Evolution of Microstructure, Hardness, and Wear Behavior of Medium-Entropy CuNiSiCrCoTiNbx Alloy
Abstract
1. Introduction
1.1. General Considerations
1.2. Literature Review
1.3. Motivation and Contributions
- Evolution of configurational entropy as a function of Nb content and its influence on phase stability and solid solution formation of BCC and FCC structures.
- The microstructure of the alloys was characterized by XRD and SEM-EDS to identify the crystalline phases and evaluate the effect of Nb on the lattice parameters.
- To analyze how Nb and different heat treatments influence the refinement and distribution of the precipitated phases and the evolution of the hardness of the alloys in the cast and aged states.
- To determine the wear behavior of the MEA under different heat treatment conditions, they were compared with the CuBe C17510 alloy to establish their viability in applications where wear resistance is a key factor.
2. Materials and Methods
3. Considerations of Thermodynamic Properties in the Formation of Phases in MEAs
4. Results and Discussion
4.1. The XRD Patterns Prior to Heat Treatment
4.2. Microstructural Characterization Before Heat Treatments
4.3. XRD Patterns Following Heat Treatments
4.4. Microstructure Analysis by SEM
4.5. Elemental Distribution Analysis by SEM-EDS
4.6. Hardness Rockwell B Results
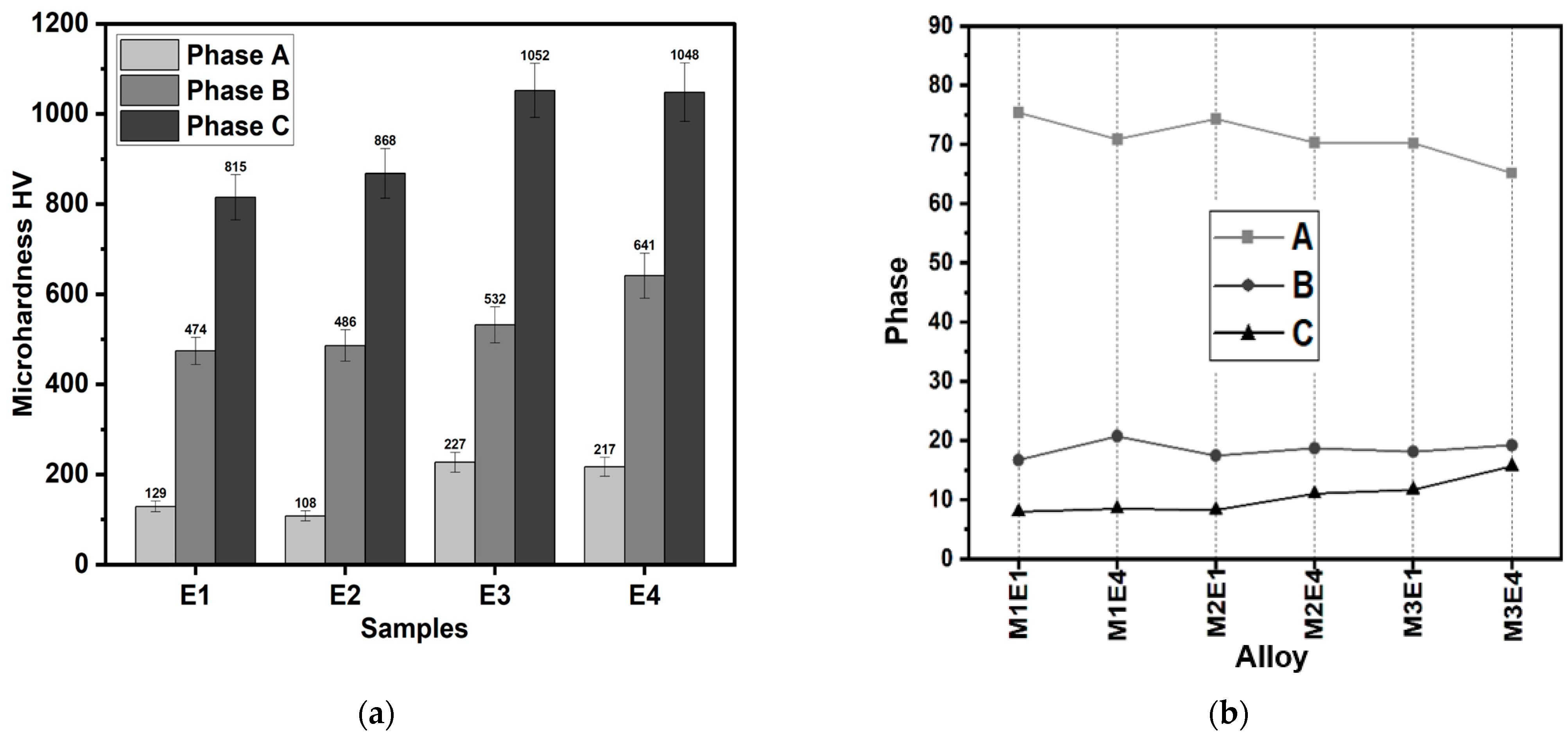
4.7. Vickers Hardness Results
4.8. Friction and Wear Behaviors of the MEAs


5. Conclusions
- (1)
- Nb additions were found to favor the gradual increase in configurational entropy values of 8.17 J/mol-K for M1, 8.38 J/mol-K for M2 and 8.61 J/mol-K for M3, which favors the formation of solid solutions and crystalline structures of BCC and FCC types.
- (2)
- The XRD and SEM-EDS spectra showed that the medium-entropy alloys were mainly composed of the FCC phase (αCu) and the precipitated phases Co2Nb, Ni2Si and Cr3Si. In addition, the XRD spectra revealed that the (111) peak undergoes an important variation in the diffraction angle, with a slight shift to larger angles of 50.64°, 50.65°, and 50.69° with an increase in Nb content, which causes at the decrease in lattice parameters in M1, M2, and M3, respectively.
- (3)
- Nb addition and heat treatments strengthened the microstructure through the refinement and distribution of the precipitated phases.
- (4)
- The high hardness values of the as-cast samples manifested a gradual increase of 86 ± 1.21, 87 ± 1.70 and 92 ± 0.11 HRB for M1, M2, and M3, respectively. This increase in hardness is attributed to the microstructural evolution caused by the addition of Nb. In addition, the hardness values of the aged samples were higher than those of the as-cast and commercial CuBe C17510 alloy.
- (5)
- The wear behavior analysis revealed that the E1 samples in as-cast condition obtained satisfactory wear resistance results as the Nb content increased, resulting in a stepwise lost volume behavior of 2.22 mm3, 1.95 mm3 and 1.67 mm3 for the M1, M2, and M3 alloys. On the other hand, wear values for the E4 samples in TTE-60 aged condition reflected a reduction in material loss of 1.77 mm3, 1.53 mm3, and 1.29 mm3 for M1, M2, and M3. For the CuBe alloy C17510, the material loss was 3.34 mm3.
Author Contributions
Funding
Data Availability Statement
Acknowledgments
Conflicts of Interest
References
- Ma, L.; Zhao, D.; Wang, Y.; Wang, K.; Huang, J.; Jin, X.; Kong, D.; Wang, M.; Yamaguchi, T.; Wang, H. Optimized Wear Behaviors and Related Wear Mechanisms of Medium Entropy Alloy-Based Composite Coatings. J. Mater. Res. Technol. 2024, 29, 12–27. [Google Scholar] [CrossRef]
- Wu, J.; Ren, D.; Xie, B.; He, R.; Geng, Z.; Zhang, Z.; Liu, Y.; Wang, D.; Zhu, Y.; Zhang, W. Effect of Cr3C2 Addition on Microstructure and Mechanical Properties of WC-CoNiFe Cemented Carbides. Metals 2024, 14, 895. [Google Scholar] [CrossRef]
- Avila-Salgado, D.A.; Juárez-Hernández, A.; Lara Banda, M.; Bedolla-Jacuinde, A.; Guerra, F.V. Effects of Nb Additions and Heat Treatments on the Microstructure, Hardness and Wear Resistance of CuNiCrSiCoTiNbx High-Entropy Alloys. Entropy 2022, 24, 1195. [Google Scholar] [CrossRef]
- Chang, H.; Wang, S.; Mao, Z.; Zhang, T.; Li, Z.; Wang, Z. Influence of Si Addition on the Microstructures, Phase Assemblages and Properties in CoCrNi Medium-Entropy Alloy. Materials 2024, 17, 2893. [Google Scholar] [CrossRef]
- Avila-Salgado, D.A.; Juárez-Hernández, A.; Cabral-Miramontes, J.; Camacho-Martínez, J.L. Strengthening Properties and Wear Resistance of the Cu-xNi-yCo-Cr-Si Alloy by Varying Ni/Co and Zr Addition. Lubricants 2021, 9, 96. [Google Scholar] [CrossRef]
- VOSviewer—Visualizing Scientific Landscapes. Available online: https://www.vosviewer.com// (accessed on 29 June 2024).
- Zhou, L.; Liu, H.; Zhang, Q.; Liang, J.; Peng, Y.; Hao, X.; Yang, C.; Liu, Y.; Wang, Y. Effect of Al/Cu Ratio on Microstructure and High-Temperature Oxidation Resistance of AlxCoCrCuyFeNi High-Entropy Alloy Coatings. J. Manuf. Mater. Process. 2025, 9, 13. [Google Scholar] [CrossRef]
- Yang, Z.; Chen, W.; Hao, L.; Chu, C.; Zeng, D.; Xiong, W.; Fu, Z. Microstructure and Mechanical Properties of As-Cast (CuNi)100−xCox Medium-Entropy Alloys. China Foundry 2022, 19, 511–518. [Google Scholar] [CrossRef]
- Du, Y.; Pei, X.; Tang, Z.; Zhang, F.; Zhou, Q.; Wang, H.; Liu, W. Mechanical and Tribological Performance of CoCrNiHfx Eutectic Medium-Entropy Alloys. J. Mater. Sci. Technol. 2021, 90, 194–204. [Google Scholar] [CrossRef]
- Wang, W.; Chen, Z.; Guo, E.; Zhang, S.; Kang, H.; Wang, T. Effects of Cr Addition on the Precipitation and Properties of Cryo-Rolled CuNiSi Alloys. Metals 2023, 13, 758. [Google Scholar] [CrossRef]
- Wang, J.; Gao, J.; Yang, H.; Yang, F.; Wen, T.; Liu, Z.; Zhang, L.; Ji, S. High-Strength Al–5Mg2Si–2Mg–2Fe Alloy with Extremely High Fe Content for Green Industrial Application through Additive Manufacturing. Virtual Phys. Prototyp. 2023, 18, e2235587. [Google Scholar] [CrossRef]
- Zhao, Y.; Ma, W.; Tisov, O. Enhancing Reciprocating Wear Resistance of Co37Cr28Ni31Al2Ti2 Spark Plasma Sintered Medium-Entropy Alloy via TiC Addition. Materials 2025, 18, 442. [Google Scholar] [CrossRef]
- Wang, T.; Zhang, J.; Zhang, Y.; Chen, S.; Luo, Z.; Wu, J.; Zhu, L.; Lei, J. Improving Wear and Corrosion Resistance of LDEDed CrFeNi MEA through Addition of B and Si. J. Alloys Compd. 2023, 968, 172223. [Google Scholar] [CrossRef]
- Rahimi, E.; Rezayat, M.; Mahdavi, S. Enhancing Wear Resistance of CoNiCrMo Medium Entropy Alloy through Cold Working and Aging: Tradeoffs with Corrosion Performance. J. Mater. Res. Technol. 2024, 33, 6890–6901. [Google Scholar] [CrossRef]
- Zhou, E.; Qiao, D.; Yang, Y.; Xu, D.; Lu, Y.; Wang, J.; Smith, J.A.; Li, H.; Zhao, H.; Liaw, P.K.; et al. A Novel Cu-Bearing High-Entropy Alloy with Significant Antibacterial Behavior against Corrosive Marine Biofilms. J. Mater. Sci. Technol. 2020, 46, 201–210. [Google Scholar] [CrossRef]
- Ren, G.; Huang, L.; Hu, K.; Li, T.; Lu, Y.; Qiao, D.; Zhang, H.; Xu, D.; Wang, T.; Li, T.; et al. Enhanced Antibacterial Behavior of a Novel Cu-Bearing High-Entropy Alloy. J. Mater. Sci. Technol. 2022, 117, 158–166. [Google Scholar] [CrossRef]
- Chen, C.; Chen, J.; Yuan, S.; Li, W.; Wang, W.; Li, X.; Zhang, W.; Wei, R.; Guan, S.; Wang, T.; et al. Microstructure, Mechanical Properties, Corrosion Resistance and Anti-Bacterial Behavior of Novel Co-Free High Entropy Alloys. J. Alloys Compd. 2022, 902, 163714. [Google Scholar] [CrossRef]
- ASTM G99-05(2010); Standard Test Method for Wear Testing with a Pin-on-Disk Apparatus. ASTM International: West Conshohocken, PA, USA, 2011. [CrossRef]
- Zhang, Y.; Zhou, Y.J.; Lin, J.P.; Chen, G.L.; Liaw, P.K. Solid-Solution Phase Formation Rules for Multi-Component Alloys. Adv. Eng. Mater. 2008, 10, 534–538. [Google Scholar]
- Guo, S.; Liu, C.T. Phase Stability in High Entropy Alloys: Formation of Solid-Solution Phase or Amorphous Phase. Prog. Nat. Sci. Mater. Int. 2011, 21, 433–446. [Google Scholar]
- Yang, X.; Zhang, Y. Prediction of High-Entropy Stabilized Solid-Solution in Multi-Component Alloys. Mater. Chem. Phys. 2012, 132, 233–238. [Google Scholar]
- Guo, S.; Ng, C.; Lu, J.; Liu, C.T.; Carlo, M.; Guo, S.; Ng, C.; Lu, J.; Liu, C.T. Effect of Valence Electron Concentration on Stability of Fcc or Bcc Phase in High Entropy Alloys Effect of Valence Electron Concentration on Stability of Fcc or Bcc Phase in High Entropy Alloys. J. Appl. Phys. 2011, 109, 103505. [Google Scholar]
- Nong, Z.S.; Zhu, J.C.; Cao, Y.; Yang, X.W.; Lai, Z.H.; Liu, Y. Stability and Structure Prediction of Cubic Phase in as Cast High Entropy Alloys. Mater. Sci. Technol. U. K. 2014, 30, 363–369. [Google Scholar] [CrossRef]
- ASTM 407-07; Standard Practice for Microetching Metals and Alloys. ASTM International: West Conshohocken, PA, USA, 2007; pp. 1–21. [CrossRef]
- Erdogan, A.; Doleker, K.M.; Zeytin, S. Effect of Al nd Ti on High-Temperature Oxidation Behavior of CoCrFeNi-Based High-Entropy Alloys. Jom 2019, 71, 3499–3510. [Google Scholar] [CrossRef]
- Xu, Z.; Li, D.Y.; Chen, D.L. Effect of Ti on the wear behavior of AlCoCrFeNi high-entropy alloy during unidirectional and bi-directional sliding wear processes. Wear 2021, 476, 203650. [Google Scholar] [CrossRef]


















| C | Elemental Constituents (wt%) | |||||||
|---|---|---|---|---|---|---|---|---|
| Alloy | Cu | Ni | Si | Cr | Co | Ti | Fe | Nb |
| M1 | 79.90 | 5.50 | 5.50 | 5.50 | 1.00 | 2.00 | 0.60 | 0.00 |
| M2 | 79.13 | 5.50 | 5.50 | 5.50 | 1.00 | 2.00 | 0.87 | 0.50 |
| M3 | 78.39 | 5.50 | 5.50 | 5.50 | 1.00 | 2.00 | 1.11 | 1.00 |
| Alloy | Phase | ∆HMix (k·J/mol) | ∆SConf (J/mol·K) | δ (%) | ∆χ (%) | VEC | Ω | Tm (K) |
|---|---|---|---|---|---|---|---|---|
| M1 | FCC/BCC | −7.14 | 8.11 | 5.44 | 0.110 | 8.93 | 1.68 | 1483.15 |
| M2 | FCC/BCC | −7.16 | 8.38 | 4.05 | 0.080 | 9.61 | 1.69 | 1488.15 |
| M3 | FCC/BCC | −7.17 | 8.61 | 4.11 | 0.082 | 9.58 | 1.79 | 1494.15 |
| Alloy | Phase | Elemental Constituents (at%) | |||||||
|---|---|---|---|---|---|---|---|---|---|
| Cu | Ni | Si | Cr | Co | Ti | Fe | Nb | ||
| Nominal | 73.00 | 5.50 | 6.10 | 11.40 | 1.00 | 2.40 | 0.60 | 0.00 | |
| A | 90.86 | 3.59 | 5.55 | 0.00 | 0.00 | 0.00 | 0.00 | 0.00 | |
| M1 | B | 32.08 | 24.12 | 23.35 | 4.71 | 2.94 | 5.43 | 7.37 | 0.00 |
| C | 1.96 | 0.88 | 22.40 | 70.08 | 0.00 | 0.30 | 4.38 | 0.00 | |
| Nominal | 72.40 | 5.50 | 6.10 | 11.40 | 1.00 | 2.40 | 0.90 | 0.30 | |
| A | 95.45 | 2.87 | 5.68 | 0.00 | 0.00 | 0.00 | 0.00 | 0.00 | |
| M2 | B | 19.22 | 18.97 | 24.71 | 12.35 | 4.99 | 10.80 | 7.32 | 1.63 |
| C | 2.37 | 0.78 | 22.82 | 69.74 | 0.69 | 0.71 | 2.88 | 0.00 | |
| Nominal | 71.80 | 5.50 | 6.10 | 11.40 | 1.00 | 2.40 | 1.20 | 0.60 | |
| A | 90.92 | 2.50 | 6.58 | 0.00 | 0.00 | 0.00 | 0.00 | 0.00 | |
| M3 | B | 4.59 | 9.79 | 25.55 | 19.29 | 7.20 | 5.67 | 8.83 | 19.08 |
| C | 1.45 | 0.16 | 23.65 | 72.12 | 0.11 | 0.41 | 2.10 | 0.00 | |
Disclaimer/Publisher’s Note: The statements, opinions and data contained in all publications are solely those of the individual author(s) and contributor(s) and not of MDPI and/or the editor(s). MDPI and/or the editor(s) disclaim responsibility for any injury to people or property resulting from any ideas, methods, instructions or products referred to in the content. |
© 2025 by the authors. Licensee MDPI, Basel, Switzerland. This article is an open access article distributed under the terms and conditions of the Creative Commons Attribution (CC BY) license (https://creativecommons.org/licenses/by/4.0/).
Share and Cite
Avila-Salgado, D.A.; Juárez-Hernández, A.; Izaguirre-Bonilla, N.J.; Muñoz Tabora, J.; Camacho-Martínez, J.L. Evolution of Microstructure, Hardness, and Wear Behavior of Medium-Entropy CuNiSiCrCoTiNbx Alloy. Lubricants 2025, 13, 164. https://doi.org/10.3390/lubricants13040164
Avila-Salgado DA, Juárez-Hernández A, Izaguirre-Bonilla NJ, Muñoz Tabora J, Camacho-Martínez JL. Evolution of Microstructure, Hardness, and Wear Behavior of Medium-Entropy CuNiSiCrCoTiNbx Alloy. Lubricants. 2025; 13(4):164. https://doi.org/10.3390/lubricants13040164
Chicago/Turabian StyleAvila-Salgado, Denis Ariel, Arturo Juárez-Hernández, Nelson Javier Izaguirre-Bonilla, Jonathan Muñoz Tabora, and José Luis Camacho-Martínez. 2025. "Evolution of Microstructure, Hardness, and Wear Behavior of Medium-Entropy CuNiSiCrCoTiNbx Alloy" Lubricants 13, no. 4: 164. https://doi.org/10.3390/lubricants13040164
APA StyleAvila-Salgado, D. A., Juárez-Hernández, A., Izaguirre-Bonilla, N. J., Muñoz Tabora, J., & Camacho-Martínez, J. L. (2025). Evolution of Microstructure, Hardness, and Wear Behavior of Medium-Entropy CuNiSiCrCoTiNbx Alloy. Lubricants, 13(4), 164. https://doi.org/10.3390/lubricants13040164

