Next Article in Journal
A Close Binary Supermassive Black Hole Model for the Galaxy 3C 273
Previous Article in Journal
The Structure and Evolution of Stars: Introductory Remarks
Previous Article in Special Issue
Hawking Radiation and Lifetime of Primordial Black Holes in Braneworld
 
 
Font Type:
Arial Georgia Verdana
Font Size:
Aa Aa Aa
Line Spacing:
Column Width:
Background:
Article

Test Particles and Quasiperiodic Oscillations around Gravitational Aether Black Holes

by
Javlon Rayimbaev
1,2,3,4,*,
Farrux Abdulxamidov
5,6,7,
Sardor Tojiev
5,6,
Ahmadjon Abdujabbarov
3,4,6 and
Farhod Holmurodov
8
1
Institute of Fundamental and Applied Research, National Research University TIIAME, Kori Niyoziy 39, Tashkent 100000, Uzbekistan
2
School of Engineering, Central Asian University, Tashkent 111221, Uzbekistan
3
Faculty of Physics, National University of Uzbekistan, Tashkent 100174, Uzbekistan
4
Power Engineering Faculty, Tashkent State Technical University, Tashkent 100095, Uzbekistan
5
School of Mathematics and Natural Sciences, New Uzbekistan University, Mustaqillik Ave. 54, Tashkent 100007, Uzbekistan
6
Ulugh Beg Astronomical Institute, Astronomy St. 33, Tashkent 100052, Uzbekistan
7
Institute of Nuclear Physics, Ulugbek 1, Tashkent 100214, Uzbekistan
8
Faculty of Mathematics, Namangan State University, Boburshoh Str. 161, Namangan 160107, Uzbekistan
*
Author to whom correspondence should be addressed.
Galaxies 2023, 11(5), 95; https://doi.org/10.3390/galaxies11050095
Submission received: 8 May 2023 / Revised: 10 August 2023 / Accepted: 25 August 2023 / Published: 1 September 2023

Abstract

This paper is devoted to the analysis of the dynamics of test particles in the vicinity of a black hole within the framework of a gravitational aether model. First, we explored the structure of spacetime by analyzing the curvature scalars. Then, we studied particle dynamics around a black hole using the Hamilton–Jacobi equation.The influence of the aether on the effective potential of the radial motion of test particles around the black hole has been investigated. The dependence of the innermost stable circular orbits (ISCO) on the aether parameter has also been investigated. We also considered particle collision near the black hole in the presence of aether, and studied the fundamental frequencies of the orbital motion of the test particles around the black hole in the presence of aether. Further, we applied the obtained results to the analysis of the upper and lower frequencies of twin-peaked quasiperiodic oscillations (QPOs) occurring near black holes. Finally, we use theoretical and numerical results to obtain constraints on model parameters using observation data in QPO.
PACS:
04.50.-h; 04.40.Dg; 97.60.Gb

1. Introduction

The 21st century provided new discoveries in astrophysics, including the discovery of an accelerated expansion of the Universe. Within the standard theory of gravity, these phenomena can be modeled, including the cosmological constant to the corresponding solution of Einstein’s equation. Modern observations show that the dark energy responsible for the expansion and modeled by the cosmological constant constitutes 75% of the total mass of the Universe. However, models based on the cosmological constant have some fundamental problems. Particularly, in order to fit the observations, one should require an extreme fine-tuning of more than 60 orders of magnitude. Another open question is related to the value of the cosmological constant: why is its value minimal and not equal to zero?
In order to resolve the above-mentioned fundamental problems of the cosmological model based on the cosmological constant, several alternative models have been proposed. Authors of Ref. [1] proposed a gravity model applicable to cosmology. Cosmology based on the braneworld model was proposed in Ref. [2]. It is important to note that the majority of alternative approaches aimed at resolving the cosmological constant problem involve modifications to Einstein’s theory of gravity. These modifications often involve the inclusion of higher-order curvature terms in the geometric aspect of Einstein’s equations.
In [3], a novel approach to modified gravity is proposed, introducing the concept of gravitational aether. The gravitational aether serves as a component to disentangle the vacuum of quantum field theory from gravity. According to this model, the right-hand side of the Einstein field equation (Equation (1)) is modified as follows:
( 8 π G ) 1 G μ ν = T μ ν 1 4 T α α g μ ν + p ( u μ u ν + g μ ν ) ,
and
d ϕ d r = M + 4 π r 3 p r ( r 2 M ) ,
d p d r = p ( M + 4 π r 3 p ) r ( r 2 M ) ,
Additionally, the Tolman–Oppenheimer–Volkoff equations are employed, represented by Equations (2) and (3), where p and  ϕ  denote the pressure and scalar potential of the field, respectively. These equations provide essential insights into the dynamics of the system under consideration.
The authors of [4] focused on the study of static black hole solutions within the gravitational aether framework. They argued that the aether couples the spacetime metric near the black hole horizon with the metric at infinity. By establishing this connection, they demonstrated the possibility of an accelerating cosmological solution far away from the black hole horizon. This intriguing relationship between the formation of stellar black holes and the expansion acceleration of the Universe holds the potential to address the coincidence problem by considering Planck-suppressed corrections within black hole physics.
When examining and testing gravity models and theories, it is crucial to establish an observational or experimental foundation. Analyzing the dynamics of test particles in the vicinity of a compact gravitating object described by the corresponding theory offers a valuable approach for developing new tests of gravity models [5,6].
Moreover, the utilization of X-ray observation data from astrophysical objects provides an avenue for constraining the physical parameters of the theory [7,8,9,10]. Additionally, the presence of the gravitational field affects the structure of the electromagnetic field, consequently influencing the behavior of charged particles [11,12,13,14,15,16,17,18,19]. Furthermore, the motion of magnetically charged particles and particles possessing nonzero magnetic dipole moments can provide valuable insight into the nature of the gravitational field surrounding compact objects [20,21,22,23,24,25].
Another interesting astrophysical phenomenon that can be used as a test of gravity models is quasiperiodic oscillations (QPOs). QPOs correspond to (several) peaks observed in radio- to X-ray bands of the electromagnetic spectrum. Special cases of QPOs, called twin peaked QPOs in microquasars, can be observed through the matter accreting into compact objects [26,27,28,29,30].
Numerous models have been proposed to explain the underlying mechanisms responsible for the generation of QPOs. Among these models, those based on the dynamics of test particles have shown significant promise. In particular, the harmonic oscillations exhibited by particles along radial, vertical, and azimuthal directions contribute to the observable QPO signals. By analyzing such models, investigations concerning the inner edge of the accretion disk around a compact object can be conducted [31,32]. The influence of gravity theories on QPO generation has been extensively explored in the literature [33,34,35,36,37,38].
This manuscript is structured as follows: Section 2 provides a brief description of the gravitational aether black hole solution, and Section 3 delves into the study of scalar invariants within the black hole spacetime. The dynamics of test particles around the black hole aether are investigated in Section 4, focusing on the influence of the aether field pressure on particle energy, angular momentum, circular orbits, the innermost stable circular orbits (ISCOs), and energy efficiency of the Novikov–Thorne accretion disk. Additionally, we demonstrate how the aether field parameter mimics the spin of rotating Kerr black holes, yielding equivalent energy efficiencies. Section 9 explores test particle collisions and calculates the center-of-mass energy. The analysis of fundamental frequencies and their application to QPOs is presented in Section 7. Finally, we provide a summary of the results obtained.
In this study, we utilize a unit system where the speed of light c, and the gravitational constant G are set to unity, and we use a spacetime signature of (−, +, +, +). The coordinates are chosen to be spherical  ( t , r , θ , φ ) , and Greek indices range from 0 to 3. We follow the customary practice of summing over repeated indices in calculations.

2. Black Holes in the Gravitational Aether Theory

The static and spherical symmetric spacetime metric of the black hole with the total mass M in the gravitational aether model with the energy–momentum tensor given in (1) has the following form [4]
d s 2 = e 2 ϕ ( r ) d t 2 + 1 2 M r 1 d r 2 + r 2 d Ω 2
where  d Ω 2 = d θ 2 + sin 2 θ d φ 2 , from the TOV equations given in (2) and (3) one can easily obtain:
d ϕ d p = 1 p ,
and the solution of this equation is  p = p 0 e ϕ ( r ) , where  p 0  is the integration (aether pressure) constant. In general relativity, the pressure of gravitational fields is not inherently negative. The curvature of spacetime is influenced by the distribution of matter and energy. The properties of the gravitational field, such as pressure and energy density, are determined by the stress–energy tensor, which describes the matter and energy content of the system. In typical situations, the pressure associated with gravitational fields can be positive, negative, or even zero, depending on the distribution and nature of the matter and energy sources involved. For example, in the case of ordinary matter, the pressure is typically positive. However, there are certain exotic forms of matter or energy, such as dark energy or certain hypothetical fields, where the pressure may be negative. If the aether exists in nature, it must be a shear-free tensile material with a constant tension equal to its energy density. However, no known material of this nature currently exists. Nevertheless, it is still worth considering the theoretical possibility. Einstein’s introduction of a positive cosmological constant in their gravitational field equations, dating back to 1915, is equivalent to assuming that the Universe is filled with an ideal fluid exhibiting negative pressure equal to its constant energy density. This form of “dark energy” can also be conceived as a tensile material with a tension of  Λ  that adheres to local Lorentz invariance. Consequently, dark energy can be considered to be a type of aether. Therefore, this negative pressure can lead to phenomena such as the accelerated expansion of the Universe.
Equation (5) corresponds to the condition of hydrostatic equilibrium governing the aether field. This condition remains applicable regardless of assuming spherical symmetry, being valid for any static spacetime.
If one integrates Equation (6) by using Equation (5)
d ϕ d r = M + 4 π r 3 p 0 e ϕ ( r ) r ( r 2 M ) ,
The equation at hand can be solved by recognizing it as a first-order inhomogeneous linear differential equation in  e ϕ ( r ) , and the solution is given in [4] as:
e ϕ ( r ) = 1 2 M r 1 + 4 π p 0 f ( r ) ,
with
f ( r ) = r 2 2 1 2 M r 1 2 1 + 5 M r 30 M 2 r 2 + 15 2 M 2 ln r M 1 + 1 2 M r 1
From the metric (4), we can see that the horizon of this spacetime is located at  r h = 2 M , and it is solely dependent on the mass of the black hole without any dependence on other parameters of the spacetime.

3. Scalar Invariants

The expression of the scalar invariants such as the Ricci scalar, the square of Ricci tensor, and Kretschmann scalars for the spacetime given in Equation (4) are calculated in the next subsections.

3.1. Ricci Scalar

The Ricci scalar, also known as the scalar curvature, is a fundamental curvature invariant in curved spacetime. It is defined as  R = g μ ν R μ ν , where  R μ ν  represents the Ricci tensor. Positive and negative values of the Ricci scalar correspond to a sunken and convex curvature of spacetime, respectively. By performing straightforward mathematical calculations, one can readily obtain the expression for the Ricci scalar.
R = g μ ν R μ ν = 8 π p 0 r 4 π p 0 f ( r ) + 1 2 M r f ( r ) r 1 2 M r f ( r ) .

3.2. Square of Ricci Tensor

Let us consider the second scalar invariant known as the square of the Ricci tensor. This invariant is associated with the square of the energy–momentum tensor of a field in the spacetime of a black hole (BH). It is defined as  R = R μ ν R μ ν 1 / ( 8 π G ) T μ ν T μ ν  for the spacetime around the aether black holes (4). The expression for the square of the Ricci tensor is given by:
R μ ν R μ ν = 32 π 2 p 0 2 1 + 4 π p 0 f ( r ) 2 { 1 2 M r 2 f ( r ) 2 + 3 r 2 f ( r ) 2 × 1 2 M r + 3 M 2 r 2 + 2 r 1 + M r 1 2 M r f ( r ) f ( r ) }

3.3. Kretschmann Scalar

Next, we turn our attention to the Kretschmann scalar, denoted as  K = R μ ν σ ρ R μ ν σ ρ . The square root of the Kretschmann scalar is often associated with an effective gravitational energy density, represented as  K ρ M . We can straightforwardly compute the Kretschmann scalar for the spacetime metric (4) as follows:
K = R μ ν α β R μ ν α β = 16 r 6 ( 4 π p 0 f ( r ) + 1 ) 2 { 3 M 2 + 4 π p 0 r [ π p 0 r 5 1 2 M r 2 f ( r ) 2 + π p 0 r 3 2 8 M r + 17 M 2 r 2 f ( r ) 2 + M r 1 5 M r f ( r ) M r 2 1 2 M r f ( r ) 1 6 π p 0 r f ( r ) + M f ( r ) 4 π p 0 r 1 5 M r f ( r ) r 1 2 M r f ( r ) + 6 M r + 48 π M 2 p 0 f ( r ) 2 ] }
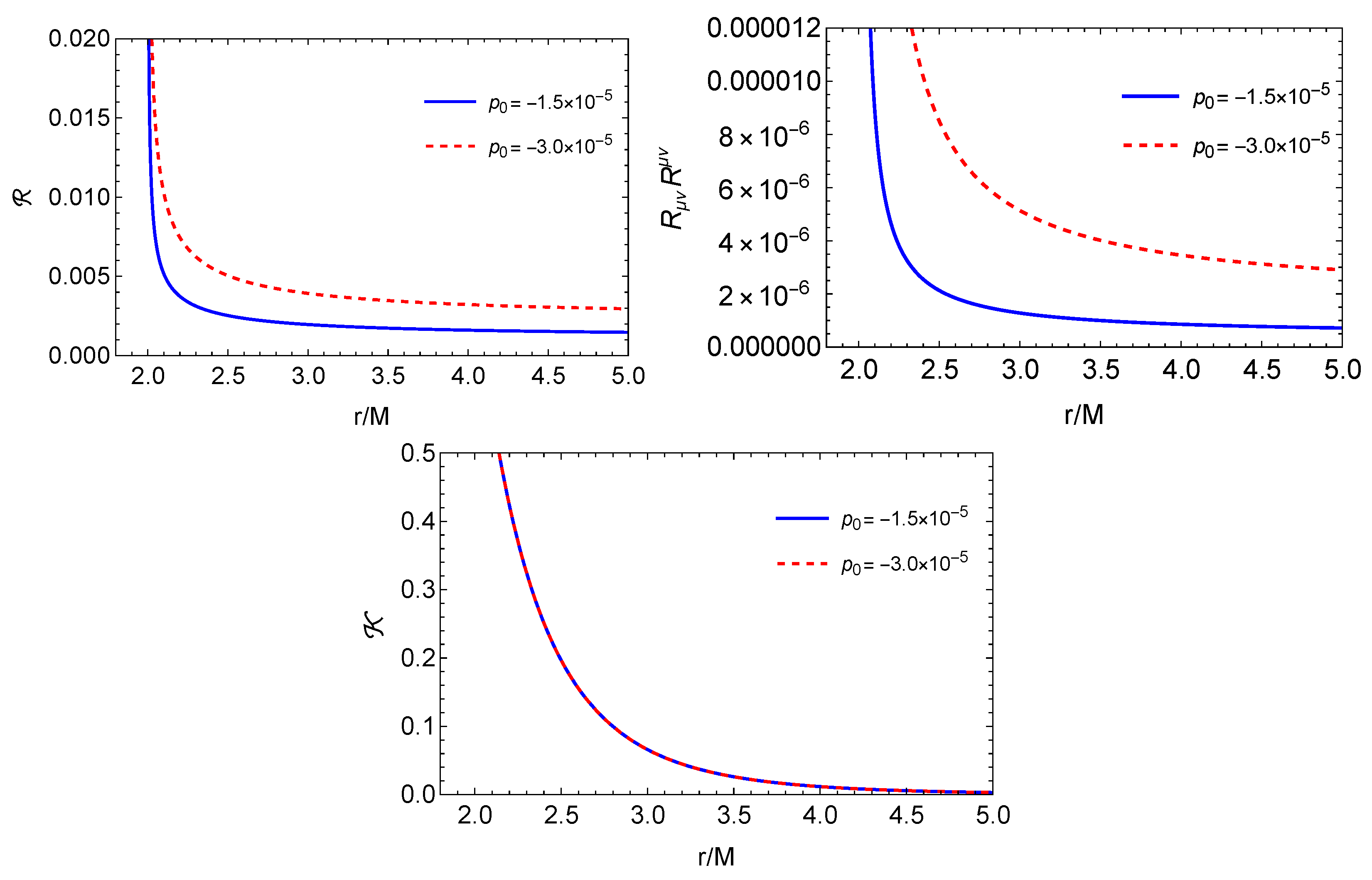
Figure 1 presents the radial variations of scalar invariants in the spacetime (4), including the Ricci scalar (top left panel), the square of Ricci tensor (top right panel), and the Kretschmann scalar (bottom panel) for various values of the pressure parameter  p 0 . The figure illustrates that the scalar invariants exhibit a decreasing trend along the radial coordinates. Additionally, as the absolute value of  p 0  increases, the scalar invariants also experience an increase.

4. Motion of a Test Particle in the Vicinity of the Aether BH

In this section, we explore the circular orbit of test particles with mass m around a black hole in the context of gravitational aether by employing the Hamilton–Jacobi equation.
g μ ν S x μ S x ν = m 2 ,
We derive the equation of motion using a separable form of the action S as,
S = E t + L φ + S r + S θ ,
where E and L are energy and the angular momentum of the test particle, acting as the conserved quantities of the motion.
After inserting it into Equation (12) and separating the variables in the equation, we arrive at the radial motion equation in the equatorial plane  θ = π / 2  as follows:
1 + 4 π p 0 f ( r ) 2 d r d τ 2 = E 2 V eff
Here,  τ  represents the proper time along the particle’s trajectory, and the effective potential for radial motion is given by:
V eff ( r , L , p 0 ) = 1 + 4 π p 0 f ( r ) 2 1 2 M r 1 + L 2 r 2
In the above expressions, we have replaced  E / m  with  E  and  L / m  with  L . Notably, the effective potential depends not only on the energy, angular momentum, and the radius of motion but also on the aether pressure  p 0 .
In Figure 2, the radial dependence of the effective potential of the radial motion of the test particle around gravitational aether BH (for different values of the aether pressure  p 0 ) is observed graphically. For comparison, we have also plotted the Schwarzschild dependence, corresponding to  p 0 = 0 . We can see that the effective potential in the presence of gravitational aether exhibits higher values compared to the case of Schwarzschild, represented by the dashed red line. It is also observed that the aether field effects on the effective potential are significant at large distances from the central BH. One can easily see that the orbits of the particles become more stable with increasing modules of  p 0 .
The specific angular momentum of test particles along the circular motion can be obtained by solving the equation  r V e f f ( r ) = 0 , given as:
L 2 = r 2 4 π p 0 r ( r 2 M ) f ( r ) + M 1 + 4 π p 0 f ( r ) ( r 3 M ) 1 + 4 π p 0 f ( r ) 4 π p 0 r ( r 2 M ) f ( r )
and the energy
E 2 = ( r 2 M ) 2 1 + 4 π p 0 f ( r ) 3 r ( r 3 M ) 1 + 4 π p 0 f ( r ) 4 π p 0 r ( r 2 M ) f ( r )
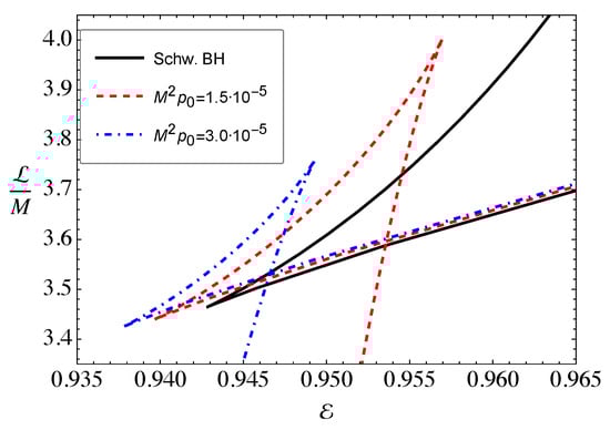
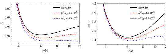
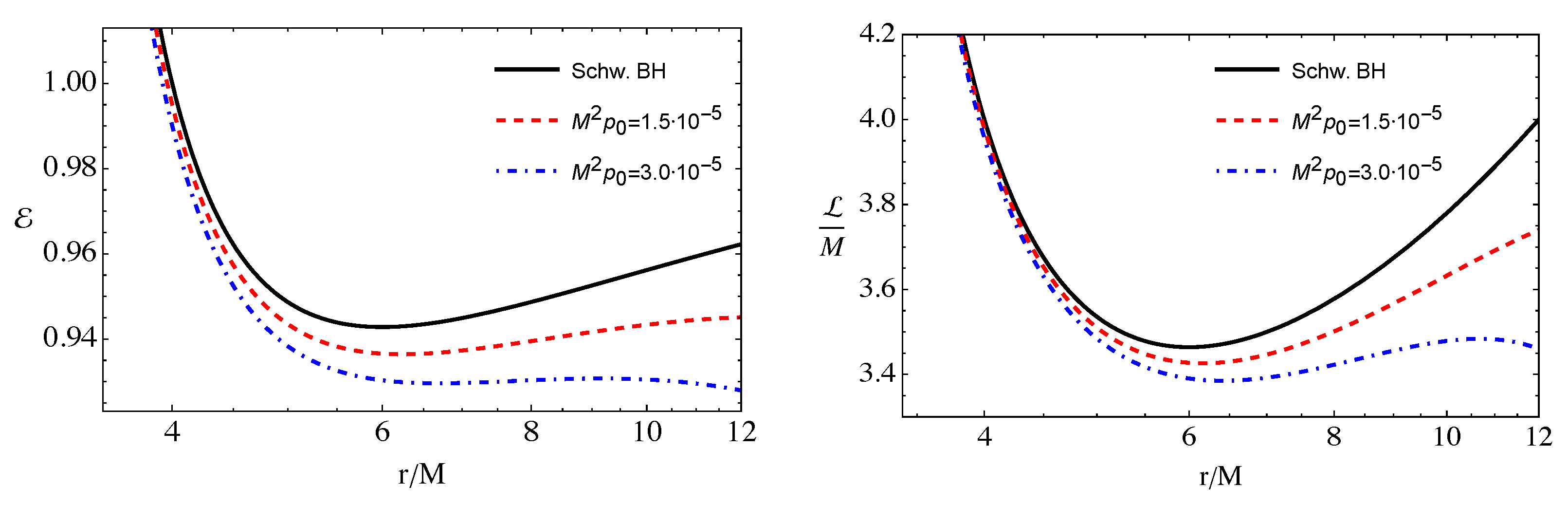
Figure 3 illustrates the radial dependencies of the specific energy and angular momentum for particles in circular orbits around a black hole in the gravitational aether, considering various values of  p 0 , along with a comparison of the Schwarzschild limit ( p 0 = 0 ). From the plot, it is evident that both the energy and the angular momentum decrease as the absolute value of  p 0  increases.
In Figure 4, the energy  E  and angular momentum  L  of the test particle moving radially around the BH have been studied graphically. Note that the particle orbiting in the Schwarzschild geometry has higher values of energy and angular momentum compared to the case when the aether parameter  p 0 0  is present. It is observed that as the value of  p 0  increases, the energy and angular momentum decrease, and this behavior is more prominent as the particle moves away from the central object.
2 p { ( r ) p r ( r 2 M ) r ( 2 M r ) f ( r ) + ( 10 M 3 r ) f ( r ) + 4 M ( 6 M r ) + r ( r 2 M ) f ( r ) 2 p r ( r 2 M ) f ( r ) + 10 M 3 r r ( r 2 M ) f ( r ) + 2 M p f ( r ) 2 ( 6 M r ) } + 4 M ( 6 M r ) = 0
Because Equation (18) has a complex form that cannot be solved analytically to obtain the ISCO radius, we performed graphical analyses of the ISCO radius in Figure 5.
In Figure 5, we have shown the radius of ISCO as a function of  p 0 . It is shown that an increase in  p 0  causes a decrease in the ISCO radius and, at the Schwarzschild limit  p 0 = 0 , the ISCO radius equals 6M (as expected). Furthermore, upon solving Equation (18), two real solutions for r are obtained for each value of negative  p 0 , one of which is greater than the other corresponding ISCO (solid blue) and outermost circular stable orbits (OSCO) (red dashed), respectively. Since the smaller solution corresponds to the ISCO, we consider the smaller solution. As  p 0  approaches the critical value  π M 2 p 0 10 4 , Equation (18) yields a single solution for the radius, indicating that this is the smallest value of  p 0  where ISCO and OSCO coincide each other. For values of  p 0  smaller than this critical value, there are no real solutions for the radius, implying the absence of an ISCO.
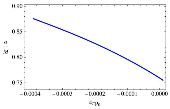
In fact, a way of determining the types of black hole in astrophysical observations is to measure their ISCO radius, the inner radius of accreting matter around the black hole. In this sense, the effects of the aether field parameter and negative spin parameter of rotating Kerr black holes are similar: the presence of both parameters causes increasing the ISCO radius showing degeneracy effects. Here, we find degeneracy values of the spin of the Kerr black hole and the aether parameters using the numerical solution of Equation (18).
Figure 6 shows relationships between the values of spin of rotating Kerr black holes and the pressure parameter of gravitational aether, which provide the same ISCO radius. Moreover, our performed analysis reveals that as the parameter  p 0  becomes available, to preserve the same ISCO radius, the Kerr parameter must be about  0.4 M  and an increase in the absolute value of the pressure  p 0  leads to a decrease in the Kerr spin parameter.

5. The Efficiency of Energy Extraction

The accretion process around a black hole involves particles moving in Keplerian orbits, and the Novikov–Thorne model is often employed to describe the geometrically thin accretion disk. According to this model, the efficiency of energy extraction from the accretion disk can be calculated as the difference between the energy of matter falling into the black hole from the disk at the ISCO and its rest mass energy. This extracted energy is assumed to be converted into electromagnetic radiation, contributing to the total bolometric luminosity of the accretion disk. The energy efficiency, denoted as  η , can be expressed as the ratio of the bolometric luminosity ( L bol ) to the rest mass energy accretion rate ( M ˙ c 2 ) from the disk [39]. In this context, the efficiency of the accretion process is evaluated.
η = 1 E ISCO ,
where  E ISCO  is the energy of the particle at ISCO,  r = r ISCO , and it is calculated using the energy of the particles given by Equation (17) at ISCO.
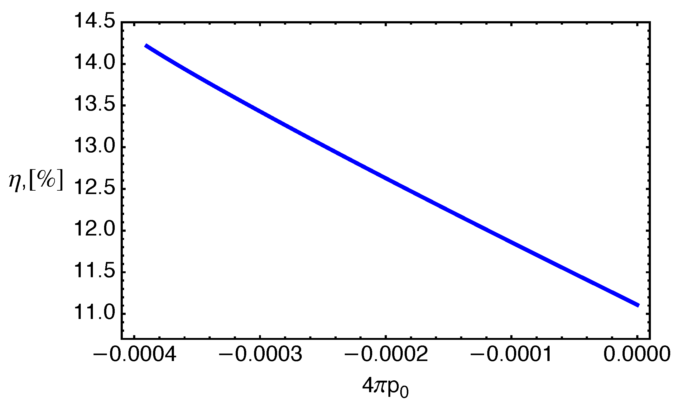
The influence of the aether parameter  p 0  on the efficiency of test particle accretion around black holes in aether gravity is depicted in Figure 7. It is evident from the graph that the efficiency increases almost linearly as the absolute value of the aether parameter rises, reaching a peak of approximately  η 14.2 %  within the range of the parameter  p 0 = ( p cr , 0 ) . However, in fact, the aether parameter can mimic the spin of rotating Kerr black holes providing the same efficiency in measurements of the total bolometric luminosity of a black hole accretion disk. Now, we show how the aether field mimics the spin parameter in terms of the same luminosity.
In Figure 8, we have shown the efficiency of energy release from particles in corotating and contour rotating orbits around Kerr black holes. It is observed that in the corotating case, the efficiency increases exponentially with the spin parameter increase and reaches up to about 42%. However, in the contour rotating case, the efficiency increases first and reaches its maximum at about 5.9% up to about  a 0.2 M  and then as the spin parameter increases the efficiency decreases back up to about 5.2%.
The mimicking values between the spin parameter and the aether pressure  p 0  provide the same energy efficiency.
Figure 9 illustrates the degeneracy between the spin parameter of a rotating Kerr black hole a and the pressure parameter of the gravitating aether field  p 0  in terms of the same value in the energy efficiency. It can be observed that with an increase in the aether pressure parameter, the Kerr spin parameter should decrease to maintain a constant energy efficiency level.

6. Center of Mass Energy of the Colliding Particles

For the first time, Banados–Silk–West (BSW) proposed a theoretical analysis of the process of high-energy particle collisions close to the black hole horizon, which might be a source of energy extraction from the black hole. Subsequent research has been conducted in various contexts to expand upon this work, and it has been established that head-on collisions are more successful in extracting energy from the central black hole.
In this section, we analyze the collision of neutral particles in a gravitational aether black hole spacetime, and the associated radial velocity and critical angular momentum of these particles, originating from infinity. The center of mass of the colliding particles can be determined using the following relation.
E c m 2 2 m 2 = 1 g μ ν u 1 μ u 2 ν = 1 g t t t ˙ 1 t ˙ 2 g r r r ˙ 1 r ˙ 2 g φ φ φ ˙ 1 φ ˙ 2
The constants of motion can be found from Equation (13) in the following way:
g t t t ˙ = E , g φ φ φ ˙ = L
and we can obtain radial velocity from Equation (14):
r ˙ 2 = E 2 ( 1 + 4 π p 0 f ( r ) ) 2 1 2 M r 1 + L 2 r 2
Utilizing the above equations, the expression for the center of mass energy of the colliding particles can be derived as follows:
E c m 2 2 m 2 = 1 E 1 E 2 g t t L 1 L 2 g φ φ g r r E 1 2 ( 1 + 4 π p 0 f ( r ) ) 2 1 2 M r 1 + L 1 2 r 2 × E 2 2 ( 1 + 4 π p 0 f ( r ) ) 2 1 2 M r 1 + L 2 2 r 2
The critical angular momentum of the particles is an essential parameter for particles coming from infinity, as it denotes the limit in the angular momentum of the particles; if the particle’s angular momentum exceeds the critical value, it cannot approach the central object. To obtain the critical angular momentum value, conditions  r ˙ 2 = 0  and  d r ˙ 2 / d r = 0  must be satisfied.
The square of the radial velocity, as seen in Figure 10, becomes negative for certain values of the angular momentum, indicating that if the angular momentum is greater than the critical value, the particle cannot come close to the black hole, as the radial velocity is negative.
Figure 11 shows the dependence of the critical angular momentum on the aether constant  4 π p 0 . It can be seen that the critical angular momentum is linearly proportional to the aether pressure constant. For the given values of the aether pressure constant, the angular momentum ranges between  L c r = 4.0 4.05 .
Figure 12 shows the radial dependence of the center of mass energy of two colliding particles with the angular momentum  L / M = ± 4  and  ± 2  at left and right panels, respectively. It can be seen that the aether pressure constant does not have a significant effect, but there is a difference near the horizon.
The right panel of this figure shows the colliding particles with a critical angular momentum value, as described in the following subsection.

7. Fundamental Frequencies

In this section, we calculate the fundamental frequencies of test particles moving in circular orbits around the black hole with a gravitational aether. This serves as a simplified model for explaining the presence of QPOs observed around black holes.

7.1. Keplerian Frequency

The angular velocity of the test particle around the gravitational aether black hole, as measured by a distant observer, commonly referred to as the Keplerian frequency, can be expressed as follows:
Ω K 2 = M r 3 + p 0 r ( r 2 M ) f ( r ) + 2 M f ( r ) 2 r 3 ,
To obtain the values of the fundamental frequencies in units of Hz, one can multiply the frequencies by the factor  c 3 / ( 2 π G M ) . Here, we employ the values for the speed of light in a vacuum,  c = 3 × 10 8 m / s , and the gravitational constant,  G = 6.67 × 10 11 m 3 / ( kg 2 · s ) .

7.2. Harmonic Oscillations

When a test particle is in a stable circular orbit at the equatorial plane around the black hole, small perturbations in its radial ( r r 0 + δ r ) and vertical ( θ θ 0 + δ θ ) coordinates cause oscillations along these axes.
To derive the equations that govern these oscillations, we expand the effective potential in terms of the coordinates r and  θ  and use the conditions for the extrema of the effective potential, namely  V eff ( r 0 , θ 0 ) = 0  and  r ( θ ) V eff = 0 . This leads to the following expressions:
d 2 δ r d t 2 + Ω r 2 δ r = 0 , d 2 δ θ d t 2 + Ω θ 2 δ θ = 0 ,
Here,  Ω r 2  and  Ω θ 2  represent the square of the radial and vertical angular frequencies of the particles around the black hole, respectively, as measured by a distant observer. They are given by:
Ω r 2 = 1 2 g r r ( u t ) 2 r 2 V eff ( r , θ ) | θ = π / 2 ,
Ω θ 2 = 1 2 g θ θ ( u t ) 2 θ 2 V eff ( r , θ ) | θ = π / 2 ,
After performing some algebraic calculations, we obtain the expressions for the radial and vertical frequencies as follows:
Ω r 2 = 1 4 r 4 { 2 p 0 [ f ( r ) p 0 r ( r 2 M ) r ( r 2 M ) f ( r ) + ( 3 r 10 M ) f ( r ) + 4 M ( r 6 M ) + r ( r 2 M ) r ( r 2 M ) f ( r ) + f ( r ) 2 p 0 r ( 2 M r ) f ( r ) 10 M + 3 r + 2 M p 0 f ( r ) 2 ( r 6 M ) ] + 4 M ( r 6 M ) } ,
Ω θ = Ω θ = Ω K
Additionally, Figure 13 presents the radial dependence of the Keplerian frequencies of test particles around gravitational aether black holes.
Figure 13 illustrates the radial dependence of the frequency of particle oscillations in the radial, vertical, and angular directions. A comparison with the Schwarzschild case reveals that in the presence of the aether pressure  p 0 , the frequencies slightly decrease compared to the Schwarzschild scenario. Moreover, it is also observed that the presence of  p 0  restricts the range of radial distances where the frequencies occur, with radial oscillation frequencies limited to approximately  r ( 6 M , 17 M )  where a closer one corresponds to ISCO and the other is for OSCO. Similarly, there are angular oscillation frequencies up to  r 30 M .

8. QPOs

Black holes do not emit electromagnetic information about their surface, but they play a significant role in the radiation processes that occur in the accretion disk. QPOs are astrophysical phenomena observed in Fourier analyses of the continuous electromagnetic radiation emitted by the accretion disk surrounding a black hole. The source of electromagnetic emission in the accretion disk is closely linked to the oscillations of particles. When a charged particle oscillates, it emits an electromagnetic wave with a frequency equal to its oscillation frequency. Therefore, the dynamics of charged test particles around black holes can explain the origin of QPOs through their oscillations in the radial and angular directions. Various QPO models have been proposed and developed to explain different sources of QPOs. In this study, we consider the following models:
  • Relativistic Precession (RP) model: Originally introduced in Ref. [29] to explain the kHz twin-peak QPOs observed in neutron stars of Low-Mass X-ray Binary systems. Later, the RP model was shown to be applicable to black hole candidates in binary systems involving black holes and neutron stars [40]. The RP model was further developed in Ref. [41] to obtain mass and spin measurements of black holes located at the centers of microquasars, utilizing data from the power–density spectrum of the accretion disk. In the RP model, the upper and lower frequencies are described by the frequencies of the fundamental oscillations,  ν U = ν ϕ  and  ν L = ν ϕ ν r , respectively.
  • Epicyclic resonance (ER) model: This model is based on the resonances of modes of axisymmetric oscillations in the accretion disk of black holes [42]. It has been demonstrated that the oscillation modes of the disk are related to the frequencies of harmonic (quasi-) oscillations of circular geodesics of test particles. We consider two submodels within the ER model: ER2 and ER3, which differ in their oscillation modes. The upper and lower frequencies in the ER2 and ER3 models are given by  ν U = 2 ν θ ν r  and  ν L = ν r , and  ν U = ν θ + ν r  and  ν L = ν θ ν r , respectively, [42].
  • Warped Disc (WD) model: This model utilizes the nonaxisymmetric oscillatory modes of the accretion disk oscillations around black holes and neutron stars [43,44]. According to the WD model, the upper and lower frequencies are  ν U = 2 ν ϕ ν r  and  ν L = 2 ( ν ϕ ν r ) , respectively, and the vertical oscillations cause the thin accretion disk to warp [43,44].
We proceed by analyzing the possible values of the upper and lower frequencies of twin-peaked QPOs generated by the oscillating particles along their stable circular orbits around a black hole in the gravitational aether field using the aforementioned models and present the results graphically.
Figure 14 depicts the relationships between the upper and lower frequencies of twin-peak QPOs corresponding to different models of black holes and QPO sources. In our numerical calculations, we consider black holes with a mass of  5 M , representing stellar-mass black holes. The figure reveals several key observations. Firstly, an increase in the absolute value of the pressure parameter leads to a decrease in the possible values of the frequency ratio. Additionally, it is notable that QPOs are not observed in the low-frequency regime. Furthermore, the figure demonstrates that the pressure parameter cannot emulate the spin of a Kerr black hole, as it fails to provide identical values for the upper and lower frequencies in twin-peaked QPOs.

9. Constraints on the BH Mass and Aether Parameter

In this section, we aim to obtain constraints on the values of the pressure parameter of the gravitational field surrounding the Schwarzschild black hole and its mass using frequencies of the QPOs from the microquasars GRO J1655-40 and GRS 1915+105. According to the relativistic precession model, the frequencies of the periastron precession  ν per  and the nodal precession  ν nod  are defined by the following relations:  ν per = ν ϕ ν r  and  ν nod = ν ϕ ν θ , respectively, [35,45].
In order to obtain the estimation for the five parameters as the peak frequencies of QPOs observed in the microquasars, we perform the  χ 2  analysis with [46]
χ 2 ( M , B , r 1 , r 2 ) = ( ν 1 ϕ ν 1 U ) 2 σ 1 U 2 + ( ν 1 per ν 1 L ) 2 σ 1 L 2 + ( ν 1 nod ν 1 C ) 2 σ 1 C 2 + ( ν 2 ϕ ν 2 U ) 2 σ 2 U 2 + ( ν 2 nod ν 2 C ) 2 σ 2 C 2 .
In fact, the best estimates for the values of the parameters M, p r 1 , and  r 2  that make  χ min 2  to be minimum and the range of the parameters at the confidence level (C.L.) can be determined in the interval  χ min 2 ± Δ χ 2 .

9.1. GRO J1655-40

Here, we obtain constraints on the mass of the black hole and surrounding aether field pressure in the microquasar GRO J1655-40 using the two sets of QPO frequencies in the astrophysical observations [27],
ν 1 U = 441 Hz , σ 1 U = 2 Hz , ν 1 L = 298 Hz , σ 1 L = 4 Hz , ν 1 C = 17.3 Hz , σ 1 C = 0.1 Hz
and
ν 2 U = 451 Hz , σ 2 U = 5 Hz , ν 2 C = 18.3 Hz , σ 2 C = 0.1 Hz .
It is obtained that the  χ 2  take minimum as  χ m i n 2 = 0.000129108  at  r 1 = 6.9069 M , r 2 = 9.4529 M , M = 16.1843 M , p 0 = 0.0756 .

9.2. GRS 1915+105

Furthermore, we perform a similar analysis on the GRS 1915+105 microquasar with QPO frequencies [47],
ν 1 U = 184.10 Hz , σ 1 U = 1.84 Hz , ν 2 U = 142.98 Hz , σ 2 U = 3.48 Hz ,
and
ν 1 L = 67.40 Hz , σ 1 L = 0.60 Hz , ν 2 L = 65.89 Hz , σ 2 L = 0.52 Hz , ν 3 L = 69.58 Hz , σ 3 L = 0.49 Hz .
and it is also found that  χ m i n 2 = 9.1966 × 10 15  at the best fit values of the parameters  r 1 = 7.11812 M r 2 = 9.525 M p = 0.0956658 ,  and  M = 44.4246 M .
In Figure 15, the best values of the pressure of the aether field p and the mass of the central black hole in the center of GRO J1655-40 (left panel) and GRS 1915+105 (right panel). Furthermore, we present the contour levels 1 σ , 2 σ , and 3 σ  of p and  M / M .

10. Conclusions

In the present work, we have studied test particle motion around a black hole surrounded by a gravitational aether field. The results obtained can be summarized as follows:
  • First, we have explored the spacetime structure by analyzing the scalar invariants. It has been shown that the presence of the aether field causes a decrease in the Ricci scalar and the square of the Ricci tensor. We have also shown that the Kretschmann scalar is less sensitive to the change in aether parameter.
  • We performed an analysis of the dynamics of test particles around the black hole in the presence of aether. Particularly, we explored the circular orbits of the particles around the central object. The study of specific energy and angular momentum of test particles corresponding to circular orbits around the black hole has shown that both energy and angular momentum decrease in the presence of the aether field. However, the ISCO radius increases with increasing absolute values of the aether parameter.
  • Collisions of test particles near the aether black holes have also been studied. The critical value of the angular momentum of the colliding particle, in which collision may occur, has been analyzed. Our analysis has shown that in the presence of the aether field, the angular momentum increases slightly and takes values between  L c r / M ( 4.05 ÷ 0 )  and the corresponding values of  4 π M 2 p 4 × 10 4 ÷ 0 . The expression for the center of mass energy has been obtained, and it has been shown that the latter decreases with the increase in the absolute value of the aether parameter.
  • In this work, we have also investigated the fundamental frequencies of radial and vertical oscillations of test particles around the equatorial plane along stable circular orbits around a black hole in the presence of the aether field. It has been shown that the frequencies of Keplerian orbits and radial oscillations decrease with the increase in the absolute value of the aether parameter.
  • As an application of fundamental frequencies, we considered the upper and lower frequencies of twin-peaked QPOs around the black holes. It has been shown that an increase in the absolute value of the aether parameter causes a decrease in the possible values of the frequency ratio. In this case, the QPO at the low-frequency regime will not be observed. We have also noted that the aether parameter cannot mimic the spin of the Kerr black hole, providing the same value of upper and lower frequencies in twin-peaked QPOs.
  • Finally, using the observation data on observed twin peak QPOs and our numerical results, we obtained the constraints on the aether parameter (see Section 9 for the details).

Author Contributions

Conceptualization, J.R. and S.T.; methodology, J.R. and S.T.; software, S.T. and F.A.; validation, F.A. and F.H.; formal analysis, J.R. and A.A.; investigation, A.A., J.R. and F.H. All authors have read and agreed to the published version of the manuscript.

Funding

The research is supported in part by Grant No. F-FA-2021-510 of Agency of Innovative Development of the Uzbekistan and Erasmus + CZ OPAVA01. AA. JR. and FA acknowledge the Silesian University in Opava for hospitality.

Data Availability Statement

Not applicable.

Conflicts of Interest

The authors declare no conflict of interest.

References

  1. Hořava, P. Quantum gravity at a Lifshitz point. Phys. Rev. D 2009, 79, 084008. [Google Scholar] [CrossRef]
  2. Randall, L.; Sundrum, R. Large Mass Hierarchy from a Small Extra Dimension. Phys. Rev. Lett. 1999, 83, 3370–3373. [Google Scholar] [CrossRef]
  3. Afshordi, N. Gravitational Aether and the thermodynamic solution to the cosmological constant problem. arXiv 2008, arXiv:0807.2639. [Google Scholar] [CrossRef]
  4. Prescod-Weinstein, C.; Afshordi, N.; Balogh, M.L. Stellar black holes and the origin of cosmic acceleration. Phys. Rev. D 2009, 80, 043513. [Google Scholar] [CrossRef]
  5. Bambi, C. Black Holes: A Laboratory for Testing Strong Gravity; Springer: Singapore, 2017. [Google Scholar]
  6. Chandrasekhar, S. The Mathematical Theory of Black Holes; Oxford University Press: New York, NY, USA, 1998. [Google Scholar]
  7. Bambi, C. Testing the Kerr nature of stellar-mass black hole candidates by combining the continuum-fitting method and the power estimate of transient ballistic jets. Phys. Rev. D 2012, 85, 043002. [Google Scholar] [CrossRef]
  8. Bambi, C.; Jiang, J.; Steiner, J.F. Testing the no-hair theorem with the continuum-fitting and the iron line methods: A short review. Class. Quantum Gravity 2016, 33, 064001. [Google Scholar] [CrossRef]
  9. Zhou, M.; Cao, Z.; Abdikamalov, A.; Ayzenberg, D.; Bambi, C.; Modesto, L.; Nampalliwar, S. Testing conformal gravity with the supermassive black hole in 1H0707-495. Phys. Rev. D 2018, 98, 024007. [Google Scholar] [CrossRef]
  10. Tripathi, A.; Yan, J.; Yang, Y.; Yan, Y.; Garnham, M.; Yao, Y.; Li, S.; Ding, Z.; Abdikamalov, A.B.; Ayzenberg, D.; et al. Constraints on the spacetime metric around seven “bare” AGN using X-ray reflection spectroscopy. arXiv 2019, arXiv:1901.03064. [Google Scholar]
  11. Wald, R.M. Black hole in a uniform magnetic field. Phys. Rev. D. 1974, 10, 1680–1685. [Google Scholar] [CrossRef]
  12. Aliev, A.N.; Galtsov, D.V.; Petukhov, V.I. Negative absorption near a magnetized black hole: Black hole masers. Astrophys. Space Sci. 1986, 124, 137–157. [Google Scholar] [CrossRef]
  13. Aliev, A.N.; Gal’tsov, D.V. Reviews of Topical Problems: “Magnetized” black holes. Sov. Phys. Uspekhi 1989, 32, 75–92. [Google Scholar] [CrossRef]
  14. Aliev, A.N.; Özdemir, N. Motion of charged particles around a rotating black hole in a magnetic field. Mon. Not. R. Astron. Soc. 2002, 336, 241–248. [Google Scholar] [CrossRef]
  15. Stuchlík, Z.; Schee, J.; Abdujabbarov, A. Ultra-high-energy collisions of particles in the field of near-extreme Kehagias-Sfetsos naked singularities and their appearance to distant observers. Phys. Rev. D 2014, 89, 104048. [Google Scholar] [CrossRef]
  16. Stuchlík, Z.; Kološ, M. Acceleration of the charged particles due to chaotic scattering in the combined black hole gravitational field and asymptotically uniform magnetic field. Eur. Phys. J. C 2016, 76, 32. [Google Scholar] [CrossRef]
  17. Kovář, J.; Kopáček, O.; Karas, V.; Stuchlík, Z. Off-equatorial orbits in strong gravitational fields near compact objects II: Halo motion around magnetic compact stars and magnetized black holes. Class. Quantum Gravity 2010, 27, 135006. [Google Scholar] [CrossRef]
  18. Kovář, J.; Slaný, P.; Cremaschini, C.; Stuchlík, Z.; Karas, V.; Trova, A. Electrically charged matter in rigid rotation around magnetized black hole. Phys. Rev. D 2014, 90, 044029. [Google Scholar] [CrossRef]
  19. Stuchlík, Z.; Kološ, M.; Kovář, J.; Slaný, P.; Tursunov, A. Influence of Cosmic Repulsion and Magnetic Fields on Accretion Disks Rotating around Kerr Black Holes. Universe 2020, 6, 26. [Google Scholar] [CrossRef]
  20. de Felice, F.; Sorge, F. Magnetized orbits around a Schwarzschild black hole. Class. Quantum Gravity 2003, 20, 469–481. [Google Scholar]
  21. de Felice, F.; Sorge, F.; Zilio, S. Magnetized orbits around a Kerr black hole. Class. Quantum Gravity 2004, 21, 961–973. [Google Scholar] [CrossRef]
  22. Rahimov, O.G.; Abdujabbarov, A.A.; Ahmedov, B.J. Magnetized particle capture cross section for braneworld black hole. Astrophys. Space Sci. 2011, 335, 499–504. [Google Scholar] [CrossRef][Green Version]
  23. Narzilloev, B.; Rayimbaev, J.; Shaymatov, S.; Abdujabbarov, A.; Ahmedov, B.; Bambi, C. Can the dynamics of test particles around charged stringy black holes mimic the spin of Kerr black holes? Phys. Rev. D 2020, 102, 044013. [Google Scholar] [CrossRef]
  24. Vrba, J.; Abdujabbarov, A.; Kološ, M.; Ahmedov, B.; Stuchlík, Z.; Rayimbaev, J. Charged and magnetized particles motion in the field of generic singular black holes governed by general relativity coupled to nonlinear electrodynamics. Phys. Rev. D 2020, 101, 124039. [Google Scholar] [CrossRef]
  25. Vrba, J.; Abdujabbarov, A.; Tursunov, A.; Ahmedov, B.; Stuchlík, Z. Particle motion around generic black holes coupled to non-linear electrodynamics. Eur. Phys. J. C 2019, 79, 778. [Google Scholar] [CrossRef]
  26. Ingram, A.; van der Klis, M.; Middleton, M.; Done, C.; Altamirano, D.; Heil, L.; Uttley, P.; Axelsson, M. A quasi-periodic modulation of the iron line centroid energy in the black hole binary H1743-322. Mon. Not. R. Astron. Soc. 2016, 461, 1967–1980. [Google Scholar] [CrossRef]
  27. Stuchlík, Z.; Kotrlová, A.; Török, G. Multi-resonance orbital model of high-frequency quasi-periodic oscillations: Possible high-precision determination of black hole and neutron star spin. Astron. Astrophys. 2013, 552, A10. [Google Scholar] [CrossRef]
  28. Toshmatov, B.; Stuchlík, Z.; Ahmedov, B. Generic rotating regular black holes in general relativity coupled to nonlinear electrodynamics. Phys. Rev. D 2017, 95, 084037. [Google Scholar] [CrossRef]
  29. Stella, L.; Vietri, M. Lense-Thirring Precession and Quasi-periodic Oscillations in Low-Mass X-Ray Binaries. Astrophys. J. Lett. 1998, 492, L59–L62. [Google Scholar] [CrossRef]
  30. Rezzolla, L.; Yoshida, S.; Maccarone, T.J.; Zanotti, O. A new simple model for high-frequency quasi-periodic oscillations in black hole candidates. Mon. Not. R. Astron. Soc. 2003, 344, L37–L41. [Google Scholar] [CrossRef]
  31. Stuchlík, Z.; Kotrlová, A.; Török, G. Resonant radii of kHz quasi-periodic oscillations in Keplerian discs orbiting neutron stars. Astron. Astrophys. 2011, 525, A82. [Google Scholar] [CrossRef]
  32. Török, G.; Kotrlová, A.; Srámková, E.; Stuchlík, Z. Confronting the models of 3:2 quasiperiodic oscillations with the rapid spin of the microquasar GRS 1915+105. Astron. Astrophys. 2011, 531, A59. [Google Scholar] [CrossRef]
  33. Silbergleit, A.S.; Wagoner, R.V.; Ortega-Rodríguez, M. Relativistic Diskoseismology. II. Analytical Results for C-modes. Astrophys. J. 2001, 548, 335–347. [Google Scholar] [CrossRef]
  34. Wagoner, R.V.; Silbergleit, A.S.; Ortega-Rodríguez, M. “Stable” Quasi-periodic Oscillations and Black Hole Properties from Diskoseismology. Astrophys. J. Lett. 2001, 559, L25–L28. [Google Scholar] [CrossRef]
  35. Rayimbaev, J.; Majeed, B.; Jamil, M.; Jusufi, K.; Wang, A. Quasiperiodic oscillations, quasinormal modes and shadows of Bardeen-Kiselev Black Holes. Phys. Dark Universe 2022, 35, 100930. [Google Scholar] [CrossRef]
  36. Stuchlík, Z.; Vrba, J. Epicyclic Oscillations around Simpson-Visser Regular Black Holes and Wormholes. Universe 2021, 7, 279. [Google Scholar] [CrossRef]
  37. Stuchlík, Z.; Vrba, J. Epicyclic orbits in the field of Einstein–Dirac-Maxwell traversable wormholes applied to the quasiperiodic oscillations observed in microquasars and active galactic nuclei. Eur. Phys. J. Plus 2021, 136, 1127. [Google Scholar] [CrossRef]
  38. Stuchlík, Z.; Vrba, J. Supermassive black holes surrounded by dark matter modeled as anisotropic fluid: Epicyclic oscillations and their fitting to observed QPOs. J. Cosmol. Astropart. Phys. 2021, 2021, 059. [Google Scholar] [CrossRef]
  39. Bian, W.H.; Zhao, Y.H. Accretion Rates and the Accretion Efficiency in AGNs. Publ. Astron. Soc. Jpn. 2003, 55, 599–603. [Google Scholar] [CrossRef]
  40. Stella, L. The relativistic precession model for QPOs in low mass X-ray binaries. In Proceedings of the X-ray Astronomy: Stellar Endpoints, AGN, and the Diffuse X-ray Background, Bologna, Italy, 6–10 September 2001; American Institute of Physics Conference Series. White, N.E., Malaguti, G., Palumbo, G.G.C., Eds.; Curran Associates, Inc.: Nice, France, 2001; Volume 599, pp. 365–376. [Google Scholar] [CrossRef]
  41. Ingram, A.; Motta, S. Solutions to the relativistic precession model. Mon. Not. R. Astron. Soc. 2014, 444, 2065–2070. [Google Scholar] [CrossRef]
  42. Abramowicz, M.A.; Kluźniak, W. A precise determination of black hole spin in GRO J1655-40. Astron. Astrophys. 2001, 374, L19–L20. [Google Scholar] [CrossRef]
  43. Kato, S. Resonant Excitation of Disk Oscillations by Warps: A Model of kHz QPOs. Publ. Astron. Soc. Jpn. 2004, 56, 905–922. [Google Scholar] [CrossRef]
  44. Kato, S. Frequency Correlation of QPOs Based on a Resonantly Excited Disk-Oscillation Model. Publ. Astron. Soc. Jpn. 2008, 60, 889. [Google Scholar] [CrossRef]
  45. Stella, L.; Vietri, M.; Morsink, S.M. Correlations in the Quasi-periodic Oscillation Frequencies of Low-Mass X-ray Binaries and the Relativistic Precession Model. Astrophys. J. 1999, 524, L63–L66. [Google Scholar] [CrossRef]
  46. Bambi, C. Testing the nature of the black hole candidate in GRO J1655-40 with the relativistic precession model. arXiv 2013, arXiv:1312.2228. [Google Scholar] [CrossRef]
  47. Belloni, T.; Soleri, P.; Casella, P.; Méndez, M.; Migliari, S. High-frequency quasi-periodic oscillations from GRS 1915+105 in its C state. Mon. Not. R. Astron. Soc 2006, 369, 305–310. [Google Scholar] [CrossRef]
Figure 1. Radial dependence of Ricci scalar (top left panel), the square of Ricci tensor (top right panel), and Kretschmann scalar (bottom panel) for different values of the pressure parameter  p 0 .
Figure 1. Radial dependence of Ricci scalar (top left panel), the square of Ricci tensor (top right panel), and Kretschmann scalar (bottom panel) for different values of the pressure parameter  p 0 .
Galaxies 11 00095 g001
Figure 2. Radial dependence of the effective potential of the radial motion of the test particles around a BH in the gravitational aether theory for different values of the pressure  p 0 . Here, we chose the angular momentum of the particle as  L = 4.3 M .
Figure 2. Radial dependence of the effective potential of the radial motion of the test particles around a BH in the gravitational aether theory for different values of the pressure  p 0 . Here, we chose the angular momentum of the particle as  L = 4.3 M .
Galaxies 11 00095 g002
Figure 3. Radial dependence of energy and angular momentum of the particle in the circular orbits around a black hole in gravitational aether for the different values of the  p 0 . For comparison, we have also plotted the Schwarzschild BH case, corresponding to  p 0 = 0 .
Figure 3. Radial dependence of energy and angular momentum of the particle in the circular orbits around a black hole in gravitational aether for the different values of the  p 0 . For comparison, we have also plotted the Schwarzschild BH case, corresponding to  p 0 = 0 .
Galaxies 11 00095 g003
Figure 4. Relationships between angular momentum and energy of test particles corresponding to circular orbits around gravitational aether black hole for different values of  p 0 .
Figure 4. Relationships between angular momentum and energy of test particles corresponding to circular orbits around gravitational aether black hole for different values of  p 0 .
Galaxies 11 00095 g004
Figure 5. Dependence of the radius of the ISCOs ( r ISCO  in solid blue line) and OSCOs ( r OSCO  in red dashed line) on  p 0 .
Figure 5. Dependence of the radius of the ISCOs ( r ISCO  in solid blue line) and OSCOs ( r OSCO  in red dashed line) on  p 0 .
Galaxies 11 00095 g005
Figure 6. The degeneracy graphs between the spin  | a |  and the aether pressure  p 0  providing the same ISCO radius for the different values of  p 0 .
Figure 6. The degeneracy graphs between the spin  | a |  and the aether pressure  p 0  providing the same ISCO radius for the different values of  p 0 .
Galaxies 11 00095 g006
Figure 7. Dependence of energy efficiency from the aether pressure  p 0  for the different values of  p 0 . The maximal efficiency is at about critical pressure  4 π M 2 p c r = 4 × 10 4 .
Figure 7. Dependence of energy efficiency from the aether pressure  p 0  for the different values of  p 0 . The maximal efficiency is at about critical pressure  4 π M 2 p c r = 4 × 10 4 .
Galaxies 11 00095 g007
Figure 8. The efficiency of energy release from corotating and contour rotating test particles around the Kerr black hole.
Figure 8. The efficiency of energy release from corotating and contour rotating test particles around the Kerr black hole.
Galaxies 11 00095 g008
Figure 9. The degeneracy graphs between the spin parameter and the aether pressure  p 0  that provide the same energy efficiency.
Figure 9. The degeneracy graphs between the spin parameter and the aether pressure  p 0  that provide the same energy efficiency.
Galaxies 11 00095 g009
Figure 10. The dependence of the square of the radial velocity to the radial distance in different values of angular momentum  4 π p 0 = 0.0003 .
Figure 10. The dependence of the square of the radial velocity to the radial distance in different values of angular momentum  4 π p 0 = 0.0003 .
Galaxies 11 00095 g010
Figure 11. The dependence of the critical angular momentum to  4 π p 0 .
Figure 11. The dependence of the critical angular momentum to  4 π p 0 .
Galaxies 11 00095 g011
Figure 12. Radial dependence of the center of mass energy of two colliding particles with angular momentum  L 1 = L 2 = 4  (left panel) and  L 1 = L 2 = 2  (right panel).
Figure 12. Radial dependence of the center of mass energy of two colliding particles with angular momentum  L 1 = L 2 = 4  (left panel) and  L 1 = L 2 = 2  (right panel).
Galaxies 11 00095 g012
Figure 13. Keplerian frequencies (red large dashed line and brown dot dashed line) and the frequency of radial oscillations (solid black and blue dashed lines) of test particles around gravitational aether black holes as a function of radial coordinates.
Figure 13. Keplerian frequencies (red large dashed line and brown dot dashed line) and the frequency of radial oscillations (solid black and blue dashed lines) of test particles around gravitational aether black holes as a function of radial coordinates.
Galaxies 11 00095 g013
Figure 14. Relations between the frequencies of upper and lower picks of twin-pick QPOs in the RP, WD, and ER2-4 models around an aether black hole.
Figure 14. Relations between the frequencies of upper and lower picks of twin-pick QPOs in the RP, WD, and ER2-4 models around an aether black hole.
Galaxies 11 00095 g014
Figure 15. Constraints on black hole mass and the aether pressure in the microquasars GRO J1655-40 (left panel) and GRS 1915+105 (right panel).
Figure 15. Constraints on black hole mass and the aether pressure in the microquasars GRO J1655-40 (left panel) and GRS 1915+105 (right panel).
Galaxies 11 00095 g015
Disclaimer/Publisher’s Note: The statements, opinions and data contained in all publications are solely those of the individual author(s) and contributor(s) and not of MDPI and/or the editor(s). MDPI and/or the editor(s) disclaim responsibility for any injury to people or property resulting from any ideas, methods, instructions or products referred to in the content.

Share and Cite

MDPI and ACS Style

Rayimbaev, J.; Abdulxamidov, F.; Tojiev, S.; Abdujabbarov, A.; Holmurodov, F. Test Particles and Quasiperiodic Oscillations around Gravitational Aether Black Holes. Galaxies 2023, 11, 95. https://doi.org/10.3390/galaxies11050095

AMA Style

Rayimbaev J, Abdulxamidov F, Tojiev S, Abdujabbarov A, Holmurodov F. Test Particles and Quasiperiodic Oscillations around Gravitational Aether Black Holes. Galaxies. 2023; 11(5):95. https://doi.org/10.3390/galaxies11050095

Chicago/Turabian Style

Rayimbaev, Javlon, Farrux Abdulxamidov, Sardor Tojiev, Ahmadjon Abdujabbarov, and Farhod Holmurodov. 2023. "Test Particles and Quasiperiodic Oscillations around Gravitational Aether Black Holes" Galaxies 11, no. 5: 95. https://doi.org/10.3390/galaxies11050095

APA Style

Rayimbaev, J., Abdulxamidov, F., Tojiev, S., Abdujabbarov, A., & Holmurodov, F. (2023). Test Particles and Quasiperiodic Oscillations around Gravitational Aether Black Holes. Galaxies, 11(5), 95. https://doi.org/10.3390/galaxies11050095

Note that from the first issue of 2016, this journal uses article numbers instead of page numbers. See further details here.

Article Metrics

Back to TopTop