Abstract
Wood is the main dietary item for most termites; however, supplementation with certain nutrients may occur via the ingestion of other available food resources in the ecosystem. The objective of this study was to evaluate the consumption of lichens with different C, N, and P contents by Constrictotermes cyphergaster under laboratory conditions, and estimate the intake of this substrate by this species in a semi-arid area of Northeast Brazil. The foraging activities of fifteen field colonies were monitored over 15 days from 6:00 p.m. to 6:00 a.m., and the lichens that were consumed were identified. Blocks of lichen thallus (1.5 × 1.5 cm) of four lichen species were offered to the termites in the laboratory. The mean total consumption rate of lichen by C. cyphergaster was 0.032 mg lichen/g termite (fresh weight)/day. Dirinaria confluens was the lichen most consumed by termites (0.010 mg lichen/g of termite (fresh weight)/day), followed by Lecanora spp. and Haematomma persoonii at a mean consumption of 0.008 and 0.006 mg lichen/g termite (fresh weight)/day, respectively. Based on the size of the C. cyphergaster populations, the estimated lichen consumption rate was 105.12 g lichen/ha/year. Lichen consumption was significantly affected by the N content and the C:N and C:P ratios, with the N content being the factor that best explained the consumption by the termites. The results suggest that C. cyphergaster can use lichens as a supplemental source of nutrients, especially nutrients that are found in low concentrations in wood.
1. Introduction
Termites are macroarthropods that act as important mediators of organic matter decomposition and energy and nutrient fluxes in terrestrial ecosystems [1,2]. These insects can consume 14 to 50% of the annual plant necromass production, with values reaching 100% in some deserts [2,3].Termite consumption in the field is difficult to estimate, mainly because of the cryptic foraging behavior of most termite species [4,5]. Studies under laboratory conditions have been conducted and improved for decades [6,7,8,9], and they have been a widely used strategy for understanding various environmental parameters, including food choice and consumption rates [10,11,12,13,14,15,16].
Termites consume a variety of organic material including wood, grass, herbs, litter fungi, lichens, leaves, roots, animal excrement, and even decaying animal carcasses, although a cellulosic diet is most common [4,17]. The consumption of wood by termites is characterized by a food preference gradient ranging from live wood to wood in advanced stages of decomposition [18,19]. The plant substrates are rich in carbon and hydrogen, but they are considered nutritionally poor, especially in nitrogen and phosphorus [20,21,22], which are essential for the production of proteins, ATP, and mRNA [23]. The C:N ratio found in wood is 100 times higher than that found in the body of termites [24]. The concentration of N in termite tissues is estimated at 8 to 13%, whereas in wood, this content is 0.5% [25,26]. To adjust the relationship between nutrients, termites have developed resource differentiation mechanisms, and they preferentially feed on substrates with higher nitrogen contents [27,28]. A common strategy among these insects is the preference for decomposing plant material, due to the presence of microorganisms (mainly fungi) that can provide additional sources of nitrogen [29] and vitamins [30]. Food preference tests showed that N and P are phagostimulants in the termite diet [11,31]. Properties such as hardness (density) and secondary compound contents can also be determinants of the choice and consumption of food items [32,33,34,35].
Similar to termites, ants select N-rich resources, mainly for feeding the larvae and the queen. Omnivorous ants may select their food in response to nutrient imbalances, and forage in a way that optimizes complementary nutrition. The CHO:N protein balance seems to be vital to these insects, and it has been the subject of previous studies [36,37,38]. The balance of P:C has been recognized as a mediator of ant social interactions, with diets rich in carbohydrates (low P:C) increasing the aggressive activity of workers in colonies [39].
Species of Hospitalitermes, Grallatotermes, Longipeditermes and Constrictotermes have added lichens to their diet, which are suggested to represent an extra source of N for termites, and they are also good retainers of phosphorus and other nutrients [28,40,41,42,43,44,45]. According to Collins [40], Hospitalitermes umbrinus can consume up to 50 kg of lichens and mosses/ha/year. In the Neotropical region, the termite Constrictotermes cyphergaster (Termitidae, Nasutitermitinae) is distributed in Argentina, Bolivia and Paraguay, and the semi-arid region of Brazil, where it is notable for the abundance of nests (59 active nests/ha) and the consumption of plant necromass [46,47]. The food items consumed by this termite at night on open trails include 29 species of crustose lichens [44,48]. However, the effect of the nutritional composition of lichens on the termite diet remains unknown. Understanding this trophic interaction between lichens and termites from a qualitative and quantitative point of view may provide insights into the pathways of some nutrients, and the functional role of termites in the ecosystem.
The objectives of this study were to evaluate the consumption and preference of C. cyphergaster for lichens with different concentrations of N, C, and P, and different C:N, C:N:P, N:P, and C:P ratios. These three elements are important to many biological processes, but they are relatively rare in the environment. The relative balance of elements that are available in food can influence how species live and reproduce within a particular environment [23]. Furthermore, the balance of these elements may be equally or perhaps even more important than the absolute amount of any one nutrient [23,49]. Lichen consumption by C. cyphergaster was estimated in an area with Caatinga vegetation, a type of seasonally dry tropical forest (SDTF) of South America that is found in the semi-arid domain of Northeast Brazil.
2. Materials and Methods
2.1. Study Area
This study was conducted at Fazenda Almas Natural Heritage Private Reserve (RPPN Fazenda Almas) (7°28′15″S 36°53′51″W), which encompasses an area of approximately 3505 ha. The mean annual rainfall in the region is 560 ± 230 mm, which is concentrated in the months of February, March, and April, and a long dry season, which often lasts more than eight months, also occurs. The annual mean temperature and relative humidity are 25°C and 65%, respectively [50,51].
2.2. Collection and Sampling Procedures
Fifteen field nests of C. Cyphergaster, were randomly selected for observation of lichen foraging. The nests were separated by a minimum distance of 20 m, and they were monitored for 15 consecutive days from June 5 to June 20, 2017, with observations performed at each hour from 6:00 p.m. to 6:00 a.m. [48]. At each observation, the occurrence of lichen consumption by termites was noted. Lichen consumption was considered to be positive when workers were recorded, forming groups (minimum of three individuals) on lichen thalli, with a curved head indicative of contact with the food and abdominal constriction movements, indicative of individuals performing collection (Figure 1). The exploited lichen thalli were tagged with ethyl vinyl acetate (EVA) labels, and at the end of the experiment, they were collected for taxonomic identification. Each lichen was marked only once. The study did not consider the termite trails formed in the canopy layer because of the difficulty of observation; thus, the observations were limited to the lower portion of the vegetation (up to 2 m high).
Figure 1.
Consumption of Dirinaria confluens by Constrictotermes cyphergaster at RPPN Fazenda Almas, Paraíba, Brazil. Circles indicate workers displaying characteristic feeding behavior.
2.3. Lichen Species Determination
The species were identified by consulting Cáceres, Lücking, and Rivas-Plata and Marbarch [52,53,54]. The thallus characteristics, such as habit, ascoma shape and type, color, size, and ascospore septation, were evaluated. Cross-sections of the thallus and ascoma were stained with iodine (I) and/or potassium hydroxide (KOH) to determine the presence of lichen compounds of taxonomic importance [55].
2.4. Macronutrient Quantification
The C, N, and P content in the thalli of Dirinaria confluens (Fr.) D. D. Awasthi, Pertusaria flavens Nyl., Lecanora spp., and Haematomma persoonii (Fée) A. Massal were determined. Approximately 25 stalks of each lichen species were used in the analysis. These species were selected because they contain a greater amount of biomass in their thalli compared to the other lichens. Thalli with low biomass could not be analyzed for nutrient contents, because the lichen could not be separated from the substrate. The collected lichens were individually scraped from the substrate with a steel blade, and the obtained biomass (2 g) was packed in glass containers.
The method of Walkley & Black [56] was used to determine C, and that of Kjeldahl [57] for N and P, both with the modifications of Tedesco et al. [58]. A total of 100 mg of lichen biomass was used for quantifying C. Oxidation of organic matter was performed by using potassium dichromate in the presence of sulfuric acid, with heat being provided by the sulfuric acid, and from external heating (boiling for 5 min). A total of 200 mg of the sample was used for the quantification of N and P, which was digested in the presence of hydrogen peroxide and sulfuric acid (H2SO4). All nutrient analyses were performed in triplicate.
2.5. Lichen Consumption in the Laboratory
Termites from five nests were collected for consumption bioassays, and three subcolonies were separated from each nest. Each bioassay was composed of 200 workers and 50 soldiers [12], which were removed from the nests with the help of popsicle sticks. The individuals were placed in two cylindrical glass containers (6 cm in diameter at the base and 8 cm in height, volume ~200 mL) that were connected by glass tubes (10 cm) made from serological pipettes. The termites were placed in one of the containers, which was lined with 1 cm of sifted, washed, and sterilized sand covered with 0.5 cm of expanded vermiculite, moistened with 8 mL of sterilized distilled water (adapted from [59]). The other glass container was lined with 1 cm of sand and lichen thallus fragments (1.5 × 1.5 cm), with one of each species (D. confluens, P. flavens, Lecanora spp., and H. persoonii) placed at the cardinal points. The basal part of the lichens was wrapped with aluminum foil to prevent the termites from eating wood remnants from the plant supporting the lichen. The glass tube that connected the containers ended at the center of the container with the lichens, to ensure that the distance between each lichen and the center of the arena was equivalent. The containers were covered with voile fabric secured with a rubber band, and placed in total darkness for 14 days at room temperature. The bioassay time was determined from previously performed survival tests that indicated that after 14 days, significant increases in termite mortality rates occurred.
Every three days, the bioassays were observed, and the dead individuals were carefully removed and counted. Three treatments that had mortality greater than 25% at the end of the experiment were discarded. A 2 mL aliquot of sterile distilled water was added to the subcolonies with each cleaning procedure. Five containers with lichen fragments but without termites were used as controls.
2.6. Data Analysis
Lichen consumption was calculated, as the difference between the initial and final weight of the thalli, which was corrected, whenever necessary, by the weight loss of the controls (containers without termites) [60,61]. The consumption values obtained in each arena were transformed to mg of consumed lichen/g fresh termites/day. The participation of C. cyphergaster in total lichen consumption per hectare was estimated from data obtained by Vasconcellos et al. [46], who recorded the population density and biomass of C. cyphergaster in the area as 272 individuals/m2 and 0.9 g (fresh weight)/m2, respectively. The differences between lichen consumption, and the content and ratio of macronutrients (C, N, P) were evaluated by analysis of variance (ANOVA) and an a posteriori Bonferroni’s test. Two independent models were constructed to test the effects of lichen nutrient composition on consumption by C. cyphergaster: one for the nutrients (C, N, P) and another for their relative ratios (C:N, C:N:P, C:P, and N:P). Deviation analysis (ANODEV) was used to generate generalized linear models (GLMs). The data were analyzed with a Gaussian error distribution with identity link. Residual tests were performed to determine the error distribution and model fit. The adjusted pseudo-R2 values were calculated using the vegan package. All analyses were performed using the statistical program R version 3.2 [62].
3. Results
3.1. Lichens Consumed by C. cyphergaster in the Field
Fourteen species of crustose lichens composed the diet of C. cyphergaster in the field: Arthothelium sp., Arthonia sp., Anisomeridium tamarindii (Fée) RC Harris, Anisomeridium sp. Chrysothrix xanthina (Vain.) Kalb, Dirinaria confluens, Glyphis scyphulifera (Ach.) Staiger, Haematomma persoonii, Lecanora sp., Lecanora achroa Nyl., Lecanora leprosa Fée, Lecanora tropica Zahlbr, Pertusaria flavens, and Physcia integrata (Nyl.).
3.2. Quantification of Lichen Consumption in the Laboratory
The mean total lichen consumption under laboratory conditions rate by C. cyphergaster was 0.032 mg lichen/termite g (fresh weight)/day (Table 1), representing a consumption rate of 105.12 g of lichen/ha/year. The consumption rates among the lichens offered in the bioassays were significantly different (F3,8 = 7.05, p < 0.001). D. confluens was the lichen species most consumed by the termites (0.010 mg lichen/g of termite (fresh weight)/day), followed by Lecanora spp. and H. persoonii, with means of 0.008 and 0.006 mg of lichen/g termite (fresh weight)/day, respectively (Table 1).
Table 1.
Mean consumption rate in the laboratory of four lichen species (mg of lichen/g of termite (fresh weight)/day) by Constrictotermes cyphergaster.
3.3. Concentration of Nutrients in Lichens and Their Effect on Consumption
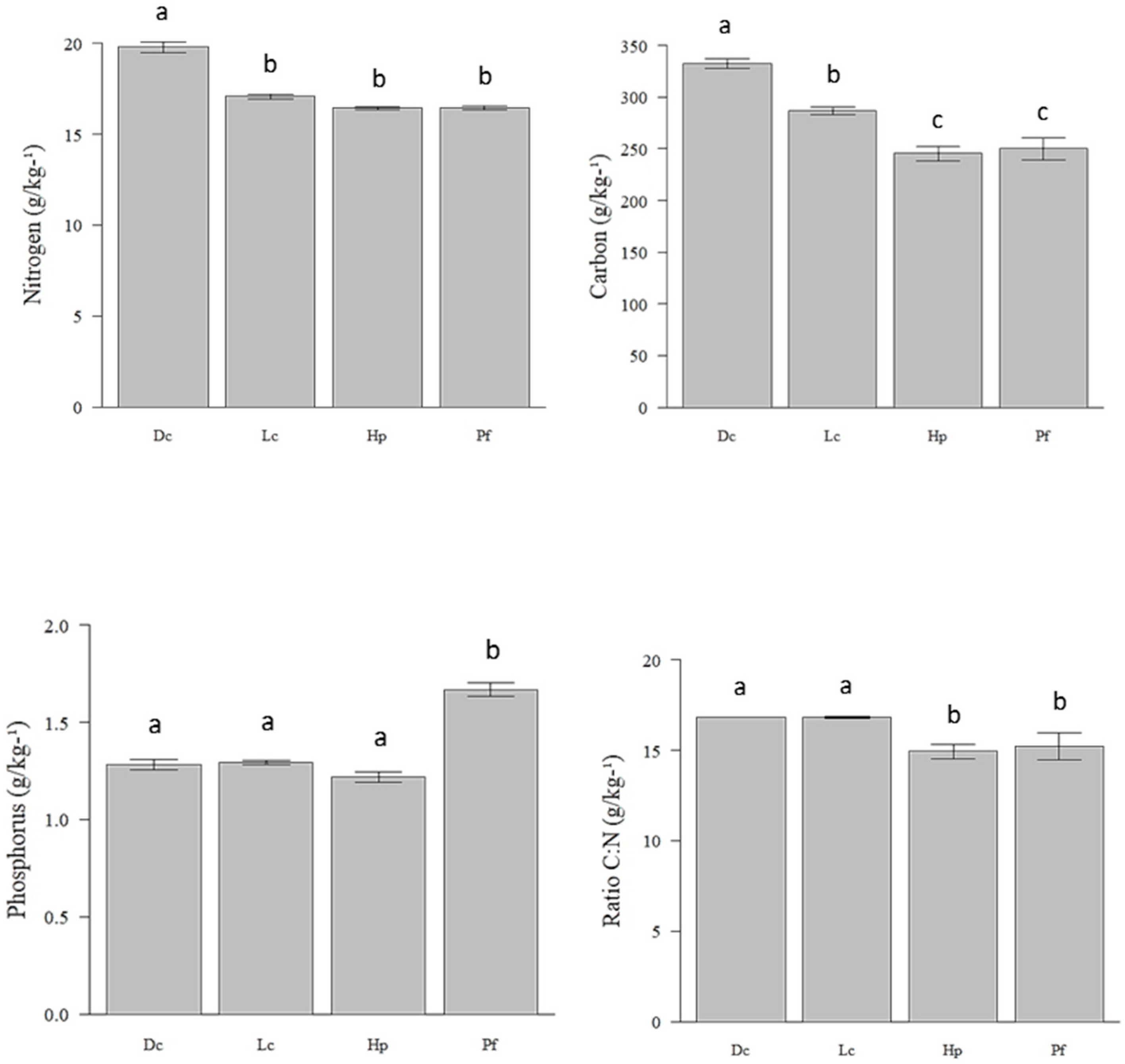
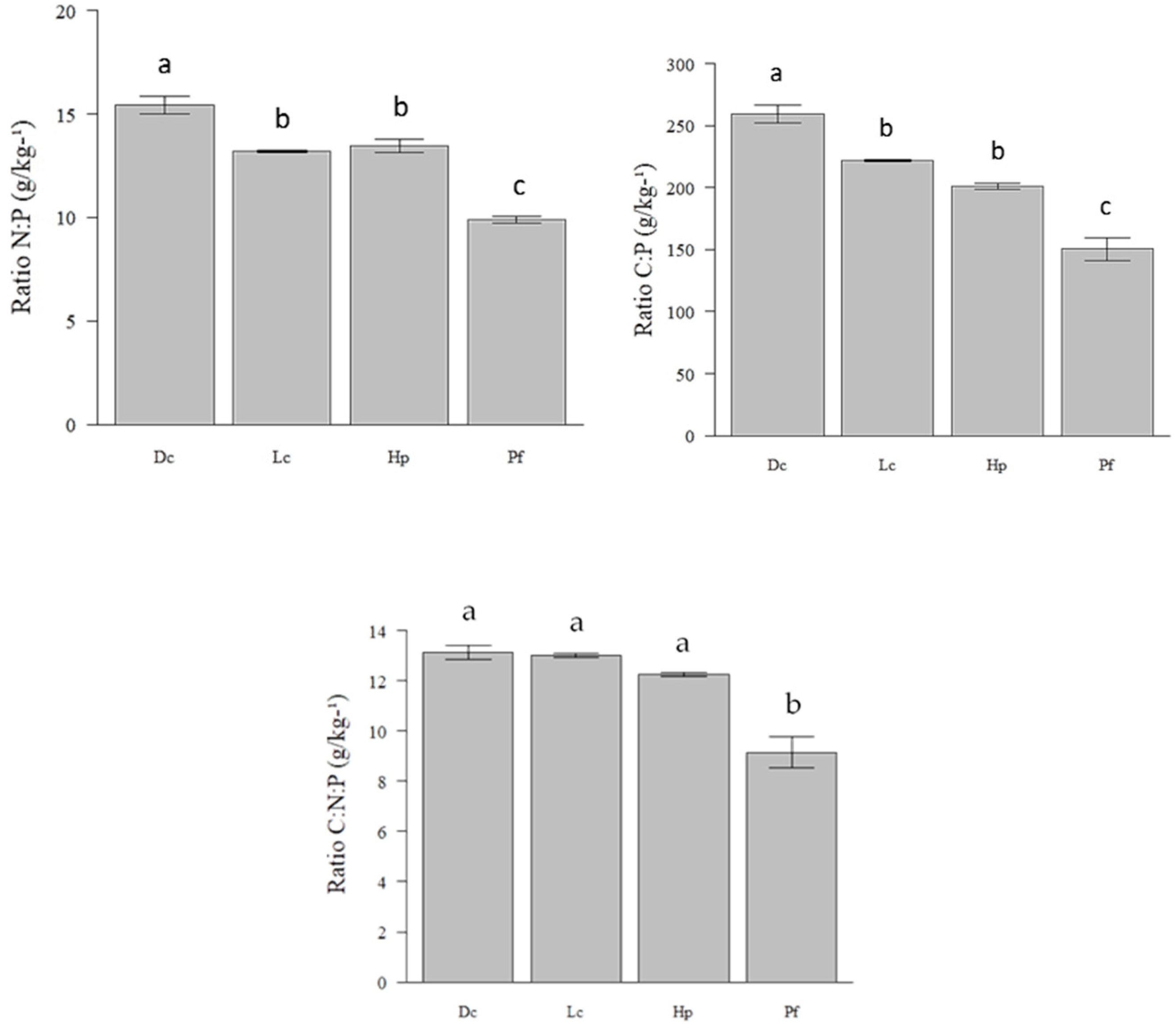
The species D. confluens, Lecanora spp., H. Persoonii, and P. flavens differed in their C (F3,8 = 33.19; p < 0.01), N (F3,8 = 76.93; p < 0.05) and P (F3,8 = 58.96; p < 0.05) contents, and C:N (F3,8 = 5.65, p < 0.05), C:N:P (F3,8 = 29.43; p < 0.05), N:P (F3,8 = 66.26, p < 0.05), and C:P (F3,8 = 58.02, p < 0.05) ratios (Figure 2).

Figure 2.
C, N, and P contents and C:N, C:N:P, N:P, C:P ratios (g/kg) of Dirinaria confluens (Dc), Lecanora spp. (Lc), Haematomma persoonii (Hp), and Pertusaria flavens (Pf) consumed by Constrictotermes cyphergaster in a semi-arid area in Northeast Brazil. Different letters indicate statistically significant differences according to Bonferroni’s test.
Lichen consumption was significantly affected by the N content (ANODEV, GLM: p < 0.001), and C:N (ANODEV, GLM: p < 0.001) and C:P (ANODEV, GLM: p < 0.01) ratios (Table 2). These nutrients showed higher contents in D. confluens and Lecanora spp., which are species that are most comonly consumed by C. Cyphergaster nos bioensaios (Table 1 and Figure 2). The lichen property that best explained termite consumption was the N content (pseudo-R2 = 0.32), followed by the C:N (pseudo-R2 = 0.23) ratio.
Table 2.
Effect of nutrient contents (C, N, P—Model one) and their ratios (C:N; C:N:P, C:P, N:P—Model Two) on the consumption of lichens by C. cyphergaster in the laboratory.
4. Discussion
The lichen diet of C. cyphergaster was composed mainly of crustose lichens, as was observed for Hospitalitermes umbrinus in Malaysia [40]. There are no records foliose or fruticose lichens being consumed by termites, suggesting that these insects are adapted to consuming crustose lichens. The species recorded as consumed in the present this study are common in the Caatinga environment, and 11 of them were have been previously recorded on the diet of C. cyphergaster in Brazilian semi-arid areas [44,63]. The lichens Arthothelium sp., Haematomma persoonii, and Physcia integrata represent new records for consumption by C. cyphergaster.
The estimated lichen consumption by C. cyphergaster (105.12 g of lichen/ha/year) was small when compared to the consumption of this resource by H. umbrinus (50 kg of lichens and moss ha/year) in Malaysia [40]. Lichens are the main component of the diet of Hospitalitermes species [40], whereas this resource is only one of the food items consumed by C. cyphergaster. Trunks and branches at different stages of decomposition represent the main food item for C. cyphergaster [48], and the estimated consumption is 44.5 kg/ha/year [47]. It should also be pointed out that the studies of consumption by Hospitalitermes took place in the field, thus explaining the greater range of lichens consumed.
Our results showed a C:N ratio between 14.4 and 16.9 in the lichens offered to the termites. Higher ratios at between 17 and 29 were found for Croton spp. (Baill., Kunth, Lam), Mimosa spp. (Harms., Mart. Ex Benth., Barneby, (Willd.) Poir.), and Poincianella pyramidalis ((Tul.) L.P. Queiroz) in the diet of C. cyphergaster [64] (see Supplementary Material Table S1). Higher N contents in lichens compared to wood were also observed in the diet of Hospitalitermes spp., with 10 to 60 times more N recorded in lichen thalli than in wood [28], indicating that lichens are a good alternative for N supplementation in termite diet. Field observations made during this study, showed that the foraging of C. cyphergaster is not directed to lichens, and this resource is occasionally collected when it is found to be close to the branches and trunks consumed, or along the route between the nest, and the main resource consumed.
Nitrogen was the element that best explained the consumption of lichens by termites (pseudo-R2 = 0.32), although the species D. confluens and Lecanora spp., which presented higher C:N ratios, were the most highly consumed. According to the C:N equilibrium hypothesis, some termites do not eliminate carbon from their diet, but rather seek a source of nitrogen-rich food to meet their energy needs [21]. A simple approach to dealing with elemental imbalance is to assimilate only a fraction of the nutrient that is abundant in the resource and all of the nutrient that is limiting [24]. In this sense, termites may obey a processing rule in which 1% of the ingested C, and all of the available N are assimilated [24], which would explain the consumption of lichens with high C contents as well, suggesting that the cost-benefit of this interaction is compensated by the supply of N.
For wood-consuming termites, N is a limited resource, and several mechanisms to obtain this nutrient have evolved. These mechanisms include preferential assimilation of atmospheric N through bacteria in their digestive tract, consumption of nitrogen rich-foods, the cultivation of fungus gardens, which is characteristic of Macrotermitinae species, and the consumption of wood infected with these microorganisms [30,65]. The association with N-fixing bacteria is present from the most basal families of termites, such as Mastotermitinae and Kalotermitidae, to the most derived ones, such as Macrotermitinae, Termitinae, and Nasutitermitinae [66]. Cannibalism, necrophagy, and trophallaxis are also common in several taxa, and they are believed to be effective means of preventing N loss [65,67]. Physiological evidence of uric acid retention in termite fat bodies has also been reported as a mechanism for retaining nitrogen stores [68,69].
The P content, and the C:P and C:N:P ratios in the lichens had no effect on consumption by C. cyphergaster, and the N:P ratio (pseudo-R2 = 0.06) did not have an influence on termite consumption, indicating that P may not have an influence on lichen consumption. Moreover, the P content in lichen thalli, in combination with the C and N content, reach ratios that are unfavorable for consumption. In invertebrates, C:N:P ratios are associated with important ecological processes, such as decomposition and N2-fixing ability, whereas the C:P and N:P ratios affect the synthesis of ribosomal RNA and the growth rates of organisms [23,70]. The lack of a relationship between lichen consumption and P content in this substrate is explained by the fact that C. cyphergaster satisfies the requirement for this nutrient with another food source. In the Caatinga and Cerrado environments of Brazil, where C. cyphergaster occurs, the soils are rich in P [71], and they may represent the main source of input of this nutrient to the colonies. Although C. cyphergaster is not humivorous, this termite frequently carries soil particles in its jaws to build its nests [72], and thus, is in direct contact with soil throughout the life of the colony. A similar observation was made for Reticulitermes flavipes, which absorbs nutrients from its food, but is also able to obtain nutrients from the soil [73].
Resource selection by termites is influenced by the energy requirements of the populations. The nutritional requirements of a termite colony are determined by the size of the population, and the production of new individuals, which follows a seasonal temporal pattern [74,75]. Ants also exhibit a seasonal response to a variety of nutrients [76,77]. Similarly, termites can adjust their eating behavior as seasons change [78,79]. For example, seasonal responses based on phosphate availability were observed for R. flavipes Kollar [11]. Due to these aspects, the quality and quantity of the substrate consumed in the ecosystem under natural conditions may be different from those observed in the laboratory, and consequently, may influence consumption rates.
5. Conclusions
A comparison between lichen and wood consumption by C. cyphergaster indicates that lichens are a complementary resource in the diet of this termite. However, the choice of the consumed lichen is apparently non-random, with the N content being a factor influencing the consumption rate. Ingestion of lichens reveals that the food items of the C. cyphergaster diet can be quite varied, and shows how this species can qualitatively and qualitatively affect the pathways of some essential nutrients, such as C and N, in semi-arid ecosystems.
Supplementary Materials
The following are available online at http://www.mdpi.com/2075-4450/10/1/23/s1, Table S1: C, N and P contents (g/kg) found in Poincianella pyramidalis, Mimosa spp., and Croton spp., organisms of the diet of Constrictotermes cyphergaster in a semi-arid area in northeast Brazil. Five individuals of each species were analyzed.
Author Contributions
Conceptualization, A.M.B.-S. and A.V.; Methodology, A.M.B.-S. and A.V.; Formal Analysis, A.M.B.-S. and A.V.; Investigation, A.M.B.-S.; Writing—Original Draft Preparation, A.M.B.-S. and A.V.; Writing—Review & Editing, A.M.B.-S. and A.V.; Visualization, A.V.; Supervision, A.V.; Project Administration, A.V.; Funding Acquisition, A.M.B.-S. and A.V.
Funding
This research was funded by Coordenação de Aperfeiçoamento de Pessoal de Nível Superior (CAPES).
Acknowledgments
Marcela Cáceres is warmly thanked for the identification of the lichen species.
Conflicts of Interest
The authors declare no conflict of interest. The funders had no role in the design of the study; in the collection, analyses, or interpretation of data; in the writing of the manuscript, and in the decision to publish the results.
References
- Wood, T.G.; Sands, W.A. The role of termites in ecosystems. In Production Ecology of Ants and Termites; Brian, M.V., Ed.; Cambridge University Press: Cambridge, UK, 1978; pp. 245–292. [Google Scholar]
- Bignell, D.E.; Eggleton, P. Termites in ecosystems. In Termites: Evolution, Sociality, Symbiosis, Ecology; Abe, T., Bignell, D.E., Higashi, M., Eds.; Kluwer Academic Publishers: Dordrecht, The Netherlands, 2000; pp. 363–387. [Google Scholar]
- Brauman, A. Effect of gut transit and mound deposit on soil organic matter transformations in the soil feeding termite: A review. Eur. J. Soil Sci. Eur. 2000, 36, 117–125. [Google Scholar] [CrossRef]
- Wood, T.G. Food and feeding habits of termites. In Production Ecology of Ants and Termites; Brian, M.V., Ed.; Cambridge University Press: Cambridge, UK, 1978; pp. 55–80. [Google Scholar]
- Matsumoto, T.; Abe, T. The role of termites in an equatorial rain forest ecosystem of west Malaysia. Oecologia 1979, 38, 261–274. [Google Scholar] [CrossRef] [PubMed]
- Becker, G. Rearing of termites and testing methods used in the laboratory. In Biology of Termites; Krishna, K., Weesner, F.M., Eds.; Academic Press: New York, NY, USA; London, UK, 1969; pp. 351–385. [Google Scholar]
- Lenz, M.; Williams, E.R. Influence of container, matrix volume and group size on survival and feeding activity in species of Coptotermes and Nasutitermes (Isoptera: Rhinotermitidae, Termitidae). Mater. Org. 1980, 15, 25–46. [Google Scholar]
- Lenz, M.; Barret, R.A.; Miller, L.R. The capacity of colonies of Coptotermes acinaciformis acinaciformis from Australia to produce neotenics (Isoptera: Rhinotermitidae). Sociobiology 1986, 11, 237–244. [Google Scholar]
- Lenz, M.; Amburgey, T.L.; Zi-Rong, D.; Mauldin, J.K.; Preston, A.F.; Rudolph, D.; Williams, E.R. Interlaboratory studies on termite wood decay fungi associations. 2. Response of termites to Gloeophyllum trabeum grown on different species of wood (Isoptera: Mastotermitidae, Termopsidae, Rhinotermitidae, Termitidae). Sociobiology 1991, 18, 203–254. [Google Scholar]
- Bustamante, N.C.R.; Martius, C. Nutritional preferences of wood-feeding termites inhabiting floodplain forests of the Amazon River, Brazil. Acta Amazon. 1998, 28, 301–307. [Google Scholar] [CrossRef]
- Botch, P.S.; Brennan, C.L.; Judd, T.M. Seasonal Effects of Calcium and Phosphates on the Feeding Preference of the Termite Reticulitermes flavipes (Isoptera: Rhinotermitidae). Sociobiology 2010, 55, 489–498. [Google Scholar]
- Vasconcellos, A.; Moura, F.M.S. Wood litter consumption by three species of Nasutitermes termites in an area of the Atlantic Coastal Forest in Northeastern Brazil. J. Insect Sci. 2010. [Google Scholar] [CrossRef]
- Barca, R.R.B.; Lucena, E.F.; Vasconcellos, A. Nest Population Structure and Wood Litter Consumption by Microcerotermes indistinctus (Isoptera) in a Seasonally Dry Tropical Forest, Northeastern Brazil. Insects 2018, 9, 97. [Google Scholar] [CrossRef]
- Waller, D.A.; Jones, C.G.; La Fage, J.P. Measuring Wood preference in termites. Entomol. Esp. Appl. 1990, 56, 117–123. [Google Scholar] [CrossRef]
- Curtis, A.D.; Waller, D.A. Variation in rates of nitrogen fixation in termites: Response to dietary nitrogen in the field and laboratory. Physiol. Entomol. 1997, 22, 303–309. [Google Scholar] [CrossRef]
- Waller, D.A.; Curtis, A.D. Effects of Sugar-Treated Foods on Preference and Nitrogen Fixation in Reticulitermes flavipes (Kollar) and Reticulitermes virginicus (Banks) (Isoptera: Rhinotermitidae). Ann. Entomol. Soc. Am. 2003, 96, 81–85. [Google Scholar] [CrossRef]
- Noirot, C. From wood- to humus feeding: An important trend in termite evolution. In Biology and Evolution of Social Insects; Billen, J., Ed.; Leuven University Press: Leuven, Belgium, 1992; pp. 107–119. [Google Scholar]
- Mathews, A.G.A. Studies on Termites from the Mato Grosso State, Brazil; Academia Brasileira de Ciências: Rio de Janeiro, Brazil, 1977. [Google Scholar]
- Donovan, S.E.; Eggleton, E.; Bignell, D.E. Gut content analysis and a new feeding group classification of termites. Ecol. Entomol. 2001, 26, 356–366. [Google Scholar] [CrossRef]
- Nalepa, C.A. Nourishment and the origin of termite eusociality. In Nourishment and Evolution in Insect Societies; Hunt, J.H., Nalepa, C.A., Eds.; Westview Press: Oxford, UK, 1994; pp. 57–104. [Google Scholar]
- Higashi, M.; Abe, T.; Thomas, P.; Burns, T.P. Carbon—nitrogen balance and termite ecology. Proc. R. Soc. Land. B 1992, 249, 303–308. [Google Scholar] [CrossRef]
- Judd, T.M. Cues Used by Subterranean Termites During Foraging and Food Assessment. In Termites and Sustainable Management: Biology, Social Behaviour and Economic Importance; Khan, A., Ahmad, W., Eds.; Springer International Publishing: Cham, Switzerland, 2018; pp. 159–180. [Google Scholar]
- Elser, J.J.; Sterner, R.W.; Gorokhova, E.; Fagan, W.F.; Markow, T.A.; Cotner, J.B.; Harrison, J.F.; Hobbie, S.E.; Odell, G.M.; Weider, L.W. Biological stoichiometry from genes to ecosystems. Ecol. Lett. 2000, 3, 540–550. [Google Scholar] [CrossRef]
- Singer, F.D. Physiological and evolutionary ecology of acquiring nutrients and energy. In Ecology in Action; Singer, F.D., Ed.; Cambridge University Press: Cambridge, UK, 2016; pp. 86–112. [Google Scholar]
- Matsumoto, T. The role of termites in an equatorial rain forest ecosystem of west Malaysia: Population density, biomass, carbon, nitrogen and calorific content and respiration rate. Oecologia 1976, 22, 153–178. [Google Scholar] [CrossRef] [PubMed]
- La Fage, J.P.; Nutting, W.L. Nutrient dynamics of termites. In Production Ecology of Ants and Termites; Brian, M.V., Ed.; Cambridge University Press: Cambridge, UK, 1978; pp. 165–232. [Google Scholar]
- Prestwich, G.D.; Bentley, B.L.; Carpenter, E.J. Nitrogen sources for Neotropical nasute termites: Fixation and selective foraging. Oecologia 1980, 46, 397–401. [Google Scholar] [CrossRef]
- Miura, T.; Matsumoto, T. Diet and nest material of the processional termite Hospitalitermes, and cohabitation of Termes (Isoptera, Termitidae) on Borneo Island. Insectes Soc. 1997, 44, 267–275. [Google Scholar] [CrossRef]
- Spears, B.M.; Veckert, D.N. Survival and food consumption by the desert termite Gnathamitermes tubiformans in relation to dietary nitrogen source and levels. Environ. Entomol. 1979, 5, 1022–1025. [Google Scholar] [CrossRef]
- Sands, W.A. The association of termites and fungi. In Biology of Termites; Krishna, K., Weesner, F.M., Eds.; Academic Press: London, UK, 1969; pp. 495–519. [Google Scholar]
- Duryea, M.L.; Huffman, J.B.; Osbrink, W. Will subterranean termites consume landscape mulches? J. Arboric. 1999, 25, 143–150. [Google Scholar]
- Souza, J.H.D.; Menezes, E.D.L.A.; Mauri, R.; Menezes, E.B. Suscetibilidade de cinco essencias florestais a Coptotermes gestroi. Rev. Árvore 2009, 33, 1043–1050. [Google Scholar] [CrossRef]
- Kirker, G.; Blodgett, A.; Arango, R.; Lebow, P.; Clausen, C. The role of extractives in naturally durable wood species. Int. Biodeterior. Biodegrad. 2013, 82, 53–58. [Google Scholar] [CrossRef]
- Owoyemi, J.M.; Olaniran, O.S. Natural resistance of ten selected Nigerian wood species to subterranean termites attack. Int. J. Biol. Sci. 2014, 1, 35–39. [Google Scholar]
- Sattar, A.; Naeem, M.; Ehsan-Ul-Haq, A. Potential phagostimulants for the subterranean termite, Microtermes obesi (Blattodea: Termitidae). J. Biodivers. Bioprospect. Dev. 2015. [Google Scholar] [CrossRef]
- Dussutour, A.; Simpson, S.J. Carbohydrate regulation in relation to colony growth in ants. J. Exp. Biol. 2008, 211, 2224–2232. [Google Scholar] [CrossRef] [PubMed]
- Kay, A. Applying optimal foraging theory to assess nutrient availability ratios for ants. Ecology 2002, 83, 1935–1944. [Google Scholar] [CrossRef]
- Nonacs, P. Less growth with more food: How insect-prey availability changes colony demographics in the ant, Camponotus floridanus. J. Insect Physiol. 1991, 37, 891–898. [Google Scholar] [CrossRef]
- Grover, C.D.; Kay, A.D.; Monson, J.A.; Marsh, T.C.; Holway, D.A. Linking nutrition and behavioural dominance: Carbohydrate scarcity limits aggression and activity in Argentine ants. Proc. R. Soc. Lond. 2007, 274, 2951–2957. [Google Scholar] [CrossRef]
- Collins, N.M. Observations on the foraging activity of Hospitalitermes umbrinus (Haviland), (Isoptera: Termitidae) in the Gunong Mulu National Park, Sarawak. Ecol. Entomol. 1979, 4, 231–238. [Google Scholar] [CrossRef]
- Miura, T.; Matsumoto, T. Open-Air Litter Foraging in the Nasute Termite Longipeditermes longipes (Isoptera: Termitidae). J. Insect Behav. 1998, 11, 179–189. [Google Scholar] [CrossRef]
- Martius, C.; Amelung, W.; Garcia, M.V.B. The Amazonian forest termite (Isoptera: Termitidae) (Constrictotermes cavifrons) feeds on microepiphytes. Sociobiology 2000, 35, 379–383. [Google Scholar]
- Roisin, Y.; Pasteels, J.M. The Nasute Termites (Isoptera: Nasutitermitinae) of Papua New Guinea. Invertebr. Taxon. 1996, 10, 507–616. [Google Scholar] [CrossRef]
- Barbosa-Silva, A.M.; Silva, A.C.; Pereira, E.C.G.; Buril, M.L.L.; Silva, N.H.; Cáceres, M.E.S.; Aptroot, A.; Bezerra-Gusmão, M.A. Lichen Richness Consumed by Constrictotermes cyphergaster in Semi-arid Region of Brazil. Sociobiology 2018, in press. [Google Scholar]
- Nash, T.H., III. Lichen Biology; Cambridge University Press: Cambridge, UK, 2008; 486p. [Google Scholar]
- Vasconcellos, A.; Araújo, V.F.P.; Moura, F.M.S.; Bandeira, A.G. Biomass and population structure of Constrictotermes cyphergaster (Silvestri) (Isoptera: Termitidae) in the dry forest of Caatinga, Northeastern Brazil. Neotrop. Entomol. 2007, 36, 693–698. [Google Scholar] [CrossRef] [PubMed]
- Moura, F.M.S.; Vasconcellos, A.; Araújo, V.F.P.; Bandeira, A.G. Consumption of Vegetal Organic Matter by Constrictotermes cyphergaster (Isoptera, Termitidae, Nasutitermitinae) in an Area of Caatinga, Northeastern Brazil. Sociobiology 2008, 51, 181–189. [Google Scholar]
- Moura, F.M.S.; Vasconcellos, A.; Araújo, V.F.P.; Bandeira, A.G. Feeding Habit of Constrictotermes cyphergaster (Isoptera, Termitidae) in an Area of Caatinga, Northeast. Brazil. Sociobiology 2006, 48, 1–6. [Google Scholar]
- Simpson, S.J.; Raubenheimer, D. The Nature of Nutrition: A Unifying Framework from Animal Adaptation to Human Obesity; Princeton University Press: Princeton, NJ, USA, 2012; p. 239. [Google Scholar]
- Governo do estado da Paraíba. Atlas Geográfico da Paraíba; Grafset: João Pessoa, Brazil, 1985; 100p.
- Núcleo de Meteorologia Aplicada. Atlas Climatológico da Paraíba; Universidade Federal da Paraíba: Campina Grande, Brazil, 1987; 143p. [Google Scholar]
- Cáceres, M.E.S. Corticolous, Crustose and Microfoliose Lichens of Northeastern Brazil; Libri Botanici: Berchtesgaden, Germany, 2007; 168p. [Google Scholar]
- Lücking, R.; Rivas-Plata, E. Clave y Guía Ilustrada Para Géneros de Graphidaceae. Glalia 2008, 1, 1–39. [Google Scholar]
- Marbach, B. Corticole und Lignicole Arten der Flechtengattung Buellia Sensu Lato in den Subtropen und Tropen; Bibliotheca Lichenologica: Berlin, Stuttgart, 2000; 384p. [Google Scholar]
- Nylander, W. Circa novum in studio lichenum criterium chemicum. Flora 1866, 49, 198–201. [Google Scholar]
- Allison, L.E. Organic carbon. In Methods of Soil Analysis, Chemical and Microbiological Properties; Black, C.A., Ed.; American Society of Agronomy: Madison, WI, USA, 1965; pp. 1367–1378. [Google Scholar]
- Bremner, J.M. Total nitrogen. In Methods of Soil Analysis; Black, C.A., Ed.; American Society of Agronomy: Madison, WI, USA, 1965; pp. 1149–1178. [Google Scholar]
- Tedesco, J.M.; Gianello, C.; Bissani, C.A.; Bohnen, H.; Volkweiss, S.J. Análises de Solo, Plantas e Outros Materiais; Boletim Técnico, Universidade Federal do Rio Grande do Sul: Porto Alegre, Brazil, 1995; 174p. [Google Scholar]
- Lenz, M.; Becker, G.; Garcia, M. Zur Eignung von verschiedenen Subtraten und zu ihrer Auswahl fur die Prufung mit Rhinotermitiden. Mater. Org. 1976, 11, 121–144. [Google Scholar]
- Bustamante, N.C.R. Preferências Alimentares de 5 Espécies de Cupins Nasutitermes Dudley, 1890 (Termitidae, Isoptera) por 7 Espécies de Madeira de Várzea na Amazônia Central. Master’s Thesis, Universidade Federal do Amazonas, INPA, Manaus, Brazil, 1993. [Google Scholar]
- Vasconcellos, A.; Bandeira, A.G. Avaliação do consumo de madeira por espécies de Nasutitermes e Microcerotermes (Insecta, Isoptera, Termitidae). Rev. Nordestina Biol. 2000, 14, 17–24. [Google Scholar]
- R Core Team. R: A Language and Environment for Statistical Computing; R Foundation for Statistical Computing: Vienna, Austria, 2016. [Google Scholar]
- Cáceres, M.E.S.; Lucking, R.; Rambold, G. Corticolous microlichens in Northeastern Brazil: Habitat differentiation between coastal Mata Atlântica, Caatinga and Brejos de Altitude. Bryologist 2008, 111, 98–117. [Google Scholar] [CrossRef]
- Silva, A.C. Dinâmica do Forrageio de Constrictotermes cyphergaster (Blattaria, Isoptera) em um Ecossistema Semiárido do Nordeste Brasileiro. Master’s Thesis, Universidade Federal da Paraíba (UFPB), Paraiba, Brazil, 2017; 70p. [Google Scholar]
- Machida, M.; Kitade, O.; Miura, T.; Matsumoto, T. Nitrogen recycling through proctodeal trophallaxis in the Japanese damp-wood termite Hodotermopsis japonica (Isoptera, Termopsidae). Insectes soc. 2001, 48, 52–56. [Google Scholar] [CrossRef]
- Yamada, A.; Inoque, T.; Noda, S.; Hongoh, Y.; Ohkuma, M. Evolutionary trend phylogenetic diversity of nitrogen fixation genes in the gut community of wood-feeding termites. Mol. Ecol. 2007, 16, 3768–3777. [Google Scholar] [CrossRef] [PubMed]
- Dhanarajan, G. Cannibalism and necrophagy in a subterranean termite (Reticulitermes lucifagus var. santonensis). Malay. Nat. J. 1978, 31, 237–251. [Google Scholar]
- Potrikus, C.J.; Breznak, J.A. Uric Acid-Degrading Bacteria in Guts of Termites Reticulitermes flavipes (Kollar). Appl. Environ. Microbiol. 1980, 40, 117–124. [Google Scholar] [PubMed]
- Potrikus, C.J.; Breznak, J.A. Gut bacteria recycle uric acid nitrogen in termites: A strategy for nutrient conservation. Proc. Natl. Acad. Sci. USA 1981, 78, 4601–4605. [Google Scholar] [CrossRef] [PubMed]
- Sterner, R.W.; Elser, J.J. Ecological Stoichiometry: The Biology of Elements from Molecules to the Biosphere; Princeton University Press: Princeton, NJ, USA, 2002; 464p. [Google Scholar]
- Rückamp, D.; Amelung, W.; Theisz, N.; Bandeira, A.G.; Martius, C. Phosphorus forms in Brazilian termite nests and soils: Relevance of feeding guild and ecosystems. Geoderma 2010, 155, 269–279. [Google Scholar] [CrossRef]
- Noirot, C.; Darlington, J.P.E.C. Termites nests: Architecture, regulation and defence. In Termites: Evolution, Sociality, Symbiosis, Ecology; Abe, T., Higashi, M., Bignell, D.E., Eds.; Kluwer Academic Publications: Dordrecht, The Netherlands, 2000; pp. 121–139. [Google Scholar]
- Janzow, M.P.; Judd, T.M. The Termite Reticulitermes flavipes (Rhinotermitidae: Isoptera) Can Acquire Micronutrients from Soil. Environ. Entomol. 2015, 44, 814–820. [Google Scholar] [CrossRef] [PubMed]
- Buxton, R.D. Changes in the composition and activities of termite communities in relation to changing rainfall. Oecologia 1981, 51, 371–378. [Google Scholar] [CrossRef]
- Lepage, M.; Darlington, J.P.E.C. Population dynamics of termites. In Termites: Evolution, Sociality, Symbiosis, Ecology; Abe, T., Bignell, D.E., Higashi, M., Eds.; Academic Plublications: Dordrecht, The Netherlands, 2000; pp. 333–362. [Google Scholar]
- Judd, T.M. The Effects of Water, Season, and Colony Composition on Foraging Preferences of Pheidole ceres [Hymenoptera: Formicidae]. J. Insect Behav. 2005, 18, 781–803. [Google Scholar] [CrossRef]
- Stein, M.B.; Thorvilson, H.G.; Johnson, J.W. Seasonal changes in bait preference by red imported fire ant, Solenopsis invicta (Hymenoptera: Formicidae). Fla. Entomol. 1990, 73, 117–123. [Google Scholar] [CrossRef]
- Wallace, B.A.; Judd, T.M. A Test of Seasonal Responses to Sugars in Four Populations of the Termite Reticulitermes flavipes. J. Econ. Entomol. 2010, 103, 2126–2131. [Google Scholar] [CrossRef] [PubMed]
- Cornelius, M.L.; Osbrink, W.L.A. Effect of Seasonal Changes in Soil Temperature and Moisture on Wood Consumption and Foraging Activity of Formosan Subterranean Termite (Isoptera: Rhinotermitidae). J. Econ. Entomol. 2011, 104, 1024–1030. [Google Scholar] [CrossRef] [PubMed]
© 2019 by the authors. Licensee MDPI, Basel, Switzerland. This article is an open access article distributed under the terms and conditions of the Creative Commons Attribution (CC BY) license (http://creativecommons.org/licenses/by/4.0/).


