Abstract
In metal-forming processes, the use of lubricants for providing desirable tribological conditions at the tool–workpiece interface is critical to increase the material formability and prolonging tool life. Nowadays, the depletion of crude oil reserves in the world and the global concern in protecting the environment from contamination have renewed interest in developing environmentally-friendly lubricants derived from alternative sources such as vegetable oils. In the present study, the rheological and tribological behavior of coconut oil modified with nanoparticle additives was experimentally evaluated. Two different nanoparticle additives were investigated: Silicon dioxide (SiO2) and copper oxide (CuO). For the two conditions, nanoparticles were dispersed at different concentrations within the coconut oil. The effects of concentration and shear rate on the viscosity were evaluated and the experimental data was compared with conventional models. A custom-made tribotester was used to evaluate the effect of concentration on the tribological performance of the nano-lubricants. The experimental results showed that wear volume loss was lowered by 37% and 33% using SiO2 and CuO nanoparticles, respectively. Furthermore, the addition of SiO2 and CuO nanoparticles decreased the coefficient of friction (COF) by 93.75% and 93.25%, respectively, as compared to coconut oil without nanoparticles.
1. Introduction
Recently, due to environmental issues, there has been a growing concern regarding the use of mineral oils as lubricants. This concern has promoted research into biodegradable lubricants such as vegetable oils, since vegetable oils do not contaminate or pollute. Furthermore, vegetable oils possess many sought out properties such as good lubrication in contact area, high flash point, high biodegradability, and low volatility [1,2,3,4]. The high polarity of vegetable oils allows them to be useful boundary lubricants [3].
Coconut oil is considered one of the most stable oils. Coconut oil belongs to the lauric oils group. Lauric acid is the most abundant fatty acid found in coconut oil. One of the main drawbacks of vegetable oils is poor oxidation and thermal stability [5]. Therefore, at higher loads, there is a performance drop in the lubricants. Nanoparticles have been used as friction modifiers due to their extremely small size, which allows them to slide into the two metals’ contact area. This allows the nanoparticles to act as a rolling bearing in the interface [6]. Other proposed mechanisms for nanoparticles in lubricants include protective film, mending effect, and polishing effect, which are all shown in Figure 1. The addition of nanoparticles helps with the wear and friction properties of the lubricant. Silica and copper oxide nanoparticles are efficient at room temperature, therefore no induction period is needed to see improvement in tribological properties. Peng and co-workers analyzed the tribological properties of SiO2 in liquid paraffin using a ball-on-ring wear tester, and they demonstrated that SiO2 helped lower wear and friction when compared to the base paraffin [7]. The main issue is compatibility of the nanoparticles and the base oil. Over long periods of time, the nanoparticles tend to sediment, making their tribological properties diminish [8].
Figure 1.
Nanoparticle effect at the friction surface.
The rheological properties of SiO2 and CuO suspensions have a major role in the metal forming process. Viscosity is the most meaningful parameter for describing the rheological properties of suspensions.
The objective of this study was to evaluate the rheological and tribological behaviors of coconut oil modified by the addition of SiO2 and CuO nanoparticles at different concentrations. The effects of thus concentration and shear rate on the viscosity was evaluated, and the experimental data were compared with conventional models, namely the power law and the Cross equation. The coefficient of friction (COF) under sliding conditions was evaluated by a block-on-ring test and wear volume loss by crossed-cylinder wear testing.
2. Materials and Methods
2.1. Nano-Lubricants Preparation
In the present study, SiO2 and CuO nanoparticles from US Research Nano Co. (Houston, TX, USA) were dispersed in commercially available coconut oil in different concentrations to formulate the nano-lubricants. The main properties of the lubricant and selected nanoparticles are shown in Table 1. Density of the oil was measured on a weight to volume basis using a 25 mL flask and an Mettler Toledo XS205DU electronic balance (Mettler-Toledo LLC, Columbus, OH, USA) to an accuracy of 0.01 mg. The morphology of the particles was verified using Field Emission Scanning Electron Microscope (FE-SEM) ZEISS SIGMA VP (Carl Zeiss SBE, Thornwood, NY, USA). Nano-lubricants were prepared by the adding of 0.25, 0.50, 0.75, 1.00, and 1.25 wt % nanoparticles into the vegetable lubricant, followed by ultrasonication for 5 min with a 120-Watt sonic dismembrator with a frequency of 20 kHz to ensure uniform dispersion and good suspension stability.
Table 1.
Material properties.
2.2. Rheometer
The rheological properties of SiO2 and CuO nanoparticles in coconut oil were evaluated by means of a commercial rheometer HAAKE RS 150 RheoStress (Haake Instruments, Inc., Paramus, NJ, USA) with a special plate (double parallel plates) spindle. The distance between upper and lower plates was 0.5 mm and 0.9 mL of the testing sample was placed on the plate. In this study, viscosities were studied at 22 °C, which was controlled during the measurements. The viscosity and shear stress of all samples were set from 10 to 120 s−1.
2.3. Tribological Characterization
Sliding wear tests were performed using a custom made tribotester with two different configurations: A block-on-ring configuration to determine COF based on ASTM G-077-05 [9], and a crossed-cylinder configuration to determine volumetric wear under extreme pressures based on ASTM G-83-96 [10]. A schematic diagram of the tribotester is shown in Figure 2. For the experiments, an oil bath chamber fixture was used. Basic characteristics of the materials are shown in Table 1. For the two configurations, nano-lubricants were placed in the oil bath chamber allowing constant lubrication, while the test ring rotated, covering it in lubricant due to centrifugal forces. All tests were run at a temperature of 25 °C, and 300 rpm, during 1800 s. For the block-on-ring experiments, a load of 40 N (corresponding to a contact pressure of ~106 MPa) was used. For the crossed-cylinder configuration, nano-lubricants with SiO2 and CuO with all concentrations were tested at 25 N, corresponding to a contact pressure of ~1.4 GPa. Wear was determined gravimetrically using an Mettler Toledo XS205DU electronic balance (Mettler-Toledo LLC, Columbus, OH, USA) to an accuracy of 0.01 mg. Prior to the gravimetric measurement of wear, cylinders were washed in soapy water, thoroughly rinsed in water, cleaned ultrasonically in ethanol for 20 min, and then left in an atmosphere-controlled room for 24 h to dry and thermally stabilize. Weight loss was converted into volume loss using the specific density of 8 g/cm3 for AISI 304 steel cylinders. The friction force was continuously recorded during each test. The sliding tests were repeated three times for reliability and reproducibility.
Figure 2.
Tribotester schematic diagram.
2.4. Surface Characterization
Morphology of the wear scars on the worn specimens and their surface roughness were analyzed with a Field Emission Scanning Electron Microscope (FE-SEM) ZEISS SIGMA VP (Carl Zeiss SBE, Thornwood, NY, USA) and a Dektak XT surface profilometer (Bruker Nano Inc., Tucson, AZ, USA).
3. Results
3.1. Morphology
Morphology of the nanoparticles is shown in Figure 3. CuO nanoparticles with particle sizes between 50 and 300 nm can be observed in Figure 3a. A SEM micrograph of SiO2 nanoparticles is shown in Figure 3b. The morphology of the SiO2 nanoparticles was fairly spherical, with particle sizes between 25 and 35 nm.
Figure 3.
SEM micrographs of (a) CuO nanoparticles, and (b) SiO2 nanoparticles.
3.2. Rheological Properties of Nanofluids
The rheological behavior of coconut base oil is shown in Figure 4. In this figure, the viscosity decreases at first, and after a shear rate of 50 s−1, the viscosity remains constant. Therefore, the viscosity experiences shear thinning before approaching a constant. Figure 5 and Figure 6 present viscosity at different concentrations of SiO2 in coconut oil. For concentrations of 0.75% and lower, the viscosity steadies out at lower values when compared to coconut without additives. For concentrations above 0.75% SiO2, the viscosity is greater than the base oil and it experiences shear thinning behavior until the end. It is evident that viscosity is dependent of the concentration of SiO2 in coconut base oil.
Figure 4.
Viscosity versus shear rate for coconut oil without additives.
Figure 5.
Effect of viscosity versus shear rate for SiO2 dispersion in various weight fraction in coconut base oil with the power law applied.
Figure 6.
Effect of viscosity versus shear rate for SiO2 dispersion in various weight fraction in coconut base oil with the Cross model applied.
Rheological behavior for coconut oil with CuO nanoparticles is shown in Figure 7 and Figure 8. As concentration of CuO increases, the viscosity decreases. Initially, the viscosity displays some shear thinning as indicated by the power law index of less than one when fitting data into empirical models. At higher shear rates, the viscosity remains constant. Therefore, concluding that viscosity behavior of the nano-lubricant is dependent of the concentration.
Figure 7.
Effect of viscosity versus shear rate for CuO dispersion in various weight fraction in coconut base oil with the power law applied.
Figure 8.
Effect of viscosity versus shear rate for CuO dispersion in various weight fraction in coconut base oil with the Cross model applied.
3.3. Rheological Models
3.3.1. Power Law Model
The simplest model to represent viscosity versus shear rate behavior is the power law. The power law consists of two parameters, which help express viscosity (η) as shown in Equation (1):
where K represents the consistency coefficient and n the power law index. When n < 1, it represents shear thinning behavior, when n = 1 it represents a Newtonian fluid, and when n > 1 it represents shear thickening behavior. The power law-fitted equations are shown in Figure 5 and Figure 7.
3.3.2. Cross Model
To further improve the empirical model, the Cross model can be used. Equation (2) represents the Cross model.
where η0 represents viscosity at a very low shear rate, η∞ represents infinite viscosity, K is consistency index, and n is the flow behavior index [11].
The Cross equation-fitted data for coconut base oil with SiO2 and CuO are shown in Figure 6 and Figure 8, respectively. The parameters for the empirical models are shown in Table 2, along with the root-mean-square error (RSME) and the error sum of squares (SSE).
Table 2.
Regression parameters for 1.25% SiO2 and 1.00% CuO concentrations in coconut base oil.
Using the coefficient of determination (R2), the better empirical model was found to be the Cross equation. This is due to that, at higher shear rate values, the lubricants behave in a nonlinear fashion. Therefore, the parameters of η0 and η∞ are needed to express this behavior.
3.4. Tribological Results
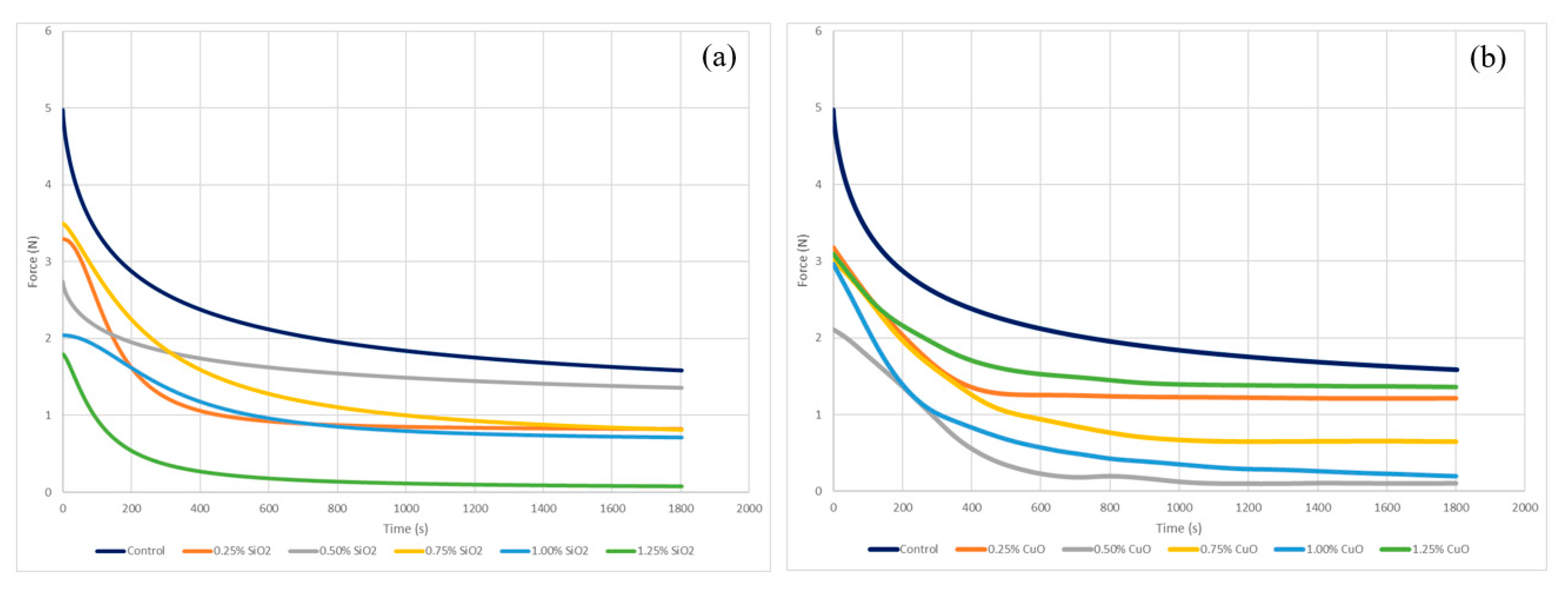
The tribological performance of coconut oil as a lubricant was evaluated with and without nanoparticles. The effect of nanoparticle concentration on the friction force with respect to time is shown in Figure 9. It was found that the friction force can be significantly reduced by the addition of nanoparticles into the coconut lubricant. The best results were obtained with the concentration of 1.25 wt % for SiO2 nanoparticles and 0.50 and 1.00 wt % for the CuO nanoparticles.
Figure 9.
Friction force versus time for coconut oil with (a) SiO2 and (b) CuO nanoparticles.
Figure 10 shows the COF average values determined during tribological tests under block-on-ring configuration. The coefficient of friction was calculated using Equation (3):
where µ is the coefficient of friction, F is the average friction force measured by the sensor during the steady state, and N is the normal force being applied. It is noted that the addition of SiO2 and CuO nanoparticles lowers the coefficient of friction, which is in agreement with Peng and co-workers [7]. It was found that SiO2 nanoparticles at 1.25 wt % in coconut oil reduces the coefficient of friction by 93.75%, compared to the base oil, as shown in Figure 10a. On the other hand, the addition of CuO nanoparticles at 0.5 and 1.00 wt % decreases the coefficient of friction by 93.25% and 86.25% respectively, compared to the coconut oil without additives.
Figure 10.
Coefficient of friction (COF) results for coconut oil modified with (a) SiO2 and (b) CuO nanoparticles.
Figure 11 shows the mean volumetric wear produced with the coconut nano-lubricants when they were evaluated under extreme pressure (EP) using a cross-cylinder configuration.
Figure 11.
Mean volumetric wear of AISI 304 cylinders lubricated with coconut oil modified with (a) SiO2 and (b) CuO nanoparticles.
From Figure 11, it can be observed that the addition of SiO2 and CuO nanoparticles to the coconut oil decreased the volumetric wear in the AISI 304 stainless steel specimens during testing. In the case of the SiO2 nanoparticles as lubricant additives, the 1.25 wt % concentration reduced the volumetric wear by 37.03% compared to the base oil, as shown in Figure 11a. Figure 11b shows the volumetric wear produced by coconut oil using different concentrations of CuO nanoparticles as an additive. It can be observed that with 1.00 wt % concentration of CuO nanoparticles as an additive, the volumetric wear decreased by 33.32% when compared to coconut as lubricant without additives.
Two possible nanoparticle effects may contribute to the reduction of the coefficient of friction and wear. One is the rolling effect of nanoparticles, illustrated in Figure 1A. In some researches with various material pairs [12,13], a rolling effect of the nanoscale particles could be expected under certain conditions such as surface roughness and hardness of the material pairs and particles. This effect can reduce both the frictional force and the wear rate. Another assumption is a nanoscale polishing effect, shown in Figure 1D. With appropriate size, hardness, and volume content, nanoparticles can polish the counterpart surface in a very fine scale [14]. As a result, the coefficient of friction and the wear rate can be reduced.
3.5. Worn Surface Characterization
To improve the understanding of the wear mechanisms of the sliding surfaces, Figure 12 provides SEM micrographs of the wear scars produced during wear testing. Figure 12a presents a SEM micrograph of the wear scar produced during the wear test lubricated with coconut oil without additives. A rough surface can be observed, with several grooves and deep furrows uniformly distributed on the contact area. A SEM micrograph of the wear scar produced with coconut oil enhanced with 1.25 wt % of SiO2 nanoparticles is shown in Figure 12b. The wear track presents grooves and furrows, as well as some localized pits. Figure 12c shows a SEM micrograph of the wear scar produced with coconut oil enhanced with 1.0 wt % CuO nanoparticles. Using CuO nanoparticles at an optimum concentration, the wear scar shows shallow and smooth micro-grooves, along with shallow furrows which are formed by the small nanoparticles. Unlike the two previous conditions, micro-pitting was found in the wear scar.
Figure 12.
SEM Micrographs of wear scars produced during wear tests lubricated with (a) coconut oil, (b) coconut oil with SiO2 nanoparticles at 1.25 wt %, and (c) coconut oil with CuO nanoparticles at 1.0 wt %.
The change in the morphology of the wear scars produced by the nano-lubricants can be attributed to the polishing effect. The mechanism of the nanoparticles polishing reduces friction and increases antiwear ability, which can be confirmed by these SEM images. Surface polishing has been reported for sliding tests by Chang, et al. [15] in the SEM observations of nano-TiO2 as an additive. Such a polishing effect was also confirmed by Peng et al. [16] when nano-SiO2 and Al nanoparticles [17] were used as lubricant additives.
Surface roughness profiles of the wear scars produced during wear testing are shown in Figure 13. The surface roughness profile of the wear scar produced during the wear test lubricated with coconut oil without additives is shown in Figure 13a. From the roughness profile, numerous asperities and a mean surface roughness value (Ra) of 0.855 µm can be seen. Figure 13b shows the roughness profile of the wear scar produced using coconut oil with SiO2 nanoparticles at 1.25 wt %. With the addition of SiO2 nanoparticles at 1.25 wt %, there was a decrease in the roughness compared with coconut oil without additives, resulting in a Ra value of 0.217 µm. After the wear test using coconut oil with the addition of 1.0 wt % CuO nanoparticles, the surface roughness on the wear scar resulted in a Ra value of 0.178 µm, as shown in Figure 13c.
Figure 13.
Surface roughness profiles of wear scars produced during wear tests lubricated with (a) coconut oil, (b) coconut oil with SiO2 nanoparticles at 1.25 wt %, and (c) coconut oil with CuO nanoparticles at 1.0 wt %.
The reduction of the surface roughness of the wear scars produced by the nano-lubricants confirms the presence of the polishing effect, illustrated in Figure 1D. The polishing effect is known as a lubrication mechanism present when the roughness of the lubricating surface is reduced by abrasion assisted by nanoparticles [6]. Similar results were obtained by previous experimental studies [2,18,19] where, for all nano-lubricants, the tendency of reduced surface roughness was attributed to the polishing effect exhibited by nanoparticles.
4. Conclusions
The rheological behavior and tribological performance of coconut oil with nanoparticles as lubricant additives have been discussed in this paper. Based to the research conducted, it can be concluded that:
- Nano-lubricant rheological behavior is dependent of concentration. For SiO2 nanoparticles in coconut base oil, viscosity increased at higher concentrations. For CuO nanoparticles, the viscosity decreased as the concentration of CuO increased in coconut base oil.
- Friction-reduction properties of coconut oil were enhanced by the addition of SiO2 and CuO nanoparticles.
- There exists an optimum concentration of CuO nanoparticles (0.5%) at which the coefficient of friction is the least.
- As the SiO2 nanoparticle concentration increases, the COF decreases up to a 1.25% concentration.
- Surface analyses via SEM and profilometry confirmed the surface enhancement of the worn surfaces via the polishing effect produced by the nanoparticle additives.
Author Contributions
Conceptualization, J.A.O.; methodology, V.C.; supervision, J.A.O.; validation, V.C.; writing—original draft, V.C.; writing—review and editing, J.A.O.
Funding
This research received no external funding.
Conflicts of Interest
The authors declare no conflicts of interest.
References
- Darminesh, S.P.; Sidik, N.A.C.; Najafi, G.; Mamat, R.; Ken, T.L.; Asako, Y. Recent Development on Biodegradable Nanolubricant: A Review. Int. Commun. Heat Mass Transf. 2017, 86, 159–165. [Google Scholar] [CrossRef]
- Thottackkad, M.V.; Perikinalil, R.K.; Kumarapillai, P.N. Experimental Evaluation on the Tribological Properties of Coconut Oil by the Addition of CuO Nanoparticles. Int. J. Precis. Eng. Manuf. 2012, 13, 111–116. [Google Scholar] [CrossRef]
- Alves, S.M.; Barros, B.S.; Trajano, M.F.; Ribeiro, K.S.B.; Moura, E. Tribological Behavior of Vegetable Oil-Based Lubricants with Nanoparticles of Oxides in Boundary Lubrication Conditions. Tribol. Int. 2013, 65, 28–36. [Google Scholar] [CrossRef]
- Mobarak, H.M.; Mohamad, E.N.; Masjuki, H.H.; Kalam, M.A.; Al Mahmud, K.A.H.; Habibullah, M.; Ashraful, A.M. The Prospects of Biolubricants as Alternatives in Automotive Applications. Renew. Sustain. Energy Rev. 2014, 33, 34–43. [Google Scholar] [CrossRef]
- Jayadas, N.H.; Nair, K.P. Coconut Oil as Base Oil for Industrial Lubricants—Evaluation and Modification of Thermal, Oxidative and Low Temperature Properties. Tribol. Int. 2006, 39, 873–878. [Google Scholar] [CrossRef]
- Lee, K.; Hwang, Y.; Cheong, S.; Choi, Y.; Kwon, L.; Lee, J.; Kim, S.H. Understanding the Role of Nanoparticles in Nano-Oil Lubrication. Tribol. Lett. 2009, 35, 127–131. [Google Scholar] [CrossRef]
- Peng, D.X.; Kang, Y.; Hwang, R.M.; Shyr, S.S.; Chang, Y.P. Tribological Properties of Diamond and SiO2 Nanoparticles Added in Paraffin. Tribol. Int. 2009, 42, 911–917. [Google Scholar] [CrossRef]
- Che Sidik, N.A.; Alawi, O.A. Computational Investigations on Heat Transfer Enhancement Using Nanorefrigerants. J. Adv. Res. Des. 2014, 1, 35–41. [Google Scholar]
- G02 Committee. Test Method for Ranking Resistance of Materials to Sliding Wear Using Block-on-Ring Wear Test; ASTM International: West Conshohocken, PA, USA, 2017. [Google Scholar] [CrossRef]
- G02 Committee. Test Method for Wear Testing with a Crossed-Cylinder Apparatus; ASTM International: West Conshohocken, PA, USA, 1996. [Google Scholar] [CrossRef]
- Ghasemi, R.; Fazlali, A.; Mohammadi, A.H. Effects of TiO2 Nanoparticles and Oleic Acid Surfactant on the Rheological Behavior of Engine Lubricant Oil. J. Mol. Liq. 2018, 268, 925–930. [Google Scholar] [CrossRef]
- Dwyer-Joyce, R.S.; Sayles, R.S.; Ioannides, E. An Investigation into the Mechanisms of Closed Three-Body Abrasive Wear. Wear 1994, 175, 133–142. [Google Scholar] [CrossRef]
- Trezona, R.I.; Allsopp, D.N.; Hutchings, I.M. Transitions between Two-Body and Three-Body Abrasive Wear: Influence of Test Conditions in the Microscale Abrasive Wear Test. Wear 1999, 225–229, 205–214. [Google Scholar] [CrossRef]
- Kahlman, L.; Hutchings, I.M. Effect of Particulate Contamination in Grease-Lubricated Hybrid Rolling Bearings. Tribol. Trans. 1999, 42, 842–850. [Google Scholar] [CrossRef]
- Chang, L.; Zhang, Z.; Breidt, C.; Friedrich, K. Tribological Properties of Epoxy Nanocomposites: I. Enhancement of the Wear Resistance by Nano-TiO2 Particles. Wear 2005, 258, 141–148. [Google Scholar] [CrossRef]
- Peng, D.X.; Chen, C.-H.; Kang, Y.; Chang, Y.P.; Chang, S.Y. Size Effects of SiO2 Nanoparticles as Oil Additives on Tribology of Lubricant. Ind. Lubr. Tribol. 2010, 62, 111–120. [Google Scholar] [CrossRef]
- Peng, D.X.; Kang, Y.; Chen, S.K.; Shu, F.C.; Chang, Y.P. Dispersion and Tribological Properties of Liquid Paraffin with Added Aluminum Nanoparticles. Ind. Lubr. Tribol. 2010, 62, 341–348. [Google Scholar] [CrossRef]
- Lee, C.G.; Hwang, Y.J.; Choi, Y.M.; Lee, J.K.; Choi, C.; Oh, J.M. A Study on the Tribological Characteristics of Graphite Nano Lubricants. Int. J. Precis. Eng. Manuf. 2009, 10, 85–90. [Google Scholar] [CrossRef]
- Arumugam, S.; Sriram, G. Synthesis and Characterization of Rapeseed Oil Bio-Lubricant Dispersed with Nano Copper Oxide: Its Effect on Wear and Frictional Behavior of Piston Ring–Cylinder Liner Combination. Proc. Inst. Mech. Eng. Part J J. Eng. Tribol. 2014, 228, 1308–1318. [Google Scholar] [CrossRef]
© 2019 by the authors. Licensee MDPI, Basel, Switzerland. This article is an open access article distributed under the terms and conditions of the Creative Commons Attribution (CC BY) license (http://creativecommons.org/licenses/by/4.0/).












