patterns. Within the same population, both features were higher at 21 °C and 28 °C, without significant differences, while the lowest rates were observed at 35 °C. This effect was more significant in the Neiva population (Figure 8 and Table S9).
Figure 8.
(A) Egg hatch rate and (B) pupation rate of two Colombian Ae. aegypti populations reared at 21 ± 1 °C, 28 ± 1 °C and 35 ± 1 °C temperatures, 80 ± 5% relative humidity, and 12 h light: 12 h dark photoperiod. The mean and standard error of the mean were plotted. Each point represents a replicate that started from a cohort of 100 eggs. The total number of replicates were: Bello and Neiva 28 ± 1 °C (4); control Rockefeller 28 ± 1 °C (6); Bello, Neiva and control Rockefeller 21 ± 1 °C and 35 ± 1 °C (5). One-way analysis of variance (ANOVA) was conducted, followed by a Bonferroni post-hoc test to account for multiple comparisons between Ae. aegypti populations at the same temperature. Populations sharing the same letters are not significantly different (p > 0.05).
Male and female emergence times for Bello and Rockefeller were significantly lower at 28 °C than at 21 °C and 35 °C. Meanwhile, for Neiva, there were no differences between the temperatures evaluated (Figure 9A,B and Table S8). For all populations, the emergence rate was not different between 21 °C and 28 °C, but was significantly lower at 35 °C, with Neiva showing a pronounced drop (Figure 9C and Table S9).
Figure 9.
Emergence time, days to develop from pupae to male (A) or female (B) and emergence rate (C) of two Colombian Ae. aegypti populations reared at 21 ± 1 °C, 28 ± 1 °C and 35 ± 1 °C temperatures, 80 ± 5% relative humidity, and 12 h light: 12 h dark photoperiod. The mean and standard error of the mean were plotted. Each point represents a replicate that started from a cohort of 100 eggs. The total number of replicates were: Bello and Neiva 28 ± 1 °C (4); control Rockefeller 28 ± 1 °C (6); Bello, Neiva and control Rockefeller 21 ± 1 °C and 35 ± 1 °C (5). One-way analysis of variance (ANOVA) was conducted, followed by a Bonferroni post-hoc test to account for multiple comparisons between Ae. aegypti populations at the same temperature. Populations sharing the same letters are not significantly different (p > 0.05).
3.6. Effect of Temperature on Mortality in Immature Stages from Bello and Neiva
The horizontal life tables of the immature stages for Bello and Neiva reared at 21, 28, and 35 °C are shown in Tables S2, S10 and S11. Temperature significantly altered the mosquito mortality rate (qx) of egg and L1 + L2 stages (Figure 10 and Table S12). At 35 °C, these stages had a significantly higher mortality rate than at 28 °C and 21 °C for Bello, Neiva, and Rockefeller (Figure 10A–C and Table S12). Previously, we observed that at 28 °C, mortality was associated with the egg stage in Neiva (Figure 4A). However, when we increased the temperature to 35 °C, we observed that the mortality rate at the egg stage for Neiva had a significant increase up to 0.83 on average, more than double that of the other populations. This indicates that the most vulnerable stage for Neiva is affected by temperature increases (Figure 10B and Table S12). We also observed at 28 °C that mortality rate was associated with the pupae stage in Bello (Figure 4A). However, for this case, the increment in temperature to 35 °C did not affect the mortality significantly (Figure 10A and Table S12). Additionally, at 35 °C, life expectancy (ex) was lower in the stages with higher mortality rates in all populations (Table S12).
Figure 10.
Age-specific mortality rate (qx) at 21, 28, and 35 °C, 80 ± 5% relative humidity, and 12 h light: 12 h dark photoperiod. (A) Bello, (B) Neiva and (C) Rockefeller. Mean and standard deviation (SD) are shown. One-way analysis of variance (ANOVA) was conducted (* p < 0.05). A Bonferroni post-hoc test to account for multiple comparisons between temperatures for qx within the same population and developmental stage is presented in Table S12.
4. Discussion
Egg and early stages of insect development are the most vulnerable to biotic and abiotic factors in the field, and they show high mortality rates [18,83]. In this study, egg development times ranged from 1.22 to 2.49 days, with the populations from Bello and Neiva being the fastest to hatch (Table 1). In addition, high mortality was associated with the egg stage in Neiva, and as a result, its hatching rate was significantly lower (Table 1). A plethora of studies from different geographic regions carried out under conditions similar to ours reveals variability in egg parameters. In Brazil, Ae. aegypti populations from different bioclimatic regions differed significantly in the duration of embryonic development and egg viability, with means ranging between 3.8 and 4.4 days and 58% to 84%, respectively [38]. In an Ae. aegypti population from Peru, egg development of one day on average was reported with a qx range between zero and 0.08, while a population from Saudi Arabia had an egg development of 5.3 days and a hatching rate of 72% [22,77]. In other species such as Culex quinquefasciatus, populations from different climatic regions of India had significant differences in egg hatching period (range 1.7–2.4 days), hatching rate (range 80.5–95.6%), and mortality rate (range of 4.4–19.5%) [42]. These studies show that egg development and mortality can vary according to geographical origin.
Table 1.
Summary of the results from four populations reared at 28 ± 1 °C temperature, 80 ± 5% relative humidity, and 12 h light: 12 h dark photoperiod. For each trait, only populations with extreme values that are significantly different are shown.
Regarding fecundity, the population from Neiva had the least number of eggs oviposited per female throughout the four gonotrophic cycles (Table 1). Mosquitoes from Bello showed a fecundity curve, highest in the second and third gonotrophic cycles. Moreover, mosquitoes from Itagüí were characterized by the alternation of low and high fecundity cycles, while Riohacha′s fecundity was high and stable from the second gonotrophic cycle onwards. We used type O human blood as a food source, which has been shown to have an essential effect on fecundity [87,88]. The number of eggs per female is more significant when they are fed human blood [88], and type O blood has the best digestibility and is preferred by Ae. aegypti females [89,90]. Our work contributes for the first time that Ae. aegypti Colombian populations from different geographical origins fed with O-positive human blood present a characteristic pattern in fecundity. Another aspect to consider is the possibility that populations meet and cross in nature [91], which could impact their fecundity. Thus, future trials will be conducted by crossing the vigor control strain Rockefeller with Neiva to verify if this could have an impact on egg fecundity and mortality.
Larval and pupal development times were also different between the Ae. aegypti populations studied (Table 1). Larvae from Neiva, Itagüí, and Riohacha had prolonged development in relation to Bello, while time to pupation was longer for Riohacha, Itagüí, and Neiva, in ascending order. Mortality at the larval stage was low in all populations. Bello had significantly higher mortality than the control at the pupae stage (Table 1). Similar differences have been reported in Ae. aegypti populations from different geographic regions of Brazil, with a larval development time of 6.3–8.3 days with a viability of 92–100%, and a pupation time of 2–2.5 days with a viability of 63–94.5% [38]. Additionally, in Cx. quinquefasciatus there were differences in larval and pupal development and mortality among populations of different climatic sources [42]. Our finding of prolonged times in both larvae and pupae development in three populations is not rare since, for example, larval development times in populations of Ae. aegypti with ranges from 9.15 to 10.89 days have been reported, similar to what we found for Riohacha [37]. These long development times may represent a disadvantage since larvae and pupae are exposed longer to predators and other factors that can eliminate them and, therefore, may influence the behavior of these populations in the field [92,93,94].
The survival in mosquitoes from Bello was the shortest both in males and females, while Riohacha was the longest-lived population. Female survival was shortest in Bello, followed by Neiva, Itagüí, and Riohacha. The longevity times we observed were longer than those reported for Ae. aegypti strains from other geographical regions, such as those from Argentina (males: 7.3–8.8 days; females: 11.5–58 days), Saudi Arabia (males: 9.59 days; females 17.14 days), and Brazil (males: 14.22 to 32.06 days; females: 13.81–30.08 days) [41,52,77,95]. Our results indicate that there are factors that negatively affect the survival of mosquitoes from Bello, Neiva and Itagüí. The composition of the gut microbiota may be one of these factors, as we have previously described specific patterns for these populations [96]. For the Neiva population, insecticide resistance is another factor that may be involved in this phenomenon [96]. Conversely, the Riohacha population showed higher survival, especially in males, indicating adaptation to this region’s hot climate [97]. Further studies should analyze this population’s fitness in order to discern which factors are most important for mosquito survival.
Prolonged longevity in females may represent a risk factor for dengue virus spread [95] because transmission will only happen if the mosquito lives longer than the viral extrinsic incubation period [98,99,100]. Furthermore, longevity can influence fecundity, as it is expected that during a female’s lifespan they will be able to complete at least two gonotrophic cycles [95,101,102,103]. In our study, the population with the lowest longevity (Bello, with 39.9 days) had a fall in fecundity in the fourth gonotrophic cycle. Fecundity tends to decrease in females close to their decline in life [101,102]. During long lifespans, oviposition patterns may show several peaks as we saw in the populations from Riohacha and Itagui. Fecundity peaks during a female’s lifespan have been reported in Aedes spp. and other arthropods, indicating that both longevity and fecundity are important in mosquito population dynamics [101,104,105,106,107].
Several of our findings may be partly explained by differences in the microbiota [96], as bacteria associated with mosquitoes can influence development in several ways. For example, bacteria present in breeding sites and the metabolites they produce are essential for Ae. aegypti egg hatching [108,109] and eggs infected with Wolbachia show delayed embryo development, delayed eggshell formation, and a diminished egg hatch rate [110,111,112]. It has also been determined that gut-associated bacteria are necessary for egg production in Ae. aegypti and Ae. atropalpus [113] and that Anopheles coluzzii infected with Chromobacterium violaceum lays significantly less eggs [114]. Although Ae. aegypti larvae can develop in axenic (bacteria free) conditions, the time to pupation is longer and pupal development is stunted compared with populations reared in the presence of all bacterial communities or a single microorganism, suggesting that bacteria′s main role is nutritional [115]. Furthermore, Ae. aegypti has plasticity to adapt to the microorganisms present in the diet, which in turn affects mosquito development. For example, when Asaia and Escherichia coli were used as diet, time to pupation decreased and larvae had a high survival span [116]. Additionally, the data obtained in this study provides relevant information for the release of Ae. aegypti populations infected with Wolbachia, especially in Bello and Itagüí, where such a vector control program is now running [117].
Our previous works have established that the Neiva and Riohacha populations have a lambda-cyhalothrin resistant phenotype associated to knock-down resistance (kdr) mutations in the voltage-gated sodium channel gene [13,96,118]. Meanwhile, the Bello and Itagüí populations have a very low frequency for the mutant alleles and are susceptible to lambda-cyhalothrin [13,96,118]. The insecticide resistance status of each population is a factor that may influence the life cycle parameters analyzed in this study. For example, field and laboratory Ae. aegypti populations resistant to pyrethroids show a decreased egg hatching rate and resistance to desiccation under continuous insecticide exposure or even in the absence of insecticide pressure [59,119,120]. This effect is more evident when the time in contact with the insecticides is longer and increases through generations [59,120]. Furthermore, prolonged larval development times have been reported in Ae. aegypti populations that carry the V1016G/S989P genotype and show high resistance to lambda-cyhalothrin and low-level resistance to deltamethrin [121], as well as in organophosphate-resistant Ae. aegypti populations [122]. In agreement with these findings, we found that the Neiva population, which has the highest allelic frequency rate for kdr mutations, has high mortality at the egg stage, low hatching rate and prolonged larval development and pupation times. The phenotypic and genotypic variability associated with insecticide resistance in Colombian Ae. aegypti populations [118] may be generating this wide spectrum of biological characteristics; future studies will be required to support this.
Temperature has been described as one of the main extrinsic factors that influences Ae. aegypti life cycle parameters [47,78] because it plays a fundamental role not only in the biology of the vector, such as its development time and population density [47,52,123,124], but also in geographical dispersion [78,125] and arboviral transmission [97,126,127]. In Aedes aegypti, it has been described that the optimal development rates lie between 22 to 32 °C, with high mortality rates at the extremes (18 °C and 34 °C) [39,41]. The variability between mosquito populations concerning temperature is complex since the mosquito can have plasticity in the way it adapts to environmental conditions [128]. We found that 28 °C was the optimal temperature for all parameters evaluated (Table 2), although the egg hatching rate was significantly decreased for Neiva at this temperature (Table 1). Our results indicate that temperature affected our populations, raising mortality in specific developmental stages (Table 2). For the Neiva population, we identified a pattern associated with the egg stage as more vulnerable (Table 2). In that sense, mosquitoes from this locality may have an innate trace in their biological characteristics, making some stages more vulnerable to extrinsic factors such as temperature.
Table 2.
Summary of the results from two populations reared at 21 ± 1 °C, 28 ± 1 °C and 35 ± 1 °C temperatures, 80 ± 5% relative humidity, and 12 h light: 12 h dark photoperiod. For each trait, only populations with extreme values that are significantly different are shown.
Several other studies have provided evidence that temperature can affect the life cycle of specific Ae. aegypti populations. For example, in Brazil, a significant interaction was observed between population origin and temperature effects on Ae. aegypti immature development times, as it was longer at 16 °C to 22 °C and decreased at higher temperatures (28 °C to 36 °C), in contrast to what was observed in our work at 35 °C [52]. Another study with an Ae. aegypti population from Paraná, Brazil, showed that the egg hatching rate can be close to 50% at temperatures of 5 °C and 25 °C, verifying that the mosquito can have adaptations at the local level, tolerating low temperatures [129]. Furthermore, in an Ae. aegypti population from Trinidad, West Indies, it was seen that the egg hatching rate was low (1.6%) at 35 °C, improved to 57% at 27 °C, and reached 98% at 25 °C [54]. In a similar fashion, Farnesi et al. studied the egg hatching rate between 16 and 36 °C and found the highest rates between 22 and 28 °C (range 93.3% to 96%), a lower rate at 35 °C (48.5%), and no hatching at 36 °C [123], comparable to this work. The above indicates that temperature and geographical origin interact to influence Ae. aegypti development time, mortality, and hatching rate.
5. Conclusions
Finally, another aspect to be considered is recent reporting of an Aedes albopictus increase in Colombia, since this species is an important competitor of Ae. aegypti [130]. Likewise, the release of mosquitoes infected with Wolbachia could be affecting the life tables of these mosquitoes. In conclusion, the data contained here is a contribution to fundamental knowledge that local vector control entities can consider for improving strategies by determining specific times for larvicide and adulticide application and Ae. aegypti monitoring.
Supplementary Materials
The following supporting information can be downloaded at: https://www.mdpi.com/article/10.3390/insects13060536/s1, Table S1: Life cycle (days) from egg to adult (male and female) of Colombian Ae. aegypti from different regions reared at 28 ± 1 °C temperature, 80 ± 5% relative humidity, and 12 h light: 12 h dark photoperiod. Table S2: Age specific life table of 100 cohort eggs in each Ae. aegypti population. Mosquitoes were reared at 28 ± 1 °C temperature, 80 ± 5% relative humidity, and 12 h light: 12 h dark photoperiod. Table S3: Sex frequency and ratio in Ae. aegypti populations reared at 28 ± 1 °C temperature, 80 ± 5% relative humidity, and 12 h light: 12 h dark photoperiod. Table S4: Male life tables of Ae. aegypti populations. Mosquitoes were reared at 28 ± 1 °C temperature, 80 ± 5% relative humidity, and 12 h light: 12 h dark photoperiod. Table S5: Female life tables of Ae. aegypti populations. Mosquitoes were reared at 28 ± 1 °C temperature, 80 ± 5% relative humidity, and 12 h light: 12 h dark photoperiod. Table S6: Adult longevity for both sexes in Ae. aegypti populations reared at 28 ± 1 °C temperature, 80 ± 5% relative humidity, and 12 h light: 12 h dark photoperiod. Table S7: Pairwise strata comparisons between populations by sex was performed using the Log-rank (Mantel–Cox) test. Males and females of each Ae. aegypti population and the control Rockefeller were reared at 28 ± 1 °C temperature, 80 ± 5% relative humidity, and 12 h light: 12 h dark photoperiod. Table S8: Life cycle (days) from egg to adult (male and female) of Colombian Ae. aegypti from two regions, reared at 21 ± 1 °C, 28 ± 1 °C and 35 ± 1 °C temperatures (Temp), 80 ± 5% relative humidity, and 12 h light: 12 h dark photoperiod. Table S9: Egg hatch rate; pupation rate and emergence rate of two Colombian Ae. aegypti populations reared at 21 ± 1 °C, 28 ± 1 °C and 35 ± 1 °C temperatures, 80 ± 5% relative humidity, and 12 h light: 12 h dark photoperiod. Table S10: Age specific life table of 100 cohort eggs in each Ae. aegypti population. Mosquitoes were reared at 21 ± 1 °C temperature, 80 ± 5% relative humidity, and 12 h light: 12 h dark photoperiod. Table S11: Age specific life table of 100 cohort eggs in each Ae. aegypti population. Mosquitoes were reared at 35 ± 1 °C temperature, 80 ± 5% relative humidity, and 12 h light: 12 h dark photoperiod. Table S12: Age-specific mortality rate (qx) and life expectancy (ex) of 100 eggs for each Ae. aegypti population. Mosquitoes were reared at 21 ± 1 °C, 28 ± 1 °C and 35 ± 1 °C temperatures, 80 ± 5% relative humidity, and 12 h light: 12 h dark photoperiod.
Author Contributions
Conceptualization: A.A.-C. and O.T.-C.; Methodology: A.A.-C., Y.G., D.T. and O.T.-C.; Software: A.A.-C.; Validation: O.T.-C.; Formal analysis: A.A.-C.; Investigation: A.A.-C. and O.T.-C.; Resources: O.T.-C.; Data curation: A.A.-C., Y.G. and D.T.; Writing—original draft: A.A.-C. and O.T.-C.; Writing—review and editing: A.A.-C. and O.T.-C.; Visualization: O.T.-C.; Supervision: O.T.-C.; Project administration: O.T.-C.; Funding acquisition: O.T.-C. All authors have read and agreed to the published version of the manuscript.
Funding
This work was supported by Universidad de Antioquia, UdeA; COLCIENCIAS (Project: “Sistema de alerta temprana para dengue en Riohacha, Neiva, Bello e Itagüí, como herramienta para la toma de decisiones en pro de la prevención y el control”. Number of Grant: 1115-569-33540).
Institutional Review Board Statement
Not applicable.
Informed Consent Statement
Not applicable.
Data Availability Statement
The data presented in this study are available on request from the corresponding author. The data are not publicly available due to institutional privacy guidelines.
Acknowledgments
The authors would like to thank the staff (area managers and field technicians) involved in vector-borne disease programs from each municipality for mosquito collection and Ana Isabel Gutierrez Gallo for technical support in the BCEI laboratory.
Conflicts of Interest
The authors declare no conflict of interest.
References
- Simmons, C.P.; Farrar, J.J.; van Vinh Chau, N.; Wills, B. Dengue. N. Engl. J. Med. 2012, 366, 1423–1432. [Google Scholar] [CrossRef]
- Jansen, C.C.; Beebe, N.W. The dengue vector Aedes aegypti: What comes next. Microbes Infect. 2010, 12, 272–279. [Google Scholar] [CrossRef] [PubMed]
- Chouin-Carneiro, T.; Vega-Rua, A.; Vazeille, M.; Yebakima, A.; Girod, R.; Goindin, D.; Dupont-Rouzeyrol, M.; Lourenco-de-Oliveira, R.; Failloux, A.B. Differential susceptibilities of Aedes aegypti and Aedes albopictus from the Americas to Zika virus. PLoS Negl. Trop. Dis. 2016, 10, e0004543. [Google Scholar] [CrossRef] [PubMed]
- Liu, Z.; Zhou, T.; Lai, Z.; Zhang, Z.; Jia, Z.; Zhou, G.; Williams, T.; Xu, J.; Gu, J.; Zhou, X.; et al. Competence of Aedes aegypti, Ae. albopictus, and Culex quinquefasciatus mosquitoes as Zika virus vectors, China. Emerg. Infect. Dis. 2017, 23, 1085. [Google Scholar] [CrossRef] [PubMed]
- Wahid, B.; Ali, A.; Rafique, S.; Idrees, M. Global expansion of chikungunya virus: Mapping the 64-year history. Int. J. Infect. Dis. 2017, 58, 69–76. [Google Scholar] [CrossRef]
- Burt, F.J.; Rolph, M.S.; Rulli, N.E.; Mahalingam, S.; Heise, M.T. Chikungunya: A re-emerging virus. Lancet 2012, 379, 662–671. [Google Scholar] [CrossRef]
- Bhatt, S.; Gething, P.W.; Brady, O.J.; Messina, J.P.; Farlow, A.W.; Moyes, C.L.; Drake, J.M.; Brownstein, J.S.; Hoen, A.G.; Sankoh, O.; et al. The global distribution and burden of dengue. Nature 2013, 496, 504–507. [Google Scholar] [CrossRef] [PubMed]
- PAHO/WHO. Epidemiological Update: Dengue; Pan American Health Organization: Washington, DC, USA, 7 February 2020; pp. 1–21. [Google Scholar]
- PAHO/WHO. Epidemiological Update: Dengue and other Arboviruses; Pan American Health Organization: Washington, DC, USA, 10 June 2020; pp. 1–15. [Google Scholar]
- Boeuf, P.; Drummer, H.; Richards, J.S.; Scoullar, M.; Beeson, J.G. The global threat of Zika virus to pregnancy: Epidemiology, clinical perspectives, mechanisms, and impact. BMC Med. 2016, 14, 112. [Google Scholar] [CrossRef] [PubMed]
- Instituto Nacional de Salud. Boletín Epidemiológico Semanal (BES). Semana Epidemiológica Número 10 de 2016. BES-Sivigila. 2016. Available online: https://www.ins.gov.co/buscador-eventos/Paginas/Vista-Boletin-Epidemilogico.aspx (accessed on 15 April 2022).
- Instituto Nacional de Salud. Boletín Epidemiológico Semanal (BES). Semana Epidemiológica Número 52 de 2016. BES-Sivigila. 2016. Available online: https://www.ins.gov.co/buscador-eventos/Paginas/Vista-Boletin-Epidemilogico.aspx (accessed on 15 April 2022).
- Granada, Y.; Mejía-Jaramillo, A.M.; Strode, C.; Triana-Chavez, O. A Point Mutation V419L in the Sodium Channel Gene from Natural Populations of Aedes aegypti Is Involved in Resistance to λ-Cyhalothrin in Colombia. Insects 2018, 9, 23. [Google Scholar] [CrossRef]
- Serrano, R.M.; Gomez-Camargo, D.; Ponce-Garcia, G.; Flores, A.E. Susceptibility to insecticides and resistance mechanisms in Aedes aegypti from the Colombian Caribbean Region. Pestic. Biochem. Physiol. 2014, 116, 63–73. [Google Scholar] [CrossRef] [PubMed]
- Aponte, A.; Penilla, R.P.; Rodríguez, A.D.; Ocampo, C.B. Mechanisms of pyrethroid resistance in Aedes (Stegomyia) aegypti from Colombia. Acta Trop. 2018, 191, 146–154. [Google Scholar] [CrossRef] [PubMed]
- Alvarez, L.C.; Ponce, G.; Saavedra-Rodriguez, K.; Lopez, B.; Flores, A.E. Frequency of V1016I and F1534C mutations in the voltage-gated sodium channel gene in Aedes aegypti in Venezuela. Pest Manag. Sci. 2015, 71, 863–869. [Google Scholar] [CrossRef]
- Linss, J.G.B.; Brito, L.P.; Garcia, G.A.; Araki, A.S.; Bruno, R.V.; Lima, J.B.P.; Valle, D.; Martins, A.J. Distribution and dissemination of the Val1016Ile and Phe1534Cys Kdr mutations in Aedes aegypti Brazilian natural populations. Parasites Vectors 2014, 7, 25. [Google Scholar] [CrossRef]
- Ahsan, M.T.; Ahmad, I.; Shoaib, M. Horizontal and vertical life tables and survivorship curves of cotton leafhopper Amrasca devastans (Distant) (Homoptera: Cicadellidae) and the distribution of mortality with age. Int. J. Biol. Res. 2014, 2, 97–100. [Google Scholar]
- Wang, X.; Zhou, G.; Zhong, D.; Wang, Y.; Yang, Z.; Cui, L.; Yan, G.; Wang, X. Life-table studies revealed significant effects of deforestation on the development and survivorship of Anopheles minimus larvae. Parasites Vectors 2016, 9, 323. [Google Scholar] [CrossRef]
- Okogun, G.R.A. Life-table analysis of Anopheles malaria vectors: Generational mortality as tool in mosquito vector abundance and control studies. J. Vector Borne Dis. 2005, 42, 45–53. [Google Scholar]
- Olayemi, I.K.; Ande, A.T. Life table analysis of Anopheles gambiae (diptera: Culicidae) in relation to malaria transmission. J. Vector Borne Dis. 2009, 46, 295–298. [Google Scholar] [PubMed]
- Quispe, E.; Carbajal, A.; Gozzer, J.; Moreno, B. Ciclo biológico y Tabla de Vida de Aedes aegypti, en laboratorio: Trujillo (Perú), 2014. Rev. Rebiolest 2015, 3, 91–101. [Google Scholar]
- Löwenberg Neto, P.; Navarro-Silva, M.A. Development, longevity, gonotrophic cycle and oviposition of Aedes albopictus Skuse (Diptera: Culicidae) under cyclic temperatures. Neotrop. Entomol. 2004, 33, 29–33. [Google Scholar] [CrossRef]
- De Majo, M.S.; Montini, P.; Fischer, S. Egg Hatching and Survival of Immature Stages of Aedes aegypti (Diptera: Culicidae) Under Natural Temperature Conditions During the Cold Season in Buenos Aires, Argentina. J. Med. Entomol. 2016, 54, 106–113. [Google Scholar] [CrossRef] [PubMed]
- Chubachi, R. An Analysis of the Generation-Mean Life Table of the Mosquito, Culex tritaeniorhynchus summorosus, with Particular Reference to Population Regulation. J. Anim. Ecol. 1979, 48, 681. [Google Scholar] [CrossRef]
- Abouzied, E.M. Life Table Analysis of Culex pipiens Under Simulated Weather Conditions In Egypt. J. Am. Mosq. Control Assoc. 2017, 33, 16–24. [Google Scholar] [CrossRef] [PubMed]
- Arévalo, A.; Carranza, J.C.; Guhl, F.; Clavijo, J.A.; Vallejo, G.A. Comparación del ciclo de vida de Rhodnius colombiensis Moreno, Jurberg & Galvão, 1999 y Rhodnius prolixus Stal, 1872 (Hemiptera, Reduviidae, Triatominae) en condiciones de laboratorio. Biomédica 1999, 27, 119–129. [Google Scholar]
- Villacís, A.G.; Arcos-Terán, L.; Grijalva, M.J. Life cycle, feeding and defecation patterns of Rhodnius ecuadoriensis (Lent & León 1958) (Hemiptera: Reduviidae: Triatominae) under laboratory conditions. Mem. Do Inst. Oswaldo Cruz 2008, 103, 690–695. [Google Scholar]
- Williams, B.G.; Dransfield, R.D.; Brightwell, R. Tsetse fly (Diptera: Glossinidae) population dynamics and the estimation of mortality rates from life-table data. Bull. Èntomol. Res. 1990, 80, 479–485. [Google Scholar] [CrossRef]
- Hargrove, J.; Vale, G. Models for the rates of pupal development, fat consumption and mortality in tsetse (Glossina spp.). Bull. Èntomol. Res. 2019, 110, 44–56. [Google Scholar] [CrossRef]
- Ferro, C.; Cárdenas, E.; Corredor, D.; Morales, A.; Munstermann, L.E. Life Cycle and Fecundity Analysis of Lutzomyia shannoni (Dyar) (Diptera: Psychodidae). Mem. Do Inst. Oswaldo Cruz 1998, 93, 195–199. [Google Scholar] [CrossRef]
- Escovar, J.; Bello, F.J.; Morales, A.; Moncada, L.; Cárdenas, E. Life tables and reproductive parameters of Lutzomyia spinicrassa (Diptera: Psychodidae) under laboratory conditions. Mem. Do Inst. Oswaldo Cruz 2004, 99, 603–607. [Google Scholar] [CrossRef][Green Version]
- Legros, M.; Otero, M.; Aznar, V.R.; Solari, H.; Gould, F.; Lloyd, A.L. Comparison of two detailed models of Aedes aegypti population dynamics. Ecosphere 2016, 7, e01515. [Google Scholar] [CrossRef]
- Healy, K.B.; Dugas, E.; Fonseca, D.M. Development of a Degree-Day Model to Predict Egg Hatch of Aedes albopictus. J. Am. Mosq. Control Assoc. 2019, 35, 249–257. [Google Scholar] [CrossRef]
- Christiansen-Jucht, C.; Erguler, K.; Shek, C.Y.; Basáñez, M.-G.; Parham, P.E. Modelling Anopheles gambiae s.s. Population Dynamics with Temperature- and Age-Dependent Survival. Int. J. Environ. Res. Public Health 2015, 12, 5975–6005. [Google Scholar] [CrossRef]
- Jorge, M.R.; de Souza, A.P.; dos Passos, R.A.; Martelli, S.M.; Rech, C.R.; Barufatti, A.; do Amaral Crispim, B.; dos Santos Nascimento, H.; de Arruda, E.J. The Yellow Fever Mosquito Aedes aegypti (Linnaeus): The Breeding Sites. In Life Cycle and Development of Diptera; Sarwar, M., Ed.; IntechOpen: London, UK, 2020; Available online: https://www.intechopen.com/books/life-cycle-and-development-of-diptera/the-yellow-fever-mosquito-em-aedes-aegypti-em-linnaeus-the-breeding-sites (accessed on 21 October 2020).
- Castro, F.P.D., Jr.; Martins, W.F.; Lucena Filho, M.L.D.; Almeida, R.P.D.; Beserra, E.B. Ciclos de vida comparados de Aedes aegypti (Diptera, Culicidae) do semiárido da Paraíba. Iheringia Série Zool. 2013, 103, 118–123. [Google Scholar] [CrossRef]
- Beserra, E.B.; Castro, F.P.D., Jr. Biologia comparada de populações de Aedes (Stegomyia) aegypti (L.) (Diptera: Culicidae) da Paraíba. Neotrop. Entomol. 2018, 37, 81–85. [Google Scholar] [CrossRef]
- Beserra, E.B.; Castro, F.P.D., Jr.; Santos, J.W.D.; Santos, T.D.S.; Fernandes, C.R. Biologia e exigências térmicas de Aedes aegypti (L.)(Diptera: Culicidae) provenientes de quatro regiões bioclimáticas da Paraíba. Neotrop. Entomol. 2006, 35, 853–860. [Google Scholar] [CrossRef]
- Beserra, E.B.; Fernandes, C.R.M.; Ribeiro, P.S. Relação entre densidade larval e ciclo de vida, tamanho e fecundidade de Aedes (Stegomyia) aegypti (L.) (Diptera: Culicidae) em laboratório. Neotropical Èntomol. 2009, 38, 847–852. [Google Scholar] [CrossRef]
- Beserra, E.B.; Fernandes, C.R.; Silva, S.A.D.O.; Silva, L.A.D.; Santos, J.W.D. Efeitos da temperatura no ciclo de vida, exigências térmicas e estimativas do número de gerações anuais de Aedes aegypti (Diptera, Culicidae). Iheringia Série Zool. 2009, 99, 142–148. [Google Scholar] [CrossRef]
- Suman, D.S.; Tikar, S.N.; Mendki, M.J.; Sukumaran, D.; Agrawal, O.P.; Parashar, B.D.; Prakash, S. Variations in life tables of geographically isolated strains of the mosquito Culex quinquefasciatus. Med. Veter. Èntomol. 2011, 25, 276–288. [Google Scholar] [CrossRef]
- Paduan, K.D.S.; Araújo-Júnior, J.P.; Ribolla, P.E. Genetic variability in geographical populations of Aedes aegypti (Diptera, Culicidae) in Brazil elucidated by molecular markers. Genet. Mol. Biol. 2006, 29, 391–395. [Google Scholar] [CrossRef][Green Version]
- Jaimes-Dueñez, J.; Arboleda, S.; Triana-Chávez, O.; Gómez-Palacio, A. Spatio-Temporal Distribution of Aedes aegypti (Diptera: Culicidae) Mitochondrial Lineages in Cities with Distinct Dengue Incidence Rates Suggests Complex Population Dynamics of the Dengue Vector in Colombia. PLoS Negl. Trop. Dis. 2015, 9, e0003553. [Google Scholar] [CrossRef]
- Atencia, M.C.; Pérez, M.D.J.; Caldera, S.M.; Jaramillo, M.C.; Bejarano, E.E. Variabilidad genética de Aedes aegypti en el departamento de Sucre, Colombia, mediante el análisis de la secuencia de nucleótidos del gen mitocondrial ND4. Biomédica 2018, 38, 267–276. [Google Scholar] [CrossRef]
- Mitchell-Foster, K.; Ma, B.; Warsame-Ali, S.; Logan, C.; Rau, M.E.; Lowenberger, C. The influence of larval density, food stress, and parasitism on the bionomics of the dengue vector Aedes aegypti (Diptera: Culicidae): Implications for integrated vector management. J. Vector Ecol. 2012, 37, 221–229. [Google Scholar] [CrossRef]
- Couret, J.; Dotson, E.; Benedict, M.Q. Temperature, larval diet, and density effects on development rate and survival of Aedes aegypti (Diptera: Culicidae). PLoS ONE 2014, 9, e87468. [Google Scholar]
- Dickson, L.B.; Jiolle, D.; Minard, G.; Moltini-Conclois, I.; Volant, S.; Ghozlane, A.; Bouchier, C.; Ayala, D.; Paupy, C.; Moro, C.V.; et al. Carryover effects of larval exposure to different environmental bacteria drive adult trait variation in a mosquito vector. Sci. Adv. 2017, 3, e1700585. [Google Scholar] [CrossRef]
- Coon, K.L.; Vogel, K.J.; Brown, M.R.; Strand, M.R. Mosquitoes rely on their gut microbiota for development. Mol. Ecol. 2014, 23, 2727–2739. [Google Scholar] [CrossRef]
- Coon, K.L.; Brown, M.R.; Strand, M.R. Mosquitoes host communities of bacteria that are essential for development but vary greatly between local habitats. Mol. Ecol. 2016, 25, 5806–5826. [Google Scholar] [CrossRef]
- Travanty, N.V.; Apperson, C.S.; Ponnusamy, L. A Diverse Microbial Community Supports Larval Development and Survivorship of the Asian Tiger Mosquito (Diptera: Culicidae). J. Med. Èntomol. 2019, 56, 632–640. [Google Scholar] [CrossRef]
- Marinho, R.A.; Beserra, E.B.; Bezerra-Gusmão, M.A.; Porto, V.D.S.; Olinda, R.A.; Dos Santos, C.A. Effects of temperature on the life cycle, expansion, and dispersion of Aedes aegypti (Diptera: Culicidae) in three cities in Paraiba, Brazil. J. Vector Ecol. 2016, 41, 1–10. [Google Scholar] [CrossRef]
- Christiansen-Jucht, C.D.; Parham, P.E.; Saddler, A.; Koella, J.C.; Basañez, M.-G. Larval and adult environmental temperatures influence the adult reproductive traits of Anopheles gambiae s.s. Parasites Vectors 2015, 8, 456. [Google Scholar] [CrossRef]
- Mohammed, A.; Chadee, D.D. Effects of different temperature regimens on the development of Aedes aegypti (L.) (Diptera: Culicidae) mosquitoes. Acta Trop. 2011, 119, 38–43. [Google Scholar] [CrossRef]
- Clark, T.M.; Flis, B.J.; Remold, S.K. pH tolerances and regulatory abilities of freshwater and euryhaline Aedine mosquito larvae. J. Exp. Biol. 2004, 207, 2297–2304. [Google Scholar] [CrossRef]
- Owiti, Y.J.; Misire, C. Effect of temperature and pH on egg viability and pupation of Anopheles arabiensis Patton (Diptera: Culicidae): Prospect for optimizing colony reproduction procedures. Jordan J. Biol. Sci. 2017, 10, 7–12. [Google Scholar]
- Oliver, S.V.; Brooke, B.D. The effect of elevated temperatures on the life history and insecticide resistance phenotype of the major malaria vector Anopheles arabiensis (Diptera: Culicidae). Malar. J. 2017, 16, 73. [Google Scholar] [CrossRef]
- Msangi, G.; Olotu, M.I.; Mahande, A.M.; Philbert, A.; Kweka, E.J.; Dash, A.P. The Impact of Insecticide Pre-Exposure on Longevity, Feeding Succession, and Egg Batch Size of Wild Anopheles gambiae s.l. J. Trop. Med. 2020, 2020, 1–8. [Google Scholar] [CrossRef]
- Martins, A.J.; Ribeiro, C.D.E.M.; Bellinato, D.F.; Peixoto, A.A.; Valle, D.; Lima, J.B.P. Effect of insecticide resistance on development, longevity and reproduction of field or laboratory selected Aedes aegypti populations. PLoS ONE 2012, 7, e31889. [Google Scholar]
- Belinato, T.A.; Martins, A.J.; Valle, D. Fitness evaluation of two Brazilian Aedes aegypti field populations with distinct levels of resistance to the organophosphate temephos. Mem. Do Inst. Oswaldo Cruz 2012, 107, 916–922. [Google Scholar] [CrossRef][Green Version]
- Owusu, H.F.; Chitnis, N.; Müller, P. Insecticide susceptibility of Anopheles mosquitoes changes in response to variations in the larval environment. Sci. Rep. 2017, 7, 3667. [Google Scholar] [CrossRef]
- Zeller, M.; Koella, J.C. Effects of food variability on growth and reproduction of Aedes aegypti. Ecol. Evol. 2016, 6, 552–559. [Google Scholar] [CrossRef]
- IDEAM. Atlas Climatológico de Colombia. Instituto de Hidrología, Meteorología y Estudios Ambientales. Gobierno de Colombia. 2010. Available online: http://atlas.ideam.gov.co/visorAtlasClimatologico.html (accessed on 29 October 2021).
- Benítez-Díaz, L.; Diaz-Quijano, F.A.; Martínez-Vega, R.A. Experiencia y percepción del riesgo asociados a conocimientos, actitudes y prácticas sobre dengue en Riohacha, Colombia. Ciência Saúde Coletiva 2020, 25, 1137–1146. [Google Scholar] [CrossRef]
- Gobernación de Antioquia. Climatología Registrada en Algunas Estaciones de Hidrología, Meteorología y Estudio Ambiental en Algunos Municipios de Antioquia, Por Meses. Medio Ambiente. Hidrometeorología. Anuario estadístico de Antioquia. 2016. Available online: http://www.antioquiadatos.gov.co/index.php/2-2-3-climatologia-registrada-en-algunas-estaciones-de-hidrologia-meteorologia-y-estudio-ambiental-en-algunos-municipios-de-antioquia-por-meses-2016 (accessed on 21 November 2021).
- Secretaría Seccional de Salud de Antioquia. Eventos de Interés en Salud Pública por Subregiones y Municipios. Secretaría Seccional de Salud y Proteción Social de Antioquia. Gobernación de Antioquia. 2019. Available online: https://www.dssa.gov.co/index.php/estadisticas/eventos-en-salud-publica/item/1304-eventos-de-interes-en-salud-publica-antioquia-2019 (accessed on 21 November 2021).
- Secretaría de Salud de Neiva. Boletín Epidemiológico de Dengue; Semanas Epidemiológicas No. 1 a la 52 de 2019; Alcaldía de Neiva; Secretaría de Salud Municipa; Equipo de Vigilancia Epidemiológica Municipal: Cidra, PR, USA, 31 December 2019.
- Kuno, G. Early history of laboratory breeding of Aedes aegypti (Diptera: Culicidae) focusing on the origins and use of selected strains. J. Med. Èntomol. 2010, 47, 957–971. [Google Scholar] [CrossRef]
- Alvarado, W.A.; Agudelo, S.O.; Velez, I.D.; Vivero, R.J. Description of the ovarian microbiota of Aedes aegypti (L) Rockefeller strain. Acta Trop. 2020, 214, 105765. [Google Scholar] [CrossRef]
- Brito, L.P.; Linss, J.G.B.; Lima-Camara, T.N.; Belinato, T.A.; Peixoto, A.A.; Lima, J.B.P.; Valle, D.; Martins, A.J. Assessing the Effects of Aedes aegypti kdr Mutations on Pyrethroid Resistance and Its Fitness Cost. PLoS ONE 2013, 8, e60878. [Google Scholar] [CrossRef] [PubMed]
- Rueda, L.M. Pictorial keys for the identification of mosquitoes (Diptera: Culicidae) associated with Dengue Virus Transmission. Zootaxa 2004, 589, 1–60. [Google Scholar] [CrossRef]
- Christophers, S.R. Aedes aegypti (L.) the Yellow Fever Mosquito: Its Life History, Bionomics and Structure; Cambridge University Press: Cambridge, UK, 1960. [Google Scholar]
- Bargielowski, I.; Nimmo, D.; Alphey, L.; Koella, J.C. Comparison of Life History Characteristics of the Genetically Modified OX513A Line and a Wild Type Strain of Aedes aegypti. PLoS ONE 2011, 6, e20699. [Google Scholar] [CrossRef]
- Zapletal, J.; Erraguntla, M.; Adelman, Z.N.; Myles, K.M.; Lawley, M.A. Impacts of diurnal temperature and larval density on aquatic development of Aedes aegypti. PLoS ONE 2018, 13, e0194025. [Google Scholar] [CrossRef]
- Bond, J.G.; Ramírez-Osorio, A.; Marina, C.F.; Fernández, C.F.M.; Liedo, P.; Dor, A.; Williams, T. Efficiency of two larval diets for mass-rearing of the mosquito Aedes aegypti. PLoS ONE 2017, 12, e0187420. [Google Scholar] [CrossRef]
- Araujo, M.D.S.; Gil, L.H.S. Larval food quantity affects development time, survival and adult biological traits that influence the vectorial capacity of Anopheles darlingi under laboratory conditions. Malar. J. 2012, 11, 261. [Google Scholar] [CrossRef]
- Sowilem, M.M.; A Kamal, H.; Khater, E.I. Life table characteristics of Aedes aegypti (Diptera:Culicidae) from Saudi Arabia. Trop. Biomed. 2013, 30, 301–314. [Google Scholar]
- Reinhold, J.; Lazzari, C.; Lahondère, C. Effects of the Environmental Temperature on Aedes aegypti and Aedes albopictus Mosquitoes: A Review. Insects 2018, 9, 158. [Google Scholar] [CrossRef]
- Mazigo, E.; Kidima, W.; Myamba, J.; Kweka, E.J. The impact of Anopheles gambiae egg storage for mass rearing and production success. Malar. J. 2019, 18, 52. [Google Scholar] [CrossRef]
- Soma, D.D.; Maïga, H.; Mamai, W.; Bimbile-Somda, N.S.; Venter, N.; Ali, A.B.; Yamada, H.; Diabaté, A.; Fournet, F.; Ouédraogo, G.A.; et al. Does mosquito mass-rearing produce an inferior mosquito? Malar. J. 2017, 16, 357. [Google Scholar] [CrossRef]
- Yang, D.; He, Y.; Ni, W.; Lai, Q.; Yang, Y.; Xie, J.; Zhu, T.; Zhou, G.; Zheng, X. Semi-field life-table studies of Aedes albopictus (Diptera: Culicidae) in Guangzhou, China. PLoS ONE 2020, 15, e0229829. [Google Scholar] [CrossRef] [PubMed]
- Sylvestre, G.; Gandini, M.; Maciel-De-Freitas, R. Age-Dependent Effects of Oral Infection with Dengue Virus on Aedes aegypti (Diptera: Culicidae) Feeding Behavior, Survival, Oviposition Success and Fecundity. PLoS ONE 2013, 8, e59933. [Google Scholar] [CrossRef] [PubMed]
- Rabinovich, J. Introducción a La Ecología de Poblaciones Animales, 2nd ed.; Jorge, E., Ed.; Continental S.A.: San Luis Potosi, México, 1980; p. 313. [Google Scholar]
- Begon, M.; Townsend, C.R.; Harper, J.L. Ecology: From Individuals to Ecosystems, 4th ed.; Blackwell Publisher: Malden, MA, USA, 2006; p. 738. [Google Scholar]
- Keyfitz, N.; Caswell, H. (Eds.) The Life Table. En: Applied Mathematical Demography; Springer: New York, NY, USA, 2005; pp. 29–47. [Google Scholar] [CrossRef]
- Reisen, W.K.; Mahmood, F. Horizontal Life Table Characteristics of the Malaria Vectors Anopheles Culicifacies and Anopheles Stephensi (Diptera: Culicidae)1. J. Med Èntomol. 1980, 17, 211–217. [Google Scholar] [CrossRef]
- Richards, S.L.; Anderson, S.L.; Yost, S.A. Effects of blood meal source on the reproduction of Culex pipiens quinquefasciatus (Diptera: Culicidae). J. Vector Ecol. 2012, 37, 1–7. [Google Scholar] [CrossRef]
- Phasomkusolsil, S.; Tawong, J.; Monkanna, N.; Pantuwatana, K.; Damdangdee, N.; Khongtak, W.; Kertmanee, Y.; Evans, B.P.; Schuster, A.L. Maintenance of mosquito vectors: Effects of blood source on feeding, survival, fecundity, and egg hatching rates. J. Vector Ecol. 2013, 38, 38–45. [Google Scholar] [CrossRef] [PubMed]
- Prasadini, M.; Dayananda, D.; Fernando, S.; Harischandra, I.; De Silva, N. Blood Feeding Preference of Female Aedes aegypti Mosquitoes for Human Blood Group Types and Its Impact on Their Fecundity: Implications for Vector Control. Am. J. Èntomol. 2019, 3, 43. [Google Scholar] [CrossRef]
- Khan, S.A.; Ombugadu, A.; Ahmad, S. Host-seeking behavior and fecundity of the female Aedes aegypti to human blood types. Pest Manag. Sci. 2021, 78, 321–328. [Google Scholar] [CrossRef]
- Crawford, J.; Alves, J.; Palmer, W.J.; Day, J.P.; Sylla, M.; Ramasamy, R.; Surendran, S.N.; Iv, W.C.B.; Pain, A.; Jiggins, F.M. Population genomics reveals that an anthropophilic population of Aedes aegypti mosquitoes in West Africa recently gave rise to American and Asian populations of this major disease vector. BMC Biol. 2017, 15, 16. [Google Scholar] [CrossRef]
- Ayala-Sulca, Y.O.; Colos-Galindo, P.; Portal-Quicaña, E.; Ibarra-Juárez, L.; Cóndor-Alarcón, R.; Carrasco-Badajoz, C.; Ramírez, R. Respuesta biológica cuantitativa de dos depredadores (Heteroptera: Notonectidae) en el control larval de Aedes aegypti (Diptera: Culicidae). Rev. Colomb. De Entomol. 2021, 47, e10535. [Google Scholar] [CrossRef]
- Weterings, R.; Umponstira, C.; Buckley, H.L. Landscape variation influences trophic cascades in dengue vector food webs. Sci. Adv. 2018, 4, eaap9534. [Google Scholar] [CrossRef]
- Roux, O.; Vantaux, A.; Roche, B.; Yameogo, K.B.; Dabiré, K.R.; Diabaté, A.; Simard, F.; Lefèvre, T. Evidence for carry-over effects of predator exposure on pathogen transmission potential. Proc. R. Soc. B Biol. Sci. 2015, 282, 20152430. [Google Scholar] [CrossRef] [PubMed]
- Tejerina, E.F.; Almeida, F.F.L.; Almirón, W.R. Bionomics of Aedes aegypti subpopulations (Diptera: Culicidae) from Misiones Province, northeastern Argentina. Acta Trop. 2009, 109, 45–49. [Google Scholar] [CrossRef]
- Arévalo-Cortés, A.; Mejia-Jaramillo, A.M.; Granada, Y.; Coatsworth, H.; Lowenberger, C.; Triana-Chavez, O. The Midgut Microbiota of Colombian Aedes aegypti Populations with Different Levels of Resistance to the Insecticide Lambda-cyhalothrin. Insects 2020, 11, 584. [Google Scholar] [CrossRef] [PubMed]
- Peña-García, V.H.; Triana-Chávez, O.; Arboleda-Sánchez, S. Estimating Effects of Temperature on Dengue Transmission in Colombian Cities. Ann. Glob. Health 2017, 83, 509. [Google Scholar] [CrossRef]
- Brady, O.J.; Golding, N.; Pigott, D.M.; Kraemer, M.U.G.; Messina, J.P.; Reiner, R.C.; Scott, T.W.; Smith, D.L.; Gething, P.W.; Hay, S.I. Global temperature constraints on Aedes aegypti and Ae. albopictus persistence and competence for dengue virus transmission. Parasit Vectors 2014, 7, 338. [Google Scholar] [CrossRef]
- Mayton, E.H.; Tramonte, A.R.; Wearing, H.J.; Christofferson, R.C. Age-structured vectorial capacity reveals timing, not magnitude of within-mosquito dynamics is critical for arbovirus fitness assessment. Parasites Vectors 2020, 13, 310. [Google Scholar] [CrossRef]
- Dye, C. Vectorial capacity: Must we measure all its components? Parasitol. Today 1986, 2, 203–209. [Google Scholar] [CrossRef]
- Chadee, D.D.; Martinez, R.; Sutherland, J.M. Aedes aegypti (L.) mosquitoes in Trinidad, West Indies: Longevity case studies. J. Vector Ecol. 2017, 42, 130–135. [Google Scholar] [CrossRef][Green Version]
- Maciel-De-Freitas, R.; Koella, J.; Lourenço-De-Oliveira, R. Lower survival rate, longevity and fecundity of Aedes aegypti (Diptera: Culicidae) females orally challenged with dengue virus serotype 2. Trans. R. Soc. Trop. Med. Hyg. 2011, 105, 452–458. [Google Scholar] [CrossRef]
- Goindin, D.; Delannay, C.; Ramdini, C.; Gustave, J.; Fouque, F. Parity and Longevity of Aedes aegypti According to Temperatures in Controlled Conditions and Consequences on Dengue Transmission Risks. PLoS ONE 2015, 10, e0135489. [Google Scholar] [CrossRef]
- Sun, W.; Cui, M.; Xia, L.; Yu, Q.; Cao, Y.; Wu, Y. Age-Stage, Two-Sex Life Tables of the Predatory Mite Cheyletus Malaccensis Oudemans at Different Temperatures. Insects 2020, 11, 181. [Google Scholar] [CrossRef] [PubMed]
- Herrero, M.I.; Dami, L.C.; Fogliata, S.V.; Casmuz, A.S.; Gómez, D.R.S.; Gastaminza, G.A.; Murúa, M.G. Fertility Life Table, Population Parameters and Biotic Potential of Helicoverpa gelotopoeon (Dyar) (Lepidoptera: Noctuidae). An. Da Acad. Bras. De Ciências 2018, 90, 3831–3838. [Google Scholar] [CrossRef] [PubMed]
- Supriya, G.; Singh, T.; Sunitha, V.; Vinod, S. Age-specific life table, fecundity table, life parameters, stable age distribution and life expectancy of Spodoptera litura (F.) on cotton hybrids during 90–120 DAS. J. Entomol. Zool. Stud. 2018, 6, 477–486. [Google Scholar]
- Maimusa, H.A.; Ahmad, A.H.; Kassim, N.F.A.; Rahim, J. Age-Stage, Two-Sex Life Table Characteristics of Aedes albopictus and Aedes aegypti in Penang Island, Malaysia. J. Am. Mosq. Control. Assoc. 2016, 32, 1–11. [Google Scholar] [CrossRef]
- Ponnusamy, L.; Böröczky, K.; Wesson, D.M.; Schal, C.; Apperson, C.S. Bacteria Stimulate Hatching of Yellow Fever Mosquito Eggs. PLoS ONE 2011, 6, e24409. [Google Scholar] [CrossRef]
- Mosquera, K.D.; Martinez Villegas, L.E.; Pidot, S.J.; Sharif, C.; Klimpel, S.; Stinear, T.P.; Moreira, L.A.; Tobias, N.J.; Lorenzo, M.G. Multi-Omic Analysis of Symbiotic Bacteria Associated With Aedes aegypti Breeding Sites. Front. Microbiol. 2021, 12, 703711. [Google Scholar] [CrossRef]
- Farnesi, L.C.; Belinato, T.A.; Gesto, J.S.M.; Martins, A.J.; Bruno, R.V.; Moreira, L.A. Embryonic development and egg viability of w Mel-infected Aedes aegypti. Parasites Vectors 2019, 12, 211. [Google Scholar] [CrossRef]
- McMeniman, C.J.; O’Neill, S.L. A Virulent Wolbachia Infection Decreases the Viability of the Dengue Vector Aedes aegypti during Periods of Embryonic Quiescence. PLoS Negl. Trop. Dis. 2010, 4, e748. [Google Scholar] [CrossRef]
- Yeap, H.L.; Mee, P.; Walker, T.; Weeks, A.R.; O’Neill, S.L.; Johnson, P.; Ritchie, S.A.; Richardson, K.M.; Doig, C.; Endersby, N.M.; et al. Dynamics of the “popcorn” Wolbachia infection in outbred Aedes aegypti informs prospects for mosquito vector control. Genetics 2011, 187, 583–595. [Google Scholar] [CrossRef]
- Coon, K.L.; Brown, M.R.; Strand, M.R. Gut bacteria differentially affect egg production in the anautogenous mosquito Aedes aegypti and facultatively autogenous mosquito Aedes atropalpus (Diptera: Culicidae). Parasites Vectors 2016, 9, 375. [Google Scholar] [CrossRef]
- Gnambani, E.J.; Bilgo, E.; Sanou, A.; Dabiré, R.K.; Diabaté, A. Infection of highly insecticide-resistant malaria vector Anopheles coluzzii with entomopathogenic bacteria Chromobacterium violaceum reduces its survival, blood feeding propensity and fecundity. Malar. J. 2020, 19, 352. [Google Scholar] [CrossRef] [PubMed]
- Correa, M.A.; Matusovsky, B.; Brackney, D.E.; Steven, B. Generation of axenic Aedes aegypti demonstrate live bacteria are not required for mosquito development. Nat. Commun. 2018, 9, 4464. [Google Scholar] [CrossRef] [PubMed]
- Souza, R.S.; Virginio, F.; Riback, T.I.S.; Suesdek, L.; Barufi, J.B.; Genta, F.A. Microorganism-based larval diets affect mosquito development, size and nutritional reserves in the yellow fever mosquito Aedes aegypti (Diptera: Culicidae). Front. Physiol. 2019, 10, 152. [Google Scholar] [CrossRef]
- Velez, I.D.; Santacruz, E.; Kutcher, S.C.; Duque, S.L.; Uribe, A.; Barajas, J.; Gonzalez, S.; Patino, A.C.; Zuluaga, L.; Martínez, L.; et al. The impact of city-wide deployment of Wolbachia-carrying mosquitoes on arboviral disease incidence in Medellín and Bello, Colombia: Study protocol for an interrupted time-series analysis and a test-negative design study. F1000Research 2019, 8, 1327. [Google Scholar] [CrossRef]
- Granada, Y.; Mejía-Jaramillo, A.M.; Zuluaga, S.; Triana-Chávez, O. Molecular surveillance of resistance to pyrethroids insecticides in Colombian Aedes aegypti populations. PLoS Negl. Trop. Dis. 2021, 15, e0010001. [Google Scholar] [CrossRef]
- Saingamsook, J.; Yanola, J.; Lumjuan, N.; Walton, C.; Somboon, P. Investigation of Relative Development and Reproductivity Fitness Cost in Three Insecticide-Resistant Strains of Aedes aegypti from Thailand. Insects 2019, 10, 265. [Google Scholar] [CrossRef]
- Kumar, S.; Thomas, A.; Samuel, T.; Sahgal, A.; Verma, A.; Pillai, M.K.K. Diminished reproductive fitness associated with the deltamethrin resistance in an Indian strain of dengue vector mosquito, Aedes aegypti L. Trop. Biomed. 2009, 26, 155–164. [Google Scholar]
- Rigby, L.M.; Rašić, G.; Peatey, C.L.; Hugo, L.E.; Beebe, N.W.; Devine, G.J. Identifying the fitness costs of a pyrethroid-resistant genotype in the major arboviral vector Aedes aegypti. Parasites Vectors 2020, 13, 358. [Google Scholar] [CrossRef]
- Diniz, M.M.C.; Henriques, A.D.D.S.; Leandro, R.D.S.; Aguiar, D.L.; Beserra, E.B. Resistance of Aedes aegypti to temephos and adaptive disadvantages. Rev. De Saude Publica 2014, 48, 775–782. [Google Scholar] [CrossRef]
- Farnesi, L.C.; Martins, A.; Valle, D.; Rezende, G.L. Embryonic development of Aedes aegypti (Diptera: Culicidae): Influence of different constant temperatures. Mem. Do Inst. Oswaldo Cruz 2009, 104, 124–126. [Google Scholar] [CrossRef]
- Carrington, L.B.; Armijos, M.V.; Lambrechts, L.; Barker, C.; Scott, T.W. Effects of Fluctuating Daily Temperatures at Critical Thermal Extremes on Aedes aegypti Life-History Traits. PLoS ONE 2013, 8, e58824. [Google Scholar] [CrossRef] [PubMed]
- Kraemer, M.U.; Sinka, M.E.; Duda, K.A.; Mylne, A.Q.; Shearer, F.M.; Barker, C.M.; Hay, S.I. The global distribution of the arbovirus vectors Aedes aegypti and Ae. albopictus. eLife 2015, 4, e08347. [Google Scholar] [CrossRef] [PubMed]
- Lafferty, K.D. The ecology of climate change and infectious diseases. Ecology 2009, 90, 888–900. [Google Scholar] [CrossRef] [PubMed]
- Carrington, L.B.; Seifert, S.; Armijos, M.V.; Lambrechts, L.; Scott, T.W. Reduction of Aedes aegypti Vector Competence for Dengue Virus under Large Temperature Fluctuations. Am. J. Trop. Med. Hyg. 2013, 88, 689–697. [Google Scholar] [CrossRef] [PubMed]
- Vitek, C.J.; Livdahl, T. Hatch plasticity in response to varied inundation frequency in Aedes albopictus. J. Med. Èntomol. 2009, 46, 766–771. [Google Scholar] [CrossRef] [PubMed]
- do Amaral, E.O.; da Silva, A.F.; da Silva, W.R.; da Silva, K.R.; Roque, R.A.; Tadei, W.P.; Zequi, J.A.C. Post-Embryonic Development of Aedes (Stegomyia) aegypti Linnaeus, 1762 at Different Temperatures and CO2 Concentrations, and Their Influences on Hatching and Development of Stabilized Population. In Life Cycle and Development of Diptera; Sarwar, M., Ed.; IntechOpen: London, UK, 2020; Available online: https://www.intechopen.com/books/life-cycle-and-development-of-diptera/post-embryonic-development-of-em-aedes-em-em-stegomyia-em-em-aegypti-em-linnaeus-1762-at-different-t (accessed on 23 November 2021).
- Zapata-Úsuga, G.; Zuleta-Ruiz, B.; Gómez-Vargas, W.; Mejía-Salazar, P.; Zuluaga-Ramírez, W. Presencia de Aedes albopictus (Diptera: Culicidae) en algunos municipios del área de influencia de la Proyecto Hidroeléctrico Ituango, Antioquia, Colombia. Actual. Biol. 2021, 44, 111. [Google Scholar] [CrossRef]
Publisher’s Note: MDPI stays neutral with regard to jurisdictional claims in published maps and institutional affiliations. |
© 2022 by the authors. Licensee MDPI, Basel, Switzerland. This article is an open access article distributed under the terms and conditions of the Creative Commons Attribution (CC BY) license (https://creativecommons.org/licenses/by/4.0/).









