Screening for Asymptomatic Osteonecrosis of the Hip in Systemic Lupus Erythematous: A Systematic Review and Meta-Analysis of MRI-Based Prevalence
Abstract
1. Introduction
2. Methods
2.1. Data Sources
2.2. Study Selection
2.3. Data Extraction and Quality Assessment
2.4. Data Synthesis/Analysis
3. Results
3.1. Quality Assessment and Study Characteristics
3.2. Meta-Analysis: Prevalence of Asymptomatic Hip Osteonecrosis
3.3. Publication Bias
3.4. Subgroup Analyses
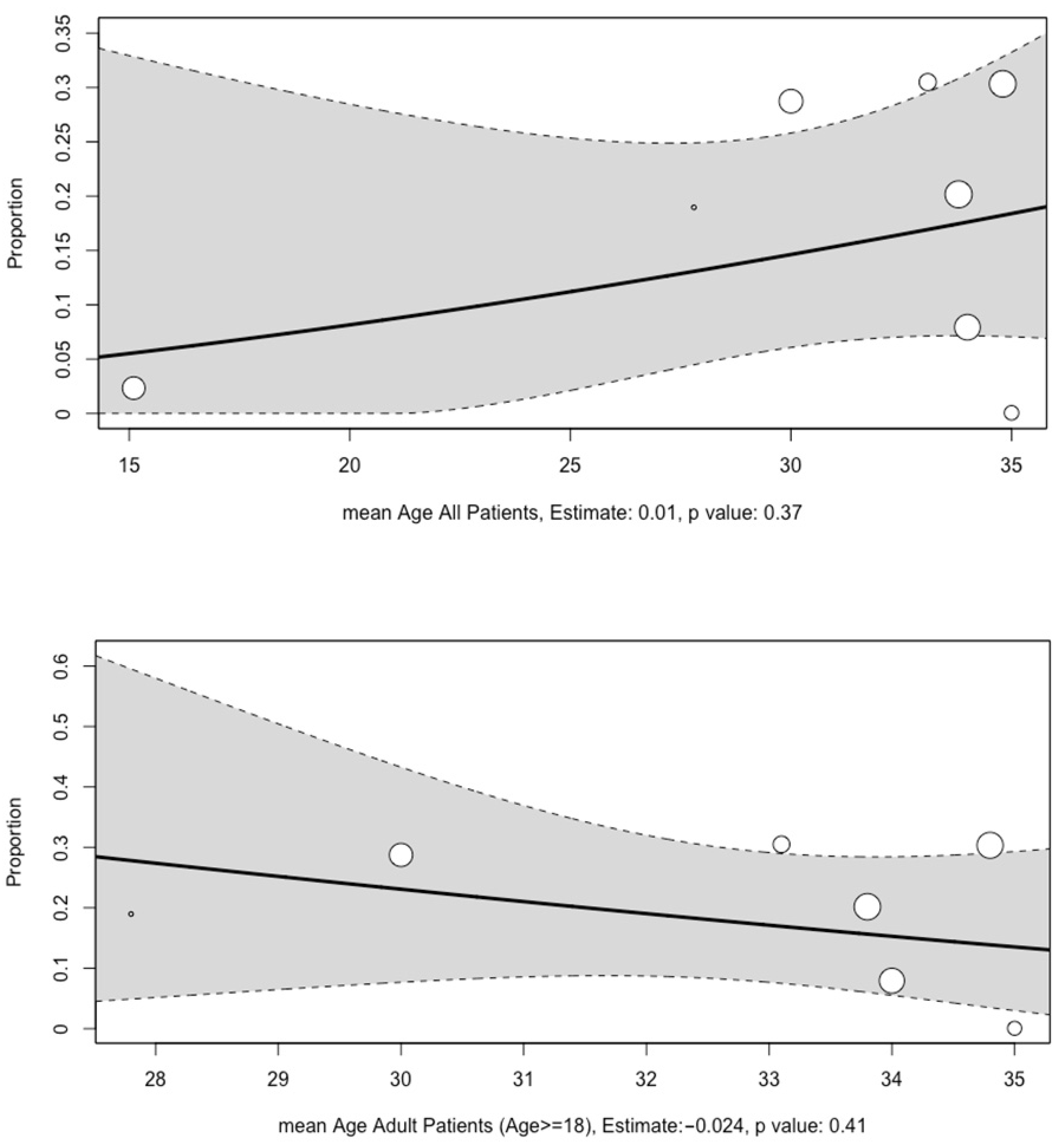
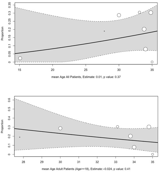
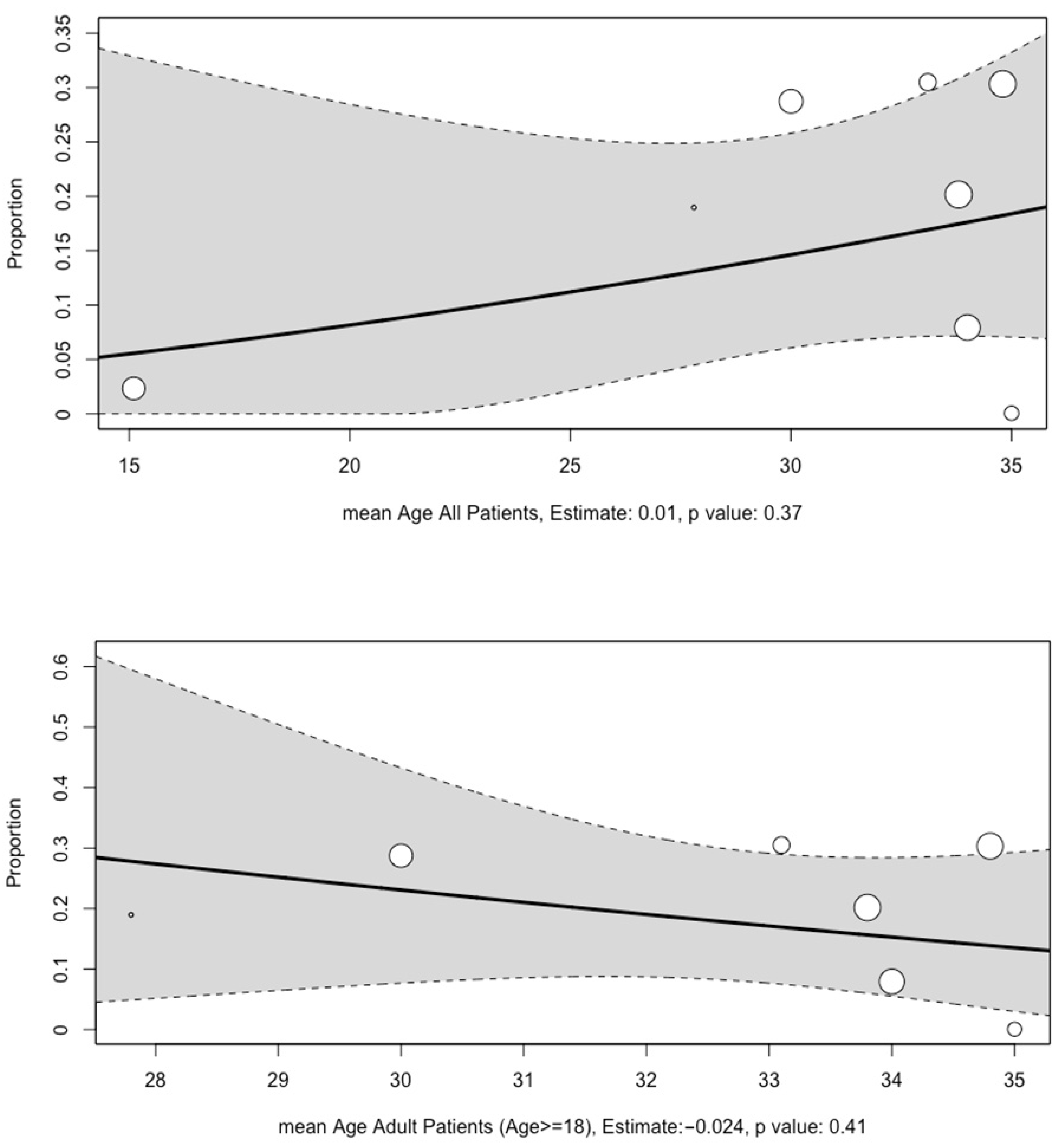
3.5. Meta-Regression
4. Discussion
Supplementary Materials
Author Contributions
Funding
Institutional Review Board Statement
Informed Consent Statement
Data Availability Statement
Conflicts of Interest
Abbreviations
References
- Izmirly, P.M.; Parton, H.; Wang, L.; McCune, W.J.; Lim, S.S.; Drenkard, C.; Ferucci, E.D.; Dall’Era, M.; Gordon, C.; Helmick, C.G.; et al. Prevalence of Systemic Lupus Erythematosus in the United States: Estimates from a Meta-Analysis of the Centers for Disease Control and Prevention National Lupus Registries. Arthritis Rheumatol. 2021, 73, 991–996. [Google Scholar] [CrossRef]
- Kan, H.J.; Song, X.; Johnson, B.H.; Bechtel, B.; O’Sullivan, D.; Molta, C.T. Healthcare Utilization and Costs of Systemic Lupus Erythematosus in Medicaid. Biomed. Res. Int. 2013, 2013, 808391. [Google Scholar] [CrossRef]
- Mok, M.Y.; Farewell, V.T.; Isenberg, D.A. Risk factors for avascular necrosis of bone in patients with systemic lupus erythematosus: Is there a role for antiphospholipid antibodies? Ann. Rheum. Dis. 2000, 59, 462. [Google Scholar] [CrossRef]
- Shaharir, S.S.; Chua, S.H.; Mohd, R.; Mustafar, R.; Noh, M.M.; Shahril, N.S.; Said, M.S.M.; Rajalingham, S. Risk factors for symptomatic Avascular Necrosis (AVN) in a multi-ethnic Systemic Lupus Erythematosus (SLE) cohort. PLoS ONE 2021, 16, e0248845. [Google Scholar] [CrossRef]
- Fukushima, W.; Fujioka, M.; Kubo, T.; Tamakoshi, A.; Nagai, M.; Hirota, Y. Nationwide epidemiologic survey of idiopathic osteonecrosis of the femoral head. Clin. Orthop. Relat. Res. 2010, 468, 2715–2724. [Google Scholar] [CrossRef] [PubMed]
- Abeles, M.; Urman, J.D.; Rothfield, N.F. Aseptic Necrosis of Bone in Systemic Lupus Erythematosus: Relationship to Corticosteroid Therapy. Arch. Intern. Med. 1978, 138, 750–754. [Google Scholar] [CrossRef] [PubMed]
- Dogan, I.; Kalyoncu, U.; Kiliç, L.; Akdoğan, A.; Karadağ, Ö.; Kiraz, S.; Bilgen, A.; Ertenli, I. Avascular necrosis less frequently found in systemic lupus erythematosus patients with the use of alternate day corticosteroid. Turk. J. Med. Sci. 2020, 50, 219–224. [Google Scholar] [PubMed]
- Sayarlioglu, M.; Yuzbasioglu, N.; Inanc, M.; Kamali, S.; Cefle, A.; Karaman, O.; Onat, A.M.; Avan, R.; Cetin, G.Y.; Gul, A.; et al. Risk factors for avascular bone necrosis in patients with systemic lupus erythematosus. Rheumatol. Int. 2010, 32, 177–182. [Google Scholar] [CrossRef] [PubMed]
- Quaranta, M.; Miranda, L.; Oliva, F.; Aletto, C.; Maffulli, N. Osteotomies for avascular necrosis of the femoral head. Br. Med. Bull. 2021, 137, 98–111. [Google Scholar] [CrossRef] [PubMed]
- Sai Krishna, M.L.V.; Kar, S.; Kumar, R.; Singh, H.; Mittal, R.; Digge, V.K. The Role of Conservative Management in the Avascular Necrosis of the Femoral Head: A Review of Systematic Reviews. Indian J. Orthop. 2023, 57, 410–420. [Google Scholar] [CrossRef]
- Kang, J.S.; Moon, K.H.; Kwon, D.G.; Shin, B.K.; Woo, M.S. The natural history of asymptomatic osteonecrosis of the femoral head. Int. Orthop. 2013, 37, 379–384. [Google Scholar] [CrossRef]
- Kalla, A.A.; Learmonth, I.D.; Klemp, P. Early treatment of avascular necrosis in systemic lupus erythematosus. Ann. Rheum. Dis. 1986, 45, 649–652. [Google Scholar] [CrossRef]
- Migliorini, F.; Maffulli, N.; Baroncini, A.; Eschweiler, J.; Tingart, M.; Betsch, M. Prognostic factors in the management of osteonecrosis of the femoral head: A systematic review. Surgeon 2022, 21, 85–98. [Google Scholar] [CrossRef]
- Min, B.W.; Song, K.S.; Cho, C.H.; Lee, S.M.; Lee, K.J. Untreated asymptomatic hips in patients with osteonecrosis of the femoral head. Clin. Orthop. Relat. Res. 2008, 466, 1087–1092. [Google Scholar] [CrossRef] [PubMed]
- Hernigou, P.; Habibi, A.; Bachir, D.; Galacteros, F. The natural history of asymptomatic osteonecrosis of the femoral head in adults with sickle cell disease. J. Bone Joint. Surg. Am. 2006, 88, 2565–2572. [Google Scholar] [CrossRef] [PubMed]
- Bradway, J.K.; Morrey, B.F. The natural history of the silent hip in bilateral atraumatic osteonecrosis. J. Arthroplasty 1993, 8, 383–387. [Google Scholar] [CrossRef]
- Hsu, H.; Nallamothu, S.V. Hip Osteonecrosis. StatPearls. 8 January 2023. Available online: https://www.ncbi.nlm.nih.gov/books/NBK499954/ (accessed on 9 May 2023).
- Ha, A.S.; Chang, E.Y.; Bartolotta, R.J.; Bucknor, M.D.; Chen, K.C.; Ellis, H.B.; Flug, J.; Leschied, J.R.; Ross, A.B.; Sharma, A.; et al. ACR Appropriateness Criteria® Osteonecrosis: 2022 Update. J. Am. Coll. Radiol. 2022, 19, S409–S416. [Google Scholar] [CrossRef] [PubMed]
- Manenti, G.; Altobelli, S.; Pugliese, L.; Tarantino, U. The role of imaging in diagnosis and management of femoral head avascular necrosis. Clin. Cases Miner. Bone Metab. 2015, 12 (Suppl. 1), 31. [Google Scholar] [CrossRef] [PubMed]
- Choi, H.R.; Steinberg, M.E.; Y Cheng, E. Osteonecrosis of the femoral head: Diagnosis and classification systems. Curr. Rev. Musculoskelet. Med. 2015, 8, 210. [Google Scholar] [CrossRef]
- Nevskaya, T.; Gamble, M.P.; Pope, J.E. A meta-analysis of avascular necrosis in systemic lupus erythematosus: Prevalence and risk factors. Clin. Exp. Rheumatol. 2017, 35, 700–710. [Google Scholar] [PubMed]
- Moher, D. Preferred Reporting Items for Systematic Reviews and Meta-Analyses: The PRISMA Statement. Ann. Intern. Med. 2009, 151, 264. [Google Scholar] [CrossRef] [PubMed]
- Brooke, B.S.; Schwartz, T.A.; Pawlik, T.M. MOOSE Reporting Guidelines for Meta-analyses of Observational Studies. JAMA Surg. 2021, 156, 787–788. [Google Scholar] [CrossRef]
- Covidence-Better Systematic Review Management. Available online: https://www.covidence.org/ (accessed on 16 May 2023).
- Aranow, C.; Zelicof, S.; Leslie, D.; Solomon, S.; Barland, P.; Norman, A.; Klein, R.; Weinstein, A. Clinically occult avascular necrosis of the hip in systemic lupus erythematosus. J. Rheumatol. 1997, 24, 2318–2322. [Google Scholar]
- Tektonidou, M.G.; Malagari, K.; Vlachoyiannopoulos, P.G.; Kelekis, D.A.; Moutsopoulos, H.M. Asymptomatic avascular necrosis in patients with primary antiphospholipid syndrome in the absence of corticosteroid use: A prospective study by magnetic resonance imaging. Arthritis Rheum. 2003, 48, 732–736. [Google Scholar] [CrossRef]
- Nagasawa, K.; Tada, Y.; Koarada, S.; Horiuchi, T.; Tsukamoto, H.; Murai, K.; Uedaet, A.; Yoshizawa, S.; Ohta, A. Very early development of steroid-associated osteonecrosis of femoral head in systemic lupus erythematosus: Prospective study by, M.R.I. Lupus 2005, 14, 385–390. [Google Scholar] [CrossRef]
- Nagasawa, K.; Tsukamoto, H.; Tada, Y.; Mayumi, T.; Satoh, H.; Onitsuka, H.; Kuwabara, Y.; Niho, Y. Imaging study on the mode of development and changes in avascular necrosis of the femoral head in systemic lupus erythematosus: Long-term observations. Br. J. Rheumatol. 1994, 33, 343–347. [Google Scholar] [CrossRef]
- Oinuma, K.; Harada, Y.; Nawata, Y.; Takabayashi, K.; Abe, I.; Kamikawa, K.; Moriya, H. Osteonecrosis in patients with systemic lupus erythematosus develops very early after starting high dose corticosteroid treatment. Ann. Rheum. Dis. 2001, 60, 1145–1148. [Google Scholar] [CrossRef]
- Kuroda, T.; Tanabe, N.; Wakamatsu, A.; Takai, C.; Sato, H.; Nakatsue, T.; Wada, Y.; Nakano, M.; Narita, I. High triglyceride is a risk factor for silent osteonecrosis of the femoral head in systemic lupus erythematosus. Clin. Rheumatol. 2015, 34, 2071–2077. [Google Scholar] [CrossRef] [PubMed]
- Castro, T.C.M.; Lederman, H.; Terreri, M.T.A.; Caldana, W.I.; Kaste, S.C.; Hilário, M.O. The use of joint-specific and whole-body MRI in osteonecrosis: A study in patients with juvenile systemic lupus erythematosus. Br. J. Radiol. 2011, 84, 621–628. [Google Scholar] [CrossRef] [PubMed]
- Houssiau, F.A.; N’Zeusseu Toukap, A.; Depresseux, G.; Maldague, B.E.; Malghem, J.; Devogelaer, J.P.; Vande Berg, B.C. Magnetic resonance imaging-detected avascular osteonecrosis in systemic lupus erythematosus: Lack of correlation with antiphospholipid antibodies. Br. J. Rheumatol. 1998, 37, 448–453. [Google Scholar] [CrossRef] [PubMed]
- Nagasawa, K.; Tada, Y.; Koarada, S.; Tsukamoto, H.; Horiuchi, T.; Yoshizawa, S.; Murai, K.; Ueda, A.; Haruta, Y.; Ohta, A. Prevention of steroid-induced osteonecrosis of femoral head in systemic lupus erythematosus by anti-coagulant. Lupus 2006, 15, 354–357. [Google Scholar] [CrossRef]
- Jaovisidha, S.; Denprechawong, R.; Suwannalai, P.; Janwityanujit, S. Asymptomatic avascular osteonecrosis of the hip in new patients diagnosed as systemic lupus erythematosus in Ramathibodi Hospital. J. Med. Assoc. Thail. 2007, 90, 1382. [Google Scholar]
- Sugano, N.; Takaoka, K.; Ohzono, K.; Matsui, M.; Masuhara, K.; Ono, K. Prognostication of nontraumatic avascular necrosis of the femoral head: Significance of location and size of the necrotic lesion. Clin. Orthop. Relat. Res. 1994, 303, 155–164. [Google Scholar] [CrossRef]
- Von Elm, E.; Altman, D.G.; Egger, M.; Pocock, S.J.; Gøtzsche, P.C.; Vandenbroucke, J.P. The Strengthening the Reporting of Observational Studies in Epidemiology (STROBE) statement: Guidelines for reporting observational studies. Lancet 2007, 370, 1453–1457. [Google Scholar] [CrossRef]
- Hoy, D.; Brooks, P.; Woolf, A.; Blyth, F.; March, L.; Bain, C.; Baker, P.; Smith, E.; Buchbinder, R. Assessing risk of bias in prevalence studies: Modification of an existing tool and evidence of interrater agreement. J. Clin. Epidemiol. 2012, 65, 934–939. [Google Scholar] [CrossRef] [PubMed]
- Wells, G.A.; Shea, B.; O’Connell, D.; Pereson, J.; Welch, V.; Losos, M.; Tugwell, P. The Newcastle-Ottawa Scale (NOS) for Assessing the Quality of Nonrandomised Studies in Meta-Analyses. Available online: https://www.ohri.ca/programs/clinical_epidemiology/oxford.asp (accessed on 9 May 2023).
- Sterne, J.A.C.; Savović, J.; Page, M.J.; Elbers, R.G.; Blencowe, N.S.; Boutron, I.; Cates, C.J.; Cheng, H.Y.; Corbett, M.S.; Eldridge, S.M.; et al. RoB 2: A revised tool for assessing risk of bias in randomised trials. BMJ 2019, 366, l4898. [Google Scholar] [CrossRef] [PubMed]
- Barendregt, J.J.; Doi, S.A.; Lee, Y.Y.; Norman, R.E.; Vos, T. Meta-analysis of prevalence. J. Epidemiol. Community Health 2013, 67, 974–978. [Google Scholar] [CrossRef]
- Migliavaca, C.B.; Stein, C.; Colpani, V.; Barker, T.H.; Ziegelmann, P.K.; Munn, Z.; Falavigna, M. Prevalence Estimates Reviews—Systematic Review Methodology Group. Meta-analysis of prevalence: I2 statistic and how to deal with heterogeneity. Res. Synth. Methods 2022, 13, 363–367. [Google Scholar] [CrossRef]
- Sutton, A.J.; Abrams, K.R. Bayesian methods in meta-analysis and evidence synthesis. Stat. Methods Med. Res. 2001, 10, 277–303. [Google Scholar] [CrossRef] [PubMed]
- Spiegelhalter, D.J. Incorporating Bayesian Ideas into Health-Care Evaluation. Stat. Sci. 2004, 19, 156–174. [Google Scholar] [CrossRef]
- Lunn, D.; Barrett, J.; Sweeting, M.; Thompson, S. Fully Bayesian hierarchical modelling in two stages, with application to meta-analysis. J. R. Stat. Soc. Ser. C Appl. Stat. 2013, 62, 551–572. [Google Scholar] [CrossRef]
- Rover, C.; Volume, V.V.; Issue, I.I. Bayesian random-effects meta-analysis using the bayesmeta R package. arXiv 2017, arXiv:1711.08683. [Google Scholar] [CrossRef]
- Gordon, C.; Amissah-Arthur, M.-B.; Gayed, M.; Brown, S.; Bruce, I.N.; D’Cruz, D.; Empson, B.; Griffiths, B.; Jayne, D.; Khamashta, M.; et al. The British Society for Rheumatology guideline for the management of systemic lupus erythematosus in adults. Rheumatology 2018, 57, e1–e45. [Google Scholar] [CrossRef]
- Fanouriakis, A.; Kostopoulou, M.; Alunno, A.; Aringer, M.; Bajema, I.; Boletis, J.N.; Cervera, R.; Doria, A.; Gordon, C.; Govoni, M.; et al. 2019 update of the EULAR recommendations for the management of systemic lupus erythematosus. Ann. Rheum. Dis. 2019, 78, 736–745. [Google Scholar] [CrossRef]
- Bertsias, G.; Ioannidis, J.P.A.; Boletis, J.; Bombardieri, S.; Cervera, R.; Dostal, C.; Font, J.; Gilboe, I.M.; Houssiau, F.; Huizinga, T.; et al. EULAR recommendations for the management of systemic lupus erythematosus. Report of a Task Force of the EULAR Standing Committee for International Clinical Studies Including Therapeutics. Ann. Rheum. Dis. 2008, 67, 195–205. [Google Scholar] [CrossRef] [PubMed]
- Tunnicliffe, D.J.; Singh-Grewal, D.; Kim, S.; Craig, J.C.; Tong, A. Diagnosis, Monitoring, and Treatment of Systemic Lupus Erythematosus: A Systematic Review of Clinical Practice Guidelines. Arthritis Care Res. 2015, 67, 1440–1452. [Google Scholar] [CrossRef]
- Keeling, S.O.; Alabdurubalnabi, Z.; Avina-Zubieta, A.; Barr, S.; Bergeron, L.; Bernatsky, S.; Bourre-Tessier, J.; Clarke, A.; Baril-Dionne, A.; Dutz, J.; et al. Canadian Rheumatology Association Recommendations for the Assessment and Monitoring of Systemic Lupus Erythematosus. J. Rheumatol. 2018, 45, 1426–1439. [Google Scholar] [CrossRef]
- Hungerford, D.S.; Jones, L.C. Asymptomatic osteonecrosis: Should it be treated? Clin. Orthop. Relat. Res. 2004, 429, 124–130. [Google Scholar] [CrossRef]
- Kuroda, Y.; Tanaka, T.; Miyagawa, T.; Kawai, T.; Goto, K.; Tanaka, S.; Matsuda, S.; Akiyama, H. Classification of osteonecrosis of the femoral head: Who should have surgery? Bone Joint. Res. 2019, 8, 451. [Google Scholar] [CrossRef]
- Mont, M.A.; Zywiel, M.G.; Marker, D.R.; McGrath, M.S.; Delanois, R.E. The natural history of untreated asymptomatic osteonecrosis of the femoral head: A systematic literature review. J. Bone Joint Surg. Am. 2010, 92, 2165–2170. [Google Scholar] [CrossRef]
- Aziz, K.T.; Best, M.J.; Skolasky, R.L.; Ponnusamy, K.E.; Sterling, R.S.; Khanuja, H.S. Lupus and Perioperative Complications in Elective Primary Total Hip or Knee Arthroplasty. Clin. Orthop. Surg. 2020, 12, 37. [Google Scholar] [CrossRef]
- Matthews, A.H.; Davis, D.D.; Fish, M.J.; Stitson, D. Avascular Necrosis. StatPearls. 14 November 2022. Available online: https://www.ncbi.nlm.nih.gov/books/NBK537007/ (accessed on 6 June 2023).
- Jeong, H.-J.; Kim, D.; Cho, S.-K.; Kim, Y.; Bae, S.-C.; Sung, Y.-K. Clinical characteristics of multifocal osteonecrosis in Korean patients with rheumatic disease. Int. J. Dis. 2018, 21, 1301–1308. [Google Scholar] [CrossRef]
- Bogmat, L.F.; Bessonova, I.N.; Shevchenko, N.S. Damage Index in Children with Systemic Lupus Erythematosus in ‘Proceedings of the 25th European Paediatric Rheumatology Congress (PReS 2018)’. Pediatr. Rheumatol. 2018, 16 (Suppl. 2), 52. [Google Scholar]
- Klippel, J.H.; Gerber, L.H.; Pollak, L.; Decker, J.L. Avascular necrosis in systemic lupus erythematosus: Silent symmetric osteonecroses. Am. J. Med. 1979, 67, 83–87. [Google Scholar] [CrossRef] [PubMed]
- Sekiya, F.; Yamaji, K.; Yang, K.; Tsuda, H.; Takasaki, Y. Investigation of occurrence of osteonecrosis of the femoral head after increasing corticosteroids in patients with recurring systemic lupus erythematosus. Rheumatol. Int. 2010, 30, 1587–1593. [Google Scholar] [CrossRef] [PubMed]
- Sakamoto, M.; Shimizu, K.; Iida, S.; Akita, T.; Moriya, H.; Nawata, Y. Osteonecrosis of the femoral head: A prospective study with MRI. J. Bone Joint Surg. Br. 1997, 79, 213–219. [Google Scholar] [CrossRef] [PubMed]
- Fialho, S.C.; Bonfá, E.; Vitule, L.F.; D’Amico, E.; Caparbo, V.; Gualandro, S.; Pereira, R.M.R. Disease activity as a major risk factor for osteonecrosis in early systemic lupus erythematosus. Lupus 2007, 16, 239–244. [Google Scholar] [CrossRef] [PubMed]
- Shigemura, T.; Nakamura, J.; Kishida, S.; Harada, Y.; Ohtori, S.; Kamikawa, K.; Takahashi, K. Incidence of osteonecrosis associated with corticosteroid therapy among different underlying diseases: Prospective MRI study. Rheumatology 2011, 50, 2023–2028. [Google Scholar] [CrossRef] [PubMed]
- Hurley, R.M.; Steinberg, R.H.; Patriquin, H.; Drummond, K.N. Avascular necrosis of the femoral head in childhood systemic lupus erythematosus. Can. Med. Assoc. J. 1974, 111, 781–784. [Google Scholar] [PubMed]
- Chinnadurai, S.; Chilukuri, B.; Mahendran, B.; Mantharam, V.; Selvakumar, B.; Sankaralingam, R. Clinical profile of osteonecrosis in systemic lupus erythematosus—Experience from a tertiary care centre in South India. J. Family Med. Prim. Care 2020, 9, 4363–4367. [Google Scholar]
- Bergstein, J.M.; Wiens, C.; Fish, A.J.; Vernier, R.L.; Michael, A. Avascular necrosis of bone in systemic lupus erythematosus. J. Pediatr. 1974, 85, 31–35. [Google Scholar] [CrossRef]
- Hagiwara, S.; Nakamura, J.; Watanabe, A.; Kishida, S.; Ohtori, S.; Omae, T.; Takahashi, K. Corticosteroids and low bone mineral density affect hip cartilage in systemic lupus erythematosus patients: Quantitative T2 mapping. J. Magn. Reson. Imaging 2015, 42, 1524–1531. [Google Scholar] [CrossRef] [PubMed]
- Lee, J.; Kwok, S.K.; Jung, S.M.; Min, H.K.; Nam, H.C.; Seo, J.H.; Kim, H.Y. Osteonecrosis of the hip in Korean patients with systemic lupus erythematosus: Risk factors and clinical outcome. Lupus 2014, 23, 39–45. [Google Scholar] [CrossRef] [PubMed]
- Nawata, K.; Nakamura, J.; Ikeda, K.; Furuta, S.; Nakajima, H.; Ohtori, S.; Akazawa, T. Transitional changes in the incidence of osteonecrosis in systemic lupus erythematosus patients: Focus on immunosuppressant agents and glucocorticoids. Rheumatology 2018, 57, 844–849. [Google Scholar] [CrossRef] [PubMed]
- Nakamura, J.; Saisu, T.; Yamashita, K.; Suzuki, C.; Kamegaya, M.; Takahashi, K. Age at time of corticosteroid administration is a risk factor for osteonecrosis in pediatric patients with systemic lupus erythematosus: A prospective magnetic resonance imaging study. Arthritis Rheum. 2010, 62, 609–615, Erratum in Arthritis Rheum. 2010, 62, 3248. [Google Scholar] [CrossRef] [PubMed]
- Yamamoto, S.; Watanabe, A.; Nakamura, J.; Ohtori, S.; Harada, Y.; Kishida, S.; Takahashi, K. Quantitative T2 mapping of femoral head cartilage in systemic lupus erythematosus patients with noncollapsed osteonecrosis of the femoral head associated with corticosteroid therapy. J. Magn. Reson. Imaging 2011, 34, 1151–1158. [Google Scholar] [CrossRef] [PubMed]
- Oh, S.N.; Jee, W.H.; Cho, S.M.; Kim, S.H.; Kang, H.S.; Ryu, K.N.; Cho, C.S. Osteonecrosis in patients with systemic lupus erythematosus: MR imaging and scintigraphic evaluation. Clin. Imaging 2004, 28, 305–309. [Google Scholar] [CrossRef]
- Nakamura, J.; Harada, Y.; Oinuma, K.; Iida, S.; Kishida, S.; Takahashi, K. Spontaneous repair of asymptomatic osteonecrosis associated with corticosteroid therapy in systemic lupus erythematosus: 10-year minimum follow-up with MRI. Lupus 2010, 19, 1307–1314. [Google Scholar] [CrossRef]
- Chen, S.; Cai, Q.; Xu, Y.; Fu, Q.; Feng, Y.; Chen, X.; Zhang, C. Associations between glucocorticoids, antiphospholipid antibodies and femur head necrosis in patients with SLE: A directed acyclic graph-based multicentre study. Ther. Adv. Musculoskelet. Dis. 2021, 13, 1759720X211002677. [Google Scholar] [CrossRef]






| Number | Author | Year | Country | Osteonecrosis Positive | Total Screened Hips | Age (Mean) | % of Male Participants | Antiphospholipid Ab Positive | % of Participants Treated with Corticosteroid | % of Participants Treated with Pulse Therapy | Corticosteroid Dose (mg/day) | FUP Months |
|---|---|---|---|---|---|---|---|---|---|---|---|---|
| 1 | Nagasawa et al. [27] | 2005 | Japan | 26 | 90 | 30 | 4 | 15.5 | 100 | 53.3 | 52 | 60 |
| 2 | Aranow et al. [25] | 1997 | USA | 11 | 132 | 0 | NA | 100 | NA | 5 | 12 | |
| 3 | Nagasawa et al. [28] | 1994 | Japan | 14 | 46 | 33.1 | 17 | NA | 100 | 39.1 | 19.57 | 36 |
| 4 | Oinuma et al. [29] | 2001 | Japan | 44 | 144 | 34.8 | 5.8 | NA | 100 | 48.6 | 58.4 | 12 |
| 5 | Tektonidou et al. [26] | 2003 | Greece | 0 | 38 | 35 | 26 | NA | NA | NA | 0 | 6 |
| 6 | Kuroda et al. [30] | 2015 | Japan | 32 | 156 | 33.8 | 10.3 | 26.9 | 100 | 16.6 | 47.4 | 6 |
| 7 | Castro et al. [31] | 2011 | Brazil | 2 | 78 | 15.1 | 17.5 | NA | 100 | 95 | 24 | |
| 8 | Nagasawa et al. [33] | 2006 | Japan | 32 | 108 | 8.3 | NA | 48.3 | 52.3 | 60 | ||
| 9 | Jaovisidha et al. [34] | 2007 | Thailand | 4 | 22 | 27.8 | 0 | NA | 100 | 18 | 62.6 | 1.3 |
| 10 | Sugano et al. [35] | 1994 | Japan | 10 | 120 | 24 | 3 | NA | 100 | 26 | 47 | 60 |
| 11 | Houssiau et al. [32] | 1998 | Belgium | 9 | 72 | 34 | 1 | 32.5 | 27.5 | NA | 6.01 | 100 |
| 11 CS + | Houssiau et al. [32] | 1998 | Belgium | 9 | 50 | NA | NA | NA | 100 | NA | 8.4 | 100 |
| 11 CS − | Houssiau et al. [32] | 1998 | Belgium | 0 | 22 | NA | NA | NA | 0 | NA | 0 | 100 |
| Sensitivity Analysis (Number of Studies a) | Number of Hips | Proportion (95% CI) | T2 | I2 | Heterogeneity p Value | |
|---|---|---|---|---|---|---|
| All Studies | 12 | 1006 | 0.14 (0.07, 0.22) | 0.03 | 90.8% | Ref |
| Excluding influential studies | 9 | 868 | 0.21 (0.14, 0.28) | 0.01 | 82% | 0.228 |
| Excluding studies with unknown/high risk of bias | 10 | 828 | 0.13 (0.06, 0.23) | 0.03 | 91.4% | 0.910 |
| Subgroup analysis (Number of studies) | Number of hips | Proportion (95% CI) | T2 | I2 | p value | |
| Corticosteroid use | ||||||
| Use reported | 10 | 946 | 0.18 (0.11, 0.26) | 0.02 | 87.5% | <0.01 |
| Use not reported | 2 | 60 | 0.00 (0.00, 0.04) | - | - | |
| % Male participants b | ||||||
| >10% | 4 | 318 | 0.10 (0.00, 0.28) | 0.05 | 93.6% | 0.316 |
| <10% | 6 | 688 | 0.20 (0.11, 0.30) | 0.02 | 87.7% | |
| Follow-up time | ||||||
| >12 months | 7 | 514 | 0.15(0.06, 0.27) | 0.04 | 90.6% | 0.877 |
| <12 months | 5 | 492 | 0.13 (0.04, 0.27) | 0.03 | 92.4% | |
| MSK radiologist interpreter | ||||||
| Yes | 2 | 100 | 0.08 (0.00, 0.29) | 0.03 | 81.7% | 0.612 |
| No | 5 | 420 | 0.14 (0.04, 0.28) | 0.04 | 91.9% | |
| Number of interpreters | ||||||
| One | 3 | 228 | 0.12(0.10, 0.25) | 0.03 | 87.1% | 0.831 |
| Two | 4 | 184 | 0.09 (0.00, 0.28) | 0.05 | 89.8% | |
| Age | ||||||
| 30 and below | 3 | 190 | 0.14 (0.02, 0.35) | 0.04 | 90.0% | 0.947 |
| Above 30 | 5 | 576 | 0.15 (0.04, 0.31) | 0.04 | 93.9% | |
Disclaimer/Publisher’s Note: The statements, opinions and data contained in all publications are solely those of the individual author(s) and contributor(s) and not of MDPI and/or the editor(s). MDPI and/or the editor(s) disclaim responsibility for any injury to people or property resulting from any ideas, methods, instructions or products referred to in the content. |
© 2024 by the authors. Licensee MDPI, Basel, Switzerland. This article is an open access article distributed under the terms and conditions of the Creative Commons Attribution (CC BY) license (https://creativecommons.org/licenses/by/4.0/).
Share and Cite
Ibad, H.A.; Ghotbi, E.; Kasaeian, A.; Levin, A.S.; Jones, L.C.; Anzai, Y.; Soltanolkotabi, M.; Kapoor, N.; Johnson, P.T.; Demehri, S. Screening for Asymptomatic Osteonecrosis of the Hip in Systemic Lupus Erythematous: A Systematic Review and Meta-Analysis of MRI-Based Prevalence. Diagnostics 2024, 14, 279. https://doi.org/10.3390/diagnostics14030279
Ibad HA, Ghotbi E, Kasaeian A, Levin AS, Jones LC, Anzai Y, Soltanolkotabi M, Kapoor N, Johnson PT, Demehri S. Screening for Asymptomatic Osteonecrosis of the Hip in Systemic Lupus Erythematous: A Systematic Review and Meta-Analysis of MRI-Based Prevalence. Diagnostics. 2024; 14(3):279. https://doi.org/10.3390/diagnostics14030279
Chicago/Turabian StyleIbad, Hamza A., Elena Ghotbi, Arta Kasaeian, Adam S. Levin, Lynne C. Jones, Yoshimi Anzai, Maryam Soltanolkotabi, Neena Kapoor, Pamela T. Johnson, and Shadpour Demehri. 2024. "Screening for Asymptomatic Osteonecrosis of the Hip in Systemic Lupus Erythematous: A Systematic Review and Meta-Analysis of MRI-Based Prevalence" Diagnostics 14, no. 3: 279. https://doi.org/10.3390/diagnostics14030279
APA StyleIbad, H. A., Ghotbi, E., Kasaeian, A., Levin, A. S., Jones, L. C., Anzai, Y., Soltanolkotabi, M., Kapoor, N., Johnson, P. T., & Demehri, S. (2024). Screening for Asymptomatic Osteonecrosis of the Hip in Systemic Lupus Erythematous: A Systematic Review and Meta-Analysis of MRI-Based Prevalence. Diagnostics, 14(3), 279. https://doi.org/10.3390/diagnostics14030279

