Comparison of Diagnostic Performance between Classic and Modified Abbreviated Breast MRI and the MRI Features Affecting Their Diagnostic Performance
Abstract
1. Introduction
2. Materials and Methods
2.1. Study Population
2.2. Breast MRI Examination Technique
2.3. Breast MRI Analysis
2.4. Statistical Analysis
3. Results
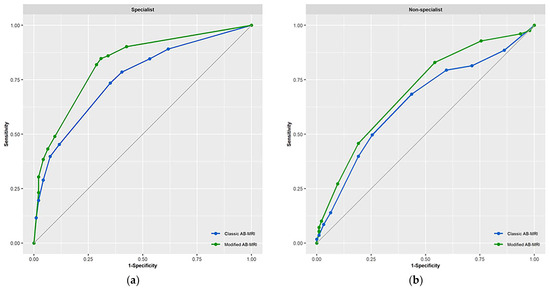
3.1. Performance of the Modified and Classic AB-MRIs
3.2. MRI Features Affecting the Diagnostic Performance of Modified and Classic AB-MRI According to the Reader’s Experience
4. Discussion
Author Contributions
Funding
Institutional Review Board Statement
Informed Consent Statement
Data Availability Statement
Acknowledgments
Conflicts of Interest
References
- Mann, R.M.; Kuhl, C.K.; Moy, L. Contrast-enhanced MRI for breast cancer screening. J. Magn. Reson. Imaging 2019, 50, 377–390. [Google Scholar] [CrossRef] [PubMed]
- Saslow, D.; Boetes, C.; Burke, W.; Harms, S.; Leach, M.O.; Lehman, C.D.; Morris, E.; Pisano, E.; Schnall, M.; Sener, S.; et al. American Cancer Society guidelines for breast screening with MRI as an adjunct to mammography. CA Cancer J. Clin. 2007, 57, 75–89. [Google Scholar] [CrossRef] [PubMed]
- American College of Radiology. Breast Magnetic Resonance Imaging (MRI) Accreditation Program Requirements: American College of Radiology. 2017. Available online: www.acraccreditation.org//media/ACRAccreditation/Documents/MRI/MRAP-Accreditation-Checklist.pdf (accessed on 23 August 2023).
- Zhang, Z.; Berg, W.A.; Lehrer, D.; Jong, R.A.; Pisano, E.D.; Barr, R.G.; Böhm-Vélez, M.; Mahoney, M.C.; Evans, W.P.; Larsen, L.H.; et al. Detection of breast cancer with addition of annual screening ultrasound or a single screening MRI to mammography in women with elevated breast cancer risk. JAMA 2012, 307, 1394–1404. [Google Scholar] [CrossRef]
- Kuhl, C.K.; Schrading, S.; Strobel, K.; Schild, H.H.; Hilgers, R.-D.; Bieling, H.B. Abbreviated breast magnetic resonance imaging (MRI): First postcontrast subtracted images and maximum-intensity projection-a novel approach to breast cancer screening with MRI. J. Clin. Oncol. 2014, 32, 2304–2310. [Google Scholar] [CrossRef] [PubMed]
- Kuhl, C.K. Abbreviated magnetic resonance imaging (MRI) for breast cancer screening: Rationale, concept, and transfer to clinical practice. Annu. Rev. Med. 2019, 70, 501–519. [Google Scholar] [CrossRef]
- Chen, S.-Q.; Huang, M.; Shen, Y.-Y.; Liu, C.-L.; Xu, C.-X. Abbreviated MRI protocols for detecting breast cancer in women with dense breasts. Korean J. Radiol. 2017, 18, 470–475. [Google Scholar] [CrossRef] [PubMed]
- Grimm, L.J.; Soo, M.S.; Yoon, S.; Kim, C.; Ghate, S.V.; Johnson, K.S. Abbreviated screening protocol for breast MRI: A feasibility study. Acad. Radiol. 2015, 22, 1157–1162. [Google Scholar] [CrossRef]
- Choudhery, S.; Chou, S.-H.S.; Chang, K.; Kalpathy-Cramer, J.; Lehman, C.D. Kinetic analysis of lesions identified on a rapid abridged multiphase (RAMP) Breast MRI Protocol. Acad. Radiol. 2020, 27, 672–681. [Google Scholar] [CrossRef]
- Morris, E.A.; Comstock, C.E.; Lee, C.H.; Lehman, C.D.; Ikeda, D.M.; Newstead, G.M. ACR BI-RADS® magnetic resonance imaging. In ACR BI-RADS® Atlas, Breast Imaging Reporting and Data System; American College of Radiology: Reston, VI, USA, 2013. [Google Scholar]
- Gutierrez, R.L.; DeMartini, W.B.; Eby, P.R.; Kurland, B.F.; Peacock, S.; Lehman, C.D. BI-RADS lesion characteristics predict likelihood of malignancy in breast MRI for masses but not for nonmasslike enhancement. AJR Am. J. Roentgenol. 2009, 193, 994–1000. [Google Scholar] [CrossRef]
- Zhu, Y.; Zhang, S.; Liu, P.; Lu, H.; Xu, Y.; Yang, W.T. Solitary intraductal papillomas of the breast: MRI features and differentiation from small invasive ductal carcinomas. AJR Am. J. Roentgenol. 2012, 199, 936–942. [Google Scholar] [CrossRef]
- Meissnitzer, M.; Dershaw, D.D.; Feigin, K.; Bernard-Davila, B.; Barra, F.; Morris, E.A. MRI appearance of invasive subcentimetre breast carcinoma: Benign characteristics are common. Br. J. Radiol. 2017, 90, 20170102. [Google Scholar] [CrossRef] [PubMed]
- Landis, J.R.; Koch, G.G. The measurement of observer agreement for categorical data. Biometrics 1977, 33, 159–174. [Google Scholar] [CrossRef]
- Kim, E.S.; Cho, N.; Kim, S.-Y.; Kwon, B.R.; Yi, A.; Ha, S.M.; Lee, S.H.; Chang, J.M.; Moon, W.K. Comparison of abbreviated MRI and full diagnostic MRI in distinguishing between benign and malignant lesions detected by breast MRI: A multireader study. Korean J. Radiol. 2021, 22, 297–307. [Google Scholar] [CrossRef]
- Jones, L.I.; Marshall, A.; Elangovan, P.; Geach, R.; McKeown-Keegan, S.; Vinnicombe, S.; Harding, S.A.; Taylor-Phillips, S.; Halling-Brown, M.; Foy, C.; et al. Evaluating the effectiveness of abbreviated breast MRI (abMRI) interpretation training for mammogram readers: A multi-centre study assessing diagnostic performance, using an enriched dataset. Breast Cancer Res. 2022, 24, 55. [Google Scholar] [CrossRef] [PubMed]
- Nguyen, V.T.; Rahbar, H.; Olson, M.L.; Liu, C.; Lehman, C.D.; Partridge, S.C. Diffusion-weighted imaging: Effects of intravascular contrast agents on apparent diffusion coefficient measures of breast malignancies at 3 Tesla. J. Magn. Reson. Imaging 2015, 42, 788–800. [Google Scholar] [CrossRef] [PubMed]
- Scoggins, M.E.; Arun, B.K.; Candelaria, R.P.; Dryden, M.J.; Wei, W.; Son, J.B.; Ma, J.; Dogan, B.E. Should abbreviated breast MRI be compliant with American College of Radiology requirements for MRI accreditation? Magn. Reson. Imaging 2020, 72, 87–94. [Google Scholar] [CrossRef]
- Ray, K.M.; Kerlikowske, K.; Lobach, I.V.; Hofmann, M.B.; Greenwood, H.I.; Arasu, V.A.; Hylton, N.M.; Joe, B.N. Effect of background parenchymal enhancement on breast MR imaging interpretive performance in community-based practices. Radiology 2018, 286, 822–829. [Google Scholar] [CrossRef]
- Gweon, H.M.; Cho, N.; Han, W.; Yi, A.; Moon, H.-G.; Noh, D.-Y.; Moon, W.K. Breast MR imaging screening in women with a history of breast conservation therapy. Radiology 2014, 272, 366–373. [Google Scholar] [CrossRef]
- Kuhl, C.K. Abbreviated breast MRI for screening women with dense breast: The EA1141 trial. Br. J. Radiol. 2018, 91, 0170441. [Google Scholar] [CrossRef]
- Chung, T.K.; Lee, C.H.; Lee, J.; Choi, J.W.; Kim, K.A.; Park, C.M. Usefulness of postcontrast T2-weighted images in shortening the total scan time of a gadoxectic acid enhanced MRI of the liver: A comparison between precontrast and postcontrast T2-weighted images. J. Korean Soc. Radiol. 2010, 62, 249–256. [Google Scholar] [CrossRef][Green Version]
- Lee, E.K.; Kim, S.; Lee, Y.S. Importance of contrast-enhanced fluid-attenuated inversion recovery magnetic resonance imaging in various intracranial pathologic conditions. Korean J. Radiol. 2016, 17, 127–141. [Google Scholar] [CrossRef]



| Histopathologic Features | n (%) |
|---|---|
| Benign lesions | 94 (100) |
| Fibrocystic change | 16 (17.0) |
| Chronic inflammation | 12 (12.8) |
| Fat necrosis | 6 (6.4) |
| Xanthogranulomatous inflammation | 3 (3.2) |
| Atypical ductal hyperplasia | 1 (1.1) |
| Intraductal papilloma | 1 (1.1) |
| Usual ductal hyperplasia | 1 (1.1) |
| Atypical cells in lobules | 1 (1.1) |
| Foreign body reaction | 1 (1.1) |
| 1-year negative follow-up | 52 (55.3) |
| Malignant lesions | 28 (100) |
| Invasive ductal cancer | 20 (71.4) |
| Ductal carcinoma in situ | 7 (25.0) |
| Metaplastic carcinoma | 1 (3.6) |
| AB-MRI Characteristics | Benign Lesions (n = 94) | Malignant Lesions (n = 28) | p Value |
|---|---|---|---|
| Median lesion size on MRI (mm) * | 9 (3–68) | 14 (3–49) | 0.008 |
| ≤10 mm | 58 (61.7) | 10 (35.7) | 0.018 |
| >10 mm | 36 (38.3) | 18 (64.3) | |
| Lesion type | 94 (100.0) | 28 (100.0) | 0.023 |
| Focus | 31 (33.0) | 3 (10.7) | |
| Non-mass enhancement | 33 (35.1) | 9 (32.1) | |
| Mass | 30 (31.9) | 16 (57.1) | |
| Background parenchymal enhancement | 0.968 | ||
| Minimal | 36 (38.3) | 10 (35.7) | |
| Mild | 30 (31.9) | 10 (35.7) | |
| Moderate | 25 (26.6) | 7 (25.0) | |
| Marked | 3 (3.2) | 1 (3.6) | |
| Kinetic analysis of delayed phase | 0.129 | ||
| Persistent | 26 (26.7) | 5 (17.9) | |
| Plateau | 21 (22.3) | 3 (10.7) | |
| Washout | 47 (50.0) | 20 (71.4) | |
| T2 signal intensity ** | 0.307 | ||
| Not-high group (hypo/iso/mixed) | 70 (74.5) | 24 (85.7) | |
| High group (hyper) | 24 (25.5) | 4 (14.3) |
| Reader | Sensitivity * | Specificity * | AUC ** | ||||||
|---|---|---|---|---|---|---|---|---|---|
| Classic | Modified | p | Classic | Modified | p | Classic | Modified | p | |
| Reader 1 (non-specialist) | 82.1 (64.7–92.4) | 92.9 (77.7–98.4) | 0.424 | 40.4 (31.0–50.5) | 24.5 (16.8–34.0) | <0.001 | 0.63 (0.51–0.74) | 0.69 (0.58–0.79) | 0.401 |
| Reader 2 (non-specialist) | 71.4 (53.1–84.9) | 89.3 (73.1–96.6) | 0.075 | 56.4 (46.3–66.0) | 45.7 (36.0–55.8) | 0.078 | 0.66 (0.53–0.78) | 0.71 (0.60–0.80) | 0.48 |
| Reader 3 (specialist) | 78.6 (60.7–90.0) | 85.7 (68.8–94.6) | 0.803 | 59.6 (49.5–69.0) | 69.1 (59.3–77.6) | 0.002 | 0.74 (0.63–0.84) | 0.81 (0.72–0.90) | 0.056 |
| Reader 4 (specialist) | 75 (56.9–87.5) | 82.1 (64.7–92.4) | 0.617 | 64.9 (54.9–73.8) | 71.3 (61.5–79.5) | 0.118 | 0.77 (0.67–0.86) | 0.84 (0.75–0.91) | 0.046 |
| Average of non-specialists | 76.8 (43.5–100.0) | 91.1 (83.3–98.8) | 0.156 | 48.4 (0–100.0) | 35.1 (0–100.0) | 0.018 | 0.64 (0.57–0.72) | 0.70 (0.63–0.76) | 0.050 |
| Average of specialists | 76.8 (64.9–88.7) | 83.9 (72.5–95.4) | 0.034 | 62.2 (51.2–73.2) | 70.2 (61.9–78.5) | 0.032 | 0.76 (0.66–0.85) | 0.83 (0.74–0.91) | 0.004 |
| Average of all readers | 76.8 (66.4–87.2) | 87.5 (78.1–96.9) | 0.014 | 55.3 (40.0–70.7) | 52.7 (18.6–86.7) | 0.709 | 0.70 (0.59–0.81) | 0.76 (0.65–0.87) | 0.010 |
| Sensitivity * | Specificity * | AUC ** | |||||||
|---|---|---|---|---|---|---|---|---|---|
| Classic | Modified | p | Classic | Modified | p | Classic | Modified | p | |
| ≤10 mm | |||||||||
| Reader 1 (non-specialist) | 70.0 (40.1–89.6) | 90.0 (60.4–99.0) | 0.617 | 48.3 (35.9–60.8) | 29.3 (19.1–41.9) | <0.001 | 0.64 (0.43–0.84) | 0.67 (0.49–0.84) | 0.798 |
| Reader 2 (non-specialist) | 80.0 (49.6–94.9) | 80.0 (49.6–94.9) | 0.617 | 58.6 (45.8–70.4) | 44.8 (32.7–57.5) | 0.080 | 0.70 (0.48–0.88) | 0.63 (0.44–0.79) | 0.464 |
| Reader 3 (specialist) | 70.0 (40.1–89.6) | 70.0 (40.1–89.6) | 0.617 | 74.1 (61.7–83.8) | 79.3 (67.4–87.9) | 0.790 | 0.74 (0.56–0.89) | 0.74 (0.57–0.89) | 0.978 |
| Reader 4 (specialist) | 40.0 (16.6–68.5) | 50.0 (23.7–76.3) | 0.998 | 81.0 (69.3–89.2) | 84.5 (73.2–91.8) | 0.901 | 0.72 (0.57–0.86) | 0.77 (0.60–0.91) | 0.369 |
| Average of non-specialists | 75.0 (55.7–94.3) | 85 (62.8–100.0) | 0.500 | 53.4 (26.7–80.2) | 37.1 (0–81.4) | 0.005 | 0.67 (0.54–0.80) | 0.65 (0.52–0.78) | 0.776 |
| Average of specialists | 55.0 (0–100) | 60.0 (21.5–98.5) | 0.500 | 77.6 (64.2–91.0) | 81.9 (71.5–92.3) | 0.275 | 0.73 (0.58–0.87) | 0.76 (0.60–0.91) | 0.477 |
| Average of all readers | 65.0 (37.3–92.7) | 72.5 (45.3–99.7) | 0.256 | 65.5 (43.6–87.4) | 59.5 (18.1–100.0) | 0.407 | 0.70 (0.56–0.83) | 0.70 (0.56–0.84) | 0.903 |
| >10 mm | |||||||||
| Reader 1 (non-specialist) | 88.9 (67.7–97.4) | 94.4 (74.8–99.6) | 0.998 | 27.8 (15.7–43.8) | 16.7 (7.6–31.7) | 0.261 | 0.520 (0.37–0.68) | 0.65 (0.50–0.78) | 0.142 |
| Reader 2 (non-specialist) | 66.7 (44.0–83.9) | 94.4 (74.8–99.6) | 0.022 | 52.8 (37.0–68.0) | 47.2 (32.0–63.0) | 0.956 | 0.60 (0.44–0.76) | 0.72 (0.58–0.84) | 0.205 |
| Reader 3 (specialist) | 83.3 (61.2–94.6) | 94.4 (74.8–99.6) | 0.617 | 36.1 (22.4–52.3) | 52.8 (37.0–68.0) | <0.001 | 0.71 (0.55–0.85) | 0.82 (0.71–0.92) | 0.022 |
| Reader 4 (specialist) | 94.4 (74.8–99.6) | 100 (83.0–100.0) | 1.000 | 38.9 (24.7–55.1) | 50.0 (34.5–65.5) | 0.261 | 0.76 (0.63–0.88) | 0.85 (0.75–0.94) | 0.070 |
| Average of non-specialists | 77.8 (0–100.0) | 94.4 (94.4–94.4) | 0.374 | 40.3 (0–100.0) | 31.9 (0–100.0) | 0.226 | 0.56 (0.41–0.71) | 0.68 (0.54–0.82) | 0.003 |
| Average of specialists | 88.9 (66.6–100.0) | 97.2 (61.9–1.00.0) | 0.183 | 37.5 (23.7–51.3) | 51.4 (36.0–66.8) | 0.028 | 0.74 (0.60–0.88) | 0.84 (0.73–0.94) | 0.018 |
| Average of all readers | 83.3 (65.6–100.0) | 95.8 (90.7–100.0) | 0.103 | 38.9 (22.8–55.0) | 41.7 (17.1–66.2) | 0.725 | 0.65 (0.48–0.81) | 0.76 (0.62–0.90) | 0.001 |
| Sensitivity * | Specificity * | AUC ** | |||||||
|---|---|---|---|---|---|---|---|---|---|
| Classic | Modified | p | Classic | Modified | p | Classic | Modified | p | |
| Focus | |||||||||
| Reader 1 (non-specialist) | 66.7 (21.4–94.5) | 66.7 (21.4–94.5) | NA | 58.1 (40.8–73.6) | 32.3 (18.4–49.7) | <0.001 | 0.66 (0.26–0.98) | 0.44 (0.05–0.71) | 0.001 |
| Reader 2 (non-specialist) | 66.7 (21.4–94.5) | 66.7 (21.4–94.5) | NA | 71.0 (53.6–84.1) | 48.4 (32.0–65.1) | 0.016 | 0.66 (0.16–0.98) | 0.59 (0.05–1.00) | 0.173 |
| Reader 3 (specialist) | 33.3 (5.5–78.6) | 0 0.0–54.1) | 0.999 | 87.1 (71.4–95.2) | 90.3 (75.4–97.0) | 1.000 | 0.56 (0.31–0.92) | 0.45 (0.40, 0.50) | 0.506 |
| Reader 4 (specialist) | 0 (0.0–54.1) | 0 (–0.0–54.1) | NA | 87.1 (71.4–95.2) | 90.3 (75.4–97.0) | 0.998 | 0.61 (0.36–0.84) | 0.57 (0.37, 0.86) | 0.748 |
| Average of non-specialists | 66.7 (1.3–100.0) | 66.7 (1.3–100.0) | NA | 64.5 (35.4–93.6) | 40.3 (6.0–74.7) | 0.002 | 0.67 (0.01–1.00) | 0.67 (0.01–1.00) | 0.319 |
| Average of specialists | 16.7 (0–100) | 0 | 0.500 | 87.1 (77.0, 97.2) | 90.3 (81.9, 98.7) | 0.483 | 0.17 (0.00–1.00) | 0 | 0.258 |
| Average of all readers | 41.7 (0–94.2) | 33.3 (0–89.5) | 0.391 | 75.8 (55.3–96.3) | 65.3 (19.9–100.0) | 0.300 | 0.42 (0.00–0.94) | 0.33 (0.00–0.90) | 0.071 |
| Non-mass enhancement | |||||||||
| Reader 1 (non-specialist) | 77.8 (45.9–94.3) | 88.9 (57.3–98.9) | 0.999 | 36.4 (22.1–53.3) | 24.2 (12.6–40.8) | 0.368 | 0.51 (0.32–0.69) | 0.54 (0.37–0.71) | 0.764 |
| Reader 2 (non-specialist) | 55.6 (26.8–81.2) | 100.0 (71.2–101.1) | 0.024 | 51.5 (35.2–67.5) | 45.5 (29.8–62.0) | 0.943 | 0.48 (0.29–0.69) | 0.73 (0.59–0.86) | 0.035 |
| Reader 3 (specialist) | 77.8 (45.9–94.3) | 88.9 (57.3–98.9) | 1.000 | 42.4 (27.2–59.1) | 54.5 (38.0–70.2) | 0.134 | 0.71 (0.49–0.92) | 0.80 (0.62–0.95) | 0.166 |
| Reader 4 (specialist) | 100.0 (71.2–101.1) | 100.0 (71.2–101.1) | NA | 45.5 (29.8–62.0) | 54.5 (38.0–70.2) | 0.568 | 0.83 (0.69–0.94) | 0.85 (0.72–0.94) | 0.742 |
| Average of non-specialists | 66.7 (0–100.0) | 94.4 (23.9–100.0) | 0.344 | 43.9 (7.0–80.9) | 34.8 (0–100.0) | 0.260 | 0.67 (0.00–1.00) | 0.94 (0.24–1.00) | 0.360 |
| Average of specialists | 88.9 (66.6–100.0) | 94.4 (23.9–100.0) | 0.500 | 43.9 (29.3–58.6) | 54.5 (39.5–69.5) | 0.044 | 0.89 (0.00–1.00) | 0.94 (0.24–1.00) | 0.352 |
| Average of all readers | 77.8 (51.3–100.0) | 94.4 (83.0–100.0) | 0.186 | 43.9 (31.5–56.4) | 44.7 (23.8–65.6) | 0.916 | 0.78 (0.51–1.00) | 0.94 (0.83–1.00) | 0.182 |
| Mass | |||||||||
| Reader 1 (non-specialist) | 87.5 (64.5–97.0) | 100.0 (81.3–100.7) | 0.617 | 26.7 (14.0–44.3) | 16.7 (7.1–33.3) | 0.424 | 0.62 (0.50–0.78) | 0.75 (0.62–0.87) | 0.131 |
| Reader 2 (non-specialist) | 81.2 (57.4–93.8) | 87.5 (64.5–97.0) | 1.000 | 46.7 (30.2–63.8) | 43.3 (27.3–60.7) | 1.000 | 0.71 (0.53–0.87) | 0.69 (0.54–0.82) | 0.836 |
| Reader 3 (specialist) | 87.5 (64.5–97.0) | 100.0 (81.3–100.7) | 0.617 | 50.0 (33.2–66.8) | 63.3 (45.6–78.2) | 0.368 | 0.75 (0.60–0.88) | 0.86 (0.75–0.95) | 0.072 |
| Reader 4 (specialist) | 75.0 (50.9–90.2) | 87.5 (64.5–97.0) | 0.617 | 63.3 (45.6–78.2) | 70.0 (52.3–83.5) | 0.868 | 0.76 (0.61–0.89) | 0.88 (0.77–0.96) | 0.032 |
| Average of non-specialists | 84.4 (44.7–100.0) | 93.8 (14.3–100.0) | 0.205 | 36.7 (0–100.0) | 30.0 (0–100.0) | 0.295 | 0.66 (0.50–0.87) | 0.72 (0.60–0.84) | 0.596 |
| Average of specialists | 81.2 (57.2–100.0) | 93.8 (14.3–100.0) | 0.025 | 56.7 (31.1–82.2) | 66.7 (50.3–83.1) | 0.186 | 0.76 (0.62–0.89) | 0.87 (0.78–0.95) | 0.014 |
| Average of all readers | 82.8 (69.4–96.2) | 93.8 (83.3–100.0) | 0.022 | 46.7 (24.6–68.7) | 48.3 (12.0–84.7) | 0.769 | 0.71 (0.58–0.84) | 0.79 (0.66–0.92) | 0.122 |
| Sensitivity * | Specificity * | AUC ** | |||||||
|---|---|---|---|---|---|---|---|---|---|
| Classic | Modified | p | Classic | Modified | p | Classic | Modified | p | |
| Minimal | |||||||||
| Reader 1 (non-specialist) | 80.0 (49.6–94.9) | 90.0 (60.4–99.0) | 1.000 | 50.0 (34.5–65.5) | 22.2 (11.5–37.9) | <0.001 | 0.66 (0.46–0.84) | 0.62 (0.42–0.80) | 0.750 |
| Reader 2 (non-specialist) | 80.0 (49.6–94.9) | 80.0 (49.6–94.9) | 0.617 | 44.4 (29.5–60.4) | 41.7 (27.1–57.7) | 1.000 | 0.61 (0.42–0.79) | 0.64 (0.44–0.83) | 0.800 |
| Reader 3 (specialist) | 70.0 (40.1–89.6) | 70.0 (40.1–89.6) | 0.617 | 55.6 (39.6–70.5) | 66.7 (50.5–79.9) | 0.261 | 0.68 (0.50–0.85) | 0.72 (0.54–0.89) | 0.489 |
| Reader 4 (specialist) | 60.0 (31.5–83.4) | 60.0 (31.5–83.4) | NA | 66.7 (50.5–79.9) | 72.2 (56.2–84.3) | 0.868 | 0.72 (0.54–0.88) | 0.75 (0.57–0.91) | 0.432 |
| Average of non-specialists | 80.0 (64.0–96.0) | 85.0 (62.8–100.0) | 0.500 | 47.2 (34.3–60.1) | 31.9 (0–100.0) | 0.417 | 0.64 (0.48–0.79) | 0.63 (0.50–0.76) | 0.869 |
| Average of specialists | 65.0 (35.2–94.8) | 65.0 (35.2–94.8) | NA | 61.1 (39.8–82.4) | 69.4 (53.9–85.0) | 0.148 | 0.70 (0.52–0.88) | 0.74 (0.56–0.92) | 0.088 |
| Average of all readers | 72.5 (50.2–94.8) | 75.0 (52.1–97.9) | 0.618 | 54.2 (39.4–68.9) | 50.7 (16.0–85.4) | 0.718 | 0.67 (0.51–0.82) | 0.68 (0.53–0.84) | 0.583 |
| Mild | |||||||||
| Reader 1 (non-specialist) | 88.9 (57.3–98.9) | 88.9 (57.3–98.9) | 0.617 | 29.2 (14.7–49.0) | 20.8 (9.0–40.2) | 0.803 | 0.55 (0.35–0.73) | 0.72 (0.51–0.91) | 0.118 |
| Reader 2 (non-specialist) | 55.6 (26.8–81.2) | 100.0 (71.2–101.1) | 0.024 | 62.5 (42.8–79.0) | 50.0 (31.4–68.6) | 0.716 | 0.60 (0.35–0.85) | 0.76 (0.63–0.87) | 0.284 |
| Reader 3 (specialist) | 66.7 (35.8–88.3) | 88.9 (57.3–98.9) | 0.617 | 58.3 (38.9–75.6) | 70.8 (51.0–85.3) | 0.568 | 0.66 (0.44–0.87) | 0.80 (0.63–0.93) | 0.106 |
| Reader 4 (specialist) | 88.9 (57.3–98.9) | 100.0 (71.2–101.1) | 1.000 | 50.0 (31.4–68.6) | 62.5 (42.8–79.0) | 0.424 | 0.76 (0.57–0.92) | 0.85 (0.72–0.94) | 0.254 |
| Average of non-specialists | 72.2 (0–100.0) | 94.4 (23.9–100.0) | 0.500 | 45.8 (0–100.0) | 35.4 (0–100.0) | 0.126 | 0.58 (0.42–0.73) | 0.74 (0.66–0.82) | 0.026 |
| Average of specialists | 77.8 (31.5–100.0) | 94.4 (23.9–100.0) | 0.172 | 54.2 (33.1–75.2) | 66.7 (49.8–83.6) | 0.070 | 0.71 (0.51–0.92) | 0.82 (0.70–0.95) | 0.114 |
| Average of all readers | 75 (48.1–100.0) | 94.4 (83.0–100.0) | 0.165 | 50.0 (28.1–71.9) | 51.0 (19.0–83.1) | 0.890 | 0.65 (0.46–0.83) | 0.78 (0.67–0.89) | 0.070 |
| Moderate | |||||||||
| Reader 1 (non-specialist) | 75.0 (31.0–96.3) | 100.0 (52.8–101.8) | 1.000 | 41.9 (26.4–59.2) | 29.0 (15.9–46.4) | 0.453 | 0.61 (0.32–0.87) | 0.73 (0.54–0.90) | 0.253 |
| Reader 2 (non-specialist) | 75.0 (31.0–96.3) | 100.0 (52.8–101.8) | 1.000 | 64.5 (47.1–79.0) | 48.4 (32.0–65.1) | 0.400 | 0.77 (0.51–0.96) | 0.87 (0.71–0.98) | 0.206 |
| Reader 3 (specialist) | 100.0 (52.8–101.8) | 100.0 (52.8–101.8) | NA | 64.5 (47.1–79.0) | 67.7 (50.3–81.6) | 1.000 | 0.91 (0.77–1.00) | 0.92 (0.82–1.00) | 0.780 |
| Reader 4 (specialist) | 100.0 (52.8–101.8) | 100.0 (52.8–101.8) | NA | 74.2 (56.9–86.5) | 74.2 (56.9–86.5) | 0.803 | 0.92 (0.81–0.99) | 0.94 (0.84–1.00) | 0.735 |
| Average of non-specialists | 75.0 (75.0–75.0) | 100 (100.0–100.0) | 0 | 53.2 (0–100.0) | 38.7 (0–88.0) | 0.062 | 0.69 (0.39–0.99) | 0.80 (0.52–1.00) | 0.010 |
| Average of specialists | 100 (100.0–100.0) | 100 (100.0–100.0) | NA | 69.4 (49.9–88.8) | 71.0 (54.3–87.7) | 0.743 | 0.92 (0.80–1.00) | 0.93 (0.83–1.00) | 0.791 |
| Average of all readers | 87.5 (64.5–100.0) | 100 (NA–NA) | 0.182 | 61.3 (40.9–81.7) | 54.8 (24.7–84.9) | 0.332 | 0.80 (0.59–1.00) | 0.87 (0.70–1.00) | 0.095 |
| Marked | |||||||||
| Reader 1 (non-specialist) | 80.0 (38.5–97.3) | 100.0 (58.1–101.6) | 1.000 | 0 (–2.0–54.1) | 33.3 (5.5–78.6) | 1.000 | 0.70 (0.30–1.00) | 0.80 (0.60–1.00) | 0.663 |
| Reader 2 (non-specialist) | 80.0 (38.5–97.3) | 80.0 (38.5–97.3) | 0.617 | 66.7 (21.4–94.5) | 33.3 (5.5–78.6) | 1.000 | 0.80 (0.47–1.00) | 0.63 (0.30–0.90) | 0.489 |
| Reader 3 (specialist) | 100.0 (58.1–101.6) | 100.0 (58.1–101.6) | NA | 66.7 (21.4–94.5) | 100.0 (45.9–100.0) | 1.000 | 0.93 (0.73–1.00) | 1.00 (1.00–1.00) | 0.340 |
| Reader 4 (specialist) | 60.0 (23.4–88.6) | 80.0 (38.5–97.3) | 1.000 | 66.7 (21.4–94.5) | 100.0 (45.9–100.0) | 1.000 | 0.77 (0.40–1.00) | 0.97 (0.87–1.00) | 0.224 |
| Average of non-specialists | 80.0 (80.0–80.0) | 90.0 (0–100.0) | 0.500 | 33.3 (0–100.0) | 33.3 (0–98.7) | 1.000 | 0.75 (0.12–1.00) | 0.72 (0.38–1.00) | 0.844 |
| Average of specialists | 80.0 (0–80.0) | 90.0 (0–100.0) | 0.500 | 66.7 (1.3–100.0) | 100.0 (100.0–100.0) | 0.568 | 0.85 (0.51–1.00) | 0.98 (0.77–1.00) | 0.373 |
| Average of all readers | 80.0 (53.9–100.0) | 90.0 (69.5–100.0) | 0.182 | 50.0 (0–100.0) | 66.7 (10.5–100.0) | 0.706 | 0.80 (0.59–1.00) | 0.85 (0.60–1.00) | 0.738 |
Disclaimer/Publisher’s Note: The statements, opinions and data contained in all publications are solely those of the individual author(s) and contributor(s) and not of MDPI and/or the editor(s). MDPI and/or the editor(s) disclaim responsibility for any injury to people or property resulting from any ideas, methods, instructions or products referred to in the content. |
© 2024 by the authors. Licensee MDPI, Basel, Switzerland. This article is an open access article distributed under the terms and conditions of the Creative Commons Attribution (CC BY) license (https://creativecommons.org/licenses/by/4.0/).
Share and Cite
Lee, S.; Choi, E.J.; Choi, H.; Byon, J.H. Comparison of Diagnostic Performance between Classic and Modified Abbreviated Breast MRI and the MRI Features Affecting Their Diagnostic Performance. Diagnostics 2024, 14, 282. https://doi.org/10.3390/diagnostics14030282
Lee S, Choi EJ, Choi H, Byon JH. Comparison of Diagnostic Performance between Classic and Modified Abbreviated Breast MRI and the MRI Features Affecting Their Diagnostic Performance. Diagnostics. 2024; 14(3):282. https://doi.org/10.3390/diagnostics14030282
Chicago/Turabian StyleLee, Subin, Eun Jung Choi, Hyemi Choi, and Jung Hee Byon. 2024. "Comparison of Diagnostic Performance between Classic and Modified Abbreviated Breast MRI and the MRI Features Affecting Their Diagnostic Performance" Diagnostics 14, no. 3: 282. https://doi.org/10.3390/diagnostics14030282
APA StyleLee, S., Choi, E. J., Choi, H., & Byon, J. H. (2024). Comparison of Diagnostic Performance between Classic and Modified Abbreviated Breast MRI and the MRI Features Affecting Their Diagnostic Performance. Diagnostics, 14(3), 282. https://doi.org/10.3390/diagnostics14030282

