The Portal Venous Pulsatility Index and Main Portal Vein Diameter as Surrogate Markers for Liver Fibrosis in Nonalcoholic Fatty Liver Disease and Metabolic-Dysfunction-Associated Steatotic Liver Disease
Abstract
1. Introduction
2. Materials and Methods
2.1. Patients
2.2. Transient Elastography
2.3. Sonographic Variables
2.4. Definitions
2.5. Allocation of Derivation and Validation Cohorts
2.6. Statistical Analysis
3. Results
3.1. Baseline Characteristics
3.2. Comparison of Non-Invasive Markers in SF (+) and SF (−) NAFLD Groups
3.3. VPI According to the CAP Score and LSM
3.4. Factors Associated with Significant Fibrosis in NAFLD
3.5. Subgroup Analysis in Patients with Age over 30
3.6. Sensitivity Analysis Using Different Determinant Values for Significant Fibrosis
3.7. Sensitivity Analysis in Patients with MASLD
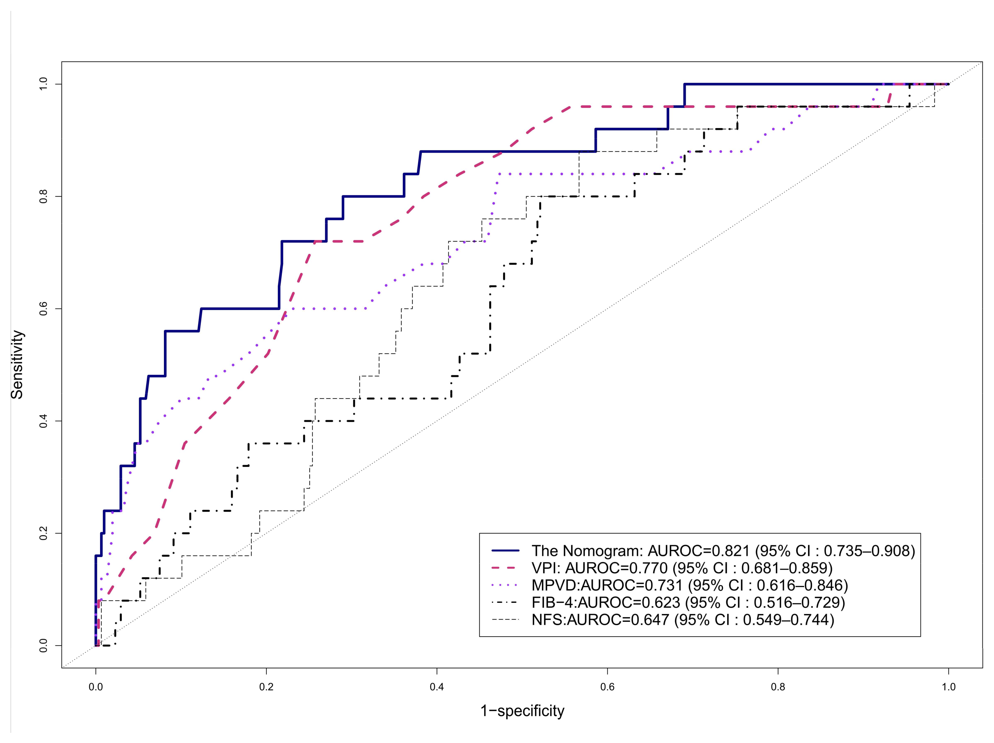
3.8. Developing Nomogram for Predicting Liver Fibrosis
3.9. Interobserver and Intraobserver Variations Regarding Ultrasonographic Variables
4. Discussion
Supplementary Materials
Author Contributions
Funding
Institutional Review Board Statement
Informed Consent Statement
Data Availability Statement
Conflicts of Interest
References
- Teng, M.L.; Ng, C.H.; Huang, D.Q.; Chan, K.E.; Tan, D.J.; Lim, W.H.; Yang, J.D.; Tan, E.; Muthiah, M.D. Global incidence and prevalence of nonalcoholic fatty liver disease. Clin. Mol. Hepatol. 2023, 29, S32–S42. [Google Scholar] [CrossRef]
- Younossi, Z.M.; Golabi, P.; Paik, J.M.; Henry, A.; Van Dongen, C.; Henry, L. The global epidemiology of nonalcoholic fatty liver disease (NAFLD) and nonalcoholic steatohepatitis (NASH): A systematic review. Hepatology 2023, 77, 1335–1347. [Google Scholar] [CrossRef]
- Sanyal, A.J.; Van Natta, M.L.; Clark, J.; Neuschwander-Tetri, B.A.; Diehl, A.; Dasarathy, S.; Loomba, R.; Chalasani, N.; Kowdley, K.; Hameed, B.; et al. Prospective Study of Outcomes in Adults with Nonalcoholic Fatty Liver Disease. N. Engl. J. Med. 2021, 385, 1559–1569. [Google Scholar] [CrossRef]
- Simon, T.G.; Roelstraete, B.; Khalili, H.; Hagström, H.; Ludvigsson, J.F. Mortality in biopsy-confirmed nonalcoholic fatty liver disease: Results from a nationwide cohort. Gut 2021, 70, 1375–1382. [Google Scholar] [CrossRef]
- Ekstedt, M.; Hagström, H.; Nasr, P.; Fredrikson, M.; Stål, P.; Kechagias, S.; Hultcrantz, R. Fibrosis stage is the strongest predictor for disease-specific mortality in NAFLD after up to 33 years of follow-up. Hepatology 2015, 61, 1547–1554. [Google Scholar] [CrossRef] [PubMed]
- Ng, C.H.; Lim, W.H.; Lim, G.E.H.; Tan, D.J.H.; Syn, N.; Muthiah, M.D.; Huang, D.Q.; Loomba, R. Mortality Outcomes by Fibrosis Stage in Nonalcoholic Fatty Liver Disease: A Systematic Review and Meta-analysis. Clin. Gastroenterol. Hepatol. 2023, 21, 931–939. [Google Scholar] [CrossRef] [PubMed]
- Yu, J.H.; Lee, H.A.; Kim, S.U. Noninvasive imaging biomarkers for liver fibrosis in nonalcoholic fatty liver disease: Current and future. Clin. Mol. Hepatol. 2023, 29, S136–S149. [Google Scholar] [CrossRef] [PubMed]
- Reinson, T.; Buchanan, R.M.; Byrne, C.D. Noninvasive serum biomarkers for liver fibrosis in NAFLD: Current and future. Clin. Mol. Hepatol. 2023, 29, S157–S170. [Google Scholar] [CrossRef] [PubMed]
- McPherson, S.; Hardy, T.; Dufour, J.F.; Petta, S.; Romero-Gomez, M.; Allison, M.; Oliveira, C.P.; Francque, S.; Van Gaal, L.; Schattenberg, J.M.; et al. Age as a Confounding Factor for the Accurate Non-Invasive Diagnosis of Advanced NAFLD Fibrosis. Am. J. Gastroenterol. 2017, 112, 740–751. [Google Scholar] [CrossRef] [PubMed]
- Wang, W.; Zhao, X.; Li, G.; Wang, L.; Chen, Y.; Ma, K.; Chen, G.; Chen, T.; Han, M.; Ning, Q.; et al. Diagnostic thresholds and performance of noninvasive fibrosis scores are limited by age in patients with chronic hepatitis B. J. Med. Virol. 2019, 91, 1279–1287. [Google Scholar] [CrossRef] [PubMed]
- Sangha, K.; Chang, S.T.; Cheung, R.; Deshpande, V.S. Cost-effectiveness of MRE versus VCTE in staging fibrosis for nonalcoholic fatty liver disease (NAFLD) patients with advanced fibrosis. Hepatology 2023, 77, 1702–1711. [Google Scholar] [CrossRef] [PubMed]
- Gallix, B.P.; Taourel, P.; Dauzat, M.; Bruel, J.M.; Lafortune, M. Flow pulsatility in the portal venous system: A study of Doppler sonography in healthy adults. AJR Am. J. Roentgenol. 1997, 169, 141–144. [Google Scholar] [CrossRef] [PubMed]
- Soyebi, K.O.; Agboola, A.S.; Oyeleke, G.K. Diagnostic Value of Ultrasonographic Portal Venous Index in the Assessment of Liver Fibrosis in Chronic Viral Hepatitis in Lagos, Nigeria. J. Radiat. Med. Trop. 2021, 2, 72–78. [Google Scholar] [CrossRef]
- Balci, A.; Karazincir, S.; Sumbas, H.; Oter, Y.; Egilmez, E.; Inandi, T. Effects of diffuse fatty infiltration of the liver on portal vein flow hemodynamics. J. Clin. Ultrasound 2008, 36, 134–140. [Google Scholar] [CrossRef] [PubMed]
- Erdogmus, B.; Tamer, A.; Buyukkaya, R.; Yazici, B.; Buyukkaya, A.; Korkut, E.; Alcelik, A.; Korkmaz, U. Portal vein hemodynamics in patients with non-alcoholic fatty liver disease. Tohoku J. Exp. Med. 2008, 215, 89–93. [Google Scholar] [CrossRef] [PubMed]
- Solhjoo, E.; Mansour-Ghanaei, F.; Moulaei-Langorudi, R.; Joukar, F. Comparison of portal vein doppler indices and hepatic vein doppler waveform in patients with nonalcoholic fatty liver disease with healthy control. Hepat. Mon. 2011, 11, 740–744. [Google Scholar] [CrossRef]
- Balasubramanian, P.; Boopathy, V.; Govindasamy, E.; Venkatesh, B.P. Assessment of Portal Venous and Hepatic Artery Haemodynamic Variation in Non-Alcoholic Fatty Liver Disease (NAFLD) Patients. J. Clin. Diagn. Res. 2016, 10, Tc07–Tc10. [Google Scholar] [CrossRef]
- Baikpour, M.; Ozturk, A.; Dhyani, M.; Mercaldo, N.D.; Pierce, T.T.; Grajo, J.R.; Samir, A.E. Portal Venous Pulsatility Index: A Novel Biomarker for Diagnosis of High-Risk Nonalcoholic Fatty Liver Disease. AJR Am. J. Roentgenol. 2020, 214, 786–791. [Google Scholar] [CrossRef]
- Hamed, N.H.; Al Tohamy, M.F.; Khalil, A.O.; Amin, M.I. Diagnostic Value of Portal Venous Pulsatility Index in Patients with High-Risk Nonalcoholic Fatty Liver Disease. Egypt. J. Hosp. Med. 2022, 86, 506–512. [Google Scholar] [CrossRef]
- Lu, S.; Archard, R.; McLeod, L.; Banh, A.; Con, D.; Ardalan, Z.; Kutaiba, N. Portal Venous Pulsatility Index as a predictor of fibrosis in patients with non-alcoholic fatty liver disease. Australas. J. Ultrasound Med. 2022, 25, 36–41. [Google Scholar] [CrossRef]
- Rinella, M.E.; Lazarus, J.V.; Ratziu, V.; Francque, S.M.; Sanyal, A.J.; Kanwal, F.; Romero, D.; Abdelmalek, M.F.; Anstee, Q.M.; Arab, J.P.; et al. A multisociety Delphi consensus statement on new fatty liver disease nomenclature. Hepatology 2023, 78, 1966–1986. [Google Scholar] [CrossRef] [PubMed]
- Bota, S.; Sporea, I.; Peck-Radosavljevic, M.; Sirli, R.; Tanaka, H.; Iijima, H.; Saito, H.; Ebinuma, H.; Lupsor, M.; Badea, R.; et al. The influence of aminotransferase levels on liver stiffness assessed by Acoustic Radiation Force Impulse Elastography: A retrospective multicentre study. Dig. Liver Dis. 2013, 45, 762–768. [Google Scholar] [CrossRef]
- Boursier, J.; Zarski, J.P.; de Ledinghen, V.; Rousselet, M.C.; Sturm, N.; Lebail, B.; Fouchard-Hubert, I.; Gallois, Y.; Oberti, F.; Bertrais, S.; et al. Determination of reliability criteria for liver stiffness evaluation by transient elastography. Hepatology 2013, 57, 1182–1191. [Google Scholar] [CrossRef] [PubMed]
- Yang, Y.S.; Han, B.D.; Han, K.; Jung, J.H.; Son, J.W. Obesity Fact Sheet in Korea, 2021: Trends in Obesity Prevalence and Obesity-Related Comorbidity Incidence Stratified by Age from 2009 to 2019. J. Obes. Metab. Syndr. 2022, 31, 169–177. [Google Scholar] [CrossRef] [PubMed]
- Eddowes, P.J.; Sasso, M.; Allison, M.; Tsochatzis, E.; Anstee, Q.M.; Sheridan, D.; Guha, I.N.; Cobbold, J.F.; Deeks, J.J.; Paradis, V.; et al. Accuracy of FibroScan Controlled Attenuation Parameter and Liver Stiffness Measurement in Assessing Steatosis and Fibrosis in Patients with Nonalcoholic Fatty Liver Disease. Gastroenterology 2019, 156, 1717–1730. [Google Scholar] [CrossRef] [PubMed]
- Wong, V.W.; Vergniol, J.; Wong, G.L.; Foucher, J.; Chan, H.L.; Le Bail, B.; Choi, P.C.; Kowo, M.; Chan, A.W.; Merrouche, W.; et al. Diagnosis of fibrosis and cirrhosis using liver stiffness measurement in nonalcoholic fatty liver disease. Hepatology 2010, 51, 454–462. [Google Scholar] [CrossRef]
- Newsome, P.N.; Sasso, M.; Deeks, J.J.; Paredes, A.; Boursier, J.; Chan, W.K.; Yilmaz, Y.; Czernichow, S.; Zheng, M.H.; Wong, V.W.; et al. FibroScan-AST (FAST) score for the non-invasive identification of patients with non-alcoholic steatohepatitis with significant activity and fibrosis: A prospective derivation and global validation study. Lancet Gastroenterol. Hepatol. 2020, 5, 362–373. [Google Scholar] [CrossRef]
- Jin, E.S.; Shim, J.S.; Kim, S.E.; Bae, J.H.; Kang, S.; Won, J.C.; Shin, M.J.; Jin, H.Y.; Moon, J.; Lee, H.; et al. Dyslipidemia Fact Sheet in South Korea, 2022. J. Lipid Atheroscler. 2023, 12, 237–251. [Google Scholar] [CrossRef]
- Angulo, P.; Hui, J.M.; Marchesini, G.; Bugianesi, E.; George, J.; Farrell, G.C.; Enders, F.; Saksena, S.; Burt, A.D.; Bida, J.P.; et al. The NAFLD fibrosis score: A noninvasive system that identifies liver fibrosis in patients with NAFLD. Hepatology 2007, 45, 846–854. [Google Scholar] [CrossRef]
- Sterling, R.K.; Lissen, E.; Clumeck, N.; Sola, R.; Correa, M.C.; Montaner, J.; Sulkowski, M.S.; Torriani, F.J.; Dieterich, D.T.; Thomas, D.L.; et al. Development of a simple noninvasive index to predict significant fibrosis in patients with HIV/HCV coinfection. Hepatology 2006, 43, 1317–1325. [Google Scholar] [CrossRef] [PubMed]
- Wai, C.T.; Greenson, J.K.; Fontana, R.J.; Kalbfleisch, J.D.; Marrero, J.A.; Conjeevaram, H.S.; Lok, A.S. A simple noninvasive index can predict both significant fibrosis and cirrhosis in patients with chronic hepatitis C. Hepatology 2003, 38, 518–526. [Google Scholar] [CrossRef]
- Lee, J.H.; Kim, D.; Kim, H.J.; Lee, C.H.; Yang, J.I.; Kim, W.; Kim, Y.J.; Yoon, J.H.; Cho, S.H.; Sung, M.W.; et al. Hepatic steatosis index: A simple screening tool reflecting nonalcoholic fatty liver disease. Dig. Liver Dis. 2010, 42, 503–508. [Google Scholar] [CrossRef]
- McNaughton, D.A.; Abu-Yousef, M.M. Doppler US of the liver made simple. Radiographics 2011, 31, 161–188. [Google Scholar] [CrossRef] [PubMed]
- Iranpour, P.; Lall, C.; Houshyar, R.; Helmy, M.; Yang, A.; Choi, J.I.; Ward, G.; Goodwin, S.C. Altered Doppler flow patterns in cirrhosis patients: An overview. Ultrasonography 2016, 35, 3–12. [Google Scholar] [CrossRef] [PubMed]
- Chiu, K.C.; Sheu, B.S.; Chuang, C.H. Portal venous flow pattern as a useful tool for predicting esophageal varix bleeding in cirrhotic patients. Dig. Dis. Sci. 2005, 50, 1170–1174. [Google Scholar] [CrossRef]
- Mohammadi, A.; Ghasemi-rad, M.; Zahedi, H.; Toldi, G.; Alinia, T. Effect of severity of steatosis as assessed ultrasonographically on hepatic vascular indices in non-alcoholic fatty liver disease. Med. Ultrason. 2011, 13, 200–206. [Google Scholar] [PubMed]
- Barakat, M. Portal vein pulsatility and spectral width changes in patients with portal hypertension: Relation to the severity of liver disease. Br. J. Radiol. 2002, 75, 417–421. [Google Scholar] [CrossRef] [PubMed]
- Olteanu, V.A.; Balan, G.G.; Timofte, O.; Dascalu, C.G.; Gologan, E.; Gilca-Blanariu, G.E.; Diac, M.M.; Sandu, I.; Stefanescu, G. Risk Predictors of Advanced Fibrosis in Non-Alcoholic Fatty Liver Disease. Diagnostics 2022, 12, 2136. [Google Scholar] [CrossRef]
- Yeom, S.K.; Lee, C.H.; Cha, S.H.; Park, C.M. Prediction of liver cirrhosis, using diagnostic imaging tools. World J. Hepatol. 2015, 7, 2069–2079. [Google Scholar] [CrossRef]
- Barr, R.G. Chapter 2—Conventional ultrasound findings in chronic liver disease. In Multiparametric Ultrasound for the Assessment of Diffuse Liver Disease; Barr, R.G., Ferraioli, G., Eds.; Elsevier: New Delhi, India, 2024; pp. 7–24. [Google Scholar]





| Total (n = 994) | SF (−) Group (n = 926) | SF (+) Group (n = 68) | p Value | |
|---|---|---|---|---|
| Male sex | 974 (98.0) | 907 (97.9) | 67 (98.5) | 1.000 |
| Age | 21.0 (20.0, 26.0) | 21.0 (20.0, 26.0) | 21.0 (20.0, 25.5) | 0.333 |
| Height (cm) | 174.6 ± 5.9 | 174.6 ± 5.8 | 175.8 ± 6.5 | 0.107 |
| Weight (kg) | 83.8 ± 15.0 | 82.4 ± 14.1 | 102.1 ± 14.9 | <0.001 |
| BMI (kg/m2) | 27.4 ± 4.4 | 27.0 ± 4.1 | 33.0 ± 4.1 | <0.001 |
| Obesity (BMI ≥ 25 kg/m2) | 675 (67.9) | 611 (66.0) | 64 (94.1) | <0.001 |
| DM | 44 (4.4) | 38 (4.1) | 6 (8.8) | 0.128 |
| HTN | 176 (17.7) | 164 (17.7) | 12 (17.6) | 1.000 |
| Dyslipidemia | 353 (35.5) | 321 (34.7) | 32 (47.1) | 0.054 |
| Number of CMRFs | <0.001 | |||
| 1 | 371 (37.3) | 358 (38.7) | 13 (19.1) | |
| 2 | 293 (29.5) | 269 (29.0) | 24 (35.3) | |
| ≥3 | 275 (27.7) | 244 (26.3) | 31 (45.6) | |
| PLT (1000/μL) | 266.0 (233.0, 301.0) | 265.0 (233.0, 300.0) | 276.0 (236.5, 302.8) | 0.378 |
| AST (IU/L) | 28.7 (20.5, 40.6) | 27.9 (20.4, 38.6) | 59.3 (41.5, 71.1) | <0.001 |
| ALT (IU/L) | 47.0 (24.0, 83.0) | 44.5 (23.0, 77.0) | 132.5 (73.3, 165.2) | <0.001 |
| TB (mg/dL) | 0.8 (0.6, 1.0) | 0.8 (0.6, 1.0) | 0.8 (0.6, 0.9) | 0.132 |
| GGT (U/L) | 40.0 (23.0, 70.0) | 38.0 (22.0, 69.0) | 62.0 (44.0, 95.0) | <0.001 |
| Albumin (mg/dL) | 4.9 (4.7, 5.1) | 4.9 (4.7, 5.1) | 4.9 (4.8, 5.1) | 0.942 |
| PT (INR) | 1.01 (0.97, 1.05) | 1.01 (0.97, 1.05) | 0.99 (0.96, 1.02) | 0.005 |
| CAP (dB/m) | 278.0 (244.0, 329.0) | 271.0 (242.0, 324.0) | 340.0 (313.0, 363.0) | <0.001 |
| LSM (kPa) | 4.8 (4.0, 5.9) | 4.7 (4.0, 5.6) | 9.1 (8.7, 10.6) | <0.001 |
| Med/IQR for LSM | 14.0 (9.0, 18.0) | 13.0 (9.0, 18.0) | 16.0 (11.0, 20.0) | 0.011 |
| SF (−) Group (n = 926) | SF (+) Group (n = 68) | p Value | |
|---|---|---|---|
| VPI | 0.34 ± 0.11 | 0.27 ± 0.12 | <0.001 |
| MPVD (mm) | 8.98 ± 1.30 | 10.16 ± 1.62 | <0.001 |
| FIB-4 | 0.45 ± 0.26 | 0.49 ± 0.19 | 0.173 |
| NFS | −3.82 ± 1.13 | −3.43 ± 1.07 | 0.006 |
| APRI | 0.32 ± 0.23 | 0.55 ± 0.26 | <0.001 |
| HSI | 39.79 ± 7.70 | 49.12 ± 6.33 | <0.001 |
| Crude OR (95% CI) | p | Age-Adjusted OR (95% CI) | p | Multivariable-Adjusted OR (95% CI) | p | |
|---|---|---|---|---|---|---|
| VPI (0.01 scale) | 0.920 (0.889–0.952) | <0.001 | 0.910 (0.878–0.944) | <0.001 | 0.955 (0.919–0.993) | 0.022 |
| MPVD | 1.779 (1.498–2.112) | <0.001 | 1.779 (1.498–2.111) | <0.001 | 1.501 (1.243–1.813) | <0.001 |
| BMI (kg/m2) | 1.385 (1.293–1.483) | <0.001 | 1.389 (1.296–1.488) | <0.001 | - | - |
| BMI ≥ 30 kg/m2 | 16.009 (8.424–30.426) | <0.001 | 16.093 (8.454–30.633) | <0.001 | ||
| Age | 0.992 (0.960–1.024) | 0.617 | - | - | - | - |
| DM | 2.261 (0.921–5.555) | 0.075 | 2.614 (1.013–6.742) | 0.047 | 1.628 (0.615–4.310) | 0.327 |
| Dyslipidemia | 1.675 (1.021–2.748) | 0.041 | 1.819 (1.089–3.039) | 0.022 | 1.006 (0.590–1.714) | 0.983 |
| HTN | 0.996 (0.522–1.899) | 0.989 | - | - | - | - |
Disclaimer/Publisher’s Note: The statements, opinions and data contained in all publications are solely those of the individual author(s) and contributor(s) and not of MDPI and/or the editor(s). MDPI and/or the editor(s) disclaim responsibility for any injury to people or property resulting from any ideas, methods, instructions or products referred to in the content. |
© 2024 by the authors. Licensee MDPI, Basel, Switzerland. This article is an open access article distributed under the terms and conditions of the Creative Commons Attribution (CC BY) license (https://creativecommons.org/licenses/by/4.0/).
Share and Cite
Lee, J.; Choi, S.; Cho, S.-H.; Yang, H.; Sung, P.-S.; Bae, S.-H. The Portal Venous Pulsatility Index and Main Portal Vein Diameter as Surrogate Markers for Liver Fibrosis in Nonalcoholic Fatty Liver Disease and Metabolic-Dysfunction-Associated Steatotic Liver Disease. Diagnostics 2024, 14, 393. https://doi.org/10.3390/diagnostics14040393
Lee J, Choi S, Cho S-H, Yang H, Sung P-S, Bae S-H. The Portal Venous Pulsatility Index and Main Portal Vein Diameter as Surrogate Markers for Liver Fibrosis in Nonalcoholic Fatty Liver Disease and Metabolic-Dysfunction-Associated Steatotic Liver Disease. Diagnostics. 2024; 14(4):393. https://doi.org/10.3390/diagnostics14040393
Chicago/Turabian StyleLee, Jaejun, Seungmyeon Choi, Seong-Hyun Cho, Hyun Yang, Pil-Soo Sung, and Si-Hyun Bae. 2024. "The Portal Venous Pulsatility Index and Main Portal Vein Diameter as Surrogate Markers for Liver Fibrosis in Nonalcoholic Fatty Liver Disease and Metabolic-Dysfunction-Associated Steatotic Liver Disease" Diagnostics 14, no. 4: 393. https://doi.org/10.3390/diagnostics14040393
APA StyleLee, J., Choi, S., Cho, S.-H., Yang, H., Sung, P.-S., & Bae, S.-H. (2024). The Portal Venous Pulsatility Index and Main Portal Vein Diameter as Surrogate Markers for Liver Fibrosis in Nonalcoholic Fatty Liver Disease and Metabolic-Dysfunction-Associated Steatotic Liver Disease. Diagnostics, 14(4), 393. https://doi.org/10.3390/diagnostics14040393

